New Antibacterial Chloro-Containing Polyketides from the Alga-Derived Fungus Asteromyces cruciatus KMM 4696
Abstract
:1. Introduction
2. Materials and Methods
2.1. General Experimental Procedures
2.2. Fungal Strain
2.3. Cultivation of Fungus
2.4. Extraction and Isolation
2.5. Spectral Data
2.6. Preparation of Acetonides of 1a and 4a
2.7. Preparation of (S)-MTPA and (R)-MTPA Esters of 1a
2.8. An Epoxy Ring-Opening Reaction
2.9. Cell Lines and Culture Conditions
2.10. MTT Assay
2.11. Sortase Activity Inhibition Assay
2.12. Antimicrobial Activity
2.13. Biofilm Formation
2.14. Co-Cultivation of HaCaT Cells with S. aureus
2.15. Statistical Analysis
3. Results and Discussion
3.1. Isolated Compounds from Asteromyces cruciatus
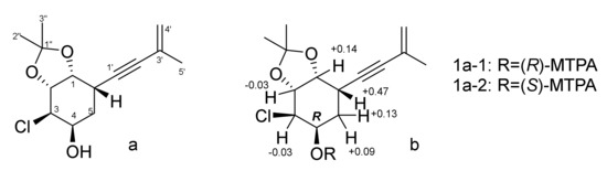
3.2. Structural Characterization of New Compounds
3.3. Biological Activity
4. Conclusions
Supplementary Materials
Author Contributions
Funding
Institutional Review Board Statement
Informed Consent Statement
Data Availability Statement
Acknowledgments
Conflicts of Interest
Appendix A

References
- Pang, K.L.; Overy, D.P.; Jones, E.B.G.; Calado, M.D.L.; Burgaud, G.; Walker, A.K.; Johnson, J.A.; Kerr, R.G.; Cha, H.J.; Bills, G.F. ‘Marine fungi’ and ‘marine-derived fungi’ in natural product chemistry research: Toward a new consensual definition. Fungal Biol. Rev. 2016, 30, 163–175. [Google Scholar] [CrossRef]
- Chen, S.; Wang, J.; Lin, X.; Zhao, B.; Wei, X.; Li, G.; Kaliaperumal, K.; Liao, S.; Yang, B.; Zhou, X.; et al. Chrysamides A-C, three dimeric nitrophenyl trans-epoxyamides produced by the deep-sea-derived fungus Penicillium chrysogenum SCSIO41001. Org. Lett. 2016, 18, 3650–3653. [Google Scholar] [CrossRef] [PubMed]
- Jones, E.B.G.; Stanley, S.J.; Pinruan, U. Marine endophyte sources of new chemical natural products: A review. Bot. Mar. 2008, 51, 163–170. [Google Scholar] [CrossRef]
- Jones, E.B.G.; Pang, K.L.; Abdel-Wahab, M.A.; Scholz, B.; Hyde, K.D.; Boekhout, T.; Ebel, R.; Rateb, M.E.; Henderson, L.; Sakayaroj, J.; et al. An online resource for marine fungi. Fungal Divers. 2019, 96, 347–433. [Google Scholar] [CrossRef]
- Shin, J.H.; Fenical, W. Isolation of gliovictin from the marine deuteromycete Asteromyces cruciatus. Phytochemistry 1987, 26, 3347. [Google Scholar] [CrossRef]
- Gulder, T.A.M.; Hong, H.; Correa, J.; Egereva, E.; Wiese, J.; Imhoff, J.F.; Gross, H. Isolation, structure elucidation and total synthesis of lajollamide A from the marine fungus Asteromyces cruciatus. Mar. Drugs 2012, 10, 2912–2935. [Google Scholar] [CrossRef]
- Igboeli, H.A.; Marchbank, D.H.; Correa, H.; Overy, D.; Kerr, R.G. Discovery of Primarolides A and B from Marine Fungus Asteromyces cruciatus Using Osmotic Stress and Treatment with Suberoylanilide Hydroxamic Acid. Mar. Drugs 2019, 17, 435. [Google Scholar] [CrossRef] [Green Version]
- Wang, C.; Tang, S.; Cao, S. Antimicrobial compounds from marine fungi. Phytochem. Rev. 2020, 20, 85–117. [Google Scholar] [CrossRef]
