Lethal Concentration and Sporulation by Contact and Direct Spray of the Entomopathogenic Fungus Beauveria bassiana on Different Stages of Nezara viridula (Heteroptera: Pentatomidae)
Abstract
1. Introduction
2. Materials and Methods
2.1. Insect Colonies
2.2. Fungal Isolate
2.3. Bioassay Procedures
2.3.1. Infectivity by Contact: Treated Diet
2.3.2. Infectivity by Direct Spray
2.4. Statistical Analysis
3. Results
3.1. Survival Probability
3.1.1. Nezara viridula Nymphal Stage
3.1.2. Nezara viridula Adults
3.2. Mortality, and Sporulation Percentage of Nezara viridula Nymphs and Adults among Concentration of Beauveria bassiana Strain NI8
3.3. Lethal Mortality, and Sporulation Response of Nezara viridula Nymphs and Adults to Beauveria bassiana Strain NI8
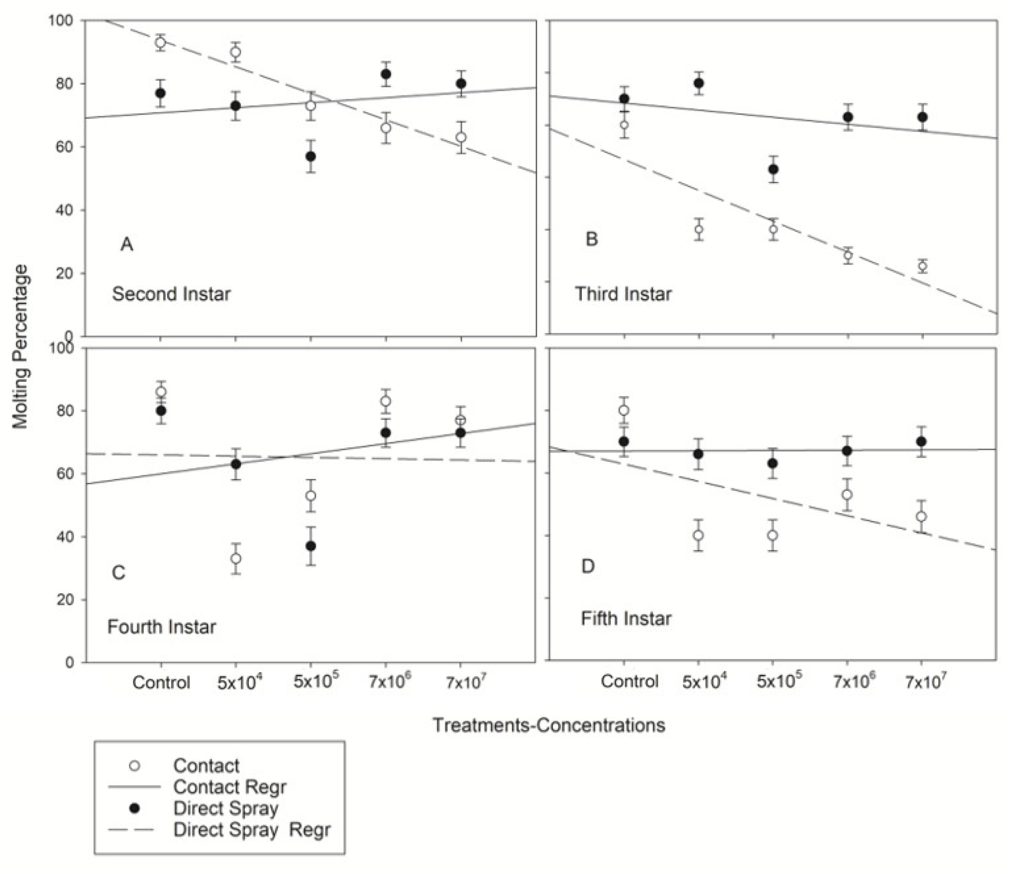
3.4. Molting Percentage of Nezara viridula Nymphs among Concentrations of Beauveria bassiana Strain NI8
4. Discussion
Author Contributions
Funding
Institutional Review Board Statement
Informed Consent Statement
Data Availability Statement
Acknowledgments
Conflicts of Interest
References
- Afrida, D.; Salbiah, D.; Laoh, J.H. Test of some concentration of local B. bassiana Vuillemin in control of green bug (Nezara viridula) (Hemiptera: Pentatomidae) at soybeans plant (Glycine max L.). JOM Faperta. 2014, 1, 1–10. [Google Scholar]
- Esquivel, J.F.; Medrano, E.G.; Bell, A.A. Southern green stink bugs (Hemiptera: Pentatomidae) as vectors of pathogens affecting cotton bolls—A Brief Review. Southwest. Entomol. 2010, 35, 457–461. [Google Scholar] [CrossRef]
- Panizzi, A.R.; Smith, J.G. Observacoes sobre inimigos natuais de Piezodorus guildinii (Weswood 1837) (Hemiptera, Pentatomidae) em soja. An. Da Soc. Entomol. Do Bras. 1976, 5, 11–17. [Google Scholar] [CrossRef]
- Panizzi, A.R. History and contemporary perspectives of the integrated pest management of soybean in Brazil. Neotrop. Entomol. 2013, 42, 119–127. [Google Scholar] [CrossRef] [PubMed]
- Harman, W.C.; Catchot, A.L.; Gore, J.; Henry, W.B.; Cook, D.R. The impact of brown stink bug (Hemiptera: Pentatomidae) damage during the seedling stage on field corn and yield. J. Econ. Entomol. 2021, 114, 1607–1612. [Google Scholar] [CrossRef] [PubMed]
- Lee, S.T.; Li, C.; Davis, J.A. Predator-pest dynamics of arthropods residing in Louisiana soybean agroecosystems. Insects 2022, 13, 154. [Google Scholar] [CrossRef] [PubMed]
- Portilla, M.; Reddy, G.V.P.; Moukaram, T. Effect of two strains of Beauveria bassiana on the fecundity of Nezara viridula L. (Heteroptera: Pentatomidae). Microbiol. Res. 2022, 13, 514–522. [Google Scholar] [CrossRef]
- Thrash, B.; Catchot, A.L.; Gore, J.; Cook, D.; Musser, F.R. Effects of Soybean plants population on yield loss. J. Econ. Entomol. 2021, 114, 702–709. [Google Scholar] [CrossRef]
