Does the Fatigue Induced by a 30-Minute Run Affect the Lower Limb Acceleration Spikes’ Asymmetries?
Abstract
1. Introduction
2. Materials and Methods
2.1. Sample
2.2. Procedures and Instruments
2.2.1. Acceleration Spikes’ Asymmetry Analysis
2.2.2. Kinematic–Temporal Analysis
2.3. Data and Statistical Analysis
3. Results
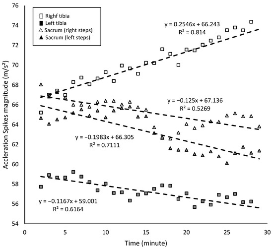
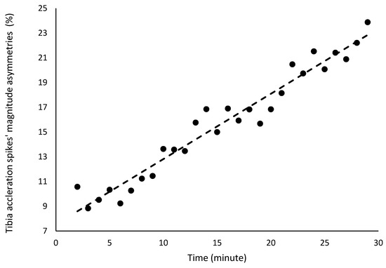
3.1. Asymmetries’ and Acceleration Spikes’ Trend in the Fatigue Test
3.2. Kinematic Differences Between Sectors in the Fatigue Test
4. Discussion
5. Conclusions
Supplementary Materials
Author Contributions
Funding
Institutional Review Board Statement
Informed Consent Statement
Data Availability Statement
Acknowledgments
Conflicts of Interest
References
- Krishan, K.; Kanchan, T.; DiMaggio, J.A. A Study of Limb Asymmetry and Its Effect on Estimation of Stature in Forensic Case Work. Forensic Sci. Int. 2010, 200, 181.e1–181.e5. [Google Scholar] [CrossRef] [PubMed]
- Sadeghi, H.; Allard, P.; Prince, F.; Labelle, H. Symmetry and Limb Dominance in Able-Bodied Gait: A Review. Gait Posture 2000, 12, 34–45. [Google Scholar] [CrossRef] [PubMed]
- Brown, A.M.; Zifchock, R.A.; Hillstrom, H.J. The Effects of Limb Dominance and Fatigue on Running Biomechanics. Gait Posture 2014, 39, 915–919. [Google Scholar] [CrossRef] [PubMed]
- Zifchock, R.A.; Davis, I.; Hamill, J. Kinetic Asymmetry in Female Runners with and without Retrospective Tibial Stress Fractures. J. Biomech. 2006, 39, 2792–2797. [Google Scholar] [CrossRef]
- Zifchock, R.A.; Davis, I.; Higginson, J.; McCaw, S.; Royer, T. Side-to-Side Differences in Overuse Running Injury Susceptibility: A Retrospective Study. Hum. Mov. Sci. 2008, 27, 888–902. [Google Scholar] [CrossRef]
- Beck, O.N.; Azua, E.N.; Grabowski, A.M. Step Time Asymmetry Increases Metabolic Energy Expenditure during Running. Eur. J. Appl. Physiol. 2018, 118, 2147–2154. [Google Scholar] [CrossRef]
- García-Pinillos, F.; Cartón-Llorente, A.; Jaén-Carrillo, D.; Delgado-Floody, P.; Carrasco-Alarcón, V.; Martínez, C.; Roche-Seruendo, L.E. Does Fatigue Alter Step Characteristics and Stiffness during Running? Gait Posture 2020, 76, 259–263. [Google Scholar] [CrossRef]
- Hunter, I.; Smith, G.A. Preferred and Optimal Stride Frequency, Stiffness and Economy: Changes with Fatigue during a 1-h High-Intensity Run. Eur. J. Appl. Physiol. 2007, 100, 653–661. [Google Scholar] [CrossRef]
- Mizrahi, J.; Verbitsky, O.; Isakov, E.; Daily, D. Effect of Fatigue on Leg Kinematics and Impact Acceleration in Long Distance Running. Hum. Mov. Sci. 2000, 19, 139–151. [Google Scholar] [CrossRef]
- Möhler, F.; Fadillioglu, C.; Stein, T. Fatigue-Related Changes in Spatiotemporal Parameters, Joint Kinematics and Leg Stiffness in Expert Runners During a Middle-Distance Run. Front. Sports Act. Living 2021, 3, 634258. [Google Scholar] [CrossRef]
- Möhler, F.; Stetter, B.; Müller, H.; Stein, T. Stride-to-Stride Variability of the Center of Mass in Male Trained Runners After an Exhaustive Run: A Three Dimensional Movement Variability Analysis with a Subject-Specific Anthropometric Model. Front. Sports Act. Living 2021, 3, 665500. [Google Scholar] [CrossRef]
