Pathogenicity and Host Range of Pythium kashmirense—A Soil-Borne Oomycete Recently Discovered in the UK
Abstract
1. Introduction
2. Materials and Methods
2.1. Isolation, Identification and Characterization
2.2. Host Range and Pathogenicity
2.2.1. In Vitro Assays—Seed Rot Tests
2.2.1.1. Preparation of Pre-Germinated Seeds
2.2.1.2. Preparation of Py. kashmirense Inoculum
2.2.1.3. Seed Rot Test Analysis
- 0 = seed germinated without visible infection and symptoms (a seed was defined as germinated when the primary root length equalled the seed length);
- 1 = seed germinated with reduced growth and light discoloration or lesions;
- 2 = seed germinated with severely reduced growth and strong visible discoloration and lesions on roots;
- 3 = seedling died after germination with partial colonization by mycelial growth;
- 4 = seed died before germination with complete colonization of seed by mycelium.
2.2.2. In Vivo Assays—Damping-Off Tests
2.2.2.1. Preparation of Germinated Seeds
2.2.2.2. Preparation of Py. kashmirense Inoculum
2.2.2.3. Damping-Off Test Analysis
2.2.3. Inoculation of Viburnum spp.
2.2.4. Reisolation of the Pathogen
2.3. Data Analysis
3. Results
3.1. Isolation, Identification and Characterization
3.2. Host Range and Pathogenicity
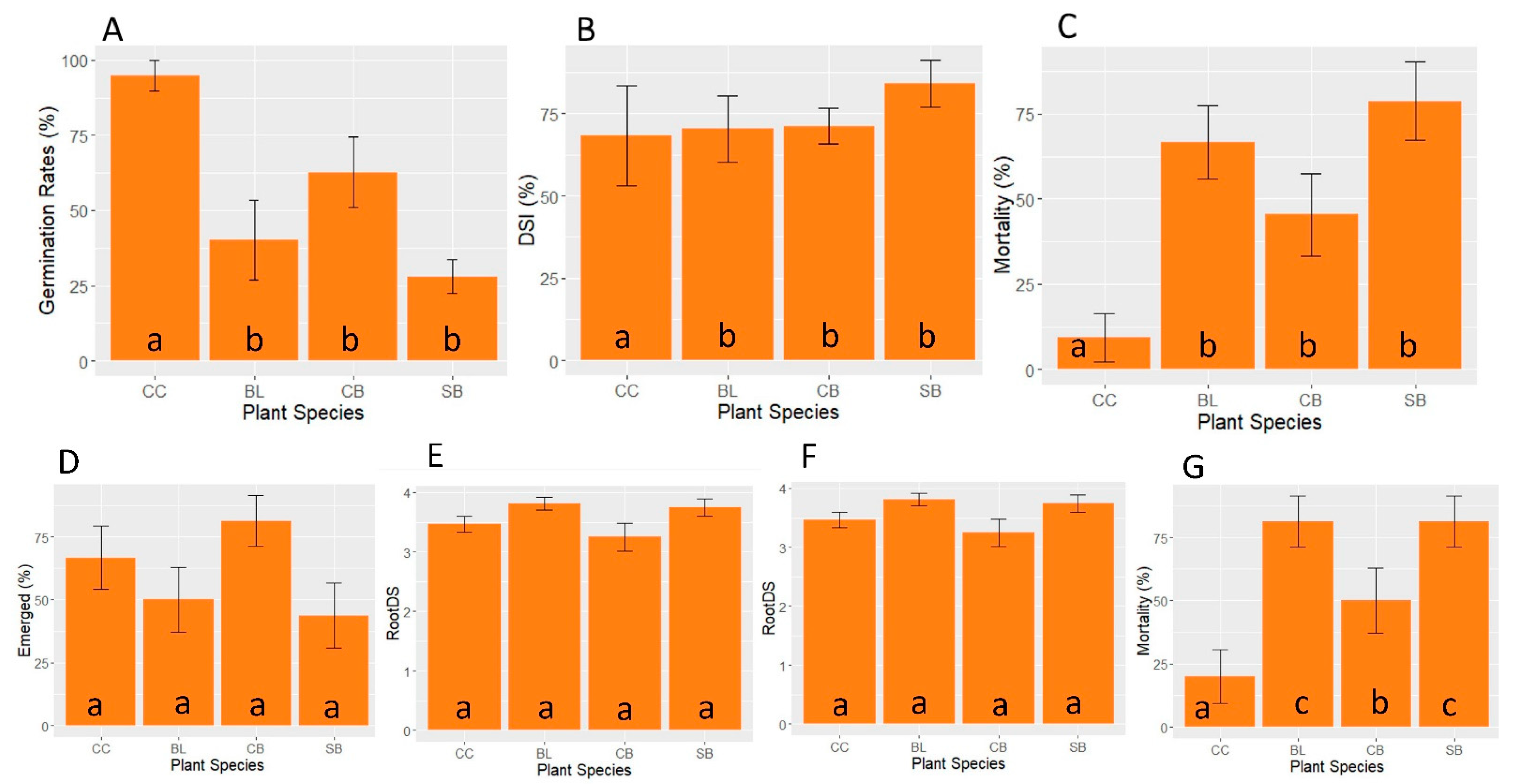
3.2.1. In Vitro Assay—Seed Rot Test
3.2.2. In Vivo Assay—Damping-Off Test
3.2.3. Relative Susceptibility of Four Plant Species to Py. kashmirense
3.3. Inoculation of Viburnum Opulus Roots
4. Discussion
Author Contributions
Funding
Acknowledgments
Conflicts of Interest
References
