Induced Defense in Ryegrass–Epichloë Symbiosis Against Listronotus bonariensis: Impact on Peramine Levels and Pest Performance
Abstract
1. Introduction
2. Materials and Methods
2.1. Plant Material
2.2. Listronotus bonariensis Collection and Rearing
2.3. Damage by Listronotus bonariensis Adults and Larvae
2.4. Effect of Herbivory on Peramine Production
- IRi = Individual induced response
- PiH = Peramine concentration of the individual plant damaged by L. bonariensis adult or larval feeding
- PaC = Average peramine concentration in control plants
2.5. Peramine Extraction and Analysis by High-Performance Liquid Chromatography
2.6. Effect of Endophyte Infection on Insect Feeding
2.6.1. Adult Performance
2.6.2. Larval Performance
2.7. Statistical Analysis
3. Results
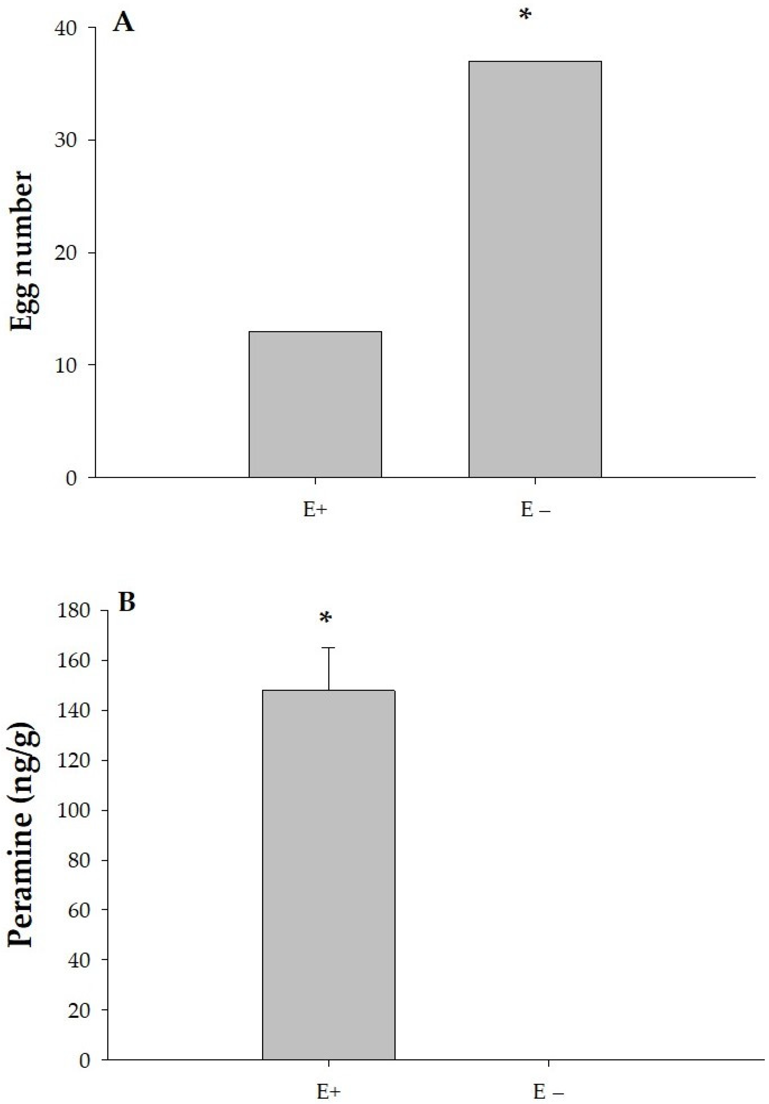
3.1. Damage by Listronotus bonariensis Adults and Larvae
3.2. Effect of Herbivory on Peramine Production
3.3. Effect of Peramine Concentration on Insect Feeding
4. Discussion
5. Conclusions
Author Contributions
Funding
Institutional Review Board Statement
Informed Consent Statement
Data Availability Statement
Conflicts of Interest
References
- Balocchi, O. Praderas y recursos forrajeros en la zona sur de Chile. In Mujica Pequeña Agricultura en la Región de Los Lagos; Mujica, F., Vera, B., Eds.; Ediciones de la Universidad Austral de Chile: Valdivia, Chile, 1999; pp. 59–73. [Google Scholar]
- Demanet, R. Manual de Especies Forrajeras; CRP Impresores SPA: Concepción, Chile, 2019. [Google Scholar]
- Lanuza, F.; Torres, A.; Cisternas, E. Antecedentes Generales del Complejo Listronotus bonariensis-Acremonium lolii, en la Producción Bovina; Boletín INIA N°100, Ministerio de Agricultura; INIA Remehue: Osorno, Chile, 2003; 159p. [Google Scholar]
- Wróbel, B.; Zielewicz, W.; Staniak, M. Challenges of pasture feeding systems—Opportunities and constraints. Agriculture 2023, 13, 974. [Google Scholar] [CrossRef]
- Chand, S.; Indu Singhal, R.K.; Govindasamy, P. Agronomical and breeding approaches to improve the nutritional status of forage crops for better livestock productivity. Grass Forage Sci. 2022, 77, 11–32. [Google Scholar] [CrossRef]
- Onyango, V.; Masumbuko, B.; Somda, J.; Nianogo, A.; Davies, J. Sustainable Land Management in Rangeland and Grasslands: Working Paper; FAO: Rome, Italy; IUCN: Gland, Switzerland, 2022. [Google Scholar] [CrossRef]
- Zhang, Y.; Xu, H.; Tu, C.; Han, R.; Luo, J.; Xu, L. Enhanced capacity of a leaf beetle to combat dual stress from entomopathogens and herbicides mediated by associated microbiota. Integr. Zool. 2024, 19, 1092–1104. [Google Scholar] [CrossRef]
- Turner, L.R.; Donaghy, D.J.; Lane, P.A.; Rawnsley, R.P. Effect of defoliation management, based on leaf stage, on perennial ryegrass (Lolium perenne L.), prairie grass (Bromus willdenowii Kunth.) and cocksfoot (Dactylis glomerata L.) under dryland conditions. 2. Nutritive value. Grass Forage Sci. 2006, 61, 175–181. [Google Scholar] [CrossRef]