- Emfinger, K.; Leonard, B.R.; Gore, J.; Cook, D. Insecticide toxicity to southern green, Nezara viridula (L.) and brown, Euschistus servus (Say), stinkbugs. In Proceedings of the Beltwide Cotton Conferences, Anaheim, CA, USA, 7–12 January 2001; Hardee, D.D., Burris, E., Eds.; National Cotton Council: Memphis, TN, USA; pp. 1159–1161. [Google Scholar]
- Willrich, M.N.; Leonard, B.R.; Padgett, G.P. Influence of southern green stink bug, Nezara viridula L., on late-season yield losses in cotton, Gossypium hirsutum L. Environ. Entomol. 2004, 33, 1095–1101. [Google Scholar] [CrossRef][Green Version]
- Jones, W.A.; Sullivan, M.J. Soybean resistance to the southern green stink bug, Nezara viridula. J. Econ. Entomol. 1979, 72, 628–632. [Google Scholar] [CrossRef]
- Inglis, G.D.; Johnson, D.L.; Goettel, M.S. Effects of temperature and sunlight on Mycosis (Beauveria bassiana) (Hyphomycetes: Sympodulosporae) of grasshoppers under field conditions. Environ. Entomol. 1997, 26, 400–409. [Google Scholar] [CrossRef]
- Gore, J.C.A.; Abel, J.J.; Adamczyk, G. Snodgrass. Influence of soybean planting date and maturity group on stink bug (Heteroptera: Pentatomidae) populations. Environ. Entomol. 2006, 35, 531–536. [Google Scholar] [CrossRef]
- Temple, J.H.; Davis, J.A.; Micinski, S.J.; Hardke, T.; Prince, P.; Leonard, B.R. Soecies composition and seasonal abundance of stink bugs (Hemiptera: Pentatomidae) in Louisiana soybean. Environ. Entomol. 2013, 42, 648–657. [Google Scholar] [CrossRef] [PubMed]
- Esquivel, J.F.; Musolin, D.L.; Jones, W.A.; Rabitsch, W.; Greene, J.K.; Toewn, M.D.; Schwertner, C.F.; Garcia, J.; McPherson, R.M. Nezara viridula (L.). In Invasive Stink Bugs and Related Species (Pentatomidae); McPherson, J.E., Ed.; CRC Press: New York, NY, USA, 2018; pp. 351–423. [Google Scholar]
- Conti, E.; Avila, G.; Barratt, B.; Cingolani, F.; Colazza, S.; Guarino, S.; Hoelmer, K.; Laumann, R.A.; Maistrello, L.; Maertel, G.; et al. Biological control of invasive stink bugs: Review of global state and future prospects. Entomol. Exp. Appl. 2021, 169, 28–51. [Google Scholar] [CrossRef]
- Caltagirone, G.B. Landmark examples in classical biological control. Annu. Rev. Entomol. 1981, 26, 213–232. [Google Scholar] [CrossRef]
- Clarke, A.R. The control of Nezara viridula L. with introduced egg parasitoids in Australia. A review of a‘landmark’example of classical biological control. Aust. J. Agric. Res. 1990, 41, 1127–1146. [Google Scholar] [CrossRef]
- Corrêa-Ferreira, B.S.; Domit, L.A.; Morales, L.; Guimarães, R.C. Integrated soybean pest management in micro river basins in Brazil. Integr. Pest Manag. Rev. 2000, 5, 75–80. [Google Scholar] [CrossRef]