- Hendrix, F.F.; Campbell, W.A. Pythium as plant pathogens. Annu. Rev. Phytopathol. 1973, 11, 77–98. [Google Scholar] [CrossRef]
- Van der Plaats-Niterink, A.J. Monograph of the genus Pythium. Stud. Mycology 1981, 21, 1–242. [Google Scholar]
- Martin, F. Meiotic Instability of Pythium sylvaticum as demonstrated by inheritance of nuclear markers and karyotype analysis. Genet. Soc. Am. 1995, 139, 1233–1246. [Google Scholar]
- Paul, B.; Bala, K. A new species of Pythium with inflated sporangia and coiled antheridia, isolated from India. FEMS Microbiol. Lett. 2008, 282, 251–257. [Google Scholar] [CrossRef]
- Kageyama, K. Molecular taxonomy and its application to ecological studies of Pythium species. J. Gen. Plant Pathol. 2014, 80, 314–326. [Google Scholar] [CrossRef]
- Kamoun, S.; Furzer, O.; Jones, J.D.G.; Judelson, H.S.; Ali, G.S.; Dalio, R.J.D.; Roy, S.G.; Schena, L.; Zambounis, A.; Panabières, F.; et al. The Top 10 oomycete pathogens in molecular plant pathology. Mol. Plant Pathol. 2015, 16, 413–434. [Google Scholar] [CrossRef] [PubMed]
- Larkin, R.P.; English, J.T.; Mihail, J.D. Identification, distribution and comparative pathogenicity of Pythium spp. associated with alfalfa seedlings. Soil Biol. Biochem. 1995, 27, 357–364. [Google Scholar] [CrossRef]
- Chi, C.C.; Hanson, E.W. Interrelated effects of environment and age of alfalfa and red clover seedlings on susceptibility to Pythium debaryanum. Phytopathology 1962, 52, 985–989. [Google Scholar]
- Angela, D.; Nicolas, F.; Julien, P.; Guillaume, B.; Jean-Berube, R.H. Sudden Oak Death Third Science Symposium Quercus agrifolia; United States Department of Agriculture: Washington, DC, USA, 2008.
