Absolute Configuration Determination of Two Diastereomeric Neovasifuranones A and B from Fusarium oxysporum R1 by a Combination of Mosher’s Method and Chiroptical Approach
Abstract
:1. Introduction
2. Materials and Methods
2.1. General
2.2. Biological Material
2.3. Fermentation, Extraction and Isolation
2.4. Preparation of (R)- and (S)-MTPA Esters of Compounds 3 and 4
2.5. Computational Section for Compound 3
2.6. Antimicrobial Assay
3. Results
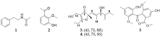
3.1. Structure Elucidation
3.2. Antimicrobial Activity
4. Discussion
Supplementary Materials
Author Contributions
Funding
Institutional Review Board Statement
Informed Consent Statement
Data Availability Statement
Conflicts of Interest
References
- Zhou, Z.F.; Kurtán, T.; Yang, X.H. Penibruguieramine A, a novel pyrrolizidine alkaloid from the endophytic fungus Penicillium sp. GD6 associated with chinese mangrove Bruguiera gymnorrhiza. Org. Lett. 2014, 45, 1390–1393. [Google Scholar] [CrossRef]
- Sun, L.L.; Li, W.S.; Li, J. Uncommon diterpenoids from the south china sea soft coral Sinularia humilis and their stereochemistry. J. Org. Chem. 2021, 86, 3367–3376. [Google Scholar] [CrossRef]
- Ye, F.; Zhu, Z.D.; Chen, J.S. Xishacorenes A–C, diterpenes with bicyclo[3.3.1]nonane nucleus from the Xisha soft coral Sinularia polydactyla. Org. Lett. 2017, 19, 4183–4186. [Google Scholar] [CrossRef]
- Seco, J.M.; QuinOá, E.; Riguera, R. The assignment of absolute configuration by NMR. Chem. Rev. 2004, 104, 17–118. [Google Scholar] [CrossRef]
- Evidente, M.; Cimmino, A.; Zonno, M.C.; Masi, M.; Berestetskyi, A.; Santoro, E.; Superchi, S.; Vurro, M.; Evidente, A. Phytotoxins produced by Phoma chenopodiicola, a fungal pathogen of Chenopodium album. Phytochemistry 2015, 117, 482–488. [Google Scholar] [CrossRef] [PubMed]
- Evidente, M.; Cimmino, A.; Zonno, M.C.; Masi, M.; Santoro, E.; Vergura, S.; Berestetskiy, A.; Superchi, S.; Vurro, M.; Evidente, A. Chenopodolans E and F, two new furopyrans produced by Phoma chenopodiicola and absolute configuration determination of chenopodolan B. Tetrahedron 2016, 72, 8502–8507. [Google Scholar] [CrossRef]
- Mazzeo, G.; Cimmino, A.; Masi, M.; Longhi, G.; Maddau, L.; Memo, M.; Evidente, A.; Abbate, S. Importance and difficulties in the use of chiroptical methods to assign the absolute configuration of natural products: The case of phytotoxic pyrones and furanones produced by Diplodia corticola. J. Nat. Prod. 2017, 80, 2406–2415. [Google Scholar] [CrossRef]
- El-Elimat, T.; Figueroa, M.; Raja, H.A.; Alnabulsi, S.; Oberlies, N.H. Coumarins, dihydroisocoumarins, a dibenzo-alpha-pyrone, a meroterpenoid, and a merodrimane from Talaromyces amestolkiae. Tetrahedron Lett. 2021, 72, 153067. [Google Scholar] [CrossRef]
- Li, M.Z.; Yu, R.L.; Bai, X.L.; Wang, H.; Zhang, H.W. Fusarium: A treasure trove of bioactive secondary metabolites. Nat. Prod. Rep. 2020, 37, 1568–1588. [Google Scholar] [PubMed]
- Yu, R.; Li, M.; Wang, Y. Chemical investigation of a co-culture of Aspergillus fumigatus D and Fusarium oxysporum R1. Rec. Nat. Prod. 2020, 15, 130–135. [Google Scholar] [CrossRef]