- Gad, A.A.; Nada, M. Effect of the entomopathogenic fungi Beauveria bassiana on the cellular immunity and biochemistry of green bug Nezara viridula L. J. Biopestic. 2021, 13, 135–144. [Google Scholar]
- Sosa-Gomez, D.R.; Moscardi, F. Laboratory and field study on the infection of stink bugs, Nezara viridula, Piezodorus guildinii, and Euschistus heros (Hemiptera: Pentatomidae) with Metarhizium anisopliae and Beauveria bassiana in Brazil. J. Inverterb. Pathol. 1998, 71, 115–120. [Google Scholar] [CrossRef]
- Hasnah, S.; Sably, H. Effectiveness of Fungus Beauveria bassiana on Mortality of Nezara viridula on Stadia Nymphs and Imago. J. Floratek 2012, 7, 13–24. [Google Scholar]
- Portilla, M. Biological control as an alternative measure for tarnished plant bug control in Mississippi. MidSouth Entomol. 2014, 7, 70–78. [Google Scholar]
- Lopes, R.B.; Lauman, R.A.; Blassioli-Moraes, M.C.; Borges, M.; Faria, M. The fungistatic and fungicidal effects of volatiles from metathoracic glands of soybean-attacking stink bugs (Heteroptera: Pentatomidae) on the entomopathogen Beauveria bassiana. J. Invertebr. Pathol. 2015, 132, 77–85. [Google Scholar] [CrossRef] [PubMed]
- Nada, M. Response of green stinkbug Nezara viridula (Linnaeus), to the activity of entomopathogenic fungi Beauveria bassiana and Metarhizium anisopliae. J. Plant Prot. Path. 2015, 6, 1633–1644. [Google Scholar] [CrossRef][Green Version]
- Permadi, M.A. Efication of Some Entomopatogen Fungus on Green Ladybug Imago (Nezara viridula Linnaeus) (Hemiptera: Pentatomidae). Bp. Int. Res. Exact Sci. BirEx, J. 2019, 1, 21–28. [Google Scholar] [CrossRef]
- Pushnya, M.; Rodionova, E.; Snesareva, E. Development of elements of the biological system for protecting crops against the southern green stink bug Nezara viridula L. (Hemiptera: Pentatomidae) in Krasnodar Krai. BIO Web. Conf. 2020, 21, 00037. [Google Scholar] [CrossRef]
- Noma, T.; Strickler, K. Effects of Beauveria bassiana on Lygus hesperus (Hemiptera: Miridae) feeding and oviposition. Environ. Entomol. 2000, 29, 394–402. [Google Scholar] [CrossRef]
- Spurgeon, D.W. Efficacy of Beauveria bassiana against Lygus hesperus at low temperatures. J. Entomol. Sci. 2010, 45, 211–219. [Google Scholar] [CrossRef]
- Inglis, G.D.; Goettel, M.; Butt, T.M.; Strasser, H. Use of Hyphomycetous Fungi for Managing Insect Pest. In Fungi as Biocontrol. Agents Progress, Problems and Potential; Butt, T.M., Jackson, C., Managan, N., Eds.; CABI Publishing: Oxford, UK, 2001; pp. 23–69. [Google Scholar]
- Fargues, J.; Goettel, M.S.; Smith, N.; Quedraogo, A.; Rougier, M. Effect of temperature on vegetative growth of Beauveria bassiana isolates from different origins. Mycologya 1997, 89, 383–392. [Google Scholar] [CrossRef]