- Bell, D.R.; Pennuto, A.P.; Trigsted, S.M. The Effect of Exertion and Sex on Vertical Ground Reaction Force Variables and Landing Mechanics. J. Strength Cond. Res. 2016, 30, 1661–1669. [Google Scholar] [CrossRef]
- Radzak, K.N.; Putnam, A.M.; Tamura, K.; Hetzler, R.K.; Stickley, C.D. Asymmetry between Lower Limbs during Rested and Fatigued State Running Gait in Healthy Individuals. Gait Posture 2017, 51, 268–274. [Google Scholar] [CrossRef]
- Ryu, J.-S. Vertical Ground Reaction Force Asymmetry in Prolonged Running. Korean J. Appl. Biomech. 2018, 28, 29–35. [Google Scholar] [CrossRef]
- Gao, Z.; Fekete, G.; Baker, J.S.; Liang, M.; Xuan, R.; Gu, Y. Effects of Running Fatigue on Lower Extremity Symmetry among Amateur Runners: From a Biomechanical Perspective. Front. Physiol. 2022, 13, 899818. [Google Scholar] [CrossRef] [PubMed]
- Mtibaa, K.; Zarrouk, N.; Ryu, J.H.; Racinais, S.; Girard, O. Mechanical Asymmetries Remain Low-to-Moderate during 30 Min of Self-Paced Treadmill Running. Front. Physiol. 2023, 14, 1289172. [Google Scholar] [CrossRef] [PubMed]
- Buxton, J.; Shields, K.J.; Nhean, H.; Ramsey, J.; Adams, C.; Richards, G.A. Fatigue Effects on Peak Plantar Pressure and Bilateral Symmetry during Gait at Various Speeds. Biomechanics 2023, 3, 310–321. [Google Scholar] [CrossRef]
- Girard, O.; Brocherie, F.; Morin, J.-B.; Millet, G.P. Lower Limb Mechanical Asymmetry during Repeated Treadmill Sprints. Hum. Mov. Sci. 2017, 52, 203–214. [Google Scholar] [CrossRef]
- Girard, O.; Racinais, S.; Couderc, A.; Morin, J.-B.; Ryu, J.H.; Piscione, J.; Brocherie, F. Asymmetries during Repeated Treadmill Sprints in Elite Female Rugby Sevens Players. Sports Biomech. 2023, 22, 863–873. [Google Scholar] [CrossRef]
- Girard, O.; Li, S.N.; Hobbins, L.; Ryu, J.H.; Peeling, P. Gait Asymmetries during Perceptually-Regulated Interval Running in Hypoxia and Normoxia. Sports Biomech. 2024, 23, 918–934. [Google Scholar] [CrossRef]
- Girard, O.; Millet, G.P.; Micallef, J.-P. Constant Low-to-Moderate Mechanical Asymmetries during 800-m Track Running. Front. Sports Act. Living 2024, 6, 1278454. [Google Scholar] [CrossRef]
- Hanley, B.; Tucker, C.B. Gait Variability and Symmetry Remain Consistent during High-Intensity 10,000 m Treadmill Running. J. Biomech. 2018, 79, 129–134. [Google Scholar] [CrossRef] [PubMed]
- Jacques, T.; Bini, R.; Arndt, A. Running after Cycling Induces Inter-Limb Differences in Muscle Activation but Not in Kinetics or Kinematics. J. Sports Sci. 2021, 39, 154–160. [Google Scholar] [CrossRef]
- Gao, Z.; Mei, Q.; Fekete, G.; Baker, J.S.; Gu, Y. The Effect of Prolonged Running on the Symmetry of Biomechanical Variables of the Lower Limb Joints. Symmetry 2020, 12, 720. [Google Scholar] [CrossRef]
- Vial, S.; Cochrane Wilkie, J.; Anthony, M.; Turner, M.; Blazevich, J. Fatigue Does Not Increase Limb Asymmetry or Induce Proximal Joint Power Shift during Sprinting in Habitual, Multi-Speed Runners. J. Sports Sci. 2023, 41, 1250–1260. [Google Scholar] [CrossRef]
- Andrews, D.M.; Dowling, J.J. Mechanical Modeling of Tibial Axial Accelerations Following Impulsive Heel Impact. J. Appl. Biomech. 2000, 16, 276–288. [Google Scholar] [CrossRef]