- Chen, J.; Bai, X.; Hua, Y.; Zhang, H.; Wang, H. Fusariumins C and D, two novel antimicrobial agents from Fusarium oxysporum ZZP-R1 symbiotic on Rumex madaio Makino. Fitoterapia 2019, 134, 1–4. [Google Scholar] [CrossRef]
- Furumoto, T.; Fukuyama, K.; Hamasaki, T. Neovasipyrones and neovasifuranones: Four new metabolites related to neovasinin, a phytotoxin of the fungus Neocosmospora vasinfecta. Phytochemistry 1995, 40, 745–751. [Google Scholar] [CrossRef]
- Furumoto, T.; Hamasaki, T.; Nakajima, H. Biosynthesis of phytotoxin neovasinin and its related metabolites, neovasipyrones A and B and neovasifuranones A and B, in the phytopathogenic fungus Neocosmospora vasinfecta. Cheminform 1999, 30, 131–136. [Google Scholar]
- Feng, Q.M.; Li, X.Y.; Li, B.X. Isolation and identification of two new compounds from the Penicillium sp. SYPF7381. Nat. Prod. Res. 2019, 34, 1–7. [Google Scholar] [CrossRef] [PubMed]
- Jouda, J.B.; Fopossi, J.; Kengne, F.M. Secondary metabolites from Aspergillus japonicus CAM231, an endophytic fungus associated with Garcinia preussii. Nat. Prod. Res. 2017, 31, 861–869. [Google Scholar] [CrossRef] [PubMed]
- Wei, Y.L.; Wu, J.; Deng, Y.P. Optimization of extraction process of total flavonoids from Rumex madaio Makino. Food Res. Dev. 2015, 14, 20–24. (In Chinese) [Google Scholar]
- Zhang, H.; Loveridge, S.T.; Tenney, K.; Crews, P. A new 3-alkylpyridine alkaloid from the marine sponge Haliclona sp. and its cytotoxic activity. Nat. Prod. Res. 2015, 30, 1262–1265. [Google Scholar] [CrossRef] [Green Version]
- Zhang, H.W.; Zhang, J.; Hu, S.; Zhang, Z.J.; Zhu, C.J.; Ng, S.W.; Tan, R.X. Ardeemins and cytochalasins from Aspergillus terreus residing in Artemisia annua. Planta Med. 2010, 76, 1616–1621. [Google Scholar] [CrossRef]
- Lin, S.; Shi, T.; Chen, K.Y.; Zhang, Z.X.; Shan, L.; Shen, Y.H.; Zhang, W.D. Cyclopenicillone, a unique cyclopentenone from the cultures of Penicillium decumbens. Chem. Commun. 2011, 47, 10413–10415. [Google Scholar] [CrossRef]
- Suárez-Ortiz, G.A.; Cerda-García-Rojas, C.M.; Fragoso-Serrano, M.; Pereda-Miranda, R. Complementarity of DFT calculations, NMR anisotropy, and ECD for the configurational analysis of brevipolides K–O from Hyptis brevipes. J. Nat. Prod. 2017, 80, 181–189. [Google Scholar] [CrossRef]
- Agarwal, M.; Frank, M.I. SPARTAN: A software tool for parallelization bottleneck analysis. In Proceedings of the 2009 ICSE Workshop on Multicore Software Engineering, Vancouver, BC, Canada, 18 May 2009; pp. 56–63. [Google Scholar]
- Frisch, M.J.; Trucks, G.W.; Schlegel, H.B.; Scuseria, G.E.; Robb, M.A.; Cheeseman, J.R.; Scalmani, G.; Barone, V.; Mennucci, B.; Petersson, G.A.; et al. Gaussian 2016, Revision, A. 03; Gaussian, Inc.: Wallingford, CT, USA, 2016. [Google Scholar]
- Unemo, M.; Fasth, O.; Fredlund, H.; Limnios, A.; Tapsall, J. Phenotypic and genetic characterization of the 2008 WHO Neisseria gonorrhoeae reference strain panel intended for global quality assurance and quality control of gonococcal antimicrobial resistance surveillance for public health purposes. J. Antimicro. Chemother. 2009, 63, 1142–1151. [Google Scholar] [CrossRef] [PubMed]