- Boucias, D.G.C.; Stokes, C.; Storey, G.; Pendland, J.C. The effects of imidacloprid on the termite Reticulitermes flavipes and its interaction with the mycopathogen Beauveria bassiana. Pflanzenschutz-Nachr. 1996, 45, 151–156. [Google Scholar]
- Vandenberg, J.D.; Ramos, M.; Altre, J.A. Dose response and age-and temperature-related susceptibility of the diamondback moth (Lepidoptera: Plutellidae) to two isolates of Beauveria bassiana (Hyphomycetes: Moniliaceae). Environ. Entomol. 1998, 89, 1418–1423. [Google Scholar] [CrossRef]
- Crespo, R.; Juarez, M.P.; Cafferata, F.R. Biochemical interaction between entomopathogenous fungi and their insect-host-like hydrocarbons. Mycologia 2000, 92, 528–536. [Google Scholar] [CrossRef]
- Pedrine, N.; Ortiz-Urquiza, A.; Huarte-Bonnet, C.; Zhang, S.; Keyhani, N.O. Targeting of insect epicular lipids by the entomopathogenic fungus Beauveria bassiana: Hydrocarbon oxidation within the context of a host-pathogen interaction. Frontiers 2013, 4, 1–18. [Google Scholar]
- Valero-Jimenez, C.A.; Wiegers, H.; Zwaan, B.; Koenraadt, C.J.M.; van Kan, J.A.L. Genes involved in virulence of the entomopathogenic fungus Beauveria bassiana. J. Invertebr. Pathol. 2016, 133, 41–49. [Google Scholar] [CrossRef] [PubMed]
- Sessa, L.; Pedrini, N.; Altier, N.; Abreo, E. Alkane-priming of Beauveria bassiana strains to improve biocontrol of the redbanded stink bug Piezodorus guildinii and the bronze bug Thaumastocoris pereregrinus. J. Invertebr. Pathol. 2022, 187, 107700. [Google Scholar] [CrossRef] [PubMed]
- Raafat, I.; Meshrif, W.S.; Husseiny, E.M.; EI-Hariry, M.; Seif, A.I. Nezara viridula (Heteroptera: Pentatomidae) cuticle as a barrier for Beauveria bassiana and Paecilomyces sp. Infection. Afr. Entomol. 2022, 23, 75–87. [Google Scholar] [CrossRef]
- Jeffers, A.H.; Ching, J.H. Biological Control Strategies in Integrated Pest Management Programs. Clemson (SC): Clemson Cooperative Extenrion; Land-Grant Press by Clemson Extension: Clemson, SC, USA, 2021; LGP 1–9. [Google Scholar]
- Soliman, A.; Nada, M.; Gad, A. Evaluation the effect of the entomopathogenic fungus Beauveria bassiana (Ascomycota: Hypocrales) on some histological and physiological parameters for the green bug Nezara viridula (L.) (Hemiptera: Pentatomidae). Alex. Sci. Exch. J. 2022, 43, 229–238. [Google Scholar] [CrossRef]
- Portilla, M.; Abbas, H.K.; Accinelli, C.; Luttrell, R. Laboratory and Field Investigation on Compatibility of Beauveria bassiana (Hypocreales: Clavicipitaceae) Spores with a Sprayable Bioplastic Formulation for Application in the Biocontrol of Tarnished Plant Bug in Cotton. J. Econ. Entomol. 2018, 112, 549–557. [Google Scholar] [CrossRef]