- Hulbert, J.M.; Agne, M.C.; Burgess, T.I.; Roets, F.; Wingfield, M.J. Urban environments provide opportunities for early detections of Phytophthora invasions. Biol. Invasions. 2017, 19, 3629–3644. [Google Scholar] [CrossRef]
- Brasier, C.M. The biosecurity threat to the UK and global environment from international trade in plants. Plant Pathol. 2008, 57, 792–808. [Google Scholar] [CrossRef]
- Santini, A.; Ghelardini, L.; Pace, C.D.; Capretti, P.; Chandelier, A.; Cech, T.; Chira, D. Biogeographical patterns and determinants of invasion by forest pathogens in Europe. New Phytologist. 2013, 238–250. [Google Scholar] [CrossRef]
- Chapman, D.; Purse, B.V.; Roy, H.E.; Bullock, J.M. Global trade networks determine the distribution of invasive non-native species. Glob. Ecol. Biogeogr. 2017, 26, 907–917. [Google Scholar] [CrossRef]
- Jung, T.; Orlikowski, L.; Henricot, B.; Abad-Campos, P.; Aday, A.G.; Aguín Casal, O.; Bakonyi, J.; Cacciola, S.O.; Cech, T.; Chavarriaga, D.; et al. Widespread Phytophthora infestations in European nurseries put forest, semi-natural and horticultural ecosystems at high risk of Phytophthora diseases. For. Pathol. 2016, 46, 134–163. [Google Scholar] [CrossRef]
- Puertolas, A.; Bonants, P.J.M.; Boa, E.; Woodward, S. Application of real-time PCR for the detection and quantification of oomycetes in ornamental nursery stock. J. Fungi 2021, 7, 87. [Google Scholar] [CrossRef] [PubMed]
- Mooney, H.A.; Cleland, E.E. The evolutionary impact of invasive species. Proc. Natl. Acad. Sci. USA 2001, 98, 5446–5451. [Google Scholar] [CrossRef] [PubMed]
- Hansen, E.M. Alien forest pathogens: Phytophthora species are changing world forests. Boreal Environ. Res. 2008, 13, 33–41. [Google Scholar]
- Dehnen-Schmutz, K.; Holdenrieder, O.; Jeger, M.J.; Pautasso, M. Structural change in the international horticultural industry: Some implications for plant health. Sci. Hortic. 2010, 125, 1–15. [Google Scholar] [CrossRef]
- Lévesque, C.A.; De Cock, A.W.A.M. Molecular phylogeny and taxonomy of the genus Pythium. Mycol. Res. 2004, 108, 1363–1383. [Google Scholar] [CrossRef] [PubMed]
- Zitnick-Anderson, K.K.; Nelson, B.D. Identification and Pathogenicity of Pythium on Soybean in North Dakota. Plant Dis. 2014, 99, 31–38. [Google Scholar] [CrossRef]
- Gonçalves, D.R.; Jesus, A.L.d.; Rocha, S.C.O.; Marano, A.V.; Pires-Zottarelli, C.L.A. New records of Pythium, Oomycetes, Straminipila for South America based on morphological and molecular data. Nov. Hedwig. 2016, 103, 1–12. [Google Scholar] [CrossRef]
- Hosseini, A.; Abbasi, B.S.; Bolboli, Z.; Jamali, S.; Sharifi, R. Morphological and molecular characterization of Oomycetes associated with root and crown rot of cucurbits in Kermanshah province, Iran. Mycol. Iran. 2018, 5, 15–27. [Google Scholar] [CrossRef]
