The Use of Artificial Intelligence for Estimating Anterior Chamber Depth from Slit-Lamp Images Developed Using Anterior-Segment Optical Coherence Tomography
Abstract
1. Introduction
2. Materials and Methods
2.1. Ethics Approval
2.2. Study Design
2.3. Portable Recording Slit-Light Microscope
2.4. Anterior Segment Optical Coherence Tomography
2.5. Datasets and Machine Learning (ML)
2.6. Statistical Analysis
3. Results
3.1. Demographics of the Datasets
3.2. Performance of the Diagnosable Frame Extraction Model (Result of Model 1)
3.3. Performance of the ACD Estimation Model (Result of Model 2)
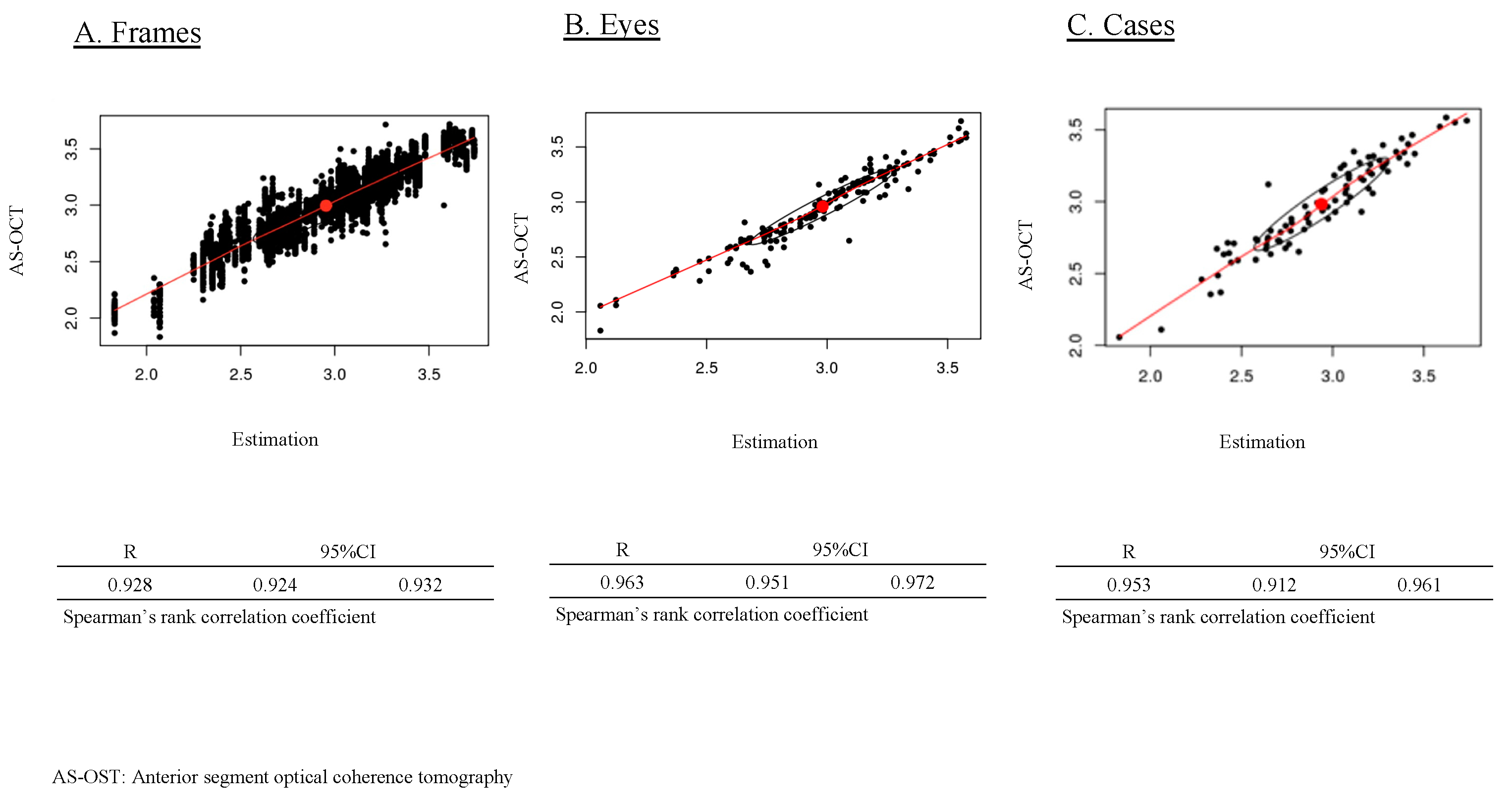
3.4. Correlation of the Estimated Values versus AS-OCT Values
3.5. Estimation of the Risk for Angle Closure Glaucoma
3.6. Visualization
4. Discussion
5. Patents
Author Contributions
Funding
Institutional Review Board Statement
Informed Consent Statement
Data Availability Statement
Acknowledgments
Conflicts of Interest
References
- Soh, Z.; Yu, M.; Betzler, B.K.; Majithia, S.; Thakur, S.; Tham, Y.C.; Wong, T.Y.; Aung, T.; Friedman, D.S.; Cheng, C.Y. The Global Extent of Undetected Glaucoma in Adults: A Systematic Review and Meta-analysis. Ophthalmology 2021, 128, 1393–1404. [Google Scholar] [CrossRef] [PubMed]
- Tham, Y.C.; Li, X.; Wong, T.Y.; Quigley, H.A.; Aung, T.; Cheng, C.Y. Global Prevalence of Glaucoma and Projections of Glaucoma Burden through 2040: A Systematic Review and Meta-Analysis. Ophthalmology 2014, 121, 2081–2090. [Google Scholar] [CrossRef] [PubMed]
- Chansangpetch, S.; Rojanapongpun, P.; Lin, S.C. Anterior Segment Imaging for Angle Closure. Am. J. Ophthalmol. 2018, 188, xvi–xxix. [Google Scholar] [CrossRef] [PubMed]
- Kubin, A.M.; Huhtinen, P.; Ohtonen, P.; Keskitalo, A.; Wirkkala, J.; Hautala, N. Comparison of 21 Artificial Intelligence Algorithms in Automated Diabetic Retinopathy Screening Using Handheld Fundus Camera. Ann. Med. 2024, 56, 2352018. [Google Scholar] [CrossRef]
- Riotto, E.; Gasser, S.; Potic, J.; Sherif, M.; Stappler, T.; Schlingemann, R.; Wolfensberger, T.; Konstantinidis, L. Accuracy of Autonomous Artificial Intelligence-Based Diabetic Retinopathy Screening in Real-Life Clinical Practice. J. Clin. Med. 2024, 13, 4776. [Google Scholar] [CrossRef]
- Chen, D.; Geevarghese, A.; Lee, S.; Plovnick, C.; Elgin, C.; Zhou, R.; Oermann, E.; Aphinyonaphongs, Y.; Al-Aswad, L.A. Transparency in Artificial Intelligence Reporting in Ophthalmology—A Scoping Review. Ophthalmol. Sci. 2024, 4, 100471. [Google Scholar] [CrossRef]
