Impact of Baseline Hypoalbuminemia on Long-Term Survival Following Acute Myocardial Infarction According to Body Mass Index
Abstract
1. Introduction
2. Materials and Methods
2.1. Study Population and Outcomes
2.2. Data Collection and Definitions
2.3. Statistical Analysis
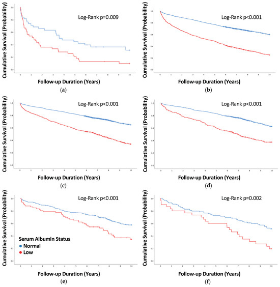
3. Results
3.1. Baseline Characteristics of the Study Population
3.2. Acute Event Aspects
3.3. Outcome
4. Discussion
Limitations
5. Conclusions
Supplementary Materials
Author Contributions
Funding
Institutional Review Board Statement
Informed Consent Statement
Data Availability Statement
Conflicts of Interest
References
- Sujino, Y.; Tanno, J.; Nakano, S.; Funada, S.; Hosoi, Y.; Senbonmatsu, T.; Nishimura, S. Impact of Hypoalbuminemia, Frailty, and Body Mass Index on Early Prognosis in Older Patients (≥ 85 years) with ST-Elevation Myocardial Infarction. J. Cardiol. 2015, 66, 263–268. [Google Scholar] [CrossRef] [PubMed]
- Herrmann, J.; Gersh, B.J.; Goldfinger, J.Z.; Witzenbichler, B.; Guagliumi, G.; Dudek, D.; Kornowski, R.; Brener, S.J.; Parise, H.; Fahy, M.; et al. Body Mass Index and Acute and Long-Term Outcomes After Acute Myocardial Infarction (from the Harmonizing Outcomes with Revascularization and Stents in Acute Myocardial Infarction Trial). Am. J. Cardiol. 2014, 114, 9–16. [Google Scholar] [CrossRef] [PubMed]
- Margarson, M.P.; Soni, N. Serum Albumin: Touchstone or Totem? Anaesthesia 1998, 53, 789–803. [Google Scholar] [CrossRef] [PubMed]
- Covinsky, K.E.; Covinsky, M.H.; Palmer, R.M.; Sehgal, A.R. Serum Albumin Concentration and Clinical Assessments of Nutritional Status in Hospitalized Older People: Different Sides of Different Coins? J. Am. Geriatr. Soc. 2002, 50, 631–637. [Google Scholar] [CrossRef] [PubMed]
- Nelson, J.J.; Liao, D.; Sharrett, A.R.; Folsom, A.R.; Chambless, L.E.; Shahar, E.; Szklo, M.; Eckfeldt, J.; Heiss, G. Serum Albumin Level as a Predictor of Incident Coronary Heart Disease: The Atherosclerosis Risk in Communities (ARIC) Study. Am. J. Epidemiol. 2000, 151, 468–477. [Google Scholar] [CrossRef] [PubMed]
- Djoussé, L.; Rothman, K.J.; Cupples, L.A.; Levy, D.; Ellison, R.C. Serum Albumin and Risk of Myocardial Infarction and All-Cause Mortality in the Framingham Offspring Study. Circulation 2000, 2106, 2919–2924. [Google Scholar] [CrossRef] [PubMed]
- Bicciré, F.G.; Pastori, D.; Tanzilli, A.; Pignatelli, P.; Viceconte, N.; Barillà, F.; Versaci, F.; Gaudio, C.; Violi, F.; Tanzilli, G. Low Serum Albumin Levels and In-Hospital Outcomes in Patients with ST Segment Elevation Myocardial Infarction. Nutr. Metab. Cardiovasc. Dis. 2021, 31, 2904–2911. [Google Scholar] [CrossRef] [PubMed]
- Plakht, Y.; Gilutz, H.; Shiyovich, A. Decreased Admission Serum Albumin Level is an Independent Predictor of Long-Term Mortality in Hospital Survivors of Acute Myocardial Infarction. Soroka Acute Myocardial Infarction II (SAMI-II) project. Int. J. Cardiol. 2016, 219, 20–24. [Google Scholar] [CrossRef] [PubMed]