- Castellote, J.; Guardiola, J.; Porta, F.; Falco, A. Rapid urease test: Effect of preimmersion of biopsy forceps in formalin. Gastrointest. Endosc. 2001, 53, 744–746. [Google Scholar] [CrossRef]
- Covacci, A.; Censini, S.; Bugnoli, M.; Petracca, R.; Burroni, D.; Macchia, G.; Massone, A.; Papini, E.; Xiang, Z.; Figura, N.; et al. Molecular characterization of the 128-kDa immunodominant antigen of Helicobacter pylori associated with cytotoxicity and duodenal ulcer. Proc. Natl. Acad. Sci. USA 1993, 90, 5791–5795. [Google Scholar] [CrossRef] [Green Version]
- Daoud, N.N.; Foster, H.A. Antifungal activity of Myxococcus species 1 production, physiochemical and biological properties of antibiotics from Myxococcus flavus S110 (Myxobacterales). Microbios 1993, 73, 173–184. [Google Scholar]
- Giri, A.; Zelinkova, Z.; Wenzl, T. Experimental design-based isotope-dilution SPME-GC/MS method development for the analysis of smoke flavouring products. Food Addit. Contam. 2017, 34, 2069–2084. [Google Scholar] [CrossRef] [PubMed] [Green Version]
- Liu, R.; Zhu, W.M.; Zhang, Y.P.; Zhu, T.J.; Liu, H.B.; Fang, Y.C.; Gu, Q.Q. A new diphenyl ether from marine-derived fungus Aspergillus sp. B-F-2. J. Antibiot. 2006, 59, 362–365. [Google Scholar] [CrossRef] [Green Version]
- Ohtani, I.; Kusumi, T.; Kashman, Y. High-field FT NMR application of Mosher’s method. The absolute configurations of marine terpenoids. J. Am. Chem. Soc. 1991, 113, 4092–4096. [Google Scholar] [CrossRef]
- Kusumi, T.; Fujita, Y.; Ohtani, I. Anomaly in the modified Mosher’s method: Absolute configurations of some marine cembranolides. Tetrahedron Lett. 1991, 32, 2923–2926. [Google Scholar] [CrossRef]
- Konno, K.; Fujishima, T.; Liu, Z. Determination of absolute configuration of 1,3-diols by the modified Mosher’s method using their di-MTPA esters. Chirality 2010, 14, 72–80. [Google Scholar] [CrossRef] [PubMed]
- Ma, Z.; Hano, Y.; Feng, Q. Determination of the absolute stereochemistry of lupane triterpenoids by fucofuranoside method and ORD spectrum. Tetrahedron Lett. 2004, 45, 3261–3263. [Google Scholar] [CrossRef]
- Dreyer, D.L. Citrus bitter principles-III: Application of ORD and CD to stereochemical problems. Tetrahedron 1968, 24, 3273–3283. [Google Scholar] [CrossRef]
- Lee, S.; Hoshino, M.; Fujita, M. Cycloelatanene A and B: Absolute configuration determination and structural revision by the crystalline sponge method. Chem. Sci. 2017, 8, 1547–1550. [Google Scholar] [CrossRef] [Green Version]
- Sanganyado, E.; Lu, Z.; Fu, Q. Chiral pharmaceuticals: A review on their environmental occurrence and fate processes. Water Res. 2017, 124, 527–542. [Google Scholar] [CrossRef]
- Venugopalan, A.; Srivastava, S. Endophytes as in vitro production platforms of high value plant secondary metabolites. Biotechnol. Adv. 2015, 33 Pt 1, 873–887. [Google Scholar] [CrossRef]
- Zhang, H.W.; Bai, X.L.; Zhang, M.; Chen, J.W.; Wang, H. Bioactive natural products from endophytic microbes. Nat. Prod. J. 2018, 8, 86–108. [Google Scholar] [CrossRef]
- Pan, R.; Bai, X.L.; Chen, J.W.; Zhang, H.W.; Wang, H. Exploring structural diversity of microbe secondary metabolites using OSMAC strategy: A literature review. Front. Microbiol. 2019, 10, 294–313. [Google Scholar] [CrossRef] [PubMed] [Green Version]