- Gomes, N.G.M.; Madureira-Carvalho, Á.; Dias-da-Silva, D.; Valentão, P.; Andrade, P.B. Biosynthetic versatility of marine-derived fungi on the delivery of novel antibacterial agents against priority pathogens. Biomed. Pharmacother. 2021, 140, 111756. [Google Scholar] [CrossRef]
- Nweze, J.A.; Mbaoji, F.N.; Huang, G.; Li, Y.; Yang, L.; Zhang, Y.; Huang, S.; Pan, L.; Yang, D. Antibiotics development and the potentials of marine-derived compounds to stem the tide of multidrug-resistant pathogenic bacteria, fungi, and protozoa. Mar. Drugs 2020, 18, 145. [Google Scholar] [CrossRef] [Green Version]
- Mazmanian, S.K.; Ton-That, H.; Su, K.; Schneewind, O. An iron-regulated sortase anchors a class of surface protein during Staphylococcus aureus pathogenesis. Proc. Natl. Acad. Sci. USA 2002, 99, 2293–2298. [Google Scholar] [CrossRef] [PubMed] [Green Version]
- Hendrickx, A.P.; Budzik, J.M.; Oh, S.Y.; Schneewind, O. Architects at the bacterial surface-sortases and the assembly of pili with isopeptide bonds. Nat. Rev. Microbiol. 2011, 9, 166–176. [Google Scholar] [CrossRef] [PubMed]
- Nitulescu, G.; Margina, D.; Zanfirescu, A.; Olaru, O.T.; Nitulescu, G.M. Targeting bacterial sortases in search of anti-virulence therapies with low risk of resistance development. Pharmaceuticals 2021, 14, 415. [Google Scholar] [CrossRef] [PubMed]
- Chingizova, E.A.; Menchinskaya, E.S.; Chingizov, A.R.; Pislyagin, E.A.; Girich, E.V.; Yurchenko, A.N.; Guzhova, I.V.; Mikhailov, V.V.; Aminin, D.L.; Yurchenko, E.A. Marine fungal cerebroside flavuside B protects HaCaT keratinocytes against Staphylococcus aureus induced damage. Mar. Drugs 2021, 19, 553. [Google Scholar] [CrossRef]
- Girich, E.V.; Rasin, A.B.; Popov, R.S.; Yurchenko, E.A.; Chingizova, E.A.; Trinh, P.T.H.; Ngoc, N.T.D.; Pivkin, M.V.; Zhuravleva, O.I.; Yurchenko, A.N. New tripeptide derivatives asterripeptides A-C from vietnamese mangrove-derived fungus Aspergillus terreus LM.5.2. Mar. Drugs 2022, 20, 77. [Google Scholar] [CrossRef]
- White, T.J.; Bruns, T.D.; Lee, S.B.; Taylor, J.W. Amplification and direct sequencing of fungal ribosomal RNA genes for phylogenetics. In PCR Protocols: A Guide to Methods and Applications; Innis, M.A., Gelfand, D.H., Sninsky, J.J., White, T.J., Eds.; Academic Press: London, UK, 1990; pp. 315–322. [Google Scholar]
- Dyshlovoy, S.A.; Pelageev, D.N.; Hauschild, J.; Borisova, K.L.; Kaune, M.; Krisp, C.; Venz, S.; Sabutskii, Y.E.; Khmelevskaya, E.A.; Busenbender, T.; et al. Successful targeting of the warburg effect in prostate cancer by glucose-conjugated 1,4-naphthoquinones. Cancers 2019, 11, 21. [Google Scholar] [CrossRef] [Green Version]
- Dyshlovoy, S.A.; Pelageev, D.N.; Hauschild, J.; Sabutskii, Y.E.; Khmelevskaya, E.A.; Krisp, C.; Kaune, M.; Venz, S.; Borisova, K.L.; Busenbender, T.; et al. Inspired by sea urchins: Warburg effect mediated selectivity of novel synthetic non-glycoside 1,4-naphthoquinone-6S-glucoseconjugates in prostate cancer. Mar. Drugs 2020, 18, 31. [Google Scholar] [CrossRef]
