Agar and Chitosan Hydrogels’ Design for Metal-Uptaking Treatments
Abstract
1. Introduction
2. Results and Discussion
2.1. Comparison of Classical Agar versus Novel Chitosan Gel Formulations
2.1.1. Structural Properties of the Polymers’ Networks
2.1.2. Swelling Properties
2.1.3. Rheological Measurements
- The yield point at the end of the LVE-region and flow point at the intersection of the curves for G′ and G″. The yield point or yield stress γL is the value of the shear stress at the limit of the LVE region. It is the moment when the applied strain starts to irreversibly damage the samples and the moduli are no longer constant.
- The flow point or flow stress, which is the value of the shear stress at the crossover point between storage and loss modulus for materials with a gel character. It is the point further in which G″ becomes greater than G′; beyond which, the material will behave as a liquid and, therefore, “flow”.
2.2. Amendment of Hydrogels with the Metal Uptaking Agent Deferoxamine
2.2.1. Compatibility between Active Agents and Gel Preparation Protocol
2.2.2. Cryo–SEM Imaging
2.2.3. Rheological Measurements
2.2.4. ATR–FTIR Spectroscopy
Agar
Chitosan-Based Formulation
2.3. Inherent Capacity of CS–ItA–LCys to Uptake Silver Ions
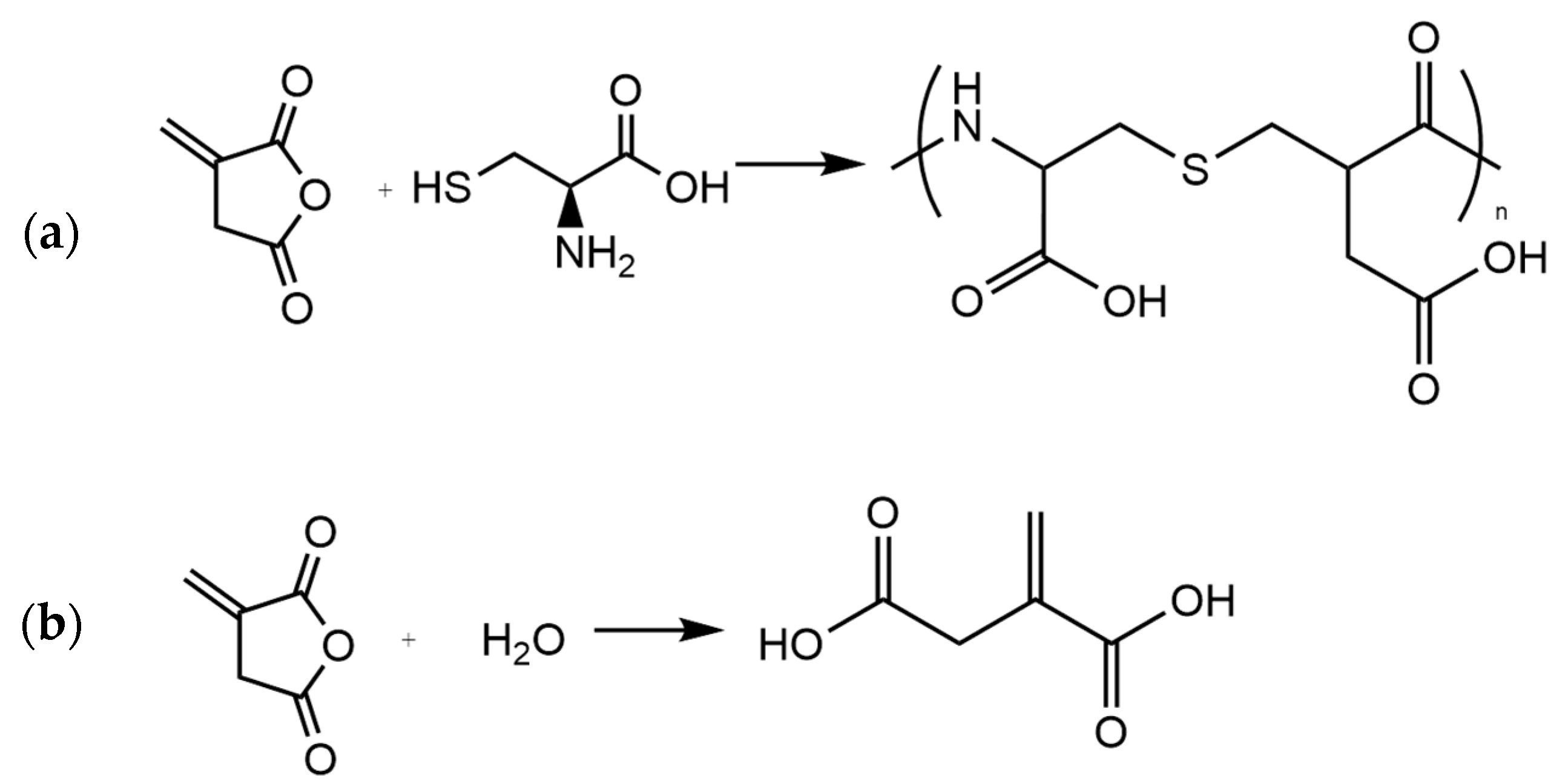
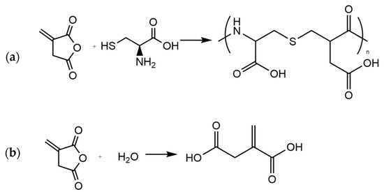
2.3.1. CS–ItA–LCys Gel Molecular Structure
2.3.2. Complexing Abilities
3. Conclusions
4. Materials and Methods
4.1. Gels Preparation
4.1.1. Agar
4.1.2. Chitosan-Based Gels
4.2. Gels Characterization for POLYMER Comparison and/or Active Agents Addition Evaluation
4.2.1. Cryo–SEM Imaging
4.2.2. Swelling Properties
4.2.3. Rheological Measurements
4.2.4. Fourier Transformed Infrared Spectroscopy
4.3. Compatibility between Active Agents and Gel Preparation Protocol
4.4. FT–Raman Spectroscopy for Gel-Complexing Abilities
Supplementary Materials
Author Contributions
Funding
Data Availability Statement
Acknowledgments
Conflicts of Interest
References
- Rapti, S.; Boyatis, S.; Rivers, S.; Velios, A.; Pournou, A. Removing Iron Stains from Wood and Textile Objects: Assessing Gelled Siderophores as Novel Green Chelators. In Proceedings of the Gels in the Conservation of Artconservation, London, UK, 16–18 October 2017; Angelova, L.V., Ormsby, B., Townsend, J.H., Wolbers, R., Eds.; Archetype Publications: London, UK, 2017; pp. 343–348. [Google Scholar]
- Macchia, A.; Ruffolo, S.A.; Rivaroli, L.; La Russa, M.F. The Treatment of Iron-Stained Marble: Toward a “Green” Solution. Int. J. Conserv. Sci. 2016, 7, 323–332. [Google Scholar]
- Sansonetti, A.; Bertasa, M.; Corti, C.; Rampazzi, L.; Monticelli, D.; Scalarone, D.; Sassella, A.; Canevali, C. Optimization of Copper Stain Removal from Marble through the Formation of Cu(II) Complexes in Agar Gels. Gels 2021, 7, 111. [Google Scholar] [CrossRef] [PubMed]
- Monachon, M.; Albelda-Berenguer, M.; Joseph, E. Biological Oxidation of Iron Sulfides. In Advances in Applied Microbiology; Gadd, G.M., Sariaslani, S., Eds.; Elsevier: Amsterdam, The Netherlands, 2019; Volume 107, pp. 1–27. ISBN 978-0-12-817618-4. [Google Scholar]
- Joseph, E.; James, S.; Albelda-Berenguer, M.; Albini, M.; Comensoli, L.; Cornet, E.; Domon Beuret, E.; Kooli, W.; Brambilla, L.; Mathys, L.; et al. Ground-Breaking Approaches for a Green and Sustainable Metal Conservation. In Proceedings of the 19th ICOM-CC Triennial Conference Transcending Boundaries: Integrated Approaches to Conservation, Beijing, China, 17–21 May 2021. [Google Scholar]
