Changes in Black Truffle (Tuber melanosporum) Aroma during Storage under Different Conditions
Abstract
1. Introduction
2. Materials and Methods
2.1. Fruiting Bodies
2.2. Sample Preparation
2.3. Gas Chromatography–Mass Spectrometry (GC–MS)
2.4. Data Analysis
3. Results
3.1. Storage of Samples
3.2. Data Treatment
3.3. Analysis of Variance
3.3.1. Methodological Verification
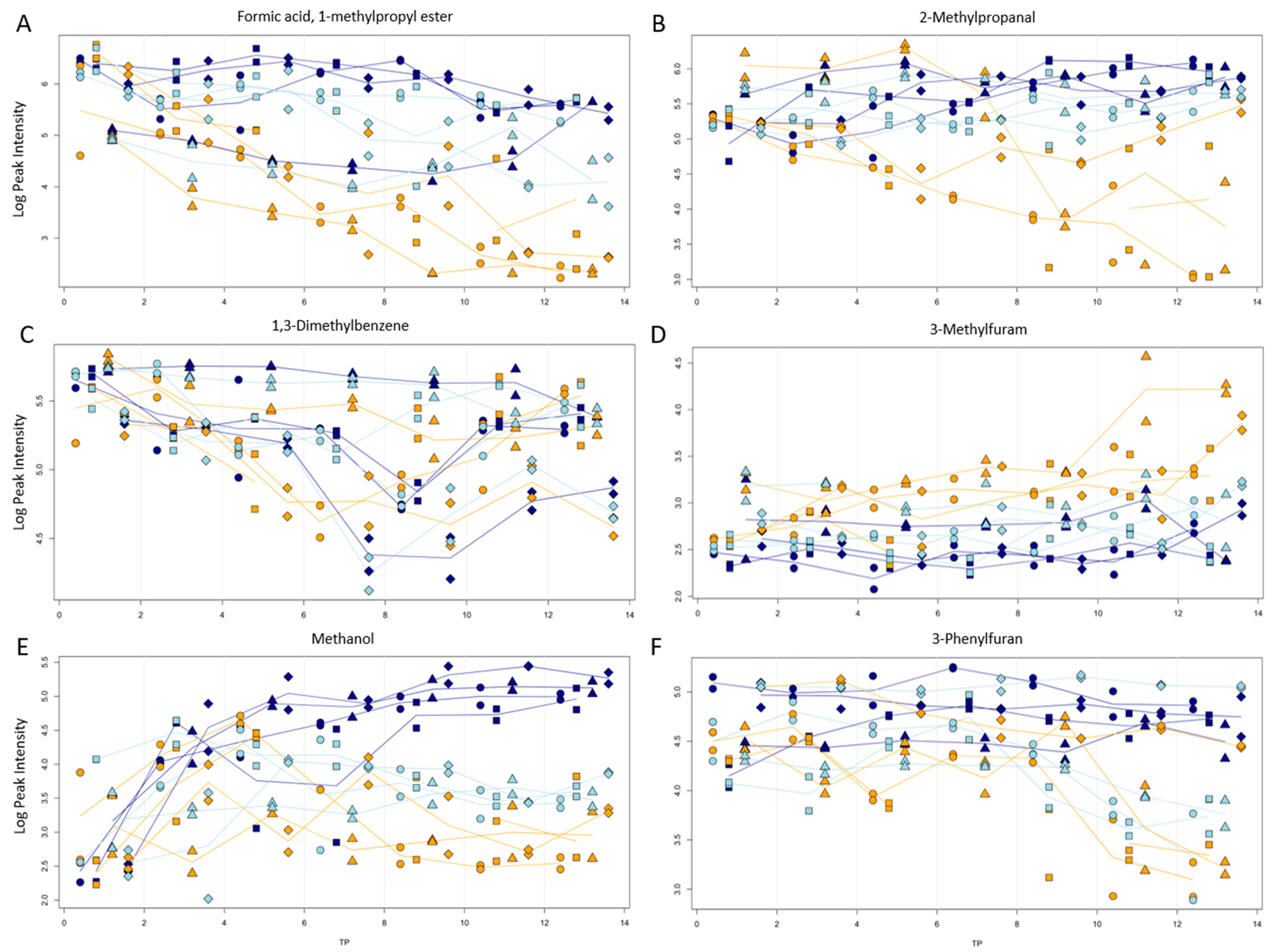
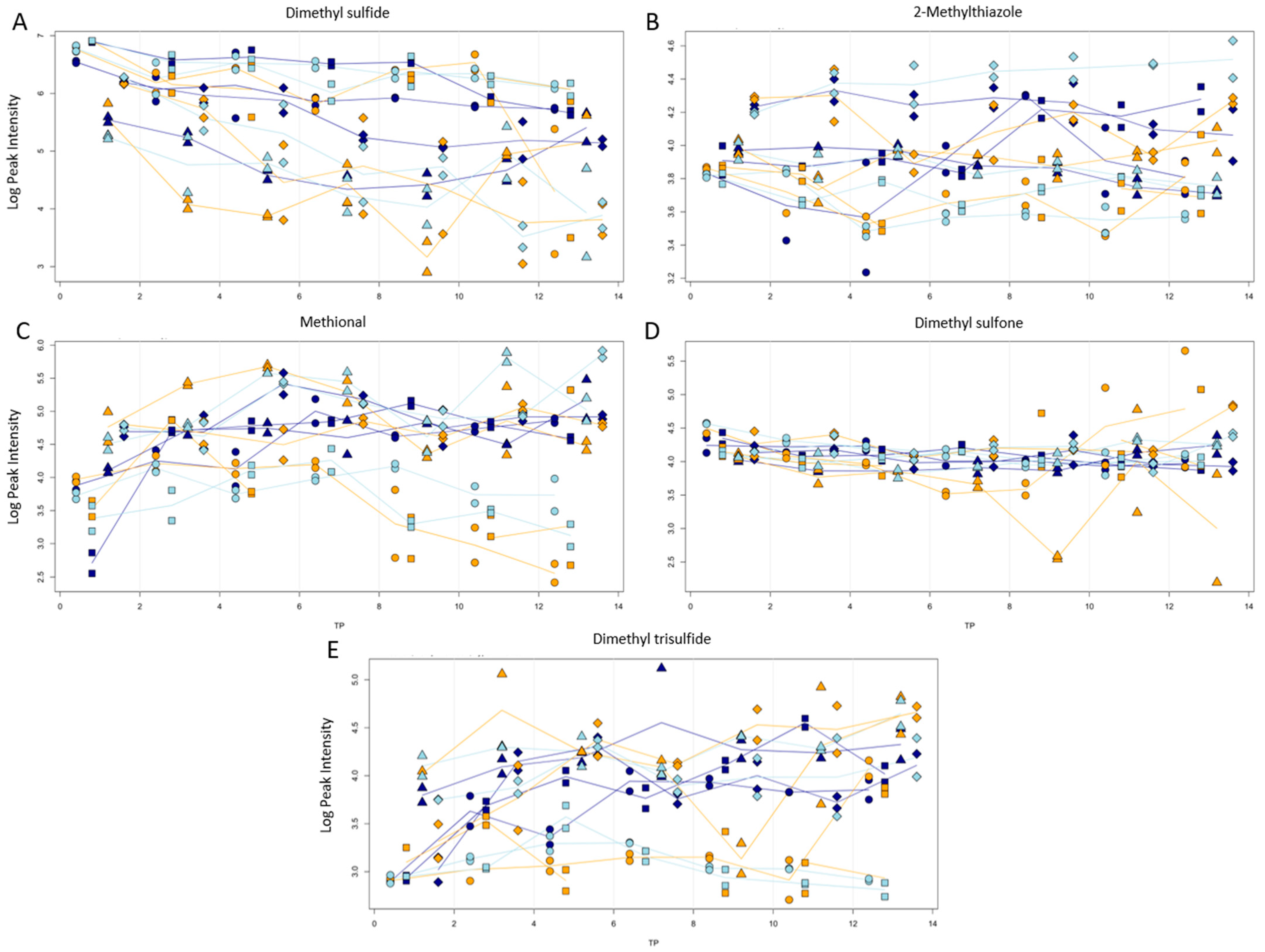
3.3.2. Interpretation of Trajectories for Identified Compounds
3.4. Enrichment and Pathway Analysis
4. Discussion and Conclusions
Author Contributions
Funding
Institutional Review Board Statement
Informed Consent Statement
Data Availability Statement
Acknowledgments
Conflicts of Interest
Appendix A
| Sample Nummer | Storage Temperature | Processing Type | Storage Time | Repetition |
|---|---|---|---|---|
| 1 | TK | S | 0 | 1 |
| 2 | TK | S | 0 | 2 |
| 3 | TK | B | 0 | 1 |
| 4 | TK | B | 0 | 2 |
| 5 | TK | SA | 0 | 1 |
| 6 | TK | SA | 0 | 2 |
| 7 | TK | BL | 0 | 1 |
| 8 | TK | BL | 0 | 2 |
| 9 | RT | S | 0 | 1 |
| 10 | RT | S | 0 | 2 |
| 11 | RT | B | 0 | 1 |
| 12 | RT | B | 0 | 2 |
| 13 | RT | SA | 0 | 1 |
| 14 | RT | SA | 0 | 2 |
| 15 | RT | BL | 0 | 1 |
| 16 | RT | BL | 0 | 2 |
| 17 | KS | S | 0 | 1 |
| 18 | KS | S | 0 | 2 |
| 19 | KS | B | 0 | 1 |
| 20 | KS | B | 0 | 2 |
| 21 | KS | SA | 0 | 1 |
| 22 | KS | SA | 0 | 2 |
| 23 | KS | BL | 0 | 1 |
| 24 | KS | BL | 0 | 2 |
| 25 | TK | S | 2 | 1 |
| 26 | TK | S | 2 | 2 |
| 27 | TK | B | 2 | 1 |
| 28 | TK | B | 2 | 2 |
| 29 | TK | SA | 2 | 1 |
| 30 | TK | SA | 2 | 2 |
| 31 | TK | BL | 2 | 1 |
| 32 | TK | BL | 2 | 2 |
| 33 | RT | S | 2 | 1 |
| 34 | RT | S | 2 | 2 |
| 35 | RT | B | 2 | 1 |
| 36 | RT | B | 2 | 2 |
| 37 | RT | SA | 2 | 1 |
| 38 | RT | SA | 2 | 2 |
| 39 | RT | BL | 2 | 1 |
| 40 | RT | BL | 2 | 2 |
| 41 | KS | S | 2 | 1 |
| 42 | KS | S | 2 | 2 |
| 43 | KS | B | 2 | 1 |
| 44 | KS | B | 2 | 2 |
| 45 | KS | SA | 2 | 1 |
| 46 | KS | SA | 2 | 2 |
| 47 | KS | BL | 2 | 1 |
| 48 | KS | BL | 2 | 2 |
| 49 | TK | S | 4 | 1 |
| 50 | TK | S | 4 | 2 |
| 51 | TK | B | 4 | 1 |
| 52 | TK | B | 4 | 2 |
| 53 | TK | SA | 4 | 1 |
| 54 | TK | SA | 4 | 2 |
| 55 | TK | BL | 4 | 1 |
| 56 | TK | BL | 4 | 2 |
| 57 | RT | S | 4 | 1 |
| 58 | RT | S | 4 | 2 |
| 59 | RT | B | 4 | 1 |
| 60 | RT | B | 4 | 2 |
| 61 | RT | SA | 4 | 1 |