- Leland, J.E.; Snodgrass, G.L. Prevalence of naturally occurring Beauveria bassiana in Lygus lineolaris (Heteroptera: Miridae) population from wild host plants of Mississippi. J. Agric. Urban Entomol. 2004, 21, 157–163. [Google Scholar]
- Portilla, M.; Reddy, G.V.P. Development of a method for rearing Nezara viridula (Heteroptera: Pentatomidea) on a semi-solid artificial diet. J. Insect Sci. 2021, 21, 12. [Google Scholar] [CrossRef]
- Portilla, M.; Snodgrass, G.; Luttrell, R. A novel bioassay to evaluate the potential of Beauveria bassiana strain NI8 and the insect growth regulator novaluron against Lygus lineolaris on a non-autoclaved solid artificial diet. J. Insect Sci. 2014, 14, 1–13. [Google Scholar] [CrossRef]
- SAS Institute. SAS/STAT User’s Manual, Version 9.4; SAS Institute: Cary, NC, USA, 2018.
- Abbot, W.S. A method of computing the effectiveness of an insecticide. J. Econ. Entomol. 1925, 18, 265–267. [Google Scholar] [CrossRef]
- Robertson, J.L.; Priestler, H.K. Pesticide Bioassay with Arthropods; CRC Press: Boca Raton, FL, USA, 1992. [Google Scholar]
- Knight, K.M.M.; Gurr, G.M. Review of Nezara viridula (L.) management strategies and potential for IPM in field crops with emphasis on Australia. Crop Prot. 2007, 26, 1–10. [Google Scholar] [CrossRef]
- Sosa-Gomez, D.R.; Boucias, D.G.; Nation, J.L. Attachment of Metarhizium anisopliae to the southern green stink bug Nezara viridula cuticle and fungistatic effect of cuticular lipids and aldehydes. J. Invertebr. Pathol. 1997, 69, 31–39. [Google Scholar] [CrossRef] [PubMed]
- Tonet, G.L.; Reis, E.M. Patogenicidade de Beauveria bassiana em insetos-pragas da soja. Pesq. Agropec. Bras. 1979, 14, 89–95. [Google Scholar]
- Siahaan, P.; Wongkar, J.; Wowiling, S.; Mangais, R. Patogenisitas Beauveria bassiana (Bals.) Viull. Yang diisolasi dari beberapa jenis inang terhadap kepik hijau, Nezara viridula L. (Hemiptera: Pentatomidae). J. Ilmiah Sains. 2021, 21, 26–33. [Google Scholar] [CrossRef]
- Prayogo, Y. Patogenisitas cendawan entomopatogen Beauveria bassiana (Deutoromycotina: Hyphomycetes) pada berbagai stadia kepik hijau (Nezara viridula L.). J. HPT Tropika. 2013, 13, 75–86. [Google Scholar]
- Permadi, M.A.; Lubis, R.A.; Siregar, U.S. Virulensi beberapa isolate cendawan entomopatogen terhadap nimfa kepik hijau Nezara viridula L. (Hemiptera: Pentatomidae). J. Agrohita 2018, 2, 52–60. [Google Scholar] [CrossRef]
- Permadi, M.A.; Lubis, R.A.; Harahap, M.Q.H.; Siregar, U.S. Virulence of Entomopathogenic fungi isolates against green ladybug Nezara viridula L. (Hemiptera: Pentatomidae) eggs. J. Phys. 2021, 1764, 012146. [Google Scholar] [CrossRef]