- Guilminot, E. The Use of Hydrogels in the Treatment of Metal Cultural Heritage Objects. Gels 2023, 9, 191. [Google Scholar] [CrossRef]
- Scheepers, G.; Koster, M.; van Bennekom, J. Exploring the Use of Acidithiobacillus Ferrooxidans for the Removal of Sulphides from Tarnished Silver. Estud. Conserv. Restauro 2019, 2, 19–30. [Google Scholar]
- Guilminot, E.; Gomez, A.; Raimon, A.; Leroux, M. Use of Gels for the Treatment of Metals. In Proceedings of the Metal 2019 Proceedings of the Interim Meeting of the ICOM-CC Metals Working Group, Neuchâtel, Switzerland, 2–6 September 2019; Chemello, C., Brambilla, L., Joseph, E., Eds.; International Councils of Museums—Committee for Conservation: Neuchâtel, Switzerland, 2019; p. 473. [Google Scholar]
- Passaretti, A.; Cuvillier, L.; Sciutto, G.; Guilminot, E.; Joseph, E. Biologically Derived Gels for the Cleaning of Historical and Artistic Metal Heritage. Appl. Sci. 2021, 11, 3405. [Google Scholar] [CrossRef]
- Bertasa, M.; Chiantore, O.; Poli, T.; Riedo, C.; Di Tullio, V.; Canevali, C.; Sansonetti, A.; Scalarone, D. A Study of Commercial Agar Gels as Cleaning Materials. In Proceedings of the Gels in the Conservation of Art, London, UK, 16–18 October 2017; Angelova, L.V., Ormsby, B., Townsend, J.H., Wolbers, R., Eds.; Archetype Publications: London, UK, 2017; pp. 11–18. [Google Scholar]
- Sansonetti, A.; Bertasa, M.; Canevali, C.; Rabbolini, A.; Anzani, M.; Scalarone, D. A Review in Using Agar Gels for Cleaning Art Surfaces. J. Cult. Herit. 2020, 44, 285–296. [Google Scholar] [CrossRef]
- Cremonesi, P. Rigid Gels and Enzyme Cleaning. Smithson. Contrib. Mus. Conserv. 2012, 3, 179–183. [Google Scholar]
- Canevali, C.; Fasoli, M.; Bertasa, M.; Botteon, A.; Colombo, A.; Di Tullio, V.; Capitani, D.; Proietti, N.; Scalarone, D.; Sansonetti, A. A Multi-Analytical Approach for the Study of Copper Stain Removal by Agar Gels. Microchem. J. 2016, 129, 249–258. [Google Scholar] [CrossRef]
- Bosch-Roig, P.; Lustrato, G.; Zanardini, E.; Ranalli, G. Biocleaning of Cultural Heritage Stone Surfaces and Frescoes: Which Delivery System Can Be the Most Appropriate? Ann. Microbiol. 2015, 65, 1227–1241. [Google Scholar] [CrossRef]
- Giordano, A.; Cremonesi, P. New Methods of Applying Rigid Agar Gels: From Tiny to Large-Scale Surface Areas. Stud. Conserv. 2021, 66, 437–448. [Google Scholar] [CrossRef]
- Tamura, M.; Takagi, K. Towards the Sustainable Use of Agar/Agarose in Conservation: A Case Study of the Izu Peninsula, Japan. In Proceedings of the Gels in the Conservation of Art, London, UK, 16–18 October 2017; Angelova, L.V., Ormsby, B., Townsend, J.H., Wolbers, R., Eds.; Archetype Publications: London, UK, 2017; pp. 152–154, ISBN 9781909492509. [Google Scholar]
- Cuvillier, L.; Passaretti, A.; Guilminot, E.; Joseph, E. Testing of the Siderophore Deferoxamine Amended in Hydrogels for the Cleaning of Iron Corrosion. Eur. Phys. J. Plus 2023, 138, 569. [Google Scholar] [CrossRef] [PubMed]
- Giordano, A.; Cremonesi, P. Gel Rigidi Polisaccaridici per Il Trattamento Dei Manufatti Artistici; Il Prato: Padova, Italy, 2019; ISBN 9788863365016. [Google Scholar]
- Bertasa, M.; Canevali, C.; Sansonetti, A.; Lazzari, M.; Malandrino, M.; Simonutti, R.; Scalarone, D. An In-Depth Study on the Agar Gel Effectiveness for Built Heritage Cleaning. J. Cult. Herit. 2021, 47, 12–20. [Google Scholar] [CrossRef]