- Liu, H.; Zhang, F.; Li, Y.; Liu, L.; Song, X.; Wang, J.; Dang, Y.; Qi, X. The HALP Score Predicts No-Reflow Phenomenon and Long-Term Prognosis in Patients with ST-Segment Elevation Myocardial Infarction after Primary Percutaneous Coronary Intervention. Coron. Artery Dis. 2024. ahead of print. [Google Scholar] [CrossRef]
- Keys, A.; Fidanza, F.; Karvonen, M.J.; Kimura, N.; Taylor, H.L. Indices of Relative Weight and Obesity. Int. J. Epidemiol. 2014, 43, 655–665. [Google Scholar] [CrossRef] [PubMed]
- Gelber, R.P.; Gaziano, J.M.; Orav, E.J.; Manson, J.E.; Buring, J.E.; Kurth, T. Measures of Obesity and Cardiovascular Risk Among Men and Women. J. Am. Coll. Cardiol. 2008, 52, 605–615. [Google Scholar] [CrossRef] [PubMed]
- Kosuge, M.; Kimura, K.; Kojima, S.; Sakamoto, T.; Ishihara, M.; Asada, Y.; Tei, C.; Miyazaki, S.; Sonoda, M.; Tsuchihashi, K.; et al. Impact of Body Mass Index on In-Hospital Outcomes after Percutaneous Coronary Intervention for ST Segment Elevation Acute Myocardial Infarction. Circ. J. 2007, 72, 521–525. [Google Scholar] [CrossRef] [PubMed][Green Version]
- Mehta, L.; Devlin, W.; McCullough, P.A.; O’Neill, W.W.; Skelding, K.A.; Stone, G.W.; Boura, J.A.; Grines, C.L. Impact of Body Mass Index on Outcomes After Percutaneous Coronary Intervention in Patients with Acute Myocardial Infarction. Am. J. Cardiol. 2007, 99, 906–910. [Google Scholar] [CrossRef] [PubMed]
- Nikolsky, E.; Stone, G.W.; Grines, C.L.; Cox, D.A.; Garcia, E.; Tcheng, J.E.; Griffin, J.J.; Guagliumi, G.; Stuckey, T.; Turco, M.; et al. Impact of Body Mass Index on Outcomes After Primary Angioplasty in Acute Myocardial Infarction. Am. Heart J. 2006, 151, 168–175. [Google Scholar] [CrossRef] [PubMed]
- Kang, W.Y.; Jeong, M.H.; Ahn, Y.K.; Kim, J.H.; Chae, S.C.; Kim, Y.J.; Hur, S.H.; Seong, I.W.; Hong, T.J.; Choi, D.H.; et al. Obesity Paradox in Korean Patients Undergoing Primary Percutaneous Coronary Intervention in ST-Segment Elevation Myocardial Infarction. J. Cardiol. 2010, 55, 84–91. [Google Scholar] [CrossRef] [PubMed][Green Version]
- Centers for Disease Control. 2014. Available online: https://www.cms.gov/Medicare/Coding/ICD9ProviderDiagnosticCodes/codes (accessed on 1 November 2022).
- Thygesen, K.; Alpert, J.S.; Jaffe, A.S.; Chaitman, B.R.; Bax, J.J.; Morrow, D.A.; White, H.D. Executive Group on behalf of the Joint European Society of Cardiology (ESC)/American College of Cardiology (ACC)/American Heart Association (AHA)/World Heart Federation (WHF) Task Force for the Universal Definition of Myocardial Infarction. Fourth Universal Definition of Myocardial Infarction (2018). J. Am. Coll. Cardiol. 2018, 72, 2231–2264. [Google Scholar]
- Weaving, G.; Batstone, G.F.; Jones, R.G. Age and Sex Variation in Serum Albumin Concentration: An Observational Study. Ann. Clin. Biochem. 2016, 53, 106–111. [Google Scholar] [CrossRef] [PubMed]
- Centers for Disease Control and Prevention. Defining Adult Overweight and Obesity. Available online: https://www.cdc.gov/obesity/basics/adult-defining.html#:~:text=If%20your%20BMI%20is%2018.5,falls%20within%20the%20obesity%20range (accessed on 1 November 2022).