- Portilla, M.; Luttrell, R.; Snodgrass, G.; Zhu, Y.C.; Riddick, E. Lethality of the Entomogenous Fungus Beauveria bassiana Strain NI8 on Lygus lineolaris (Hemiptera: Miridae) and its Possible Impact on Beneficial Arthropods. J. Entomol. Sci. 2017, 52, 352–369. [Google Scholar] [CrossRef]





| Life Stages | Contact-Treated Diet | Direct Spray | ||||
|---|---|---|---|---|---|---|
| X2 | DF | p > X2 | X2 | DF | p > X2 | |
| 2nd Instar | 15.3653 | 4 | 0.0349 | 14.1056 | 4 | 0.0070 |
| 3rd Instar | 9.8544 | 4 | 0.0430 | 10.6399 | 4 | 0.0309 |
| 4th Instar | 11.9723 | 4 | 0.0176 | 8.9603 | 4 | 0.0621 |
| 5th Instar | 10.6868 | 4 | 0.0303 | 16.6330 | 4 | 0.0023 |
| Adult | 11.9604 | 4 | 0.0176 | 8.6964 | 4 | 0.0692 |
| Stage | Concentration Response (Spores/mm2) | |||||||
|---|---|---|---|---|---|---|---|---|
| n | Slope ± SE | LC50 (95% CI) | Probit Trend | RR50 (95% CI) * | ||||
| Test for Slope | Test for GoF | |||||||
| X2 | p > X2 | X2 | p > X2 | |||||
| 2nd Instar | 150 | 0.43 ± 0.13 | 36.6 (6.3–70.9) | 10.53 | 0.0012 | 0.52 | 0.8770 | 1.9 (0.37–9.30) |
| 3rd Instar | 150 | 0.43 ± 0.15 | 44.4 (3.4–98.9) | 7.92 | 0.0049 | 0.91 | 0.5258 | 1.3 (0.18–9.14) |
| 4th Instar | 150 | 0.39 ± 0.13 | 17.8 (0.8–40.5) | 9.17 | 0.0025 | 0.33 | 0.9747 | 1 |
| 5th Instar | 150 | 0.32 ± 0.14 | 159.6 (38.3–2374) | 5.22 | 0.0224 | 0.65 | 0.7680 | 6.4 (1.2–33.23) |
| Adult | 150 | 0.41 ± 0.19 | 612.4 (241.5–4.4 × 106) | 4.72 | 0.0299 | 1.53 | 0.1211 | 30.5 (5.0–186.2) |
| Stage | Concentration Response (Spores/mm2) | |||||||
|---|---|---|---|---|---|---|---|---|
| n | Slope ± SE | LC50 (95% CI) | Probit Trend | RR50 (95% CI) * | ||||
| Test for Slope | Test for GoF | |||||||
| X2 | p > X2 | X2 | p > X2 | |||||
| 2nd Instar | 150 | 0.66 ± 0.18 | 19.5 (3.8–36.6) | 13.60 | 0.0002 | 0.84 | 0.5902 | 1.3 (0.2–8.4) |
| 3rd Instar | 150 | 0.46 ± 0.15 | 15.7 (0.6–36.8) | 8.90 | 0.0029 | 1.17 | 0.3027 | 1 |
| 4th Instar | 150 | 0.49 ± 0.20 | 22.8 (10.0–64.4) | 5.71 | 0.0169 | 1.74 | 0.0668 | 1.3 (0.1–14.3) |
| 5th Instar | 150 | 0.32 ± 0.14 | 139.6 (28.8–1354) | 5.22 | 0.0224 | 0.65 | 0.7680 | 10.0 (1.5–64.0) |
| Adult | 150 | 0.19 ± 0.17 | 179.4 (-) | 1.26 | 0.2612 | 1.95 | 0.0347 | 13.9 (1.1–175) |
| Stage | Concentration Response (Spores/mm2) | |||||||
|---|---|---|---|---|---|---|---|---|
| n | Slope ± SE | LC50 (95% CI) | Probit Trend | RR50 (95% CI) * | ||||
| Test for Slope | Test for GoF | |||||||
| X2 | p > X2 | X2 | p > X2 | |||||
| 2nd Instar | 150 | 0.16 ± 0.12 | 197.3 (-) | 1.87 | 0.1719 | 0.08 | 0.9999 | 3.8 (0.1–186) |
| 3rd Instar | 150 | 0.55 ± 0.16 | 61.7 (7.1–151) | 12.40 | 0.0004 | 0.84 | 0.5863 | 1.2 (0.9–15.6) |