- Chan, K.; Morikawa, K.; Shibata, N.; Zinchenko, A. Adsorptive Removal of Heavy Metal Ions, Organic Dyes, and Pharmaceuticals by Dna–Chitosan Hydrogels. Gels 2021, 7, 112. [Google Scholar] [CrossRef] [PubMed]
- Fiamingo, A.; Montembault, A.; Boitard, S.E.; Naemetalla, H.; Agbulut, O.; Delair, T.; Campana-Filho, S.P.; Menasché, P.; David, L. Chitosan Hydrogels for the Regeneration of Infarcted Myocardium: Preparation, Physicochemical Characterization, and Biological Evaluation. Biomacromolecules 2016, 17, 1662–1672. [Google Scholar] [CrossRef]
- Giuliani, C.; Pascucci, M.; Riccucci, C.; Messina, E.; Salzano de Luna, M.; Lavorgna, M.; Ingo, G.M.; Di Carlo, G. Chitosan-Based Coatings for Corrosion Protection of Copper-Based Alloys: A Promising More Sustainable Approach for Cultural Heritage Applications. Prog. Org. Coat. 2018, 122, 138–146. [Google Scholar] [CrossRef]
- Boccaccini, F.; Giuliani, C.; Pascucci, M.; Riccucci, C.; Messina, E.; Staccioli, M.P.; Ingo, G.M.; Di Carlo, G. Toward a Green and Sustainable Silver Conservation: Development and Validation of Chitosan-Based Protective Coatings. Int. J. Mol. Sci. 2022, 23, 14454. [Google Scholar] [CrossRef]
- Messina, E.; Giuliani, C.; Pascucci, M.; Riccucci, C.; Staccioli, M.P.; Albini, M.; Di Carlo, G. Synergistic Inhibition Effect of Chitosan and L-Cysteine for the Protection of Copper-Based Alloys against Atmospheric Chloride-Induced Indoor Corrosion. Int. J. Mol. Sci. 2021, 22, 10321. [Google Scholar] [CrossRef] [PubMed]
- El-Gamal, R.; Nikolaivits, E.; Zervakis, G.I.; Abdel-Maksoud, G.; Topakas, E.; Christakopoulos, P. The Use of Chitosan in Protecting Wooden Artifacts from Damage by Mold Fungi. Electron. J. Biotechnol. 2016, 24, 70–78. [Google Scholar] [CrossRef]
- Salim, E.; Mohamed, W.S.; Sadek, R. Evaluation of the Efficiency of Traditional Chitosan, Nano Chitosan and Chitosan Nanocomposites for Consolidating Aged Papyrus Paper. Pigment. Resin Technol. 2022. ahead-of-print. [Google Scholar] [CrossRef]
- Ciolacu, F.; Nicu, R.; Balan, T.; Bobu, E. Chitosan Derivatives as Bio-Based Materials for Paper Heritage Conservation. BioResources 2016, 12, 735–747. [Google Scholar] [CrossRef]
- Caruso, M.R.; D’Agostino, G.; Milioto, S.; Cavallaro, G.; Lazzara, G. A Review on Biopolymer-Based Treatments for Consolidation and Surface Protection of Cultural Heritage Materials. J. Mater. Sci. 2023, 58, 12954–12975. [Google Scholar] [CrossRef]
- Zhgun, A.; Avdanina, D.; Shagdarova, B.; Nuraeva, G.; Shumikhin, K.; Zhuikova, Y.; Il’ina, A.; Troyan, E.; Shitov, M.; Varlamov, V. The Application of Chitosan for Protection of Cultural Heritage Objects of the 15–16th Centuries in the State Tretyakov Gallery. Materials 2022, 15, 7773. [Google Scholar] [CrossRef] [PubMed]
- Bou-Belda, E.; Indrie, L.; Ilies, D.C.; Hodor, N.; Berdenov, Z.; Herman, G.; Caciora, T. Chitosan—A Non-Invasive Approach for the Preservation of Historical Textiles. Ind. Textila 2020, 71, 576–579. [Google Scholar] [CrossRef]
- Wang, X.; Hu, Y.; Zhang, Z.; Zhang, B. The Application of Thymol-Loaded Chitosan Nanoparticles to Control the Biodeterioration of Cultural Heritage Sites. J. Cult. Herit. 2022, 53, 206–211. [Google Scholar] [CrossRef]
- Campos, B.; Marco, A.; Cadeco, G.; Freire-Lista, D.M.; Silvestre-Albero, J.; Algarra, M.; Vieira, E.; Pintado, M.; Moreira, P. Green Chitosan: Thiourea Dioxide Cleaning Gel for Manganese Stains on Granite and Glass Substrates. Herit. Sci. 2021, 9, 160. [Google Scholar] [CrossRef]