- Burke, A.; Dillon, S.; O’Connor, S.; Whyte, E.F.; Gore, S.; Moran, K.A. Relative and Absolute Reliability of Shank and Sacral Running Impact Accelerations over a Short- and Long-Term Time Frame. Sports Biomech. 2024, 23, 3074–3089. [Google Scholar] [CrossRef] [PubMed]
- Delgado-García, G.; Vanrenterghem, J.; Molina-Molina, A.; Soto-Hermoso, V.M. Acceleration Spikes and Attenuation Response in the Trunk in Amateur Tennis Players during Real Game Actions. Proc. Inst. Mech. Eng. Part P J. Sports Eng. Technol. 2023, 238, 392–400. [Google Scholar] [CrossRef]
- García-Pérez, J.A.; Pérez-Soriano, P.; Llana Belloch, S.; Lucas-Cuevas, Á.G.; Sánchez-Zuriaga, D. Effects of Treadmill Running and Fatigue on Impact Acceleration in Distance Running. Sports Biomech. 2014, 13, 259–266. [Google Scholar] [CrossRef]
- Mercer, J.; Bates, B.; Dufek, J.; Hreljac, A. Characteristics of Shock Attenuation during Fatigued Running. J. Sports Sci. 2003, 21, 911–919. [Google Scholar] [CrossRef]
- Verbitsky, O.; Mizrahi, J.; Voloshin, A.; Treiger, J.; Isakov, E. Shock Transmission and Fatigue in Human Running. J. Appl. Biomech. 1998, 14, 300–311. [Google Scholar] [CrossRef] [PubMed]
- Voloshin, A.S.; Mizrahi, J.; Verbitsky, O.; Isakov, E. Dynamic Loading on the Human Musculoskeletal System—Effect of Fatigue. Clin. Biomech. 1998, 13, 515–520. [Google Scholar] [CrossRef] [PubMed]
- Karatzanos, E.; Paradisis, G.; Zacharogiannis, E.; Tziortzis, S.; Nanas, S. Assessment of Ventilatory Threshold Using Near-Infrared Spectroscopy on the Gastrocnemius Muscle during Treadmill Running. Int. J. Ind. Ergon. 2010, 40, 206–211. [Google Scholar] [CrossRef]
- Strohrmann, C.; Harms, H.; Kappeler-Setz, C.; Troster, G. Monitoring Kinematic Changes with Fatigue in Running Using Body-Worn Sensors. IEEE Trans. Inform. Technol. Biomed. 2012, 16, 983–990. [Google Scholar] [CrossRef] [PubMed]
- Encarnación-Martínez, A.; Pérez-Soriano, P.; Sanchis-Sanchis, R.; Berenguer-Vidal, R.; García-Gallart, A. Modification of Angular Kinematics and Spatiotemporal Parameters during Running after Central and Peripheral Fatigue. Appl. Sci. 2021, 11, 6610. [Google Scholar] [CrossRef]
- Buzzi, U.H.; Stergiou, N.; Kurz, M.J.; Hageman, P.A.; Heidel, J. Nonlinear Dynamics Indicates Aging Affects Variability during Gait. Clin. Biomech. 2003, 18, 435–443. [Google Scholar] [CrossRef]
- Williams, K.R.; Snow, R.; Agruss, C. Changes in Distance Running Kinematics with Fatigue. J. Appl. Biomech. 1991, 7, 138–162. [Google Scholar] [CrossRef]
- Evans, J.D. Straightforward Statistics for the Behavioral Sciences; Brooks/Cole Pub. Co.: Pacific Grove, CA, USA, 1996; ISBN 978-0-534-23100-2. [Google Scholar]
- Miller, D. Measurement by the Physical Educator: Why and How, 7th ed.; McGrawHill: New York, NY, USA, 2020; ISBN 978-1-259-92242-8. [Google Scholar]
- Cohen, J.; Cohen, P.; West, S.G.; Aiken, L.S. Applied Multiple Regression/Correlation Analysis for the Behavioral Sciences; Routledge: London, UK, 2013; ISBN 1-134-80101-7. [Google Scholar]
- Rabita, G.; Couturier, A.; Dorel, S.; Hausswirth, C.; Le Meur, Y. Changes in Spring-Mass Behavior and Muscle Activity during an Exhaustive Run at O2max. J. Biomech. 2013, 46, 2011–2017. [Google Scholar] [CrossRef]