- La Franca, L.; Rutigliani, C.; Checchin, L.; Lattanzio, R.; Bandello, F.; Cicinelli, M.V. Rate and Predictors of Misclassification of Active Diabetic Macular Edema as Detected by an Automated Retinal Image Analysis System. Ophthalmol. Ther. 2024, 13, 1553–1567. [Google Scholar] [CrossRef]
- Vought, R.; Vought, V.; Shah, M.; Szirth, B.; Bhagat, N. EyeArt Artificial Intelligence Analysis of Diabetic Retinopathy in Retinal Screening Events. Int. Ophthalmol. 2023, 43, 4851–4859. [Google Scholar] [CrossRef]
- Mehra, A.A.; Softing, A.; Guner, M.K.; Hodge, D.O.; Barkmeier, A.J. Diabetic Retinopathy Telemedicine Outcomes with Artificial Intelligence-Based Image Analysis, Reflex Dilation, and Image Overread. Am. J. Ophthalmol. 2022, 244, 125–132. [Google Scholar] [CrossRef]
- Lim, J.I.; Regillo, C.D.; Sadda, S.R.; Ipp, E.; Bhaskaranand, M.; Ramachandra, C.; Solanki, K. Artificial Intelligence Detection of Diabetic Retinopathy: Subgroup Comparison of the EyeArt System with Ophthalmologists’ Dilated Examinations. Ophthalmol. Sci. 2022, 3, 100228. [Google Scholar] [CrossRef]
- Wintergerst, M.W.M.; Bejan, V.; Hartmann, V.; Schnorrenberg, M.; Bleckwenn, M.; Weckbecker, K.; Finger, R.P. Telemedical Diabetic Retinopathy Screening in a Primary Care Setting: Quality of Retinal Photographs and Accuracy of Automated Image Analysis. Ophthalmic Epidemiol. 2022, 29, 286–295. [Google Scholar] [CrossRef] [PubMed]
- Ipp, E.; Liljenquist, D.; Bode, B.; Shah, V.N.; Silverstein, S.; Regillo, C.D.; Lim, J.I.; Sadda, S.; Domalpally, A.; Gray, G.; et al. Pivotal Evaluation of an Artificial Intelligence System for Autonomous Detection of Referrable and Vision-Threatening Diabetic Retinopathy. JAMA Netw. Open 2021, 4, e2134254. [Google Scholar] [CrossRef] [PubMed]
- Savoy, M. IDx-DR for Diabetic Retinopathy Screening. Am. Fam. Physician 2020, 101, 307–308. [Google Scholar] [PubMed]
- Tufail, A.; Rudisill, C.; Egan, C.; Kapetanakis, V.V.; Salas-Vega, S.; Owen, C.G.; Lee, A.; Louw, V.; Anderson, J.; Liew, G.; et al. Automated Diabetic Retinopathy Image Assessment Software: Diagnostic Accuracy and Cost-Effectiveness Compared with Human Graders. Ophthalmology 2017, 124, 343–351. [Google Scholar] [CrossRef] [PubMed]