| 62 | RT | SA | 4 | 2 |
| 63 | RT | BL | 4 | 1 |
| 64 | RT | BL | 4 | 2 |
| 65 | KS | S | 4 | 1 |
| 66 | KS | S | 4 | 2 |
| 67 | KS | B | 4 | 1 |
| 68 | KS | B | 4 | 2 |
| 69 | KS | SA | 4 | 1 |
| 70 | KS | SA | 4 | 2 |
| 71 | KS | BL | 4 | 1 |
| 72 | KS | BL | 4 | 2 |
| 73 | TK | S | 6 | 1 |
| 74 | TK | S | 6 | 2 |
| 75 | TK | B | 6 | 1 |
| 76 | TK | B | 6 | 2 |
| 77 | TK | SA | 6 | 1 |
| 78 | TK | SA | 6 | 2 |
| 79 | TK | BL | 6 | 1 |
| 80 | TK | BL | 6 | 2 |
| 81 | RT | S | 6 | 1 |
| 82 | RT | S | 6 | 2 |
| 83 | RT | B | 6 | 1 |
| 84 | RT | B | 6 | 2 |
| 85 | RT | SA | 6 | 1 |
| 86 | RT | SA | 6 | 2 |
| 87 | RT | BL | 6 | 1 |
| 88 | RT | BL | 6 | 2 |
| 89 | KS | S | 6 | 1 |
| 90 | KS | S | 6 | 2 |
| 91 | KS | B | 6 | 1 |
| 92 | KS | B | 6 | 2 |
| 93 | KS | SA | 6 | 1 |
| 94 | KS | SA | 6 | 2 |
| 95 | KS | BL | 6 | 1 |
| 96 | KS | BL | 6 | 2 |
| 97 | TK | S | 8 | 1 |
| 98 | TK | S | 8 | 2 |
| 99 | TK | B | 8 | 1 |
| 100 | TK | B | 8 | 2 |
| 101 | TK | SA | 8 | 1 |
| 102 | TK | SA | 8 | 2 |
| 103 | TK | BL | 8 | 1 |
| 104 | TK | BL | 8 | 2 |
| 105 | RT | S | 8 | 1 |
| 106 | RT | S | 8 | 2 |
| 107 | RT | B | 8 | 1 |
| 108 | RT | B | 8 | 2 |
| 109 | RT | SA | 8 | 1 |
| 110 | RT | SA | 8 | 2 |
| 111 | RT | BL | 8 | 1 |
| 112 | RT | BL | 8 | 2 |
| 113 | KS | S | 8 | 1 |
| 114 | KS | S | 8 | 2 |
| 115 | KS | B | 8 | 1 |
| 116 | KS | B | 8 | 2 |
| 117 | KS | SA | 8 | 1 |
| 118 | KS | SA | 8 | 2 |
| 119 | KS | BL | 8 | 1 |
| 120 | KS | BL | 8 | 2 |
| 121 | TK | S | 10 | 1 |
| 122 | TK | S | 10 | 2 |
| 123 | TK | B | 10 | 1 |
| 124 | TK | B | 10 | 2 |
| 125 | TK | SA | 10 | 1 |
| 126 | TK | SA | 10 | 2 |
| 127 | TK | BL | 10 | 1 |
| 128 | TK | BL | 10 | 2 |
| 129 | RT | S | 10 | 1 |
| 130 | RT | S | 10 | 2 |
| 131 | RT | B | 10 | 1 |
| 132 | RT | B | 10 | 2 |
| 133 | RT | SA | 10 | 1 |
| 134 | RT | SA | 10 | 2 |
| 135 | RT | BL | 10 | 1 |
| 136 | RT | BL | 10 | 2 |
| 137 | KS | S | 10 | 1 |
| 138 | KS | S | 10 | 2 |
| 139 | KS | B | 10 | 1 |
| 140 | KS | B | 10 | 2 |
| 141 | KS | SA | 10 | 1 |
| 142 | KS | SA | 10 | 2 |
| 143 | KS | BL | 10 | 1 |
| 144 | KS | BL | 10 | 2 |
| 145 | TK | S | 12 | 1 |
| 146 | TK | S | 12 | 2 |
| 147 | TK | B | 12 | 1 |
| 148 | TK | B | 12 | 2 |
| 149 | TK | SA | 12 | 1 |
| 150 | TK | SA | 12 | 2 |
| 151 | TK | BL | 12 | 1 |
| 152 | TK | BL | 12 | 2 |
| 153 | RT | S | 12 | 1 |