- Macià, M.D.; Rojo-Molinero, E.; Oliver, A. Antimicrobial susceptibility testing in biofilm-growing bacteria. Clin. Microbiol. Infect. 2014, 20, 981–990. [Google Scholar] [CrossRef] [Green Version]
- Thappeta, K.R.; Zhao, L.N.; Nge, C.E.; Crasta, S.; Leong, C.Y.; Ng, V.; Kanagasundaram, Y.; Fan, H.; Ng, S.B. In-Silico identified new natural sortase A inhibitors disrupt S. aureus biofilm formation. Int. J. Mol. Sci. 2020, 21, 8601. [Google Scholar] [CrossRef]
- Wiegand, C.; Abel, M.; Ruth, P.; Hipler, U.C. HaCaT keratinocytes in co-culture with Staphylococcus aureus can be protected from bacterial damage by polihexanide. Wound Repair Regen. 2009, 17, 730–738. [Google Scholar] [CrossRef]
- Nagle, D.G.; Gerwick, W.H. Structure and stereochemistry of constanolactones A-G, lactonized cyclopropyl oxylipins from the red marine alga Constantinea simplex. J. Org. Chem. 1994, 59, 7227–7237. [Google Scholar] [CrossRef]
- Kusumi, T.; Ooi, T.; Ohkubo, Y.; Yabuuchi, T. The modified Mosher’s method and the sulfoximine method. Bull. Chem. Soc. Jpn. 2006, 79, 965–980. [Google Scholar] [CrossRef]
- Rukachaisirikul, V.; Rungsaiwattana, N.; Klaiklay, S.; Phongpaichit, S.; Borwomwiriyapan, K.; Sakayaroji, J. gamma-Butyrolactone, cytochalasin, cyclic carbonate, eutypinic acid, and phenalenone derivatives from the soil fungus Aspergillus sp. PSU-RSPG185. J. Nat. Prod. 2014, 77, 2375–2382. [Google Scholar] [CrossRef]
- Li, J.; Park, S.; Miller, R.L.; Lee, D. Tandem enyne metathesis-metallotropic [1,3]-shift for a concise total syntheses of (+)-asperpentyn, (−)-harveynone, and (−)-tricholomenyn A. Org. Lett. 2009, 11, 571–574. [Google Scholar] [CrossRef] [PubMed] [Green Version]
- Rao, C.B.; Rao, D.C.; Venkateswara, M.; Venkateswarlu, Y. Protective opening of epoxide using pivaloyl halides under catalyst-free conditions. Green Chem. 2011, 13, 2704–2707. [Google Scholar] [CrossRef]
- Muhlenfeld, A.; Achenbach, H. Asperpentyn, a Novel Acetylenic Cyclohexene Epoxide from Aspergillus duricaulis. Phytochemistry 1988, 27, 3853–3855. [Google Scholar] [CrossRef]
- Yurchenko, A.N.; Smetanina, O.F.; Khudyakova, Y.V.; Kirichuk, N.N.; Yurchenko, E.A.; Afiyatullov, S.S. Metabolites of the marine isolate of the fungus Curvularia inaequalis. Chem. Nat. Compd. 2013, 49, 163–164. [Google Scholar] [CrossRef]
- Zhao, Y.; Si, L.; Liu, D.; Proksch, P.; Zhou, D.; Lin, W. Truncateols A–N, new isoprenylated cyclohexanols from the sponge-associated fungus Truncatella angustata with anti-H1N1 virus activities. Tetrahedron 2015, 71, 2708–2718. [Google Scholar] [CrossRef]
- Zhao, Y.; Liu, D.; Proksch, P.; Zhou, D.; Lin, W. Truncateols O-V, further isoprenylated cyclohexanols from the sponge-associated fungus Truncatella angustata with antiviral activities. Phytochemistry 2018, 155, 61–68. [Google Scholar] [CrossRef]