- Fang, X.; Deshmukh, M.; Chee, M.L.; Soh, Z.D.; Teo, Z.L.; Thakur, S.; Goh, J.H.L.; Liu, Y.C.; Husain, R.; Mehta, J.S.; et al. Deep Learning Algorithms for Automatic Detection of Pterygium Using Anterior Segment Photographs from Slit-Lamp and Hand-Held Cameras. Br. J. Ophthalmol. 2022, 106, 1642–1647. [Google Scholar] [CrossRef]
- Nolan, W.P.; Baasanhu, J.; Undraa, A.; Uranchimeg, D.; Ganzorig, S.; Johnson, G.J. Screening for Primary Angle Closure in Mongolia: A Randomised Controlled Trial to Determine Whether Screening and Prophylactic Treatment Will Reduce the Incidence of Primary Angle Closure Glaucoma in an East Asian Population. Br. J. Ophthalmol. 2003, 87, 271–274. [Google Scholar] [CrossRef]
- Ma, P.; Wu, Y.; Oatts, J.; Patlidanon, J.; Yu, Y.; Ying, G.-S.; Kline, B.; Tun, T.A.; He, M.; Aung, T.; et al. Evaluation of the Diagnostic Performance of Swept-Source Anterior Segment Optical Coherence Tomography in Primary Angle Closure Disease. Am. J. Ophthalmol. 2022, 233, 68–77. [Google Scholar] [CrossRef]
- Shimizu, E.; Tanji, M.; Nakayama, S.; Ishikawa, T.; Agata, N.; Yokoiwa, R.; Nishimura, H.; Khemlani, R.J.; Sato, S.; Hanyuda, A.; et al. AI-Based Diagnosis of Nuclear Cataract from Slit-Lamp Videos. Sci. Rep. 2023, 13, 22046. [Google Scholar] [CrossRef]
- Shimizu, E.; Ishikawa, T.; Tanji, M.; Agata, N.; Nakayama, S.; Nakahara, Y.; Yokoiwa, R.; Sato, S.; Hanyuda, A.; Ogawa, Y.; et al. Artificial Intelligence to Estimate the Tear Film Breakup Time and Diagnose Dry Eye Disease. Sci. Rep. 2023, 13, 5822. [Google Scholar] [CrossRef]
- Yoshitsugu, K.; Shimizu, E.; Nishimura, H.; Khemlani, R.; Nakayama, S.; Takemura, T. Development of the AI Pipeline for Corneal Opacity Detection. Bioengineering 2024, 11, 273. [Google Scholar] [CrossRef]
- Shimizu, E.; Ogawa, Y.; Yazu, H.; Aketa, N.; Yang, F.; Yamane, M.; Sato, Y.; Kawakami, Y.; Tsubota, K. “Smart Eye Camera”: An Innovative Technique to Evaluate Tear Film Breakup Time in a Murine Dry Eye Disease Model. PLoS ONE 2019, 14, e0215130. [Google Scholar] [CrossRef] [PubMed]
- Shimizu, E.; Yazu, H.; Aketa, N.; Yokoiwa, R.; Sato, S.; Yajima, J.; Katayama, T.; Sato, R.; Tanji, M.; Sato, Y.; et al. A Study Validating the Estimation of Anterior Chamber Depth and Iridocorneal Angle with Portable and Non-Portable Slit-Lamp Microscopy. Sensors 2021, 21, 1436. [Google Scholar] [CrossRef] [PubMed]
- Handayani, A.T.; Valentina, C.; Suryaningrum, I.G.A.R.; Megasafitri, P.D.; Juliari, I.G.A.M.; Pramita, I.A.A.; Nakayama, S.; Shimizu, E.; Triningrat, A.A.M.P. Interobserver Reliability of Tear Break-Up Time Examination Using “Smart Eye Camera” in Indonesian Remote Area. Clin. Ophthalmol. 2023, 17, 2097–2107. [Google Scholar] [CrossRef]