| 154 | RT | S | 12 | 2 |
| 155 | RT | B | 12 | 1 |
| 156 | RT | B | 12 | 2 |
| 157 | RT | SA | 12 | 1 |
| 158 | RT | SA | 12 | 2 |
| 159 | RT | BL | 12 | 1 |
| 160 | RT | BL | 12 | 2 |
| 161 | KS | S | 12 | 1 |
| 162 | KS | S | 12 | 2 |
| 163 | KS | B | 12 | 1 |
| 164 | KS | B | 12 | 2 |
| 165 | KS | SA | 12 | 1 |
| 166 | KS | SA | 12 | 2 |
| 167 | KS | BL | 12 | 1 |
| 168 | KS | BL | 12 | 2 |

References
- Vidale, E. Truffles: The Precious Mushroom. In Poverty Reduction Through Non-Timber Forest Products; Springer: Berlin/Heidelberg, Germany, 2019; pp. 79–81. [Google Scholar]
- Splivallo, R.; Deveau, A.; Valdez, N.; Kirchhoff, N.; Frey-Klett, P.; Karlovsky, P. Bacteria associated with truffle-fruiting bodies contribute to truffle aroma. Environ. Microbiol. 2015, 17, 2647–2660. [Google Scholar] [CrossRef]
- Streiblova, E.; Gryndlerova, H.; Gryndler, M. Truffle brûlé: An efficient fungal life strategy. FEMS Microbiol. Ecol. 2012, 80, 1–8. [Google Scholar] [CrossRef] [PubMed]
- Niimi, J.; Deveau, A.; Splivallo, R. Geographical based variations in white truffle Tuber magnatum truffle aroma is explained by quantitative differences in key volatile compounds. New Phytol. 2021, 230, 1623–1638. [Google Scholar] [CrossRef]
- Čejka, T.; Trnka, M.; Krusic, P.J.; Stobbe, U.; Oliach, D.; Václavík, T.; Tegel, W.; Büntgen, U. Predicted climate change will increase the truffle cultivation potential in central Europe. Sci. Rep. 2020, 10, 21281. [Google Scholar] [CrossRef]
- Bruhn, J.; Hall, M. Burgundy Black Truffle Cultivation in an Agroforestry Practice; University of Missouri Extension: Columbia, MO, USA, 2011. [Google Scholar]
- Culleré, L.; Ferreira, V.; Marco, P.; Venturini, M.E.; Blanco, D. Does the host tree exert any influence on the aromatic composition of the black truffle (Tuber melanosporum)? Flavour Fragr. J. 2017, 32, 133–140. [Google Scholar] [CrossRef]
- Bohannon, J. Gourmet food, served by dogs. Science 2009, 323, 1006. [Google Scholar] [CrossRef]
- Talou, T.; Gaset, A.; Delmas, M.; Kulifaj, M.; Montant, C. Dimethyl sulphide: The secret for black truffle hunting by animals? Mycol. Res. 1990, 94, 277–278. [Google Scholar] [CrossRef]
- Samils, N.; Olivera, A.; Danell, E.; Alexander, S.J.; Fischer, C.; Colinas, C. The socioeconomic impact of truffle cultivation in rural Spain. Econ. Bot. 2008, 62, 331. [Google Scholar] [CrossRef]