- Mauricio, M.D.; Aldasoro, M.; Ortega, J.; Vila, J.M. Endothelial Dysfunction in Morbid Obesity. Curr. Pharm. Des. 2013, 19, 5718–5729. [Google Scholar] [CrossRef] [PubMed]
- Diercks, D.B.; Roe, M.T.; Mulgund, J.; Pollack, C.V., Jr.; Kirk, J.D.; Gibler, W.B.; Ohman, E.M.; Smith, S.C., Jr.; Boden, W.E.; Peterson, E.D. The Obesity Paradox in Non-ST-Segment Elevation Acute Coronary Syndromes: Results from the Can Rapid Risk Stratification of Unstable Angina Patients Suppress Adverse Outcomes with Early Implementation of the American College of Cardiology/American Heart Association Guidelines Quality Improvement Initiative. Am. Heart J. 2006, 152, 140–148. [Google Scholar] [PubMed]
- Manolis, A.A.; Manolis, T.A.; Melita, H.; Mikhailidis, D.P.; Manolis, A.S. Low Serum Albumin: A neglected Predictor in Patients with Cardiovascular Disease. Eur. J. Intern. Med. 2022, 102, 24–39. [Google Scholar] [CrossRef] [PubMed]
- Visseren, F.L.; Mach, F.; Smulders, Y.M.; Carballo, D.; Koskinas, K.C.; Bäck, M.; Benetos, A.; Biffi, A.; Boavida, J.M.; Capodanno, D.; et al. ESC National Cardiac Societies; ESC Scientific Document Group. 2021 ESC Guidelines on Cardiovascular Disease Prevention in Clinical Practice. Eur. Heart J. 2021, 42, 3227–3337. [Google Scholar] [CrossRef] [PubMed]


| Total Cohort (n = 6283) | Serum Albumin Status | p-Value * | ||
|---|---|---|---|---|
| Normal (n = 4858) | Low (n = 1425) | |||
| Demographic Details | ||||
| Age (years) | 64.1 ± 13.1 | 62.8 ± 13.0 | 68.6 ± 12.5 | <0.001 † |
| Sex Male | 4657 (74.1) | 3753 (77.3) | 904 (63.4) | <0.001 |
| Non-Jewish Minority | 1123 (17.9) | 842 (17.3) | 281 (19.7) | <0.001 |
| Cardiovascular Risk Factors | ||||
| Diabetes Mellitus | 2782 (44.3) | 2040 (42.0) | 742 (52.1) | <0.001 |
| Dyslipidemia | 5304 (84.4) | 4202 (86.5) | 1102 (77.3) | <0.001 |
| Hypertension | 3477 (55.3) | 2683 (55.2) | 794 (55.7) | 0.743 |
| Smoking History | 2999 (47.7) | 2446 (50.3) | 553 (38.8) | <0.001 |
| Family History of IHD | 725 (11.5) | 627 (12.9) | 98 (6.9) | <0.001 |
| Cardiovascular Morbidity | ||||
| Ischemic Heart Disease | 5476 (87.2) | 4328 (89.1) | 1148 (80.6) | <0.001 |
| History of MI | 989 (15.7) | 739 (15.2) | 250 (17.5) | 0.034 |
| Prior Revascularization | ||||
| PCI | 1102 (17.5) | 869 (17.9) | 233 (16.4) | 0.180 |
| CABG | 592 (9.4) | 456 (9.4) | 136 (9.5) | 0.858 |
| Peripheral Arterial Disease | 767 (12.2) | 518 (10.7) | 249 (17.5) | <0.001 |
| Atrial Fibrillation/Flutter | 958 (15.2) | 642 (13.2) | 316 (22.2) | <0.001 |
| Atrioventricular Block | 259 (4.1) | 181 (3.7) | 78 (5.5) | 0.004 |
| Clinical Heart Failure | 1040 (16.6) | 657 (13.5) | 383 (26.9) | <0.001 |
| Non-Cardiovascular Morbidity | ||||
| COPD | 533 (8.5) | 355 (7.3) | 178 (12.5) | <0.001 |
| Stage ≥ III CKD | 577 (9.2) | 322 (6.6) | 255 (17.9) | <0.001 |
| Anemia | 3043 (48.4) | 2066 (42.5) | 977 (68.6) | <0.001 |
| Neurological Disorders | 949 (15.1) | 624 (12.8) | 325 (22.8) | <0.001 |
| Malignancy | 603 (9.8) | 412 (8.5) | 191 (13.4) | <0.001 |
| Psychotic Disorders | 86 (1.4) | 56 (1.2) | 30 (2.1) | 0.007 |
| Alcohol/Drug Abuse | 140 (2.2) | 108 (2.2) | 32 (2.2) | 0.960 |
| Serum Albumin | ||||
| Mean Level (g/dL) | 3.7 ± 0.5 | 3.9 ± 0.3 | 3.1 ± 0.3 | <0.001 † |
| Body Mass Index | ||||
