Biomechanical Modelling of Porcine Kidney
Abstract
1. Introduction
2. Materials and Methods
2.1. Preparation of Samples
2.2. Viscoelasticity
3. Results
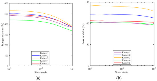
3.1. Strain Sweep
3.2. Frequency Sweep
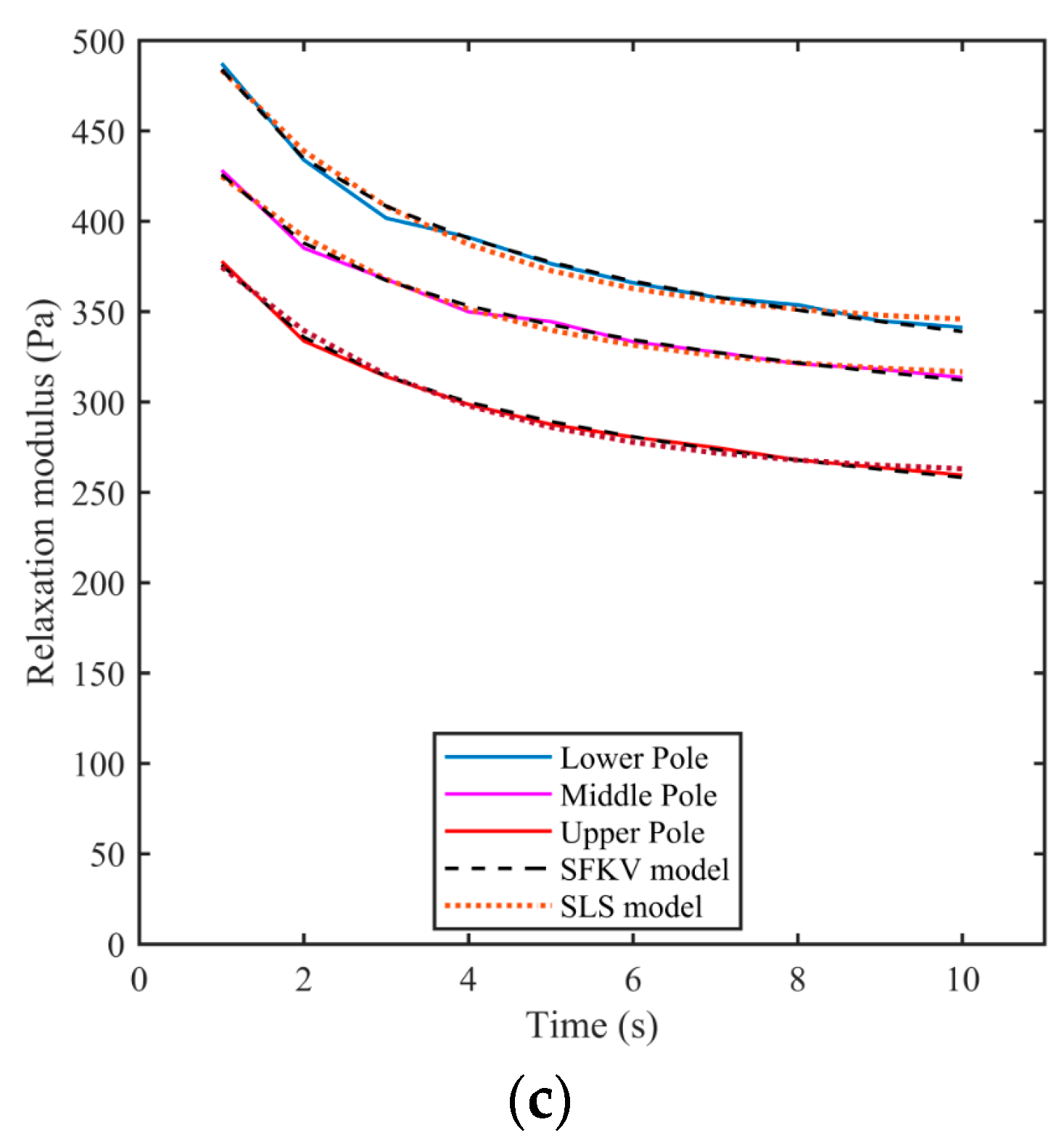
3.3. Stress Relaxation
4. Discussion
5. Conclusions
Author Contributions
Funding
Data Availability Statement
Acknowledgments
Conflicts of Interest
References
- Nasseri, S.; Bilston, L.E.; Phan-Thien, N. Viscoelastic properties of pig kidney in shear, experimental results and modelling. Rheo. Acta 2002, 41, 180–192. [Google Scholar] [CrossRef]
- Shao, Y.; Connors, B.A.; Evan, A.P.; Willis, L.R.; Lifshitz, D.A.; Lingeman, J.E. Morphological changes induced in the pig kidney by extracorporeal shock wave lithotripsy: Nephron injury. Anat. Rec. Part A Discov. Mol. Cell. Evol. Bio. 2003, 275, 979–989. [Google Scholar] [CrossRef] [PubMed]
- Connors, B.A.; Evan, A.P.; Willis, L.R.; Blomgren, P.M.; Lingeman, J.E.; Fineberg, N.S. The effect of discharge voltage on renal injury and impairment caused by lithotripsy in the pig. J. Am. Soc. Nephrol. 2000, 11, 310–318. [Google Scholar] [CrossRef] [PubMed]
- Maxwell, A.D.; Cunitz, B.W.; Kreider, W.; Sapozhnikov, O.A.; Hsi, R.S.; Harper, J.D.; Bailey, M.R.; Sorensen, M.D. Fragmentation of urinary calculi in vitro by burst wave lithotripsy. J. Urol. 2015, 193, 338–344. [Google Scholar] [CrossRef] [PubMed]
- Cleveland, R.O.; McAteer, J.A. Physics of shock-wave lithotripsy. In Smith’s Textbook of Endourology, 3rd ed.; Smith, A.D., Badlani, G.H., Preminger, G.M., Kavoussi, L.R., Eds.; Blackwell Publishing Ltd.: Hoboken, NJ, USA, 2012; pp. 527–558. [Google Scholar]
- May, P.C.; Kreider, W.; Maxwell, A.D.; Wang, Y.N.; Cunitz, B.W.; Blomgren, P.M.; Johnson, C.D.; Park, J.S.; Bailey, M.R.; Lee, D.; et al. Detection and evaluation of renal injury in burst wave lithotripsy using ultrasound and magnetic resonance imaging. J. Endourol. 2017, 31, 786–792. [Google Scholar] [CrossRef] [PubMed]
- Lim, W.T.; Ooi, E.H.; Foo, J.J.; Ng, K.H.; Wong, J.H.; Leong, S.S. The role of shear viscosity as a biomarker for improving chronic kidney disease detection using shear wave elastography: A computational study using a validated finite element model. Ultrasonics 2023, 133, 107046. [Google Scholar] [CrossRef] [PubMed]
- Ateshian, G.A.; Spack, K.A.; Hone, J.C.; Azeloglu, E.U.; Gusella, G.L. Computational study of biomechanical drivers of renal cystogenesis. Biomech. Model. Mechanobio. 2023, 22, 1113–1127. [Google Scholar] [CrossRef] [PubMed]