- Sanno, M.; Willwacher, S.; Epro, G.; Brüggemann, G.-P. Positive Work Contribution Shifts from Distal to Proximal Joints during a Prolonged Run. Med. Sci. Sports Exerc. 2018, 50, 2507–2517. [Google Scholar] [CrossRef]
- Kellis, E.; Zafeiridis, A.; Amiridis, I.G. Muscle Coactivation Before and After the Impact Phase of Running Following Isokinetic Fatigue. J. Athl. Train. 2011, 46, 11–19. [Google Scholar] [CrossRef]
- Derrick, T.R.; Dereu, D.; Mclean, S.P. Impacts and Kinematic Adjustments during an Exhaustive Run. Med. Sci. Sports Exerc. 2002, 34, 998–1002. [Google Scholar] [CrossRef] [PubMed]
- Chalitsios, C.; Nikodelis, T.; Mavrommatis, G.; Kollias, I. Subject-Specific Sensitivity of Several Biomechanical Features to Fatigue during an Exhaustive Treadmill Run. Sci. Rep. 2024, 14, 1004. [Google Scholar] [CrossRef] [PubMed]
- Komi, P.V. Stretch-Shortening Cycle: A Powerful Model to Study Normal and Fatigued Muscle. J. Biomech. 2000, 33, 1197–1206. [Google Scholar] [CrossRef] [PubMed]
- Lanshammar, K.; Ribom, E.L. Differences in Muscle Strength in Dominant and Non-Dominant Leg in Females Aged 20–39 Years—A Population-Based Study. Phys. Ther. Sport 2011, 12, 76–79. [Google Scholar] [CrossRef]
- Xiang, L.; Gao, Z.; Wang, A.; Shim, V.; Fekete, G.; Gu, Y.; Fernandez, J. Rethinking Running Biomechanics: A Critical Review of Ground Reaction Forces, Tibial Bone Loading, and the Role of Wearable Sensors. Front. Bioeng. Biotechnol. 2024, 12, 1377383. [Google Scholar] [CrossRef]
- Zandbergen, M.A.; Ter Wengel, X.J.; Van Middelaar, R.P.; Buurke, J.H.; Veltink, P.H.; Reenalda, J. Peak Tibial Acceleration Should Not Be Used as Indicator of Tibial Bone Loading during Running. Sports Biomech. 2023, 1–18. [Google Scholar] [CrossRef]
- Matijevich, E.S.; Branscombe, L.M.; Scott, L.R.; Zelik, K.E. Ground Reaction Force Metrics Are Not Strongly Correlated with Tibial Bone Load When Running across Speeds and Slopes: Implications for Science, Sport and Wearable Tech. PLoS ONE 2019, 14, e0210000. [Google Scholar] [CrossRef]
- Tenforde, A.S.; Hayano, T.; Jamison, S.T.; Outerleys, J.; Davis, I.S. Tibial Acceleration Measured from Wearable Sensors Is Associated with Loading Rates in Injured Runners. PMR 2020, 12, 679–684. [Google Scholar] [CrossRef]
- Havens, K.L.; Cohen, S.C.; Pratt, K.A.; Sigward, S.M. Accelerations from Wearable Accelerometers Reflect Knee Loading during Running after Anterior Cruciate Ligament Reconstruction. Clin. Biomech. 2018, 58, 57–61. [Google Scholar] [CrossRef]
- Rowlands, A.V.; Stiles, V.H. Accelerometer Counts and Raw Acceleration Output in Relation to Mechanical Loading. J. Biomech. 2012, 45, 448–454. [Google Scholar] [CrossRef]
- Van den Berghe, P.; Six, J.; Gerlo, J.; Leman, M.; De Clercq, D. Validity and Reliability of Peak Tibial Accelerations as Real-Time Measure of Impact Loading during over-Ground Rearfoot Running at Different Speeds. J. Biomech. 2019, 86, 238–242. [Google Scholar] [CrossRef] [PubMed]