- Stulik, D.; Miller, D.; Khanjian, H.; Khandekar, N.; Wolbers, R.; Carlson, J.; Petersen, C. Solvent Gels for the Cleaning of Works of Art: The Residue Question. In Solvent Gels for the Cleaning of Works of Art: The Residue Question; Dorge, V., Ed.; Getty Publications: Los Angeles, CA, USA, 2004; Volume 1, p. 180. ISBN 0-89236-759-8. [Google Scholar]
- Mekahlia, S.; Bouzid, B. Chitosan-Copper (II) Complex as Antibacterial Agent: Synthesis, Characterization and Coordinating Bond- Activity Correlation Study. Phys. Procedia 2009, 2, 1045–1053. [Google Scholar] [CrossRef]
- Trimukhe, K.; Varma, A. A Morphological Study of Heavy Metal Complexes of Chitosan and Crosslinked Chitosans by SEM and WAXRD. Carbohydr. Polym. 2008, 71, 698–702. [Google Scholar] [CrossRef]
- Nie, J.; Wang, Z.; Hu, Q. Chitosan Hydrogel Structure Modulated by Metal Ions. Sci. Rep. 2016, 6, 36005. [Google Scholar] [CrossRef]
- Verma, C.; Quraishi, M.A. Chelation Capability of Chitosan and Chitosan Derivatives: Recent Developments in Sustainable Corrosion Inhibition and Metal Decontamination Applications. Curr. Res. Green Sustain. Chem. 2021, 4, 100184. [Google Scholar] [CrossRef]
- Grange, C.; Aigle, A.; Ehrlich, V.; Salazar Ariza, J.F.; Brichart, T.; Da Cruz-Boisson, F.; David, L.; Lux, F.; Tillement, O. Design of a Water-Soluble Chitosan-Based Polymer with Antioxidant and Chelating Properties for Labile Iron Extraction. Sci. Rep. 2023, 13, 7920. [Google Scholar] [CrossRef]
- Lai, H.; Liu, S.; Yan, J.; Xing, F.; Xiao, P. Facile Fabrication of Biobased Hydrogel from Natural Resources: L-Cysteine, Itaconic Anhydride, and Chitosan. ACS Sustain. Chem. Eng. 2020, 8, 4941–4947. [Google Scholar] [CrossRef]
- Palomar, T.; Ramírez Barat, B.; Cano, E. Evaluation of Cleaning Treatments for Tarnished Silver: The Conservator’s Perspective. Int. J. Conserv. Sci. 2018, 9, 81–90. [Google Scholar] [CrossRef]
- Guaragnone, T.; Rossi, M.; Chelazzi, D.; Mastrangelo, R.; Severi, M.; Fratini, E.; Baglioni, P. PH-Responsive Semi-Interpenetrated Polymer Networks of PHEMA/PAA for the Capture of Copper Ions and Corrosion Removal. ACS Appl. Mater. Interfaces 2022, 14, 7471–7485. [Google Scholar] [CrossRef]
- Sokhanvarian, K.; Nasr-El-Din, H.A.; De Wolf, C.A. Thermal Decomposition of Chelating Agents and a New Mechanism of Formation Damage. In Proceedings of the SPE European Formation Damage Conference & Exhibition, Noordwijk, The Netherlands, 5–7 June 2013; SPE: Noordwijk, The Netherlands, 2013. [Google Scholar]
- Albelda-Berenguer, M.; Monachon, M.; Joseph, E. Siderophores: From Natural Roles to Potential Applications, 1st ed.; Elsevier Inc.: Amsterdam, The Netherlands, 2019; Volume 106, ISBN 9780128169759. [Google Scholar]
- Rapti, S.; Boyatzis, S.C.; Rivers, S.; Pournou, A. Siderophores and Their Applications in Wood, Textile, and Paper Conservation. In Microorganisms in the Deterioration and Preservation of Cultural Heritage; Springer International Publishing: Cham, Switzerland, 2021; pp. 301–339. ISBN 9783030694111. [Google Scholar]
- Fazary, A.E.; Ju, Y.-H.; Al-Shihri, A.S.; Alfaifi, M.Y.; Alshehri, M.A. Biodegradable Siderophores: Survey on Their Production, Chelating and Complexing Properties. Rev. Inorg. Chem. 2016, 36, 153–181. [Google Scholar] [CrossRef]
- Jones, G.; Goswami, S.K.; Kang, H.; Choi, H.S.; Kim, J. Combating Iron Overload: A Case for Deferoxamine-Based Nanochelators. Nanomedicine 2020, 15, 1341–1356. [Google Scholar] [CrossRef] [PubMed]