- Barker, G.M.; Addison, P.J. Early impact of endoparasitoid Microctonus hyperodae (Hymenoptera: Braconidae) after its establishment in Listronotus bonariensis (Coleoptera: Curculionidae) populations of northern New Zealand pastures. J. Econ. Entomol. 2006, 99, 273–287. [Google Scholar] [CrossRef]
- Barratt, B.I.P.; Barton, D.M.; Philip, B.A.; Ferguson, C.M.; Goldson, S.L. Is the Invasive Species Listronotus bonariensis (Kuschel) (Coleoptera: Curculionidae) (Argentine Stem Weevil) a Threat to New Zealand Natural Grassland Ecosystems? Front. Plant Sci. 2016, 7, 1091. [Google Scholar] [CrossRef]
- Prestidge, R.A.; Barker, G.M.; Pottinger, R.P. Towards sustainable controls of pasture pests: Progress on control of Argentine stem weevil (Listronotus bonariensis (Kuschel)). Proc. N. Z. Grassl. Assoc. 1991, 53, 25–31. [Google Scholar] [CrossRef]
- Cisternas, E. Plagas claves en la producción de praderas. In Seminario Praderas: Hacia un Nuevo Estilo Productivo; Opazo, L.A., Torres, E., Siebald, E., Eds.; Serie Actas N°9; INIA Remehue: Osorno, Chile, 2001; pp. 48–57. [Google Scholar]
- Bonner, M.R.; Alavanja, M.C.R. Pesticides, human health, and food security. Food Energy Secur. 2017, 6, 89–93. [Google Scholar] [CrossRef]
- Kim, K.; Kabir, E.; Ara, S. Science of the Total Environment Exposure to pesticides and the associated human health effects. Sci. Total Environ. 2016, 575, 525–535. [Google Scholar] [CrossRef]
- Lu, Y.; Song, S.; Wang, R.; Liu, Z.; Meng, J.; Sweetman, A.J.; Jenkins, A.; Ferrier, R.C.; Li, H.; Luo, W.; et al. Impacts of soil and water pollution on food safety and health risks in China. Environ. Int. 2015, 77, 5–15. [Google Scholar] [CrossRef]
- Suharto, H.; Usyati, N. The Stem Borer Infestation on Rice Cultivars at Three Planting Times. Indones. J. Agric. Sci. 2005, 6, 39–45. [Google Scholar] [CrossRef]
- Pisa, L.W.; Amaral-Rogers, V.; Belzunces, L.P.; Bonmatin, J.M.; Downs, C.A.; Goulson, D.; Kreutzweiser, D.P.; Krupke, C.; Liess, M.; McField, M.; et al. Effects of neonicotinoids and fipronil on non-target invertebrates. Environ. Sci. Pollut. Res. 2015, 22, 68–102. [Google Scholar] [CrossRef]
- Tosi, S.; Nieh, J.C.; Sgolastra, F.; Cabbri, R.; Medrzycki, P. Neonicotinoid pesticides and nutritional stress synergistically reduce survival in honey bees. Proc. R. Soc. B 2017, 284, 20171711. [Google Scholar] [CrossRef]
- Pathak, V.M.; Verma, V.K.; Rawat, B.S.; Kaur, B.; Babu, N.; Sharma, A.; Dewali, S.; Yadav, M.; Kumari, R.; Singh, S.; et al. Current status of pesticide effects on environment, human health and it’s eco-friendly management as bioremediation: A comprehensive review. Front. Microbiol. 2022, 13, 962619. [Google Scholar] [CrossRef]
- Sena, L.; Mica, E.; Valè, G.; Vaccino, P.; Pecchioni, N. Exploring the potential of endophyte-plant interactions for improving crop sustainable yields in a changing climate. Front. Plant Sci. 2024, 15, 1349401. [Google Scholar] [CrossRef]