- Collado-Romero, M.; Mercado-Blanco, J.; Olivares-García, C.; Valverde-Corredor, A.; Jiménez-Díaz, R.M. Molecular Variability Within and Among Verticillium dahliae Vegetative Compatibility Groups Determined by Fluorescent Amplified Fragment Length Polymorphism and Polymerase Chain Reaction Markers. Phytopathology 2006, 96, 485–495. [Google Scholar] [CrossRef] [PubMed]
- White, T.J.; Bruns, T.; Lee, S.; Taylor, J. Amplification and direct sequencing of fungal ribosomal RNA genes for phylogenetics. PCR Protoc. Guide Methods Appl. 1990, 18, 315–322. [Google Scholar]
- Cooke, D.E.L.; Drenth, A.; Duncan, J.M.; Wagels, G.; Brasier, C.M. A molecular phylogeny of Phytophthora and related oomycetes. Fungal Genet. Biol. 2000, 30, 17–32. [Google Scholar] [CrossRef]
- Erwin, D.C.; Ribeiro, O.K. Phytophthora Diseases Worldwide; American Phytopathological Society Press: St. Paul, MN, USA, 1996. [Google Scholar]
- Ginetti, B.; Moricca, S.; Squires, J.N.; Cooke, D.E.L.; Ragazzi, A.; Jung, T. Phytophthora acerina sp. nov., a new species causing bleeding cankers and dieback of Acer pseudoplatanus trees in planted forests in northern Italy. Plant Pathol. 2014, 63, 858–876. [Google Scholar] [CrossRef]
- Henricot, B.; Pérez Sierra, A.; Jung, T. Phytophthora pachypleura sp. nov., a new species causing root rot of Aucuba japonica and other ornamentals in the United Kingdom. Plant Pathol. 2014, 63, 1095–1109. [Google Scholar] [CrossRef]
- Broders, K.D.; Lipps, P.E.; Paul, P.A.; Dorrance, A.E. Characterization of Pythium spp. associated with corn and soybean seed and seedling disease in Ohio. Plant Dis. 2007, 91, 727–735. [Google Scholar] [CrossRef]
- Rojas, J.A.; Jacobs, J.L.; Napieralski, S.; Karaj, B.; Bradley, C.A.; Chase, T.; Esker, P.D.; Giesler, L.J.; Jardine, D.J.; Malvick, D.K.; et al. Oomycete species associated with soybean seedlings in North America-Part II: Diversity and ecology in relation to environmental and edaphic factors. Phytopathology 2017, 107, 293–304. [Google Scholar] [CrossRef]
- Binagwa, P.H.; Bonsi, C.K.; Msolla, S.N. Evaluation of Common Bean (Phaseolus vulgaris) Genotypes for Resistance to Root Rot Disease Caused by Pythium aphanidermatum and Pythium splendens under Screen House. J. Nat. Sci. Res. 2016, 6, 36–43. [Google Scholar]
- Wei, L.; Zhang, S.; Li, W.; Xue, A.G.; Cober, E.R.; Babcock, C.; Zhang, J.; Wu, J.; Liu, L. Pathogenicity of Pythium species causing seed rot and damping-off in soybean under controlled conditions. Phytoprotection 2010, 91, 3–10. [Google Scholar] [CrossRef]
- Vannini, A.; Breccia, M.; Bruni, N.; Tomassini, A.; Vettraino, A.M. Behaviour and survival of Phytophthora cambivora inoculum in soil-like substrate under different water regimes. For. Pathol. 2012, 42, 362–370. [Google Scholar] [CrossRef]