- Yurchenko, A.N.; Smetanina, O.F.; Kalinovsky, A.I.; Pushilin, M.A.; Glazunov, V.P.; Khudyakova, Y.V.; Kirichuk, N.N.; Ermakova, S.P.; Dyshlovoy, S.A.; Yurchenko, E.A.; et al. Oxirapentyns F-K from the marine-sediment-derived fungus Isaria felina KMM 4639. J. Nat. Prod. 2014, 77, 1321–1328. [Google Scholar] [CrossRef]
- Volynets, G.; Vyshniakova, H.; Nitulescu, G.; Nitulescu, G.M.; Ungurianu, A.; Margina, D.; Moshynets, O.; Bdzhola, V.; Koleiev, I.; Iungin, O.; et al. Identification of novel antistaphylococcal hit compounds targeting sortase a. Molecules 2021, 26, 7095. [Google Scholar] [CrossRef] [PubMed]
- Guo, Y.; Cai, S.; Gu, G.; Guo, Z.; Long, Z. Recent progress in the development of sortase A inhibitors as novel anti-bacterial virulence agents. RSC Adv. 2015, 5, 49880–49889. [Google Scholar] [CrossRef]
- Mazmanian, S.K.; Liu, G.; Jensen, E.R.; Lenoy, E.; Schneewind, O. Staphylococcus aureus sortase mutants defective in the display of surface proteins and in the pathogenesis of animal infections. Proc. Natl. Acad. Sci. USA 2000, 97, 5510. [Google Scholar] [CrossRef] [Green Version]
- Smetanina, O.F.; Yurchenko, A.N.; Afiyatullov, S.S.; Kalinovsky, A.I.; Pushilin, M.A.; Khudyakova, Y.V.; Slinkina, N.N.; Ermakova, S.P.; Yurchenko, E.A. Oxirapentyns B-D produced by a marine sediment-derived fungus Isaria felina (DC.) Fr. Phytochem. Lett. 2012, 5, 165–169. [Google Scholar] [CrossRef]
- Wang, L.; Wang, G.; Qu, H.; Wang, K.; Jing, S.; Guan, S.; Su, L.; Li, Q.; Wang, D. Taxifolin, an Inhibitor of Sortase A, Interferes With the Adhesion of Methicillin-Resistant Staphylococcal aureus. Front. Microbiol. 2021, 12, 686864. [Google Scholar] [CrossRef] [PubMed]








| Position | 1 a | 2 a | 3 b | 4 c | 5 c | 6 d |
|---|---|---|---|---|---|---|
| 1 | 3.81, brs | 3.70, m | 3.68, dt (10.4, 5.4) | 4.06, brt (4.2) | 4.05, t (8.2) | 4.50, brs |
| 2 | 3.57, ddd (10.2, 6.8, 2.6) | 3.83, brs | 3.91, t (9.9) | 3.87, ddd (8.5, 5.2, 4.0) | 3.69, dd (11.2, 8.6) | 3.60, t (3.3) |
| 3 | 4.00, dd (10.3, 2.3) | 4.18, t (4.1) | 3.32, td (9.8, 4.6) | 4.25, dd (8.6, 3.9) | 3.31, ddd (11.3, 7.7, 6.2) | 3.50, m |
| 4 | 3.92, brs | 4.03, dq (12.0, 3.9) | 3.81, m | 4.37, brq (4.4) | 3.97, m | 4.53, d (4.8) |
| 5 | α: 1.92, td (12.9, 2.1) β: 1.65, dt (13.0, 3.2) | 1.74, dt (12.4, 3.9) 1.65, q (12.1) | 1.63, ddd (13.3, 11.8, 4.1) 2.01, ddd (13.3, 4.5, 3.2) | 5.92, d (4.2) | 5.82, brt (2.0) | 6.04, dt (5.0, 2.0) |
| 6 | 2.96, dt (12.6, 2.5) | 2.73, td (12.0, 3.9) | 3.21, q (4.0) | |||
| 4′ | a: 5.14, s b: 5.18, s | a: 5.16, s b: 5.19, s | 5.21, m | a: 5.27, s b: 5.32, s | a: 5.27, s b: 5.31, s | a: 5.30, s b: 5.36, s |
| 5′ | 1.80, s | 1.81, s | 1.86, t (1.2) | 1.86, s | 1.86, s | 1.92, s |
| 1-OH | 4.89, d (4.3) | 4.77, d (6.7) | 4.38, d (5.6) | 5.04, d (6.7) | 5.73, d (7.9) | |
| 2-OH | 4.92, d (7.0) | 5.40, brs | 5.17, d (5.5) | |||