- Aravinthraju, K.; Shanthi, M.; Murugan, M.; Srinivasan, R.; Maxwell, L.A.; Manikanda Boopathi, N.; Anandham, R. Endophytic Entomopathogenic Fungi: Their Role in Enhancing Plant Resistance, Managing Insect Pests, and Synergy with Management Routines. J. Fungi 2024, 10, 865. [Google Scholar] [CrossRef]
- Panwar, N.; Szczepaniec, A. Endophytic entomopathogenic fungi as biological control agents of insect pests. Pest Manag. Sci. 2024, 80, 6033–6040. [Google Scholar] [CrossRef]
- Ferreyra-Suarez, D.; García-Depraect, O.; Castro-Muñoz, R. A review on fungal-based biopesticides and biofertilizers production. Ecotoxicol. Environ. Saf. 2024, 283, 116945. [Google Scholar] [CrossRef]
- Saari, S.; Faeth, S.H. Hybridization of Neotyphodium endophytes enhances competitive ability of the host grass. New Phytol. 2012, 195, 231–236. [Google Scholar] [CrossRef]
- Repussard, C.; Zbib, N.; Tardieu, D.; Guerre, P. Les Champignons Endophytes Du Genre Neotyphodium et Leurs Toxines: Généralités et Problématique Française. Rev. Méd. Vét. 2013, 164, 583–606. [Google Scholar]
- Saikkonen, K.; Faeth, S.H.; Helander, M.; Sullivan, T.J. Fungal endophytes: A continuum of interactions with host plants. Annu. Rev. Ecol. Evol. Syst. 1998, 29, 319–343. [Google Scholar] [CrossRef]
- Iannone, L.J.; Pinget, A.D.; Nagabhyru, P.; Schardl, C.L.; De Battista, J.P. Beneficial effects of Neotyphodium tembladerae and Neotyphodium pampeanum on a wild forage grass. Grass Forage Sci. 2012, 67, 382–390. [Google Scholar] [CrossRef]
- Pineda, A.; Dicke, M.; Pieterse, C.M.J.; Pozo, M.J. Beneficial microbes in a changing environment: Are they always helping plants to deal with insects? Funct. Ecol. 2013, 27, 574–586. [Google Scholar] [CrossRef]
- Clay, K. Defensive symbiosis: A microbial perspective. Funct. Ecol. 2014, 28, 293–298. [Google Scholar] [CrossRef]
- Majidi, M.M.; Mirlohi, A. Impact of endophytic fungi on seed and seedling characteristics in tall and meadow fescues. Int. J. Plant Prod. 2016, 10, 469–478. [Google Scholar] [CrossRef]
- Spiering, M.J.; Lane, G.A.; Christensen, M.J.; Schmid, J. Distribution of the fungal endophyte Neotyphodium lolii is not a major determinant of the distribution of fungal alkaloids in Lolium perenne plants. Phytochemistry 2005, 66, 195–202. [Google Scholar] [CrossRef]
- Schardl, C.; Panaccione, D.; Tudzynski, P. Ergot alkaloids. Biology and molecular biology. Alkaloids Chem. Biol. 2006, 63, 45–86. [Google Scholar] [CrossRef]
- Baldauf, M.W.; Mace, W.J.; Richmond, D.S. Endophyte-mediated resistance to black cutworm as a function of plant cultivar and endophyte strain in tall fescue. Environ. Entomol. 2011, 40, 639–647. [Google Scholar] [CrossRef]
- Barker, G.; Patchett, B.J.; Gillanders, T.J.; Brown, G.S.; Montel, S.J.Y.; Cameron, N.E. Feeding and oviposition by Argentine stem weevil on Epichloë uncinata-infected, loline-containing Festulolium. N. Z. Plant Prot. 2015, 68, 212–217. [Google Scholar] [CrossRef]