- Giordano, A.; Caruso, M.R.; Lazzara, G. New Tool for Sustainable Treatments: Agar Spray—Research and Practice. Herit. Sci. 2022, 10, 123. [Google Scholar] [CrossRef]
- Takara, E.A.; Marchese, J.; Ochoa, N.A. NaOH Treatment of Chitosan Films: Impact on Macromolecular Structure and Film Properties. Carbohydr. Polym. 2015, 132, 25–30. [Google Scholar] [CrossRef] [PubMed]
- Nakayama, R.; Katsumata, K.; Niwa, Y.; Namiki, N. Dependence of Water-Permeable Chitosan Membranes on Chitosan Molecular Weight and Alkali Treatment. Membranes 2020, 10, 351. [Google Scholar] [CrossRef]
- Canal, T.; Peppas, N.A. Correlation between Mesh Size and Equilibrium Degree of Swelling of Polymeric Networks. J. Biomed. Mater. Res. 1989, 23, 1183–1193. [Google Scholar] [CrossRef]
- Mezger, T.G. Applied Rheology: With Joe Flow on Rheology Road; Anton Paar GmbH: Graz, Austria, 2018; ISBN 9783950401608. [Google Scholar]
- Ghebremedhin, M.; Seiffert, S.; Vilgis, T.A. Physics of Agarose Fluid Gels: Rheological Properties and Microstructure. Curr. Res. Food Sci. 2021, 4, 436–448. [Google Scholar] [CrossRef]
- Montembault, A.; Viton, C.; Domard, A. Rheometric Study of the Gelation of Chitosan in Aqueous Solution without Cross-Linking Agent. Biomacromolecules 2005, 6, 653–662. [Google Scholar] [CrossRef]
- Heyn, A. Comparison of Liquid and Gel Electrolytes for the Investigation of Pitting Corrosion on Stainless Steels. IOP Conf. Ser. Mater. Sci. Eng. 2020, 882, 012010. [Google Scholar] [CrossRef]
- Elhefian, E.; Nasef, M.M.; Abdul, H.Y. Preparation and Characterization of Chitosan/Agar Blended Films: Part 1. Chemical Structure and Morphology. E-J. Chem. 2012, 9, 1431–1439. [Google Scholar] [CrossRef]
- Cheung, W.; Patel, M.; Ma, Y.; Chen, Y.; Xie, Q.; Lockard, J.V.; Gao, Y.; He, H. π-Plasmon Absorption of Carbon Nanotubes for the Selective and Sensitive Detection of Fe3+ Ions. Chem. Sci. 2016, 7, 5192–5199. [Google Scholar] [CrossRef] [PubMed]
- Pawlaczyk, M.; Schroeder, G. Deferoxamine-Modified Hybrid Materials for Direct Chelation of Fe(III) Ions from Aqueous Solutions and Indication of the Competitiveness of In Vitro Complexing toward a Biological System. ACS Omega 2021, 6, 15168–15181. [Google Scholar] [CrossRef] [PubMed]
- Yu, Z.; Zhan, J.; Wang, H.; Zheng, H.; Xie, J.; Wang, X. Analysis of Influencing Factors on Viscosity of Agar Solution for Capsules. J. Phys. Conf. Ser. 2020, 1653, 012059. [Google Scholar] [CrossRef]
- Norziah, M.H.; Foo, S.L.; Karim, A.A. Rheological Studies on Mixtures of Agar (Gracilaria Changii) and κ-Carrageenan. Food Hydrocoll. 2006, 20, 204–217. [Google Scholar] [CrossRef]
- Armisén, R.; Gaiatas, F. Agar. In Handbook of Hydrocolloids; Elsevier: Amsterdam, The Netherlands, 2009; pp. 82–107. [Google Scholar]
- Mitchell, J.R. The Rheology of Gels. J. Texture Stud. 1980, 11, 315–337. [Google Scholar] [CrossRef]
- Yoshimura, M.; Nishinari, K. Dynamic Viscoelastic Study on the Gelation of Konjac Glucomannan with Different Molecular Weights. Food Hydrocoll. 1999, 13, 227–233. [Google Scholar] [CrossRef]
- Tao, H.; Guo, L.; Qin, Z.; Yu, B.; Wang, Y.; Li, J.; Wang, Z.; Shao, X.; Dou, G.; Cui, B. Textural Characteristics of Mixed Gels Improved by Structural Recombination and the Formation of Hydrogen Bonds between Curdlan and Carrageenan. Food Hydrocoll. 2022, 129, 107678. [Google Scholar] [CrossRef]