- Lefevre, C. Native and cultivated truffles of North America. In Edible Ectomycorrhizal Mushrooms; Springer: Berlin/Heidelberg, Germany, 2012; pp. 209–226. [Google Scholar]
- Reyna, S.; Garcia-Barreda, S. Black truffle cultivation: A global reality. For. Syst. 2014, 23, 317–328. [Google Scholar] [CrossRef]
- Thomas, P.; Büntgen, U. First harvest of Périgord black truffle in the UK as a result of climate change. Clim. Res. 2017, 74, 67–70. [Google Scholar] [CrossRef]
- Splivallo, R.; Ottonello, S.; Mello, A.; Karlovsky, P. Truffle volatiles: From chemical ecology to aroma biosynthesis. New Phytol. 2011, 189, 688–699. [Google Scholar] [CrossRef] [PubMed]
- Strojnik, L.; Grebenc, T.; Ogrinc, N. Species and geographic variability in truffle aromas. Food Chem. Toxicol. 2020, 142, 111434. [Google Scholar] [CrossRef]
- Mustafa, A.M.; Angeloni, S.; Nzekoue, F.K.; Abouelenein, D.; Sagratini, G.; Caprioli, G.; Torregiani, E. An Overview on Truffle Aroma and Main Volatile Compounds. Molecules 2020, 25, 5948. [Google Scholar] [CrossRef]
- Torregiani, E.; Lorier, S.; Sagratini, G.; Maggi, F.; Vittori, S.; Caprioli, G. Comparative analysis of the volatile profile of 20 commercial samples of truffles, truffle sauces, and truffle-flavored oils by using HS-SPME-GC-MS. Food Anal. Methods 2017, 10, 1857–1869. [Google Scholar] [CrossRef]
- Schmidberger, P.C.; Schieberle, P. Characterization of the key aroma compounds in white Alba truffle (Tuber magnatum pico) and Burgundy truffle (Tuber uncinatum) by means of the sensomics approach. J. Agric. Food. Chem. 2017, 65, 9287–9296. [Google Scholar] [CrossRef] [PubMed]
- Feng, T.; Chen, W.; Liu, T. Identification of volatile flavour components of Tuber melanosporum using simultaneous distillation-extraction. Czech J. Food Sci. 2017, 35, 483–487. [Google Scholar]
- Zhang, N.; Chen, H.; Sun, B.; Mao, X.; Zhang, Y.; Zhou, Y. Comparative Analysis of Volatile Composition in Chinese Truffles via GC× GC/HR-TOF/MS and Electronic Nose. Int. J. Mol. Sci. 2016, 17, 412. [Google Scholar] [CrossRef] [PubMed]
- Vita, F.; Taiti, C.; Pompeiano, A.; Bazihizina, N.; Lucarotti, V.; Mancuso, S.; Alpi, A. Volatile organic compounds in truffle (Tuber magnatum Pico): Comparison of samples from different regions of Italy and from different seasons. Sci. Rep. 2015, 5, 12629. [Google Scholar] [CrossRef]