- Jing, M.; Cui, Z.; Fu, H.; Chen, X. Real-time deformation simulation of kidney surgery based on virtual reality. J. Shanghai Jiaotong Univ. (Sci.) 2021, 26, 290–297. [Google Scholar] [CrossRef]
- Johnson, B.; Campbell, S.; Campbell-Kyureghyan, N. Characterizing the material properties of the kidney and liver in unconfined compression and probing protocols with special reference to varying strain rate. Biomechanics 2021, 1, 264–280. [Google Scholar] [CrossRef]
- Conrad, L.; Runser, S.V.M.; Fernando Gómez, H.; Lang, C.M.; Dumond, M.S.; Sapala, A.; Schaumann, L.; Michos, O.; Vetter, R.; Iber, D. The biomechanical basis of biased epithelial tube elongation in lung and kidney development. Development 2021, 148, 194209. [Google Scholar] [CrossRef]
- Dagli, M.; Ramchandani, P. Percutaneous nephrostomy: Technical aspects and indications. Semi. Interv. Radio. 2011, 28, 424–437. [Google Scholar] [CrossRef]
- Carniel, E.L.; Toniolo, I.; Fontanella, C.G. Computational biomechanics: In-silico tools for the investigation of surgical procedures and devices. Bioengineering 2020, 7, 48. [Google Scholar] [CrossRef]
- Misra, S.; Ramesh, K.T.; Okamura, A.M. Modeling of tool-tissue interactions for computer-based surgical simulation: A literature review. Presence 2008, 17, 463–491. [Google Scholar] [CrossRef]
- Cai, Z.; Lan, F.; Chen, J. Development and validation of a human biomechanical model for rib fracture and thorax injuries in blunt impact. Comput. Methods Biomech. Biomed. Eng. 2015, 18, 974–980. [Google Scholar] [CrossRef]
- Germanetti, F.; Fiumarella, D.; Belingardi, G.; Scattina, A. Injury criteria for vehicle safety assessment: A review with a focus using human body models. Vehicles 2022, 4, 1080–1095. [Google Scholar] [CrossRef]
- Ellahi, A.; Gupta, S.; Bose, D.; Chanda, A. A high-fidelity biomechanical modeling framework for injury prediction during frontal car crash. Comp. Meth. Biomech. Biomed. Eng. 2023, 1–12. [Google Scholar] [CrossRef]
- Lloyd, D. The future of in-field sports biomechanics: Wearables plus modelling compute real-time in vivo tissue loading to prevent and repair musculoskeletal injuries. Sports Biomech. 2021, 1–29. [Google Scholar] [CrossRef]
- Ormachea, J.; Parker, K.J. Elastography imaging: The 30 year perspective. Phys. Med. Biol. 2020, 65, 24TR06. [Google Scholar] [CrossRef]
- Ringel, M.J.; Richey, W.L.; Heiselman, J.S.; Meszoely, I.M.; Miga, M.I. Incorporating heterogeneity and anisotropy for surgical applications in breast deformation modeling. Clin. Biomech. 2023, 104, 105927. [Google Scholar] [CrossRef]
- Parker, K.J.; Szabo, T.; Holm, S. Towards a consensus on rheological models for elastography in soft tissues. Phys. Med. Biol. 2019, 64, 215012. [Google Scholar] [CrossRef]