- Nie, J.; Wang, Z.; Hu, Q. Difference between Chitosan Hydrogels via Alkaline and Acidic Solvent Systems. Sci. Rep. 2016, 6, 36053. [Google Scholar] [CrossRef]
- Xu, H.; Matysiak, S. Effect of PH on Chitosan Hydrogel Polymer Network Structure. Chem. Commun. 2017, 53, 7373–7376. [Google Scholar] [CrossRef]
- Huang, J.; Voigt, M.; Wackenrohr, S.; Ebbert, C.; Keller, A.; Maier, H.J.; Grundmeier, G. Influence of Hydrogel Coatings on Corrosion and Fatigue of Iron in Simulated Body Fluid. Mater. Corros. 2022, 73, 1034–1044. [Google Scholar] [CrossRef]
- Samiey, B.; Ashoori, F. Adsorptive Removal of Methylene Blue by Agar: Effects of NaCl and Ethanol. Chem. Cent. J. 2012, 6, 14. [Google Scholar] [CrossRef]
- Vuai, S.A.H. Characterization of Agar Extracted from Gracilaria Species Collected along Tanzanian Coast. Heliyon 2022, 8, e09002. [Google Scholar] [CrossRef] [PubMed]
- Freile-Pelegrín, Y.; Robledo, D. Influence of Alkali Treatment on Agar from Gracilaria Cornea from Yucatan, Mexico. J. Appl. Phycol. 1997, 9, 533–539. [Google Scholar] [CrossRef]
- Andriamanantoanina, H.; Chambat, G.; Rinaudo, M. Fractionation of Extracted Madagascan Gracilaria Corticata Polysaccharides: Structure and Properties. Carbohydr. Polym. 2007, 68, 77–88. [Google Scholar] [CrossRef]
- Umemura, M.; Kim, J.-H.; Aoyama, H.; Hoshino, Y.; Fukumura, H.; Nakakaji, R.; Sato, I.; Ohtake, M.; Akimoto, T.; Narikawa, M.; et al. The Iron Chelating Agent, Deferoxamine Detoxifies Fe(Salen)-Induced Cytotoxicity. J. Pharmacol. Sci. 2017, 134, 203–210. [Google Scholar] [CrossRef]
- Siebner-Freibach, H.; Yariv, S.; Lapides, Y.; Hadar, Y.; Chen, Y. Thermo-FTIR Spectroscopic Study of the Siderophore Ferrioxamine B: Spectral Analysis and Stereochemical Implications of Iron Chelation, PH, and Temperature. J. Agric. Food Chem. 2005, 53, 3434–3443. [Google Scholar] [CrossRef]
- Murugappan, R.; Karthikeyan, M.; Aravinth, A.; Alamelu, M. Siderophore-Mediated Iron Uptake Promotes Yeast–Bacterial Symbiosis. Appl. Biochem. Biotechnol. 2012, 168, 2170–2183. [Google Scholar] [CrossRef] [PubMed]
- Lazaridou, M.; Christodoulou, E.; Nerantzaki, M.; Kostoglou, M.; Lambropoulou, D.; Katsarou, A.; Pantopoulos, K.; Bikiaris, D. Formulation and In-Vitro Characterization of Chitosan-Nanoparticles Loaded with the Iron Chelator Deferoxamine Mesylate (DFO). Pharmaceutics 2020, 12, 238. [Google Scholar] [CrossRef]
- Zia, Q.; Tabassum, M.; Gong, H.; Li, J. A Review on Chitosan for the Removal of Heavy Metals Ions. J. Fiber Bioeng. Inform. 2019, 12, 103–128. [Google Scholar] [CrossRef]
- Mallik, A.K.; Kabir, S.F.; Bin Abdur Rahman, F.; Sakib, M.N.; Efty, S.S.; Rahman, M.M. Cu(II) Removal from Wastewater Using Chitosan-Based Adsorbents: A Review. J. Environ. Chem. Eng. 2022, 10, 108048. [Google Scholar] [CrossRef]
- Yang, Z.; Chai, Y.; Zeng, L.; Gao, Z.; Zhang, J.; Ji, H. Efficient Removal of Copper Ion from Wastewater Using a Stable Chitosan Gel Material. Molecules 2019, 24, 4205. [Google Scholar] [CrossRef]
- Guaresti, O.; Basasoro, S.; González, K.; Eceiza, A.; Gabilondo, N. In Situ Cross–Linked Chitosan Hydrogels via Michael Addition Reaction Based on Water–Soluble Thiol–Maleimide Precursors. Eur. Polym. J. 2019, 119, 376–384. [Google Scholar] [CrossRef]
- Sirviö, J.A.; Kantola, A.M.; Komulainen, S.; Filonenko, S. Aqueous Modification of Chitosan with Itaconic Acid to Produce Strong Oxygen Barrier Film. Biomacromolecules 2021, 22, 2119–2128. [Google Scholar] [CrossRef] [PubMed]