- Costa, R.; Fanali, C.; Pennazza, G.; Tedone, L.; Dugo, L.; Santonico, M.; Sciarrone, D.; Cacciola, F.; Cucchiarini, L.; Dachà, M. Screening of volatile compounds composition of white truffle during storage by GCxGC-(FID/MS) and gas sensor array analyses. LWT-Food Sci. Technol. 2015, 60, 905–913. [Google Scholar] [CrossRef]
- Pacioni, G.; Cerretani, L.; Procida, G.; Cichelli, A. Composition of commercial truffle flavored oils with GC–MS analysis and discrimination with an electronic nose. Food Chem. 2014, 146, 30–35. [Google Scholar] [CrossRef]
- Gioacchini, A.M.; Menotta, M.; Bertini, L.; Rossi, I.; Zeppa, S.; Zambonelli, A.; Piccoli, G.; Stocchi, V. Solid-phase microextraction gas chromatography/mass spectrometry: A new method for species identification of truffles. Rapid Commun. MassSpectrom. Int. J. Devoted Rapid Dissem. Up-to-the-Minute Res. Mass Spectrom. 2005, 19, 2365–2370. [Google Scholar] [CrossRef]
- Mauriello, G.; Marino, R.; D’Auria, M.; Cerone, G.; Rana, G.L. Determination of volatile organic compounds from truffles via SPME-GC-MS. J. Chromatogr. Sci. 2004, 42, 299–305. [Google Scholar] [CrossRef]
- Déléris, I.; Saint-Eve, A.; Sémon, E.; Guillemin, H.; Guichard, E.; Souchon, I.; Le Quéré, J.L. Comparison of direct mass spectrometry methods for the on-line analysis of volatile compounds in foods. J. Mass Spectrom. 2013, 48, 594–607. [Google Scholar] [CrossRef]
- Biasioli, F.; Gasperi, F.; Yeretzian, C.; Märk, T.D. PTR-MS monitoring of VOCs and BVOCs in food science and technology. TrAC, Trends Anal. Chem. 2011, 30, 968–977. [Google Scholar] [CrossRef]
- Aprea, E.; Biasioli, F.; Carlin, S.; Versini, G.; Märk, T.D.; Gasperi, F. Rapid white truffle headspace analysis by proton transfer reaction mass spectrometry and comparison with solid-phase microextraction coupled with gas chromatography/mass spectrometry. Rapid Commun. MassSpectrom. Int. J. Devoted Rapid Dissem. Up-to-the-Minute Res. Mass Spectrom. 2007, 21, 2564–2572. [Google Scholar] [CrossRef]
- Zeppa, G.; Gerbi, V. Using an “electronic nose” to discriminate white truffle (Tuber magnatum Pico) quality. Sci. Aliment. 2001, 21, 683. [Google Scholar]
- Zampioglou, D.; Kalomiros, J. Design and testing of an electronic nose sensitive to the aroma of Truffles. In Advanced Data Acquisition and Intelligent Data Processing; River Publishers: Gistrup, Denmark, 2014; pp. 59–80. [Google Scholar]