- Chacón-Fuentes, M.; Martínez-Cisterna, D.; Vera, W.; Ortega-Klose, F.; Reyes, C.; Matamala, I.; Bardehle, L. Feeding Performance of Argentine StemWeevil Is Reduced by Peramine from Perennial Ryegrass Infected with Endophyte Fungus. Insects 2024, 15, 410. [Google Scholar] [CrossRef]
- Popay, A.; Hume, D.; Baltus, J.; Latch, G.; Tapper, B.; Lyons, T.; Cooper, B.; Pennell, C.; Eerens, J.; Marshall, S. Field performance of perennial ryegrass (Lolium perenne) infected with toxin-free fungal endophytes (Neotyphodium spp.). Grassl. Res. Pract. Ser. 1999, 7, 113–122. [Google Scholar] [CrossRef]
- Ball, O.J.P.; Coudron, T.A.; Tapper, B.A.; Davies, E.; Trently, D.; Bush, L.P.; Gwinn, K.D.; Popay, A.J. Importance of host plant species, Neotyphodium endophyte isolate, and alkaloids on feeding by Spodoptera frugiperda (Lepidoptera: Noctuidae) larvae. J. Econ. Entomol. 2006, 99, 1462–1473. [Google Scholar] [CrossRef] [PubMed]
- Richmond, D.S.; Kunkel, B.A.; Somasekhar, N.; Grewal, P.S. Top-down and bottom-up regulation of herbivores: Spodoptera frugiperda turns tables on endophyte-mediated plant defence and virulence of an entomopathogenic nematode. Ecol. Entomol. 2004, 29, 353–360. [Google Scholar] [CrossRef]
- Sullivan, T.J.; Rodstrom, J.; Vandop, J.; Librizzi, J.; Graham, C.; Schardl, C.L.; Bultman, T.L. Symbiont-mediated changes in Lolium arundinaceum inducible defenses: Evidence from changes in gene expression and leaf composition. New Phytol. 2007, 176, 673–679. [Google Scholar] [CrossRef]
- Young, C.A.; Hume, D.E.; Mcculley, R.L. Forages and pastures symposium: Fungal endophytes of tall fescue and perennial ryegrass: Pasture friend or foe? J. Anim. Sci. 2013, 91, 2379–2394. [Google Scholar] [CrossRef]
- di Menna, M.E.; Finch, S.C.; Popay, A.J.; Smith, B.L. A review of the Neotyphodium lolii/Lolium perenne symbiosis and its associated effects on animal and plant health, with particular emphasis on ryegrass staggers. N. Z. Vet. J. 2012, 60, 315–328. [Google Scholar] [CrossRef]
- Moate, P.J.; Williams, S.R.O.; Grainger, C.; Hannah, M.C.; Mapleson, D.; Auldist, M.J.; Greenwood, J.S.; Popay, A.J.; Hume, D.E.; Mace, W.J.; et al. Effects of wild-type, AR1 and AR37 endophyte-infected perennial ryegrass on dairy production in Victoria, Australia. Anim. Prod. Sci. 2012, 52, 1117–1130. [Google Scholar] [CrossRef]
- Cipollini, D.; Purrington, C.B.; Bergelson, J. Costs of induced responses in plants. Basic Appl. Ecol. 2003, 4, 79–89. [Google Scholar] [CrossRef]
- McCall, A.C.; Fordyce, J.A. Can optimal defence theory be used to predict the distribution of plant chemical defences? J. Ecol. 2010, 98, 985–992. [Google Scholar] [CrossRef]
- Espinoza, J.; Chacón-Fuentes, M.; Quiroz, A.; Bardehle, L.; Escobar-Bahamondes, P.; Ungerfeld, E. Antifeedant effects and repellent activity of loline alkaloids from endophyte-infected tall fescue against horn flies, Haematobia irritans (Diptera: Muscidae). Molecules 2021, 26, 817. [Google Scholar] [CrossRef]