- Andhare, P.; Ramasamy, K.; Ramesh, R.; Shimizu, E.; Nakayama, S.; Gandhi, P. A Study Establishing Sensitivity and Accuracy of Smartphone Photography in Ophthalmologic Community Outreach Programs: Review of a Smart Eye Camera. Indian J. Ophthalmol. 2023, 71, 2416–2420. [Google Scholar] [CrossRef]
- Borselli, M.; Toro, M.D.; Rossi, C.; Taloni, A.; Khemlani, R.; Nakayama, S.; Nishimura, H.; Shimizu, E.; Scorcia, V.; Giannaccare, G. Feasibility of Tear Meniscus Height Measurements Obtained with a Smartphone-Attachable Portable Device and Agreement of the Results with Standard Slit Lamp Examination. Diagnostics 2024, 14, 316. [Google Scholar] [CrossRef] [PubMed]
- Yalniz, I.Z.; Jégou, H.; Chen, K.; Paluri, M.; Mahajan, D.K. Billion-Scale Semi-Supervised Learning for Image Classification. arXiv 2019, arXiv:1905.00546. [Google Scholar] [CrossRef]
- Selvaraju, R.R.; Cogswell, M.; Das, A.; Vedantam, R.; Parikh, D.; Batra, D. Grad-CAM: Visual Explanations from Deep Networks via Gradient-Based Localization. Int. J. Comput. Vis. 2020, 128, 336–359. [Google Scholar] [CrossRef]
- Jiang, J.; Lei, S.; Zhu, M.; Li, R.; Yue, J.; Chen, J.; Li, Z.; Gong, J.; Lin, D.; Wu, X.; et al. Improving the Generalizability of Infantile Cataracts Detection via Deep Learning-Based Lens Partition Strategy and Multicenter Datasets. Front. Med. 2021, 8, 664023. [Google Scholar] [CrossRef]
- Sendecki, A.; Ledwoń, D.; Nycz, J.; Wąsowska, A.; Boguszewska-Chachulska, A.; Mitas, A.W.; Wylęgała, E.; Teper, S. A Deep Learning Approach to Explore the Association of Age-Related Macular Degeneration Polygenic Risk Score with Retinal Optical Coherence Tomography: A Preliminary Study. Acta Ophthalmol. 2024, 102, e1029–e1039. [Google Scholar] [CrossRef]
- Hashemi, H.; KhabazKhoob, M.; Mehravaran, S.; Yazdani, K.; Mohammad, K.; Fotouhi, A. The Distribution of Anterior Chamber Depth in a Tehran Population: The Tehran Eye Study. Ophthalmic Physiol. Opt. 2009, 29, 436–442. [Google Scholar] [CrossRef]
- Schuster, A.K.; Pfeiffer, N.; Nickels, S.; Schulz, A.; Höhn, R.; Wild, P.S.; Binder, H.; Münzel, T.; Beutel, M.E.; Vossmerbaeumer, U. Distribution of Anterior Chamber Angle Width and Correlation with Age, Refraction, and Anterior Chamber Depth—The Gutenberg Health Study. Investig. Ophthalmol. Vis. Sci. 2016, 57, 3740–3746. [Google Scholar] [CrossRef] [PubMed]