- Radhakumary, C.; Antonty, M.; Sreenivasan, K. Drug Loaded Thermoresponsive and Cytocompatible Chitosan Based Hydrogel as a Potential Wound Dressing. Carbohydr. Polym. 2011, 83, 705–713. [Google Scholar] [CrossRef]
- Dan, S.; Kalantari, M.; Kamyabi, A.; Soltani, M. Synthesis of Chitosan-g-Itaconic Acid Hydrogel as an Antibacterial Drug Carrier: Optimization through RSM-CCD. Polym. Bull. 2022, 79, 8575–8598. [Google Scholar] [CrossRef]
- Medeiros Borsagli, F.G.L.; Carvalho, I.C.; Mansur, H.S. Amino Acid-Grafted and N-Acylated Chitosan Thiomers: Construction of 3D Bio-Scaffolds for Potential Cartilage Repair Applications. Int. J. Biol. Macromol. 2018, 114, 270–282. [Google Scholar] [CrossRef]
- dos Santos, L.N.; Santos, A.S.; das Graças Fernandes Dantas, K.; Ferreira, N.R. Adsorption of Cu (II) Ions Present in the Distilled Beverage (Sugar Cane Spirit) Using Chitosan Derived from the Shrimp Shell. Polymers 2022, 14, 573. [Google Scholar] [CrossRef]
- Mohamed, N.A.; Fahmy, M.M. Synthesis and Antimicrobial Activity of Some Novel Cross-Linked Chitosan Hydrogels. Int. J. Mol. Sci. 2012, 13, 11194–11209. [Google Scholar] [CrossRef]
- Gieroba, B.; Sroka-Bartnicka, A.; Kazimierczak, P.; Kalisz, G.; Lewalska-Graczyk, A.; Vivcharenko, V.; Nowakowski, R.; Pieta, I.S.; Przekora, A. Spectroscopic Studies on the Temperature-Dependent Molecular Arrangements in Hybrid Chitosan/1,3-β-D-Glucan Polymeric Matrices. Int. J. Biol. Macromol. 2020, 159, 911–921. [Google Scholar] [CrossRef]
- Teleky, B.-E.; Vodnar, D. Biomass-Derived Production of Itaconic Acid as a Building Block in Specialty Polymers. Polymers 2019, 11, 1035. [Google Scholar] [CrossRef]
- Valmalette, J.-C.; Tan, Z.; Abe, H.; Ohara, S. Raman Scattering of Linear Chains of Strongly Coupled Ag Nanoparticles on SWCNTs. Sci. Rep. 2014, 4, 5238. [Google Scholar] [CrossRef] [PubMed]
- Zając, A.; Hanuza, J.; Wandas, M.; Dymińska, L. Determination of N-Acetylation Degree in Chitosan Using Raman Spectroscopy. Spectrochim. Acta Part A Mol. Biomol. Spectrosc. 2015, 134, 114–120. [Google Scholar] [CrossRef] [PubMed]
- Song, Y.; Hemley, R.J.; Liu, Z.; Somayazulu, M.; Mao, H.; Herschbach, D.R. High-Pressure Stability, Transformations, and Vibrational Dynamics of Nitrosonium Nitrate from Synchrotron Infrared and Raman Spectroscopy. J. Chem. Phys. 2003, 119, 2232–2240. [Google Scholar] [CrossRef]
- Yu, Y.; Ramachandran, P.V.; Wang, M.C. Shedding New Light on Lipid Functions with CARS and SRS Microscopy. Biochim. Biophys. Acta Mol. Cell Biol. Lipids 2014, 1841, 1120–1129. [Google Scholar] [CrossRef]
- Zhang, K.; Helm, J.; Peschel, D.; Gruner, M.; Groth, T.; Fischer, S. NMR and FT Raman Characterisation of Regioselectively Sulfated Chitosan Regarding the Distribution of Sulfate Groups and the Degree of Substitution. Polymer 2010, 51, 4698–4705. [Google Scholar] [CrossRef]
- Waterhouse, G.I.N.; Bowmaker, G.A.; Metson, J.B. The Thermal Decomposition of Silver (I, III) Oxide: A Combined XRD, FT-IR and Raman Spectroscopic Study. Phys. Chem. Chem. Phys. 2001, 3, 3838–3845. [Google Scholar] [CrossRef]
- Martina, I.; Wiesinger, R.; Schreiner, M. Micro-Raman Characterisation of Silver Corrosion Products: Instrumental Set Up and Reference. e-Preserv. Sci. 2012, 9, 1–8. [Google Scholar]
- Rahbani, J.; Behzad, A.R.; Khashab, N.M.; Al-Ghoul, M. Characterization of Internal Structure of Hydrated Agar and Gelatin Matrices by Cryo-SEM. Electrophoresis 2013, 34, 405–408. [Google Scholar] [CrossRef] [PubMed]