- Zampioglou, D.; Kalomiros, J. An Electronic Nose System Sensitive to the Aroma of Ascomycete Tuber. Sens. Transducers 2015, 187, 23. [Google Scholar]
- Mello, A.; Murat, C.; Bonfante, P. Truffles: Much more than a prized and local fungal delicacy. FEMS Microbiol. Lett. 2006, 260, 1–8. [Google Scholar] [CrossRef]
- Tejedor-Calvo, E.; García-Barreda, S.; Felices-Mayordomo, M.; Blanco, D.; Sánchez, S.; Marco, P. Truffle flavored commercial products veracity and sensory analysis from truffle and non-truffle consumers. Food Control 2023, 145, 109424. [Google Scholar] [CrossRef]
- Patel, S. Food, health and agricultural importance of truffles. Curr. Trends Biotechnol. Pharm. 2012, 6, 15–27. [Google Scholar]
- Šiškovič, N.; Strojnik, L.; Grebenc, T.; Vidrih, R.; Ogrinc, N. Differentiation between species and regional origin of fresh and freeze-dried truffles according to their volatile profiles. Food Control 2021, 123, 107698. [Google Scholar] [CrossRef]
- Phong, W.N.; Chang, S.; Payne, A.D.; Dykes, G.A.; Coorey, R. Microbiological evaluation of whole, sliced, and freeze-dried black truffles (Tuber melanosporum) under vacuum packaging and refrigerator storage. JSFA Rep. 2022, 2, 92–99. [Google Scholar] [CrossRef]
- Campo, E.; Marco, P.; Oria, R.; Blanco, D.; Venturini, M.E. What is the best method for preserving the genuine black truffle (Tuber melanosporum) aroma? An olfactometric and sensory approach. LWT 2017, 80, 84–91. [Google Scholar] [CrossRef]
- Longo, E.; Morozova, K.; Loizzo, M.R.; Tundis, R.; Savini, S.; Foligni, R.; Mozzon, M.; Martin-Vertedor, D.; Scampicchio, M.; Boselli, E. High resolution mass approach to characterize refrigerated black truffles stored under different storage atmospheres. Food Res. Int. 2017, 102, 526–535. [Google Scholar] [CrossRef]
- Savini, S.; Loizzo, M.R.; Tundis, R.; Mozzon, M.; Foligni, R.; Longo, E.; Morozova, K.; Scampicchio, M.; Martin-Vertedor, D.; Boselli, E. Fresh refrigerated Tuber melanosporum truffle: Effect of the storage conditions on the antioxidant profile, antioxidant activity and volatile profile. Eur. Food Res. Technol. 2017, 243, 2255–2263. [Google Scholar] [CrossRef]
- Vahdatzadeh, M.; Deveau, A.; Splivallo, R. Are bacteria responsible for aroma deterioration upon storage of the black truffle Tuber aestivum: A microbiome and volatilome study. Food Microbiol. 2019, 84, 103251. [Google Scholar] [CrossRef]