| Mean Value (kg/m2) | 27.8 ± 5.0 | 28.1 ± 4.8 | 26.9 ± 5.3 | <0.001 † |
| Category | <0.001 | |||
| Underweight | 77 (1.2) | 38 (0.8) | 39 (2.7) | |
| Normal Weight | 1825 (29.1) | 1296 (26.7) | 529 (37.1) | |
| Overweight | 2578 (41.0) | 2073 (42.7) | 505 (35.4) | |
| Class 1 Obesity | 1303 (20.7) | 1047 (21.6) | 256 (18.0) | |
| Class 2 Obesity | 372 (5.9) | 306 (6.3) | 66 (4.6) | |
| Class 3 Obesity | 128 (2.0) | 98 (2.0) | 30 (2.1) | |
| Total Cohort (n = 6283) | Serum Albumin Status | p-Value * | ||
|---|---|---|---|---|
| Normal (n = 4858) | Low (n = 1425) | |||
| Clinical Presentation | ||||
| Cardiac Arrest | 28 (0.4) | 15 (0.3) | 13 (0.9) | 0.003 |
| Cardiogenic Shock | 106 (1.7) | 48 (1.0) | 58 (4.1) | <0.001 |
| ST-Elevation MI | 2784 (44.3) | 2187 (45.0) | 597 (41.9) | 0.037 |
| Echocardiographic Parameters | ||||
| Echocardiogram Performed | 5186 (82.5) | 4094 (84.3) | 1092 (76.6) | <0.001 |
| Severe LV Dysfunction | 620 (12.0) | 396 (9.7) | 224 (20.5) | <0.001 |
| LV Hypertrophy | 300 (5.8) | 224 (5.5) | 76 (7.0) | 0.061 |
| Mitral Regurgitation | 319 (6.2) | 196 (4.8) | 123 (11.3) | <0.001 |
| Tricuspid Regurgitation | 189 (3.6) | 113 (2.8) | 76 (7.0) | <0.001 |
| Pulmonary Hypertension | 398 (7.7) | 252 (6.2) | 146 (13.4) | <0.001 |
| Angiographic Parameters | ||||
| Angiogram Performed | 4793 (76.3) | 3880 (79.9) | 913 (64.1) | <0.001 |
| Vessels Significantly Involved | <0.001 | |||
| 0 | 168 (3.5) | 132 (3.4) | 36 (3.9) | |
| 1 | 1106 (23.1) | 929 (23.9) | 177 (19.4) | |
| 2 | 1284 (26.8) | 1062 (27.4) | 222 (24.3) | |
| 3/Left Main | 2235 (46.6) | 1757 (45.3) | 478 (52.4) | |
| Hospital Course | ||||
| Revascularization Approach | <0.001 | |||
| No/Conservative Treatment | 1063 (16.9) | 646 (13.3) | 417 (29.3) | |
| PCI | 3737 (59.5) | 3047 (62.7) | 690 (48.4) | |
| CABG | 1483 (23.6) | 1165 (24.0) | 318 (22.3) | |
| Intra-Aortic Balloon Pulsation | 172 (2.7) | 82 (1.7) | 90 (6.3) | <0.001 |
| Any Form of Pacing | 136 (2.2) | 83 (1.7) | 53 (3.7) | <0.001 |
| Mechanical Ventilation | 246 (4.2) | 122 (2.5) | 142 (10.0) | <0.001 |
| Gastrointestinal Bleeding | 147 (2.3) | 76 (1.6) | 71 (5.0) | <0.001 |
| Blood Transfusion | 1019 (16.2) | 649 (13.4) | 370 (26.0) | <0.001 |
| Sepsis | 84 (1.3) | 23 (0.5) | 61 (4.3) | <0.001 |
| Intensive Care Unit Stay | 4675 (74.4) | 3727 (76.7) | 948 (66.5) | <0.001 |
| Hospitalization Length (days) | 11.3 ± 9.9 | 10.4 ± 8.5 | 14.3 ± 13.0 | <0.001 † |
| Parameter | AdjHR (95% CI) | p-Value * |
|---|---|---|
| Age (vs. <65 years) | ||
| 65–74 years | 1.97 (1.77–2.18) | <0.001 |
| ≥75 years | 3.14 (2.83–3.49) | <0.001 |
| Diabetes Mellitus | 1.38 (1.27–1.50) | <0.001 |
| Dyslipidemia | 0.91 (0.83–1.01) | 0.076 |
| Family History of Ischemic Heart Disease | 0.64 (0.52–0.79) | <0.001 |
| History of Myocardial Infarction | 1.18 (1.07–1.30) | <0.001 |
| Peripheral Arterial Disease | 1.32 (1.19–1.45) | <0.001 |
| Atrial Fibrillation/Flutter | 1.37 (1.26–1.51) | <0.001 |
| Clinical Heart Failure | 1.24 (1.13–1.36) | <0.001 |
| Chronic Obstructive Pulmonary Disease | 1.65 (1.48–1.85) | <0.001 |
| Stage ≥ III Chronic Kidney Disease | 1.70 (1.53–1.89) | <0.001 |
| Anemia | 1.39 (1.27–1.51) | <0.001 |
| Neurological Disorders | 1.54 (1.40–1.68) | <0.001 |
| Malignancy | 1.77 (1.53–2.06) | <0.001 |