- Jeffers, S.N.; Martin, S.B. Comparison of two media selective for Phytophthora and Pythium species. Plant Dis. 1986, 70, 1038–1043. [Google Scholar] [CrossRef]
- Oliveira, L.S.S.; Jung, T.; Milenković, I.; Tarigan, M.; Horta Jung, M.; Lumbangaol, P.D.M.; Sirait, B.A.; Durán, A. Damping-off, root rot and wilting caused by Pythium myriotylum on Acacia crassicarpa in Sumatra, Indonesia. For. Pathol. 2021, 51. in press. [Google Scholar] [CrossRef]
- Babai-Ahary, A.; Abrinnia, M.; Heravan, I.M. Identification and pathogenicity of Pythium species causing damping-off in sugarbeet in northwest Iran. Australas. Plant Pathol. 2004, 33, 343–347. [Google Scholar] [CrossRef]
- Jiang, Y.N.; Haudenshield, J.S.; Hartman, G.L. Characterization of Pythium spp. from soil samples in Illinois. Can. J. Plant Pathol. 2012, 34, 448–454. [Google Scholar] [CrossRef]
- Drew, J.; Anderson, N.; Andow, D. Conundrums of a complex vector for invasive species control: A detailed examination of the horticultural industry. Biol. Invasions 2010, 12, 2837–2851. [Google Scholar] [CrossRef]






| Germination Rates (%) | Mortality (%) | DSI | Root Length (mm) | Fresh Weight (g) | Dry Weight (g) | |
|---|---|---|---|---|---|---|
| Soya Bean N = 15 plates | 52 ±2 1.2 28 ± 10.2 Wilcoxon p = 0.0009 (***) | 38.6 ± 23.2 78.6 ± 20.6 Wilcoxon p = 5.253 × 10−5 (****) | 46 ± 23.46 84 ± 12.84 Wilcoxon p = 1.782 × 10−5 (****) | 59.52 ± 23.88 59.37 ± 36.84 Welch p = 0.9881 (NS) | 0.69 ± 0.19 0.83 ± 0.28 Wilcoxon p = 0.0917 (NS) | 0.89 ± 0.42 0.75 ± 0.30 Wilcoxon p = 0.2617 (NS) |
| Common Bean N = 15 plates | 84± 23 62.6 ± 21.2 Wilcoxon p = 0.00364 (**) | 18.6 ± 24.4 45.2 ± 22 Wilcoxon p = 0.00204 (**) | 20.67 ± 23.67 71.22 ± 9.87 Wilcoxon p = 1.549 × 10−5 (****) | 62.15 ± 31.92 54.28 ± 30.23 Wilcoxon p = 0.197 (NS) | 1.34 ± 0.51 1.14 ± 0.38 Wilcoxon p = 0.0629 (NS) | 0.64 ± 0.18 0.71 ± 0.30 Wilcoxon p = 0.6632 (NS) |
| Blue Lupin N = 15 plates | 54.6 ± 20.6 40 ± 23.8 Welch p = 0.0416 (*) | 52 ± 23.6 66.6 ± 19.6 Wilcoxon p = 0.03385 (*) | 43.67 ± 21.08 70.33 ± 17.97 Welch p = 0.0004 (***) | 74.06 ± 30.04 48.87 ± 22.67 Wilcoxon p = 0.00036 (***) | 1.24 ± 0.37 1.03 ± 0.29 Welch p = 0.0133 (*) | 0.95 ± 0.46 0.92 ± 0.34 Wilcoxon p = 0.65 (NS) |
| Cucumber N = 15 plates | 98.6 ± 5.2 94.6 ± 9.2 Wilcoxon p = 0.07885 (NS) | 1.4 ± 5.2 9.4 ± 12.8 Wilcoxon p = 0.0173 (*) | 0.13 ± 0.35 68.33 ± 27.49 Wilcoxon p = 5.577 × 10−7 (****) | 122.14 ± 36.28 87.50 ± 33.27 Wilcoxon p = 4.606 × 10−8 (****) | 0.37 ± 0.10 0.30 ± 0.10 Wilcoxon p = 6.227 × 10−6 (****) | 0.2 ± 0.003 0.20 ± 0.02 Wilcoxon p = 0.6781 (NS) |
| Emerged (%) | Mortality (%) | Foliar Symptoms (0–4) | RootDS (0–4) | Root Length (mm) | Fresh Weight (g) | Dry Weight (g) | |
|---|---|---|---|---|---|---|---|