- Savini, S.; Longo, E.; Servili, A.; Murolo, S.; Mozzon, M.; Romanazzi, G.; Boselli, E. Hypobaric packaging prolongs the shelf life of refrigerated black truffles (Tuber melanosporum). Molecules 2020, 25, 3837. [Google Scholar] [CrossRef]
- Choo, K.S.; Bollen, M.; Dykes, G.A.; Coorey, R. Aroma-volatile profile and its changes in Australian grown black Périgord truffle (Tuber melanosporum) during storage. Int. J. Food Sci. Technol. 2021, 56, 5762–5776. [Google Scholar] [CrossRef]
- Niimi, J.; Deveau, A.; Splivallo, R. Aroma and bacterial communities dramatically change with storage of fresh white truffle Tuber magnatum. LWT 2021, 151, 112125. [Google Scholar] [CrossRef]
- Phong, W.N.; Gibberd, M.R.; Payne, A.D.; Dykes, G.A.; Coorey, R. Methods used for extraction of plant volatiles have potential to preserve truffle aroma: A review. Compr. Rev. Food Sci. Food Saf. 2022, 21, 1677–1701. [Google Scholar] [CrossRef]
- Tejedor-Calvo, E.; Morales, D.; Sanz, M.Á.; Sánchez, S.; Marco, P.; García-Barreda, S. Aromatic changes in home-made truffle products after heat treatments. Food Res. Int. 2023, 164, 112403. [Google Scholar] [CrossRef]
- Jaeger, C.; Lisec, J. Statistical and multivariate analysis of MS-based plant metabolomics data. In Plant Metabolomics Methods Protoc; Springer: Berlin/Heidelberg, Germany, 2018; pp. 285–296. [Google Scholar]
- Tsugawa, H.; Cajka, T.; Kind, T.; Ma, Y.; Higgins, B.; Ikeda, K.; Kanazawa, M.; VanderGheynst, J.; Fiehn, O.; Arita, M. MS-DIAL: Data-independent MS/MS deconvolution for comprehensive metabolome analysis. Nat. Methods 2015, 12, 523–526. [Google Scholar] [CrossRef]
- Kind, T.; Tsugawa, H.; Cajka, T.; Ma, Y.; Lai, Z.; Mehta, S.S.; Wohlgemuth, G.; Barupal, D.K.; Showalter, M.R.; Arita, M. Identification of small molecules using accurate mass MS/MS search. Mass Spectrom. Rev. 2018, 37, 513–532. [Google Scholar] [CrossRef]
- St, L.; Wold, S. Analysis of variance (ANOVA). Chemom. Intell. Lab. Syst. 1989, 6, 259–272. [Google Scholar]
- Pietraszek, J.; Kołomycki, M.; Szczotok, A.; Dwornicka, R. The fuzzy approach to assessment of ANOVA results. In Proceedings of the Computational Collective Intelligence: 8th International Conference, ICCCI 2016, Halkidiki, Greece, 28–30 September 2016; Proceedings, Part I 8. pp. 260–268. [Google Scholar]