- Hashemi, H.; Khabazkhoob, M.; Miraftab, M.; Emamian, M.H.; Shariati, M.; Abdolahinia, T.; Fotouhi, A. The Distribution of Axial Length, Anterior Chamber Depth, Lens Thickness, and Vitreous Chamber Depth in an Adult Population of Shahroud, Iran. BMC Ophthalmol. 2012, 12, 50. [Google Scholar] [CrossRef] [PubMed]
- Soh, Z.D.; Jiang, Y.; S/O Ganesan, S.S.; Zhou, M.; Nongiur, M.; Majithia, S.; Tham, Y.C.; Rim, T.H.; Qian, C.; Koh, V.; et al. From 2 Dimensions to 3rd Dimension: Quantitative Prediction of Anterior Chamber Depth from Anterior Segment Photographs via Deep-Learning. PLOS Digit. Health 2023, 2, e0000193. [Google Scholar] [CrossRef] [PubMed]
- Chen, D.; Ho, Y.; Sasa, Y.; Lee, J.; Yen, C.C.; Tan, C. Machine Learning-Guided Prediction of Central Anterior Chamber Depth Using Slit Lamp Images from a Portable Smartphone Device. Biosensors 2021, 11, 182. [Google Scholar] [CrossRef]
- Qian, C.; Jiang, Y.; Soh, Z.D.; Sakthi Selvam, G.; Xiao, S.; Tham, Y.C.; Xu, X.; Liu, Y.; Li, J.; Zhong, H.; et al. Smartphone-Acquired Anterior Segment Images for Deep Learning Prediction of Anterior Chamber Depth: A Proof-of-Concept Study. Front. Med. 2022, 9, 912214. [Google Scholar] [CrossRef]
- Qian, Z.; Xie, X.; Yang, J.; Ye, H.; Wang, Z.; Chen, J.; Liu, H.; Liang, J.; Jiang, L.; Zheng, C.; et al. Detection of Shallow Anterior Chamber Depth from Two-Dimensional Anterior Segment Photographs Using Deep Learning. BMC Ophthalmol. 2021, 21, 341. [Google Scholar] [CrossRef]
- Li, Z.; Jiang, J.; Chen, K.; Chen, Q.; Zheng, Q.; Liu, X.; Weng, H.; Wu, S.; Chen, W. Preventing Corneal Blindness Caused by Keratitis Using Artificial Intelligence. Nat. Commun. 2021, 12, 3738. [Google Scholar] [CrossRef]
- Kim, J.M.; Park, K.H.; Han, S.Y.; Kim, K.S.; Kim, D.M.; Kim, T.W.; Caprioli, J. Changes in Intraocular Pressure after Pharmacologic Pupil Dilation. BMC Ophthalmol. 2012, 12, 53. [Google Scholar] [CrossRef]
- Ning, X.; Yang, Y.; Yan, H.; Zhang, J. Anterior Chamber Depth—A Predictor of Refractive Outcomes after Age-Related Cataract Surgery. BMC Ophthalmol. 2019, 19, 134. [Google Scholar] [CrossRef]
- Devereux, J.G.; Foster, P.J.; Baasanhu, J.; Uranchimeg, D.; Lee, P.-S.; Erdenbeleig, T.; Machin, D.; Johnson, G.J.; Alsbirk, P.H. Anterior Chamber Depth Measurement as a Screening Tool for Primary Angle-Closure Glaucoma in an East Asian Population. Arch. Ophthalmol. 2000, 118, 257–263. [Google Scholar] [CrossRef]