- Fuchs, B.; Krischke, M.; Mueller, M.J.; Krauss, J. Herbivore-specific induction of defence metabolites in a grass-endophyte association. Funct. Ecol. 2017, 31, 318–324. [Google Scholar] [CrossRef]
- Saha, D.C.; Jackson, M.A.; Johnson-Cicalese, J.M. A Rapid Staining Method for Detection of Endophytic Fungi in Turf and Forage Grasses. Phytopathology 1988, 78, 237–239. [Google Scholar] [CrossRef]
- Belanger, F.C. A rapid seddling screening method for determination of fungal endophyte viability. Crop Sci. 1996, 36, 460–462. [Google Scholar] [CrossRef]
- Jeger, M.; Bragard, C.; Caffier, D.; Candresse, T.; Chatzivassiliou, E.; MacLeod, A. Pest categorisation of Listronotus bonariensis. EFSA J. 2018, 16, e05101. [Google Scholar] [CrossRef]
- Parra, L.; Chacón-Fuentes, M.; Lizama, M.; Quiroz, A. Incidence of Listronotus bonariensis (Coleoptera: Curculionidae) in ryegrass pastures from southern Chile. New background. J. Soil Sci. Plant Nutr. 2017, 17, 91–98. [Google Scholar] [CrossRef]
- Roylance, J.T.; Hill, N.S.; Agee, C.S. Ergovaline and peramine production in endophyte-infected tall fescue: Independent regulation and effects of plant and endophyte genotype. J. Chem. Ecol. 1994, 20, 2171–2183. [Google Scholar] [CrossRef]
- Fannin, F.F.; Bush, L.P.; Siegel, M.R.; Rowan, D.D. Analysis of peramine in fungal endophyte-infected grasses by reversed-phase thin-layer chromatography. J. Chromatogr. A 1990, 503, 288–292. [Google Scholar] [CrossRef]
- Koulman, A.; Lane, G.A.; Christensen, M.J.; Fraser, K.; Tapper, B.A. Peramine and other fungal alkaloids are exuded in the guttation fluid of endophyte-infected grasses. Phytochemistry 2007, 68, 355–360. [Google Scholar] [CrossRef]
- Vrdoljak, J.; Padró, J.; De Panis, D.; Soto, I.M.; Carreira, V.P. Protein–alkaloid interaction in larval diet affects fitness in cactophilic Drosophila (Diptera: Drosophilidae). Biol. J. Linn. Soc. 2019, 127, 44–55. [Google Scholar] [CrossRef]
- Yamada, T.; Spangenberg, G.; Schardl, C.L. Fungal endophytes in Lolium and Festuca species. In Molecular Breeding of Forage and Turf; Springer: New York, NY, USA, 2009; pp. 285–298. [Google Scholar] [CrossRef]
- Richardson, M.D. Alkaloids of endophyte-infected grasses: Defence chemicals or biological anomalies? In Microbial Endophytes; Bacon, C.W., White, J.F., Jr., Eds.; CRC Press: New York, NY, USA, 2000; pp. 323–340. [Google Scholar] [CrossRef]
- Oliveira, J.; Rottinghaus, G.; Prego, C.; González, E. Contenido en alcaloides en semillas de poblaciones naturales de raigrás inglés del norte de España infectadas con los hongos endófitos Neotyphodium. Investig. Agrar. Prod. Prot. Veg. 2002, 17, 248–254. [Google Scholar]
- Lanuza, F.; Uribe, H.; Araya, O.; Torres, A.; Cisternas, E.; Moyano, S. El Consumo de Ballicas con Endofitos (Neotyphodium lolli) y la Intoxicación «Temblor de las Ballicas» en Bovinos del Sur de Chile. Factores de Presentación del Cuadro y Severidad de Signos Clínicos. XXXIII Jorn. Urug. Buiatría 2005, 349, 210–212. [Google Scholar]