- Osika, M.; Kijanka, P. Ultrasound Shear Wave Propagation Modeling in General Tissue–Like Viscoelastic Materials. Ultrasound Med. Biol. 2024, 50, 627–638. [Google Scholar] [CrossRef]
- Wilkie, K.P.; Drapaca, C.S.; Sivaloganathan, S. A nonlinear viscoelastic fractional derivative model of infant hydrocephalus. Appl. Math. Comput. 2011, 217, 8693–8704. [Google Scholar] [CrossRef]
- Adamczak, S.; Bochnia, J. Estimating the approximation uncertainty for digital materials subjected to stress relaxation tests. Metrol. Meas. Syst. 2016, 23, 545–553. [Google Scholar] [CrossRef]
- Lin, C.Y. Alternative form of standard linear solid model for characterizing stress relaxation and creep: Including a novel parameter for quantifying the ratio of fluids to solids of a viscoelastic solid. Front. Mater. 2020, 7, 11. [Google Scholar] [CrossRef]
- Sack, I. Magnetic resonance elastography from fundamental soft-tissue mechanics to diagnostic imaging. Nat. Rev. Phys. 2023, 5, 25–42. [Google Scholar] [CrossRef]
- Sack, I.; Beierbach, B.; Wuerfel, J.; Klatt, D.; Hamhaber, U.; Papazoglou, S.; Martus, P.; Braun, J. The impact of aging and gender on brain viscoelasticity. Neuroimage 2009, 46, 652–657. [Google Scholar] [CrossRef]
- Wang, X.; Schoen, J.A.; Rentschler, M.E. A quantitative comparison of soft tissue compressive viscoelastic model accuracy. J. Mech. Behav. Biomed. Mater. 2013, 20, 126–136. [Google Scholar] [CrossRef]
- Fung, Y. Biomechanics: Mechanical Properties of Living Tissues; Springer: New York, NY, USA, 1993; pp. 75–79. [Google Scholar]
- Roylance, D. Engineering Viscoelasticity; Department of Materials Science and Engineering, Massachusetts Institute of Technology: Cambridge, MA, USA, 2001; Volume 2139, pp. 1–37. [Google Scholar]
- Liu, K.; VanLandingham, M.R.; Ovaert, T.C. Mechanical characterization of soft viscoelastic gels via indentation and optimization-based inverse finite element analysis. J. Mech. Behav. Biomed. Mater. 2009, 2, 355–363. [Google Scholar] [CrossRef]
- Baran, B.B.; Basdogan, C. Force-based calibration of a particle system for realistic simulation of nonlinear and viscoelastic soft tissue behavior. In Haptics: Generating and Perceiving Tangible Sensations: International Conference, EuroHaptics, Amsterdam, The Netherlands, 8–10 July 2010; Springer: Berlin/Heidelberg, Germany, 2010. [Google Scholar]
- Taylor, L.S.; Lerner, A.L.; Rubens, D.J.; Parker, K.J. A Kelvin–Voigt fractional derivative model for viscoelastic characterization of liver tissue. In Proceedings of the ASME International Mechanical Engineering Congress and Exposition, New Orleans, LA, USA, 17–22 November 2002. [Google Scholar]