| Soya Bean N = 16 | 93.8 43.8 X-squared p = 0.0023 (**) | 6.2 81.2 X-squared p = 1.901 × 10−5 (****) | 0.38 ± 1.02 3.8 ± 0.40 Wilcoxon p = 6.941 × 10−7 (****) | 0.38 ± 1.02 3.75 ± 0.58 Wilcoxon p = 6.996 × 10−7 (****) | 80.24 ± 39.86 26.36 ± 11.21 Welch p = 0.00067 (****) | 1.13 ± 0.41 0.725 ± 0.40 Welch p = 0.2058 (NS) | 0.17 ± 0.06 0.14 ± 0.02 Welch p = p 0.1458 (NS) |
| Common Bean N = 16 | 100.0 81.2 X-squared p = 0.0689 (NS) | 12.5 50.0 X-squared p = 0.0221 (*) | 0.50 ± 1.37 3.31 ± 0.87 Wilcoxon p = 1.602 × 10−5 (****) | 0.50 ± 1.37 3.25 ± 0.93 Wilcoxon p = 1.645 × 10−5 (****) | 132.49 ± 46.6 44.17 ± 31.97 Wilcoxon p = 0.00028 (****) | 2.49 ± 0.92 0.98 ± 0.30 Wilcoxon p = 1.251 × 10−5 (****) | 0.23 ± 0.08 0.11 ± 0.06 Welch p = 0.00081 (****) |
| Blue Lupin N = 16 | 100 50 X-squared p = 0.0011 (***) | 12.5 81.2 X-squared p = 9.751 × 10−5 (****) | 0.56 ± 1.36 3.81 ± 0.40 Wilcoxon p = 9.751 × 10−5 (****) | 0.56 ± 1.36 3.81 ± 0.40 Wilcoxon p = 3.582 × 10−6 (****) | 64.45 ± 31.27 22.62 ± 10.52 Welch p = 0.0023 (**) | 1.14 ± 0.22 0.91 ± 0.52 Wilcoxon p = 0.4393 (NS) | 0.16 ± 0.04 0.14 ± 0.02 Welch p = 0.434 (NS) |
| Cucumber N = 16 | 100.0 68.8 X-squared p = 0.0149 (*) | 0 25 X-squared p = 0.0325 (*) | 0.06 ± 0.25 3.5 ± 0.51 Wilcoxon p = 0.0325 (*) | 0.06 ± 0.25 3.50 ± 0.51 Wilcoxon p = 1.221 × 10−7 (****) | 94.37 ± 10.69 31.58 ± 3.90 Welch p = 1.791 × 10−5 (****) | 0.44 ± 0.12 0.13 ± 0.03 Wilcoxon p = 9.909 × 10−5 (****) | 0.04 ± 0.04 0.02 ± 0.01 Wilcoxon p = 0.00029 (****) |
Publisher’s Note: MDPI stays neutral with regard to jurisdictional claims in published maps and institutional affiliations. |
© 2021 by the authors. Licensee MDPI, Basel, Switzerland. This article is an open access article distributed under the terms and conditions of the Creative Commons Attribution (CC BY) license (https://creativecommons.org/licenses/by/4.0/).
Share and Cite
Benavent-Celma, C.; Puertolas, A.; McLaggan, D.; van West, P.; Woodward, S. Pathogenicity and Host Range of Pythium kashmirense—A Soil-Borne Oomycete Recently Discovered in the UK. J. Fungi 2021, 7, 479. https://doi.org/10.3390/jof7060479
Benavent-Celma C, Puertolas A, McLaggan D, van West P, Woodward S. Pathogenicity and Host Range of Pythium kashmirense—A Soil-Borne Oomycete Recently Discovered in the UK. Journal of Fungi. 2021; 7(6):479. https://doi.org/10.3390/jof7060479
Chicago/Turabian StyleBenavent-Celma, Clara, Alexandra Puertolas, Debbie McLaggan, Pieter van West, and Steve Woodward. 2021. "Pathogenicity and Host Range of Pythium kashmirense—A Soil-Borne Oomycete Recently Discovered in the UK" Journal of Fungi 7, no. 6: 479. https://doi.org/10.3390/jof7060479
APA StyleBenavent-Celma, C., Puertolas, A., McLaggan, D., van West, P., & Woodward, S. (2021). Pathogenicity and Host Range of Pythium kashmirense—A Soil-Borne Oomycete Recently Discovered in the UK. Journal of Fungi, 7(6), 479. https://doi.org/10.3390/jof7060479