- Chaudhary, J.; Thakur, S.; Sharma, M.; Gupta, V.K.; Thakur, V.K. Development of Biodegradable Agar-Agar/Gelatin-Based Superabsorbent Hydrogel as an Efficient Moisture-Retaining Agent. Biomolecules 2020, 10, 939. [Google Scholar] [CrossRef] [PubMed]
- Kavukcuoglu, N.B.; Pleshko, N. Infrared and Raman Microscopy and Imaging of Biomaterials. In Comprehensive Biomaterials; Elsevier: Amsterdam, The Netherlands, 2011; pp. 365–378. [Google Scholar]















| Band Assignment | Wavenumber (cm−1) | ||
|---|---|---|---|
| Agar | Deferoxamine | Agar-DFO | |
| N–H stretch. | 3306 m, sharp | 3310 m, sharp | |
| –OH | 3289, br | 3137, br | |
| C–N–H | 3099 w, br | ||
| CH2 as. Stretch. | 2928 vw, sharp | 2927 w, sharp | |
| –CH | 2923 w, sharp | ||
| CH2 s. stretch. | 2855 w, sharp | 2856 vw, sharp | |
| C==O stretch. | 1622 vs, sharp (hydroxamate) | 1620 vs, sharp | |
| O–H bend. | 1634 m | ||
| C–N–H | 1565 m, sharp | 1563 m, sharp | |
| CH3 | 1459 m, sharp | 1459 m, sharp | |
| C–H | 1425 w | 1426 w | |
| O–H deform. | 1396 w, sharp | 1396 w, sharp | |
| –C–N stretch. | 1314 vw | 1310 vw | |
| C–N stretch N–H bend. | 1268 vw | 1268 vw1254, shoulder | |
| S==O | 1252 vw | ||
| C–N stretch. | 1161 m | 1160 m | |
| N–O stretch. | 1041 vs, sharp 989 w, sharp 963 m, sharp | 1041 vs 989 w, sharp 966 m, sharp | |
| C==O (3,6-anhydro-a-L-galactose) | 931 m, sharp | 931 m, sharp | |
| Band Assignment | Wavenumber (cm−1) |
|---|---|
| O–H stretching | 3351 m, br |
| N–H stretching | 3293 w, br |
| CH3 stretching | 2917 s, sharp |
| CH2 stretching | 2849 w, sharp |
| C=O amide I | 1633 w, shoulder |
| –NH2 amide II | 1556 vs, sharp |
| –CH2 bending | 1468 vw, shoulder |
| C=O carboxylate group * | 1384 vs, sharp |
| C–N stretching | 1317 w, br |
| C–SH ** | 1243 w |
| C–O–C | 1149 m, sharp |
| C–O stretching | 1068 m, sharp |
| C–O stretching | 1031 m, sharp |
| S–H | 945 vw, sharp |
| C–H bending | 895 w shoulder |
Disclaimer/Publisher’s Note: The statements, opinions and data contained in all publications are solely those of the individual author(s) and contributor(s) and not of MDPI and/or the editor(s). MDPI and/or the editor(s) disclaim responsibility for any injury to people or property resulting from any ideas, methods, instructions or products referred to in the content. |
© 2024 by the authors. Licensee MDPI, Basel, Switzerland. This article is an open access article distributed under the terms and conditions of the Creative Commons Attribution (CC BY) license (https://creativecommons.org/licenses/by/4.0/).
Share and Cite
Cuvillier, L.; Passaretti, A.; Guilminot, E.; Joseph, E. Agar and Chitosan Hydrogels’ Design for Metal-Uptaking Treatments. Gels 2024, 10, 55. https://doi.org/10.3390/gels10010055
Cuvillier L, Passaretti A, Guilminot E, Joseph E. Agar and Chitosan Hydrogels’ Design for Metal-Uptaking Treatments. Gels. 2024; 10(1):55. https://doi.org/10.3390/gels10010055
Chicago/Turabian StyleCuvillier, Luana, Arianna Passaretti, Elodie Guilminot, and Edith Joseph. 2024. "Agar and Chitosan Hydrogels’ Design for Metal-Uptaking Treatments" Gels 10, no. 1: 55. https://doi.org/10.3390/gels10010055
APA StyleCuvillier, L., Passaretti, A., Guilminot, E., & Joseph, E. (2024). Agar and Chitosan Hydrogels’ Design for Metal-Uptaking Treatments. Gels, 10(1), 55. https://doi.org/10.3390/gels10010055