| 4th Instar | 150 | 0.31 ± 0.13 | 52.9 (0.0–328) | 5.87 | 0.0154 | 0.68 | 0.7477 | 1 |
| 5th Instar | 150 | 0.65 ± 0.22 | 869.0 (400–2 × 104) | 8.43 | 0.0037 | 0.73 | 0.7007 | 16.4 (1.2–222) |
| Adult | 150 | 0.45 ± 0.64 | 1960 (-) | 0.50 | 0.4816 | 0.75 | 0.6808 | 37.0 (0.1–9965) |
| Stage | Concentration Response (Spores/mm2) | |||||||
|---|---|---|---|---|---|---|---|---|
| n | Slope ± SE | LC50 (95% CI) | Probit Trend | RR50 (95% CI) * | ||||
| Test for Slope | Test for GoF | |||||||
| X2 | p > X2 | X2 | p > X2 | |||||
| 2nd Instar | 150 | 0.15 ± 0.12 | 78.2 (-) | 1.69 | 0.1939 | 0.42 | 0.9373 | 3.6 (0.03–407) |
| 3rd Instar | 150 | 0.36 ± 0.15 | 21.9 (6.6–185.8) | 5.42 | 0.0198 | 1.21 | 0.2798 | 1 |
| 4th Instar | 150 | 0.27 ± 0.12 | 26.2 (0.0–122.8) | 4.87 | 0.0274 | 1.19 | 0.2894 | 1.2 (0.02–67.0) |
| 5th Instar | 150 | 0.22 ± 0.13 | 563.1 (-) | 2.82 | 0.0934 | 0.69 | 0.7345 | 26 (04–1739) |
| Adult | 150 | 0.11 ± 0.20 | 3.3 × 106 (-) | 0.28 | 0.5944 | 0.64 | 0.7845 | 1.5 × 106 (5.5 × 10–18–3.4 × 1031) |
Publisher’s Note: MDPI stays neutral with regard to jurisdictional claims in published maps and institutional affiliations. |
© 2022 by the authors. Licensee MDPI, Basel, Switzerland. This article is an open access article distributed under the terms and conditions of the Creative Commons Attribution (CC BY) license (https://creativecommons.org/licenses/by/4.0/).
Share and Cite
Portilla, M.; Zhang, M.; Glover, J.P.; Reddy, G.V.P.; Johnson, C. Lethal Concentration and Sporulation by Contact and Direct Spray of the Entomopathogenic Fungus Beauveria bassiana on Different Stages of Nezara viridula (Heteroptera: Pentatomidae). J. Fungi 2022, 8, 1164. https://doi.org/10.3390/jof8111164
Portilla M, Zhang M, Glover JP, Reddy GVP, Johnson C. Lethal Concentration and Sporulation by Contact and Direct Spray of the Entomopathogenic Fungus Beauveria bassiana on Different Stages of Nezara viridula (Heteroptera: Pentatomidae). Journal of Fungi. 2022; 8(11):1164. https://doi.org/10.3390/jof8111164
Chicago/Turabian StylePortilla, Maribel, Minling Zhang, James Paul Glover, Gadi V. P. Reddy, and Chris Johnson. 2022. "Lethal Concentration and Sporulation by Contact and Direct Spray of the Entomopathogenic Fungus Beauveria bassiana on Different Stages of Nezara viridula (Heteroptera: Pentatomidae)" Journal of Fungi 8, no. 11: 1164. https://doi.org/10.3390/jof8111164
APA StylePortilla, M., Zhang, M., Glover, J. P., Reddy, G. V. P., & Johnson, C. (2022). Lethal Concentration and Sporulation by Contact and Direct Spray of the Entomopathogenic Fungus Beauveria bassiana on Different Stages of Nezara viridula (Heteroptera: Pentatomidae). Journal of Fungi, 8(11), 1164. https://doi.org/10.3390/jof8111164