- Machiraju, C.; Phan, A.V.; Pearsall, A.W.; Madanagopal, S. Viscoelastic studies of human subscapularis tendon: Relaxation test and a Wiechert model. Comput. Methods Programs Biomed. 2006, 83, 29–33. [Google Scholar] [CrossRef]
- Madani, N.; Mojra, A. Quantitative diagnosis of breast tumors by characterization of viscoelastic behavior of healthy breast tissue. J. Mech. Behav. Biomed. Mater. 2017, 68, 180–187. [Google Scholar] [CrossRef]
- Kim, J.H.; Yang, D.; Park, S. Experimental validation for the interconversion between generalized Kelvin–Voigt and Maxwell models using human skin tissues. J. Biomech. 2024, 162, 111908. [Google Scholar] [CrossRef]
- Drapaca, C.S.; Sivaloganathan, S.; Tenti, G. Nonlinear constitutive laws in viscoelasticity. Math. Mech. Solids 2007, 12, 475–501. [Google Scholar] [CrossRef]
- Efremov, Y.M.; Okajima, T.; Raman, A. Measuring viscoelasticity of soft biological samples using atomic force microscopy. Soft Matter 2020, 16, 64–81. [Google Scholar] [CrossRef]
- Davis, G.B.; Kohandel, M.; Sivaloganathan, S.; Tenti, G. The constitutive properties of the brain parenchyma. Part 2: Fractional derivative approach. Med. Eng. Phys. 2006, 28, 455–459. [Google Scholar] [CrossRef]
- Bonfanti, A.; Kaplan, J.L.; Charras, G.; Kabla, A. Fractional viscoelastic models for power-law materials. Soft Matter 2020, 16, 6002–6020. [Google Scholar] [CrossRef]
- Bonfanti, A.; Fouchard, J.; Khalilgharibi, N.; Charras, G.; Kabla, A. A unified rheological model for cells and cellularised materials. R. Soc. Open Sci. 2020, 7, 190920. [Google Scholar] [CrossRef]
- Coussot, C.; Kalyanam, S.; Yapp, R.; Insana, M.F. Fractional derivative models for ultrasonic characterization of polymer and breast tissue viscoelasticity. IEEE Trans. Ultrason. Ferroelectr. Freq. Control. 2009, 56, 715–726. [Google Scholar] [CrossRef]
- Carmichael, B.; Babahosseini, H.; Mahmoodi, S.N.; Agah, M. The fractional viscoelastic response of human breast tissue cells. Phys. Biol. 2005, 12, 046001. [Google Scholar] [CrossRef]
- Dai, Z.; Peng, Y.; Mansy, H.A.; Sandler, R.H.; Royston, T.J. A model of lung parenchyma stress relaxation using fractional viscoelasticity. Med. Eng. Phys. 2015, 37, 752–758. [Google Scholar] [CrossRef]
- Craiem, D.; Magin, R.L. Fractional order models of viscoelasticity as an alternative in the analysis of red blood cell (RBC) membrane mechanics. Phys. Biol. 2010, 7, 013001. [Google Scholar] [CrossRef]