- Atanasov, A.G.; Zotchev, S.B.; Dirsch, V.M.; The International Natural Product Sciences Taskforce; Supuran, C.T. Natural products in drug discovery: Advances and opportunities. Nat. Rev. Drug Discov. 2021, 20, 200–216. [Google Scholar] [CrossRef] [PubMed]





| Position | Compound 3 (in DMSO-d6) | Compound 4 (in CDCl3) | ||
|---|---|---|---|---|
| δC | δH (in ppm, J in Hz) | δC | δH (in ppm, J in Hz) | |
| 1 | 189.6 | 190. 9 | ||
| 2 | 112.1 | 112.4 | ||
| 3 | 203.9 | 206.6 | ||
| 4 | 87.7 | 89.1 | ||
| 5 | 121.7 | 5.37 (1H, m) | 123.2 | 5.42 (1H, s) |
| 6 | 143.5 | 144.1 | ||
| 7 | 78.0 | 3.60 (1H, t, J = 4.2) | 81.4 | 3.70 (1H, d, J = 6.9) |
| 7-OH | 8.31 (1H, s) | |||
| 8 | 36.9 | 1.39 (1H, m) | 37.5 | 1.50 (1H, m) |
| 9 | 25.9 | 1.06 (1H, m) | 26.4 | 1.05 (1H, m) |
| 1.31 (1H, m) | 1.31 (1H, m) | |||
| 10 | 11.6 | 0.84 (3H, t, J = 7.2) | 11.9 | 0.87 (3H, t, J = 7.5) |
| 11 | 21.9 | 2.62 (1H, q, J = 7.2) | 22.9 | 2.65 (2H, m) |
| 2.67 (1H, q, J = 7.8) | ||||
| 12 | 10.5 | 1.16 (3H, t, J = 7.2) | 10.9 | 1.24 (3H, t, J = 7.5) |
| 13 | 50.5 | 4.01 (2H, s) | 53.1 | 4.24 (2H, m) |
| 14 | 24.0 | 1.37 (3H, s) | 24.5 | 1.47 (3H, s) |
| 15 | 13.6 | 1.60 (3H, d, J = 0.6) | 13.5 | 1.64 (3H, d, J = 1.3) |
| 16 | 13.7 | 0.71 (3H, d, J = 6.6) | 14.3 | 0.84 (3H, d, J = 6.7) |
| Compound | MIC Value (μg/mL) |
|---|---|
| Helicobacter pylori 159 | |
| 1 | >16 |
| 2 | >16 |
| 3 | >16 |
| 4 | >16 |
| 5 | 16 |
| Ampicillin sodium | 4 |
Publisher’s Note: MDPI stays neutral with regard to jurisdictional claims in published maps and institutional affiliations. |
© 2021 by the authors. Licensee MDPI, Basel, Switzerland. This article is an open access article distributed under the terms and conditions of the Creative Commons Attribution (CC BY) license (https://creativecommons.org/licenses/by/4.0/).
Share and Cite
Fu, Z.; Liu, Y.; Xu, M.; Yao, X.; Wang, H.; Zhang, H. Absolute Configuration Determination of Two Diastereomeric Neovasifuranones A and B from Fusarium oxysporum R1 by a Combination of Mosher’s Method and Chiroptical Approach. J. Fungi 2022, 8, 40. https://doi.org/10.3390/jof8010040
Fu Z, Liu Y, Xu M, Yao X, Wang H, Zhang H. Absolute Configuration Determination of Two Diastereomeric Neovasifuranones A and B from Fusarium oxysporum R1 by a Combination of Mosher’s Method and Chiroptical Approach. Journal of Fungi. 2022; 8(1):40. https://doi.org/10.3390/jof8010040
Chicago/Turabian StyleFu, Zhiyang, Yuanyuan Liu, Meijie Xu, Xiaojun Yao, Hong Wang, and Huawei Zhang. 2022. "Absolute Configuration Determination of Two Diastereomeric Neovasifuranones A and B from Fusarium oxysporum R1 by a Combination of Mosher’s Method and Chiroptical Approach" Journal of Fungi 8, no. 1: 40. https://doi.org/10.3390/jof8010040
APA StyleFu, Z., Liu, Y., Xu, M., Yao, X., Wang, H., & Zhang, H. (2022). Absolute Configuration Determination of Two Diastereomeric Neovasifuranones A and B from Fusarium oxysporum R1 by a Combination of Mosher’s Method and Chiroptical Approach. Journal of Fungi, 8(1), 40. https://doi.org/10.3390/jof8010040