- Roberts, E.; Lindow, S. Loline alkaloid production by fungal endophytes of Fescue species select for particular epiphytic bacterial microflora. ISME J. 2014, 8, 359–368. [Google Scholar] [CrossRef] [PubMed]
- Tian, P.; Le, T.N.; Ludlow, E.J.; Smith, K.; Forster, J.W.; Guthridge, K.M.; Spangenberg, G.C. Characterisation of novel perennial ryegrass host-Neotyphodium endophyte associations. Crop Pasture Sci. 2013, 64, 716–725. [Google Scholar] [CrossRef]
- Saikkonen, K.; Young, C.A.; Helander, M.; Schardl, C.L. Endophytic Epichloe? species and their grass hosts: From evolution to applications. Plant Mol. Biol. 2016, 90, 665–675. [Google Scholar] [CrossRef]
- Rasmussen, S.; Parsons, A.J.; Bassett, S.; Christensen, M.J.; Hume, D.E.; Johnson, L.J.; Johnson, R.D.; Simpson, W.R.; Stacke, C.; Voisey, C.R.; et al. High nitrogen supply and carbohydrate content reduce fungal endophyte and alkaloid concentration in Lolium perenne. New Phytol. 2007, 173, 787–797. [Google Scholar] [CrossRef]
- Rasmussen, S.; Parsons, A.J.; Fraser, K.; Xue, H.; Newman, J.A. Metabolic Profiles of Lolium perenne Are Differentially Affected by Nitrogen Supply, Carbohydrate Content, and Fungal Endophyte Infection. Plant Physiol. 2008, 146, 1440–1453. [Google Scholar] [CrossRef]
- Patchett, B.J.; Chapman, R.B.; Fletcher, L.R.; Gooneratne, S.R. Root loline concentration in endophyte-infected meadow fescue (Festuca pratensis) is increased by grass grub (Costelytra zealandica) attack. N. Z. Plant Prot. 2008, 61, 210–214. [Google Scholar] [CrossRef]
- Qin, J.; Gao, Y.; Liu, H.; Zhou, Y.; Ren, A.; Gao, Y. Effect of Endophyte Infection and Clipping Treatment on Resistance and Tolerance of Achnatherum sibiricum. Front. Microbiol. 2016, 7, 1988. [Google Scholar] [CrossRef]
- Popay, A.J.; Mace, W.J.; Finch, S.C.; Faville, M.J.; Jensen, J.G.; Cave, V.M. Epichloë fungal endophyte strains and their Lolium hosts affect resistance to Listronotus bonariensis (Coleoptera: Curculionidae). N. Z. J. Agric. Res. 2024, 1–20. [Google Scholar] [CrossRef]
- Rowan, D.D.; Gaynor, D.L. Isolation of feeding deterrents against argentine stem weevil from ryegrass infected with the endophyte Acremonium loliae. J. Chem. Ecol. 1986, 12, 647–658. [Google Scholar] [CrossRef]
- Atterholt, A.L.; Solensky, M.J. Effects of larval rearing density and food availability on adult size and coloration in monarch butterflies (Lepidoptera: Nymphalidae). J. Entomol. Sci. 2010, 45, 366–377. [Google Scholar] [CrossRef]
- Togashi, K. Effects of larval food shortage on diapause induction and adult traits in Taiwanese Monochamus alternatus alternatus. Entomol. Exp. Appl. 2014, 151, 34–42. [Google Scholar] [CrossRef]
- Barker, G.M.; Pottinger, R.P.; Addison, P.J.; Prestidge, R.A. Effect of Lolium endophyte fungus infections on behaviour of adult Argentine stem weevil. N. Z. J. Agric. Res. 1984, 27, 271–277. [Google Scholar] [CrossRef]