- Farshad, M.; Barbezat, M.; Flüeler, P.; Schmidlin, F.; Graber, P.; Niederer, P. Material characterization of the pig kidney in relation with the biomechanical analysis of renal trauma. J. Biomech. 1999, 32, 417–425. [Google Scholar] [CrossRef]
- Mishra, A. Passive Acoustic Mapping for Monitoring Burst Wave Lithotripsy. Ph.D. Dissertation, University of Oxford, Oxford, UK, 11 November 2023. [Google Scholar]
- Chen, Y.; Shi, J.; Xia, T.C.; Xu, R.; He, X.; Xia, Y. Preservation solutions for kidney transplantation: History, advances and mechanisms. Cell Transplant. 2019, 28, 1472–1489. [Google Scholar] [CrossRef]
- Reyes, J.; Murase, N.; Starzl, T.E. Principles of Transplantation. In Pediatric Surgery E-Book: Expert Consult-Online and Print, 7th ed.; Coran, G.A., Ed.; Elsevier Mosby: Maryland Heights, MO, USA, 2012; pp. 605–615. [Google Scholar] [CrossRef]
- McCraw, M.R.; Uluutku, B.; Solares, S.D. Linear viscoelasticity: Review of theory and applications in atomic force microscopy. Rep. Mech. Eng. 2021, 2, 156–179. [Google Scholar] [CrossRef]
- Adrover-Monserrat, B.; García-Vilana, S.; Sánchez-Molina, D.; Llumà, J.; Jerez-Mesa, R.; Travieso-Rodriguez, J.A. Viscoelastic Characterization of a Thermoplastic Elastomer Processed through Material Extrusion. Polymers 2022, 14, 2914. [Google Scholar] [CrossRef]
- Ouis, D. Characterization of polymers by means of a standard viscoelastic model and fractional derivate calculus. Int. J. Polym. Mater. 2004, 53, 633–644. [Google Scholar] [CrossRef]
- Nicolle, S.; Vezin, P.; Palierne, J.F. A strain-hardening bi-power law for the nonlinear behaviour of biological soft tissues. J. Biomech. 2010, 43, 927–932. [Google Scholar] [CrossRef]
- Amador, C.; Urban, M.W.; Warner, L.V.; Greenleaf, J.F. In vitro renal cortex elasticity and viscosity measurements with shearwave dispersion ultrasound vibrometry (SDUV) on swine kidney. In Proceedings of the Annual International Conference of the IEEE Engineering in Medicine and Biology Society, Minneapolis, MN, USA, 3–6 September 2009. [Google Scholar]
- Kruse, S.A.; Smith, J.A.; Lawrence, A.J.; Dresner, M.A.; Manduca, A.J.F.G.; Greenleaf, J.F.; Ehman, R.L. Tissue characterization using magnetic resonance elastography: Preliminary results. Phys. Med. Biol. 2000, 45, 1579. [Google Scholar] [CrossRef]
- Ternifi, R.; Gennisson, J.L.; Tanter, M.; Beillas, P. Effects of storage temperature on the mechanical properties of porcine kidney estimated using shear wave elastography. J. Mech. Behav. Biomed. Mater. 2013, 28, 86–93. [Google Scholar] [CrossRef]
- Gao, J.; Thai, A.; Lee, J.; Fowlkes, J.B. Ultrasound shear wave elastography and Doppler sonography to assess the effect of hydration on human kidneys: A preliminary observation. Ultrasound Med. Biol. 2020, 46, 1179–1188. [Google Scholar] [CrossRef]