- Van Hooren, B.; Fuller, J.T.; Buckley, J.D.; Miller, J.R.; Sewell, K.; Rao, G.; Barton, C.; Bishop, C.; Willy, R.W. Is Motorized Treadmill Running Biomechanically Comparable to Overground Running? A Systematic Review and Meta-Analysis of Cross-Over Studies. Sports Med. 2020, 50, 785–813. [Google Scholar] [CrossRef] [PubMed]
- Seminati, E.; Nardello, F.; Zamparo, P.; Ardigò, L.P.; Faccioli, N.; Minetti, A.E. Anatomically Asymmetrical Runners Move More Asymmetrically at the Same Metabolic Cost. PLoS ONE 2013, 8, e74134. [Google Scholar] [CrossRef] [PubMed]






| Parameter | Minimum | Maximum | Mean | Std. |
|---|---|---|---|---|
| Age (years) | 22.2 | 49.6 | 35.6 | 7.5 |
| Height [cm] | 153 | 190 | 172.8 | 9.0 |
| Weight [kg] | 47.3 | 88.6 | 68.9 | 11.2 |
| BMI [kg/m2] | 20.2 | 27.6 | 22.9 | 2.1 |
| FM [%] | 8.3 | 22.8 | 14.7 | 4.1 |
| FFM [kg] | 36.6 | 72.8 | 55.9 | 9.5 |
| Body water [%] | 55.6 | 67.2 | 62.0 | 3.4 |
| Resting heart rate [lpm] | 53 | 84 | 63.2 | 8.5 |
| Systolic blood pressure [mmHg] | 91 | 170 | 119.9 | 16.4 |
| Diastolic blood pressure [mmHg] | 61 | 92 | 71.7 | 8.8 |
| Running experience (years) | 5 | 25 | 12.3 | 4.6 |
| Running distance per week (km) | 10 | 100 | 31.5 | 23.8 |
| Asymmetry (%) | Mean ± SD | Pearson’s r | Slope | Intercept | t | p Value |
|---|---|---|---|---|---|---|
| Tibia acceleration spikes (%) | 16 ± 5 | 0.98 | 0.53 | 7.5 | 25.59 | <0.001 |
| Sacrum acceleration spikes (%) | 4 ± 2 | 0.34 | 0.07 | 2.9 | 1.88 | 0.0714 |
| Attenuation (%) | −15 ± 281 | −0.02 | −0.81 | −2.1 | −0.1 | 0.7291 |
Disclaimer/Publisher’s Note: The statements, opinions and data contained in all publications are solely those of the individual author(s) and contributor(s) and not of MDPI and/or the editor(s). MDPI and/or the editor(s) disclaim responsibility for any injury to people or property resulting from any ideas, methods, instructions or products referred to in the content. |
© 2025 by the authors. Licensee MDPI, Basel, Switzerland. This article is an open access article distributed under the terms and conditions of the Creative Commons Attribution (CC BY) license (https://creativecommons.org/licenses/by/4.0/).
Share and Cite
Delgado-García, G.; Martín-López, I.M.; Soto-Méndez, F.; Quílez-Maimón, A.; Boned-Gómez, S. Does the Fatigue Induced by a 30-Minute Run Affect the Lower Limb Acceleration Spikes’ Asymmetries? Bioengineering 2025, 12, 294. https://doi.org/10.3390/bioengineering12030294
Delgado-García G, Martín-López IM, Soto-Méndez F, Quílez-Maimón A, Boned-Gómez S. Does the Fatigue Induced by a 30-Minute Run Affect the Lower Limb Acceleration Spikes’ Asymmetries? Bioengineering. 2025; 12(3):294. https://doi.org/10.3390/bioengineering12030294
Chicago/Turabian StyleDelgado-García, Gabriel, Isabel M. Martín-López, Fulgencio Soto-Méndez, Arturo Quílez-Maimón, and Salvador Boned-Gómez. 2025. "Does the Fatigue Induced by a 30-Minute Run Affect the Lower Limb Acceleration Spikes’ Asymmetries?" Bioengineering 12, no. 3: 294. https://doi.org/10.3390/bioengineering12030294
APA StyleDelgado-García, G., Martín-López, I. M., Soto-Méndez, F., Quílez-Maimón, A., & Boned-Gómez, S. (2025). Does the Fatigue Induced by a 30-Minute Run Affect the Lower Limb Acceleration Spikes’ Asymmetries? Bioengineering, 12(3), 294. https://doi.org/10.3390/bioengineering12030294