| Alcohol/Drug abuse | 1.62 (1.27–2.07) | <0.001 |
| Non-ST Elevation vs. ST-Elevation Myocardial Infarction | 1.24 (1.14–1.36) | <0.001 |
| Severe Left Ventricular Dysfunction | 1.44 (1.28–1.62) | <0.001 |
| Left Ventricular Hypertrophy | 1.37 (1.17–1.61) | <0.001 |
| Tricuspid Regurgitation | 1.28 (1.07–1.54) | 0.007 |
| Pulmonary Hypertension | 1.27 (1.11–1.45) | <0.001 |
| Revascularization Approach (vs. Conservative): | ||
| Percutaneous Coronary Intervention | 0.57 (0.52–0.63) | <0.001 |
| Coronary Artery Bypass Grafting | 0.42 (0.37–0.47) | <0.001 |
| Serum Albumin Status and Body Mass Index Category | ||
| Decreasing Serum Albumin Level (continuous, per 1 g/dL decrease) | 1.61 (1.48–1.75) | <0.001 |
| Low vs. Normal Serum Albumin Level | 1.54 (1.42–1.67) | <0.001 |
| Abnormal vs. Normal Weight | ||
| Underweight | 1.98 (1.52–2.58) | <0.001 |
| Overweight | 0.80 (0.73–0.88) | <0.001 |
| Class 1 Obesity | 0.74 (0.67–0.83) | <0.001 |
| Class 2 Obesity | 0.83 (0.70–0.99) | 0.037 |
| Class 3 Obesity | 1.10 (0.86–1.41) | 0.464 |
| Interaction Analysis: Abnormal Weight x Hypoalbuminemia | ||
| Underweight x Hypoalbuminemia | 0.69 (0.40–1.17) | 0.167 |
| Overweight x Hypoalbuminemia | 0.91 (0.75–1.10) | 0.322 |
| Class 1 Obesity x Hypoalbuminemia | 0.73 (0.58–0.92) | 0.008 |
| Class 2 Obesity x Hypoalbuminemia | 0.63 (0.43–0.92) | 0.017 |
| Class 3 Obesity x Hypoalbuminemia | 0.67 (0.40–1.14) | 0.139 |
Disclaimer/Publisher’s Note: The statements, opinions and data contained in all publications are solely those of the individual author(s) and contributor(s) and not of MDPI and/or the editor(s). MDPI and/or the editor(s) disclaim responsibility for any injury to people or property resulting from any ideas, methods, instructions or products referred to in the content. |
© 2024 by the authors. Licensee MDPI, Basel, Switzerland. This article is an open access article distributed under the terms and conditions of the Creative Commons Attribution (CC BY) license (https://creativecommons.org/licenses/by/4.0/).
Share and Cite
Shechter, A.; Dahan, S.; Shiyovich, A.; Gilutz, H.; Plakht, Y. Impact of Baseline Hypoalbuminemia on Long-Term Survival Following Acute Myocardial Infarction According to Body Mass Index. J. Cardiovasc. Dev. Dis. 2024, 11, 378. https://doi.org/10.3390/jcdd11120378
Shechter A, Dahan S, Shiyovich A, Gilutz H, Plakht Y. Impact of Baseline Hypoalbuminemia on Long-Term Survival Following Acute Myocardial Infarction According to Body Mass Index. Journal of Cardiovascular Development and Disease. 2024; 11(12):378. https://doi.org/10.3390/jcdd11120378
Chicago/Turabian StyleShechter, Alon, Shani Dahan, Arthur Shiyovich, Harel Gilutz, and Ygal Plakht. 2024. "Impact of Baseline Hypoalbuminemia on Long-Term Survival Following Acute Myocardial Infarction According to Body Mass Index" Journal of Cardiovascular Development and Disease 11, no. 12: 378. https://doi.org/10.3390/jcdd11120378
APA StyleShechter, A., Dahan, S., Shiyovich, A., Gilutz, H., & Plakht, Y. (2024). Impact of Baseline Hypoalbuminemia on Long-Term Survival Following Acute Myocardial Infarction According to Body Mass Index. Journal of Cardiovascular Development and Disease, 11(12), 378. https://doi.org/10.3390/jcdd11120378