- Vasconcelos, L.; Kijanka, P.; Grande, J.P.; Oliveira, R.; Amador, C.; Aristizabal, S.; Sanger, N.M.; Rule, A.D.; Atwell, T.D.; Urban, M.W. Kidney cortex shear wave motion simulations based on segmented biopsy histology. Comput. Methods Programs Biomed. 2024, 245, 108035. [Google Scholar] [CrossRef]
- Kim, J.; Srinivasan, M.A. Characterization of viscoelastic soft tissue properties from in vivo animal experiments and inverse FE parameter estimation. In International Conference on Medical Image Computing and Computer-Assisted Intervention, Palm Springs, CA, USA, 26–29 October 2005; Springer: Berlin/Heidelberg, Germany, 2005; pp. 599–606. [Google Scholar]
- Sasso, M.; Palmieri, G.; Amodio, D. Application of fractional derivative models in linear viscoelastic problems. Mech. Time-Depend. Mater. 2011, 15, 367–387. [Google Scholar] [CrossRef]
- Perdikaris, P.; Karniadakis, G.E. Fractional-order viscoelasticity in one-dimensional blood flow models. Annal. Biomed. Eng. 2014, 42, 1012–1023. [Google Scholar] [CrossRef] [PubMed]
- Seyfi, B.; Rassoli, A.; Imeni Markhali, M.; Fatouraee, N. Characterization of the Nonlinear Biaxial Mechanical Behavior of Human Ureter using Constitutive Modeling and Artificial Neural Networks. J. Appl. Comput. Mech. 2022, 8, 1186–1195. [Google Scholar]
- Chaimoon, K.; Chindaprasirt, P. An anisotropic hyperelastic model with an application to soft tissues. Eur. J. Mech.-A/Solids 2019, 78, 103845. [Google Scholar] [CrossRef]
- Basak, A.; Amirtham, R.; Basappa, U. The use of contravariant tensor invariants to model damage in anisotropic soft tissues. Mech. Adv. Mater. Struct. 2022, 29, 5714–5725. [Google Scholar] [CrossRef]








| Kidney | Pole | Kα [Pa·(s)α] | α | η [Pa·s] |
|---|---|---|---|---|
| Kidney 1 | Lower | 473 | 0.09 | 10.46 |
| Upper | 613 | 0.11 | 6.45 | |
| Middle | 576 | 0.11 | 5.19 | |
| Kidney 2 | Lower | 773 | 0.10 | 6.17 |
| Upper | 577 | 0.11 | 8.27 | |
| Middle | 482 | 0.11 | 4.75 | |
| Kidney 3 | Lower | 513 | 0.10 | 9.07 |
| Upper | 595 | 0.08 | 16.99 | |
| Middle | 472 | 0.13 | 1.61 | |
| Average | 564 ± 96 | 0.10 ± 0.01 | 7.66 ± 4.36 |
| Kidney | Pole | (Pa) | (Pa) | (Pa·s) |
|---|---|---|---|---|
| Kidney 1 | Lower | 125 | 393 | 199 |
| Upper | 227 | 515 | 146 | |
| Middle | 227 | 471 | 167 | |
| Kidney 2 | Lower | 291 | 647 | 190 |
| Upper | 213 | 446 | 313 | |
| Middle | 190 | 398 | 129 | |
| Kidney 3 | Lower | 158 | 425 | 177 |
| Upper | 150 | 491 | 311 | |
| Middle | 263 | 388 | 103 | |