- Ueno, Y.; Oda, M.; Yamaguchi, T.; Fukuoka, H.; Nejima, R.; Kitaguchi, Y.; Miyake, M.; Akiyama, M.; Miyata, K.; Kashiwagi, K.; et al. Deep Learning Model for Extensive Smartphone-Based Diagnosis and Triage of Cataracts and Multiple Corneal Diseases. Br. J. Ophthalmol. 2024, 108, 1406–1413. [Google Scholar] [CrossRef] [PubMed]
- Deng, X.; Tian, L.; Liu, Z.; Zhou, Y.; Jie, Y. A Deep Learning Approach for the Quantification of Lower Tear Meniscus Height. Biomed. Signal Process. Control 2021, 68, 102655. [Google Scholar] [CrossRef]
- Elsawy, A.; Eleiwa, T.; Chase, C.; Ozcan, E.; Tolba, M.; Feuer, W.; Abdel-Mottaleb, M.; Abou Shousha, M. Multidisease Deep Learning Neural Network for the Diagnosis of Corneal Diseases. Am. J. Ophthalmol. 2021, 226, 252–261. [Google Scholar] [CrossRef] [PubMed]
- Storås, A.M.; Strümke, I.; Riegler, M.A.; Grauslund, J.; Hammer, H.L.; Yazidi, A.; Halvorsen, P.; Gundersen, K.G.; Utheim, T.P.; Jackson, C.J. Artificial Intelligence in Dry Eye Disease. Ocul. Surf. 2022, 23, 74–86. [Google Scholar] [CrossRef] [PubMed]
- Idriss, B.R.; Tran, T.M.; Atwine, D.; Chang, R.T.; Myung, D.; Onyango, J. Smartphone-Based Ophthalmic Imaging Compared with Spectral-Domain Optical Coherence Tomography Assessment of Vertical Cup-to-Disc Ratio Among Adults in Southwestern Uganda. J. Glaucoma 2021, 30, e90–e98. [Google Scholar] [CrossRef]
- Shroff, S.; Rao, D.P.; Savoy, F.M.; Shruthi, S.; Hsu, C.K.; Pradhan, Z.S.; Jayasree, P.V.; Sivaraman, A.; Sengupta, S.; Shetty, R.; et al. Agreement of a Novel Artificial Intelligence Software with Optical Coherence Tomography and Manual Grading of the Optic Disc in Glaucoma. J. Glaucoma 2023, 32, 280–286. [Google Scholar] [CrossRef]
- Giorgis, A.T.; Alemu, A.M.; Arora, S.; Gessesse, G.W.; Melka, F.; Woldeyes, A.; Amin, S.; Kassam, F.; Kurji, A.K.; Damji, K.F. Results from the First Teleglaucoma Pilot Project in Addis Ababa, Ethiopia. J. Glaucoma 2019, 28, 701–707. [Google Scholar] [CrossRef]
- Matimba, A.; Woodward, R.; Tambo, E.; Ramsay, M.; Gwanzura, L.; Guramatunhu, S. Tele-Ophthalmology: Opportunities for Improving Diabetes Eye Care in Resource- and Specialist-Limited Sub-Saharan African Countries. J. Telemed. Telecare 2016, 22, 311–316. [Google Scholar] [CrossRef]