- Jackson, J.E. A User’s Guide to Principal Components; John Wiley & Sons: Hoboken, NJ, USA, 2005. [Google Scholar]
- Pang, Z.; Zhou, G.; Ewald, J.; Chang, L.; Hacariz, O.; Basu, N.; Xia, J. Using MetaboAnalyst 5.0 for LC–HRMS spectra processing, multi-omics integration and covariate adjustment of global metabolomics data. Nat. Protoc. 2022, 17, 1735–1761. [Google Scholar] [CrossRef]
- Qiu, S.; Cai, Y.; Yao, H.; Lin, C.; Xie, Y.; Tang, S.; Zhang, A. Small molecule metabolites: Discovery of biomarkers and therapeutic targets. Signal Transduct. Target. Ther. 2023, 8, 132. [Google Scholar] [PubMed]
- Vahdatzadeh, M.; Deveau, A.; Splivallo, R. The role of the microbiome of truffles in aroma formation: A meta-analysis approach. Appl. Environ. Microbiol. 2015, 81, 6946–6952. [Google Scholar] [CrossRef]











Disclaimer/Publisher’s Note: The statements, opinions and data contained in all publications are solely those of the individual author(s) and contributor(s) and not of MDPI and/or the editor(s). MDPI and/or the editor(s) disclaim responsibility for any injury to people or property resulting from any ideas, methods, instructions or products referred to in the content. |
© 2024 by the authors. Licensee MDPI, Basel, Switzerland. This article is an open access article distributed under the terms and conditions of the Creative Commons Attribution (CC BY) license (https://creativecommons.org/licenses/by/4.0/).
Share and Cite
Epping, R.; Lisec, J.; Koch, M. Changes in Black Truffle (Tuber melanosporum) Aroma during Storage under Different Conditions. J. Fungi 2024, 10, 354. https://doi.org/10.3390/jof10050354
Epping R, Lisec J, Koch M. Changes in Black Truffle (Tuber melanosporum) Aroma during Storage under Different Conditions. Journal of Fungi. 2024; 10(5):354. https://doi.org/10.3390/jof10050354
Chicago/Turabian StyleEpping, Ruben, Jan Lisec, and Matthias Koch. 2024. "Changes in Black Truffle (Tuber melanosporum) Aroma during Storage under Different Conditions" Journal of Fungi 10, no. 5: 354. https://doi.org/10.3390/jof10050354
APA StyleEpping, R., Lisec, J., & Koch, M. (2024). Changes in Black Truffle (Tuber melanosporum) Aroma during Storage under Different Conditions. Journal of Fungi, 10(5), 354. https://doi.org/10.3390/jof10050354