| Average | 205 ± 54 | 464 ± 82 | 193 ± 74 |
| Kidney | Pole | (Pa) | (Pa) | (Pa·s) | (Pa) | (Pa·s) |
|---|---|---|---|---|---|---|
| Kidney 1 | Lower | 68 | 370 | 368 | 86 | 79 |
| Upper | 131 | 491 | 264 | 356 | 46 | |
| Middle | 135 | 438 | 358 | 258 | 48 | |
| Kidney 2 | Lower | 163 | 607 | 400 | 365 | 62 |
| Upper | 170 | 378 | 960 | 146 | 72 | |
| Middle | 114 | 373 | 262 | 338 | 41 | |
| Kidney 3 | Lower | 110 | 404 | 313 | 117 | 32 |
| Upper | 79 | 447 | 772 | 119 | 185 | |
| Middle | 109 | 355 | 249 | 614 | 62 | |
| Average | 120 ± 34 | 429 ± 80 | 438 ± 252 | 266 ± 171 | 70 ± 46 |
| Kidney | Pole | Kα [Pa·(s)α] | α |
|---|---|---|---|
| Kidney 1 | Lower | 443 | 0.10 |
| Middle | 409 | 0.14 | |
| Upper | 321 | 0.15 | |
| Kidney 2 | Lower | 648 | 0.15 |
| Middle | 441 | 0.18 | |
| Upper | 465 | 0.13 | |
| Kidney 3 | Lower | 541 | 0.16 |
| Middle | 468 | 0.14 | |
| Upper | 423 | 0.16 | |
| Average | 462 ± 91 | 0.15 ± 0.02 |
| Kidney | Pole | (Pa) | (Pa) | (s) |
|---|---|---|---|---|
| Kidney 1 | Lower | 128 | 331 | 2.49 |
| Middle | 148 | 268 | 2.69 | |
| Upper | 121 | 202 | 2.84 | |
| Kidney 2 | Lower | 233 | 416 | 2.98 |
| Middle | 176 | 251 | 3.42 | |
| Upper | 160 | 322 | 2.44 | |
| Kidney 3 | Lower | 208 | 341 | 2.66 |
| Middle | 160 | 312 | 2.85 | |
| Upper | 167 | 259 | 2.78 | |
| Average | 167 ± 36 | 300 ± 63 | 2.79 ± 0.29 |
Disclaimer/Publisher’s Note: The statements, opinions and data contained in all publications are solely those of the individual author(s) and contributor(s) and not of MDPI and/or the editor(s). MDPI and/or the editor(s) disclaim responsibility for any injury to people or property resulting from any ideas, methods, instructions or products referred to in the content. |
© 2024 by the authors. Licensee MDPI, Basel, Switzerland. This article is an open access article distributed under the terms and conditions of the Creative Commons Attribution (CC BY) license (https://creativecommons.org/licenses/by/4.0/).
Share and Cite
Mishra, A.; Cleveland, R.O. Biomechanical Modelling of Porcine Kidney. Bioengineering 2024, 11, 537. https://doi.org/10.3390/bioengineering11060537
Mishra A, Cleveland RO. Biomechanical Modelling of Porcine Kidney. Bioengineering. 2024; 11(6):537. https://doi.org/10.3390/bioengineering11060537
Chicago/Turabian StyleMishra, Aadarsh, and Robin O. Cleveland. 2024. "Biomechanical Modelling of Porcine Kidney" Bioengineering 11, no. 6: 537. https://doi.org/10.3390/bioengineering11060537
APA StyleMishra, A., & Cleveland, R. O. (2024). Biomechanical Modelling of Porcine Kidney. Bioengineering, 11(6), 537. https://doi.org/10.3390/bioengineering11060537