- Kiage, D.; Kherani, I.N.; Gichuhi, S.; Damji, K.F.; Nyenze, M. The Muranga Teleophthalmology Study: Comparison of Virtual (Teleglaucoma) with In-Person Clinical Assessment to Diagnose Glaucoma. Middle East Afr. J. Ophthalmol. 2013, 20, 150–157. [Google Scholar] [CrossRef]






| Disclaimer/Publisher’s Note: The statements, opinions and data contained in all publications are solely those of the individual author(s) and contributor(s) and not of MDPI and/or the editor(s). MDPI and/or the editor(s) disclaim responsibility for any injury to people or property resulting from any ideas, methods, instructions or products referred to in the content. | 
© 2024 by the authors. Licensee MDPI, Basel, Switzerland. This article is an open access article distributed under the terms and conditions of the Creative Commons Attribution (CC BY) license (https://creativecommons.org/licenses/by/4.0/).
Share and Cite
Shimizu, E.; Tanaka, K.; Nishimura, H.; Agata, N.; Tanji, M.; Nakayama, S.; Khemlani, R.J.; Yokoiwa, R.; Sato, S.; Shiba, D.; et al. The Use of Artificial Intelligence for Estimating Anterior Chamber Depth from Slit-Lamp Images Developed Using Anterior-Segment Optical Coherence Tomography. Bioengineering 2024, 11, 1005. https://doi.org/10.3390/bioengineering11101005
Shimizu E, Tanaka K, Nishimura H, Agata N, Tanji M, Nakayama S, Khemlani RJ, Yokoiwa R, Sato S, Shiba D, et al. The Use of Artificial Intelligence for Estimating Anterior Chamber Depth from Slit-Lamp Images Developed Using Anterior-Segment Optical Coherence Tomography. Bioengineering. 2024; 11(10):1005. https://doi.org/10.3390/bioengineering11101005
Chicago/Turabian StyleShimizu, Eisuke, Kenta Tanaka, Hiroki Nishimura, Naomichi Agata, Makoto Tanji, Shintato Nakayama, Rohan Jeetendra Khemlani, Ryota Yokoiwa, Shinri Sato, Daisuke Shiba, and et al. 2024. "The Use of Artificial Intelligence for Estimating Anterior Chamber Depth from Slit-Lamp Images Developed Using Anterior-Segment Optical Coherence Tomography" Bioengineering 11, no. 10: 1005. https://doi.org/10.3390/bioengineering11101005
APA StyleShimizu, E., Tanaka, K., Nishimura, H., Agata, N., Tanji, M., Nakayama, S., Khemlani, R. J., Yokoiwa, R., Sato, S., Shiba, D., & Sato, Y. (2024). The Use of Artificial Intelligence for Estimating Anterior Chamber Depth from Slit-Lamp Images Developed Using Anterior-Segment Optical Coherence Tomography. Bioengineering, 11(10), 1005. https://doi.org/10.3390/bioengineering11101005
 
         
                                                