| 3-OH | 4.50, d (4.4) | 5.48, d (6.0) | ||||
| 4-OH | 5.06, d (4.2) | 4.90, d (4.9) | 4.04, d (3.4) | 5.25, brd (5.8) | 5.31, d (5.4) |
| Position | 1 a | 2 a | 3 b | 4 c | 5 c | 6 d |
|---|---|---|---|---|---|---|
| 1 | 71.9, CH | 68.7, CH | 74.2, CH | 67.9, CH | 72.9, CH | 65.2, CH |
| 2 | 70.2, CH | 72.5, CH | 68.9, CH | 68.6, CH | 68.3, CH | 53.5, CH |
| 3 | 65.7, CH | 66.1, CH | 79.5, CH | 63.3, CH | 74.8, CH | 55.3, CH |
| 4 | 68.2, CH | 64.0, CH | 71.1, CH | 65.1, CH | 71.2, CH | 63.0, CH |
| 5 | 33.1, CH2 | 33.4, CH2 | 34.2, CH2 | 136.0, CH | 137.2, CH | 131.4, CH |
| 6 | 28.5, CH | 30.3, CH | 35.0, CH | 123.5, C | 123.8, C | 123.5, C |
| 1′ | 91.1, C | 91.7, C | 88.4, C | 88.2, C | 86.8, C | 85.1, C |
| 2′ | 81.7, C | 81.7, C | 86.3, C | 89.9, C | 90.7, C | 93.5, C |
| 3′ | 126.8, C | 126.7, C | 128.6, C | 126.2, C | 126.2, C | 126.2, C |
| 4′ | 120.7, CH2 | 120.7, CH2 | 121.4, CH2 | 122.2, CH2 | 122.2, CH2 | 123.5, CH2 |
| 5′ | 23.5, CH3 | 23.5, CH3 | 23.8, CH3 | 23.0, CH3 | 23.0, CH3 | 23.2, CH3 |
Publisher’s Note: MDPI stays neutral with regard to jurisdictional claims in published maps and institutional affiliations. |
© 2022 by the authors. Licensee MDPI, Basel, Switzerland. This article is an open access article distributed under the terms and conditions of the Creative Commons Attribution (CC BY) license (https://creativecommons.org/licenses/by/4.0/).
Share and Cite
Zhuravleva, O.I.; Oleinikova, G.K.; Antonov, A.S.; Kirichuk, N.N.; Pelageev, D.N.; Rasin, A.B.; Menshov, A.S.; Popov, R.S.; Kim, N.Y.; Chingizova, E.A.; et al. New Antibacterial Chloro-Containing Polyketides from the Alga-Derived Fungus Asteromyces cruciatus KMM 4696. J. Fungi 2022, 8, 454. https://doi.org/10.3390/jof8050454
Zhuravleva OI, Oleinikova GK, Antonov AS, Kirichuk NN, Pelageev DN, Rasin AB, Menshov AS, Popov RS, Kim NY, Chingizova EA, et al. New Antibacterial Chloro-Containing Polyketides from the Alga-Derived Fungus Asteromyces cruciatus KMM 4696. Journal of Fungi. 2022; 8(5):454. https://doi.org/10.3390/jof8050454
Chicago/Turabian StyleZhuravleva, Olesya I., Galina K. Oleinikova, Alexandr S. Antonov, Natalia N. Kirichuk, Dmitry N. Pelageev, Anton B. Rasin, Alexander S. Menshov, Roman S. Popov, Natalya Yu. Kim, Ekaterina A. Chingizova, and et al. 2022. "New Antibacterial Chloro-Containing Polyketides from the Alga-Derived Fungus Asteromyces cruciatus KMM 4696" Journal of Fungi 8, no. 5: 454. https://doi.org/10.3390/jof8050454
APA StyleZhuravleva, O. I., Oleinikova, G. K., Antonov, A. S., Kirichuk, N. N., Pelageev, D. N., Rasin, A. B., Menshov, A. S., Popov, R. S., Kim, N. Y., Chingizova, E. A., Chingizov, A. R., Volchkova, O. O., von Amsberg, G., Dyshlovoy, S. A., Yurchenko, E. A., Guzhova, I. V., & Yurchenko, A. N. (2022). New Antibacterial Chloro-Containing Polyketides from the Alga-Derived Fungus Asteromyces cruciatus KMM 4696. Journal of Fungi, 8(5), 454. https://doi.org/10.3390/jof8050454