- Popay, A.J.; Jensen, J.G.; Cooper, B.M. The effect of non-toxic endophytes in tall fescue on two major insect pests. Proc. N. Z. Grassl. Assoc. 2005, 67, 169–173. [Google Scholar] [CrossRef]
- Vicari, M.; Hatcher, P.E.; Ayres, P.G. Combined effect of foliar and mycorrhizal endophytes on an insect herbivore. Ecology 2002, 83, 2452–2464. [Google Scholar] [CrossRef]
- Lehtonen, P.; Helander, M.; Siddiqui, S.; Lehto, K.; Saikkonen, K. Endophytic fungus decreases plant virus infections in meadow ryegrass (Lolium pratense). Biol. Lett. 2006, 2, 620–623. [Google Scholar] [CrossRef][Green Version]
- Panka, D.; Piesik, D.; Jeske, M.; Baturo-Ciesniewska, A. Production of phenolics and the emission of volatile organic compounds by perennial ryegrass (Lolium perenne L.)/Neotyphodium lolii association as a response to infection by Fusarium poae. J. Plant Physiol. 2013, 170, 1010–1019. [Google Scholar] [CrossRef]






Disclaimer/Publisher’s Note: The statements, opinions and data contained in all publications are solely those of the individual author(s) and contributor(s) and not of MDPI and/or the editor(s). MDPI and/or the editor(s) disclaim responsibility for any injury to people or property resulting from any ideas, methods, instructions or products referred to in the content. |
© 2025 by the authors. Licensee MDPI, Basel, Switzerland. This article is an open access article distributed under the terms and conditions of the Creative Commons Attribution (CC BY) license (https://creativecommons.org/licenses/by/4.0/).
Share and Cite
Chacón-Fuentes, M.; León-Finalé, G.; Lizama, M.; Gutiérrez-Gamboa, G.; Martínez-Cisterna, D.; Quiroz, A.; Bardehle, L. Induced Defense in Ryegrass–Epichloë Symbiosis Against Listronotus bonariensis: Impact on Peramine Levels and Pest Performance. J. Fungi 2025, 11, 50. https://doi.org/10.3390/jof11010050
Chacón-Fuentes M, León-Finalé G, Lizama M, Gutiérrez-Gamboa G, Martínez-Cisterna D, Quiroz A, Bardehle L. Induced Defense in Ryegrass–Epichloë Symbiosis Against Listronotus bonariensis: Impact on Peramine Levels and Pest Performance. Journal of Fungi. 2025; 11(1):50. https://doi.org/10.3390/jof11010050
Chicago/Turabian StyleChacón-Fuentes, Manuel, Gunnary León-Finalé, Marcelo Lizama, Gastón Gutiérrez-Gamboa, Daniel Martínez-Cisterna, Andrés Quiroz, and Leonardo Bardehle. 2025. "Induced Defense in Ryegrass–Epichloë Symbiosis Against Listronotus bonariensis: Impact on Peramine Levels and Pest Performance" Journal of Fungi 11, no. 1: 50. https://doi.org/10.3390/jof11010050
APA StyleChacón-Fuentes, M., León-Finalé, G., Lizama, M., Gutiérrez-Gamboa, G., Martínez-Cisterna, D., Quiroz, A., & Bardehle, L. (2025). Induced Defense in Ryegrass–Epichloë Symbiosis Against Listronotus bonariensis: Impact on Peramine Levels and Pest Performance. Journal of Fungi, 11(1), 50. https://doi.org/10.3390/jof11010050

