Comparing Rain Gauge and Weather RaDAR Data in the Estimation of the Pluviometric Inflow from the Apennine Ridge to the Adriatic Coast (Abruzzo Region, Central Italy)
Abstract
1. Introduction
2. Materials and Methods
2.1. Study Area and Datasets
- Coastal area, from sea level to approximately 300 m a.s.l., mainly including the river plains and the seacoast land;
- Hilly area, from approximately 300 to 900 m a.s.l., comprising the hills behind the plains and the lower peaks;
- Mountain area, from approximately 900 m to 3000 m a.s.l., with drainage to the eastern side of the study area (Adriatic Sea), including the main peaks, usually corresponding to the major recharge area, where the Sulmona and L’Aquila plains can also be found;
- Marsica area, with drainage to the western side of the study area (Tyrrhenian Sea), which includes the Fucino plain and nearby mountains.
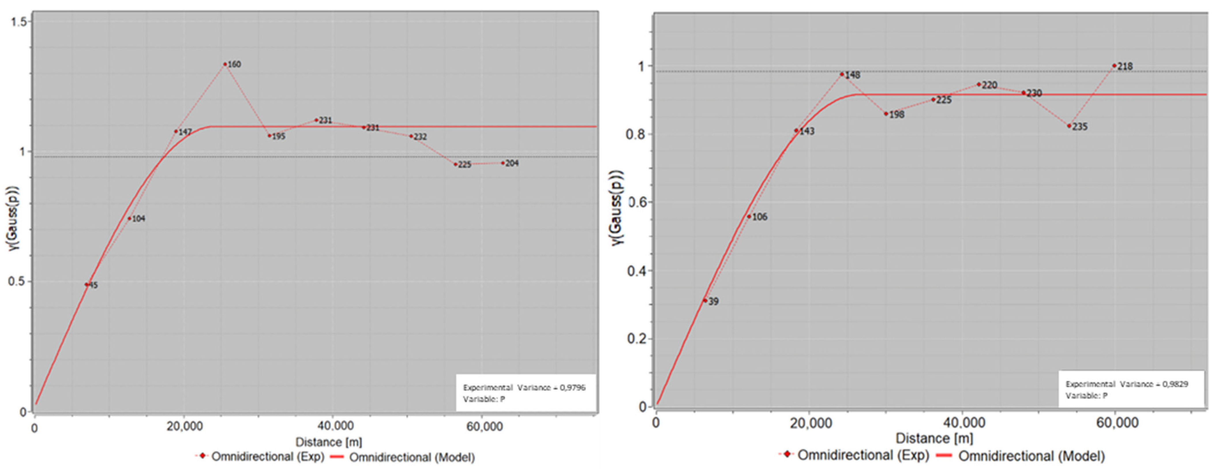
2.2. Geostatistical Method
2.3. Weather RaDAR Method
3. Results and Discussion
- January, February, and December as winter;
- March, April, and May as spring;
- June, July, and August as summer;
- September, October, and November as fall.
4. Conclusions
- Good agreement between the two sources in the warmer seasons due to the homogeneity in the quantity observed by the radar and rain gauges;
- Generally good agreement in the coastal and hilly areas due to the better radar coverage in those areas by one of the two radars used in the analysis. This also suggests the importance of studying the radar view geometry compared to the local orography to identify areas where better results are expected.
- General underestimation of the results obtained by weather radar. Although the radar underestimation is very well known, its compensation can be less obvious in complex orography, as pointed out in this work. The selection of homogenous climatic and altitude areas, as suggested in this study, could be a way to compensate for the radar underestimation problem,
- Worse agreement between the radar and rain gauges in the cold and rainy seasons (especially in winter and autumn in the mountain and high plain areas), which is justified by the mismatch in the observation of the same precipitation regime by the radar and rain gauge. Such a problem is more severe when the altitude of the radar site is closer to the altitude of the freezing level, because, in such a situation, the radar likely observes ice/snow, whereas rain gauges catch liquid water.
Author Contributions
Funding
Institutional Review Board Statement
Informed Consent Statement
Data Availability Statement
Conflicts of Interest
References
- Chiaudani, A.; Di Curzio, D.; Rusi, S. The snow and rainfall impact on the Verde spring behavior: A statistical approach on hydrodynamic and hydrochemical daily time-series. Sci. Total Environ. 2019, 689, 481–493. [Google Scholar] [CrossRef] [PubMed]
- Fronzi, D.; Di Curzio, D.; Rusi, S.; Valigi, D.; Tazioli, A. Comparison between periodic tracer tests and time-series analysis to assess mid-and long-term recharge model changes due to multiple strong seismic events in carbonate aquifers. Water 2020, 12, 3073. [Google Scholar] [CrossRef]
- Navarro, A.; García-Ortega, E.; Merino, A.; Sánchez, J.L.; Tapiador, F.J. Orographic biases in IMERG precipitation estimates in the Ebro River basin (Spain): The effects of rain gauge density and altitude. Atm. Res. 2020, 244, 105068. [Google Scholar] [CrossRef]
- Di Curzio, D.; Rusi, S.; Di Giovanni, A.; Ferretti, E. Evaluation of Groundwater Resources in Minor Plio-Pleistocene Arenaceous Aquifers in Central Italy. Hydrology 2021, 8, 121. [Google Scholar] [CrossRef]
- Thiessen, A.J.; Alter, C. Precipitation average for large areas. Montly Weather Rev. 1911, 9, 1082–1084. [Google Scholar] [CrossRef]
- Lyra, G.B.; Correia, T.P.; de Oliveira-Júnior, J.F.; Zeri, M. Evaluation of methods of spatial interpolation for monthly rainfall data over the state of Rio de Janeiro, Brazil. App. Clim. 2018, 134, 955–965. [Google Scholar] [CrossRef]
- Matheron, G. The intrinsic random functions and their applications. Adv. Appl. Prob. 1973, 5, 439–468. [Google Scholar] [CrossRef]
- Journel, A.G. Fundamentals of Geostatistics in Five Lessons (Vol. 8); American Geophysical Union: Washington, DC, USA, 1989. [Google Scholar] [CrossRef]
- Webster, R.; Oliver, M.A. Geostatistics for Environmental Scientists; John Wiley & Sons: New York, NY, USA, 2007. [Google Scholar] [CrossRef]
- Chilès, J.-P.; Delfiner, P. Geostatistics: Modeling Spatial Uncertainty, 2nd ed.; Wiley: Hoboken, NJ, USA, 2012. [Google Scholar]
- Castrignanò, A. Introduction to Spatial Data Processing; Aracne: Rome, Italy, 2011. [Google Scholar]
- Cressie, N. Statistics for Spatial Data; John Wiley & Sons: Hoboken, USA, 2015. [Google Scholar]
- Barbieri, S.; Di Fabio, S.; Lidori, R.; Rossi, F.L.; Marzano, F.S.; Picciotti, E. Mosaicking Weather Radar Retrievals from an Operational Heterogeneous Network at C and X Band for Precipitation Monitoring in Italian Central Apennines. Rem. Sens. 2022, 14, 248. [Google Scholar] [CrossRef]
- Falconi, M.T.; Marzano, F.S. Weather Radar Data Processing and Atmospheric Applications: An overview of tools for monitoring clouds and detecting wind shear. IEEE Sig. Proc. Mag. 2019, 36, 85–97. [Google Scholar] [CrossRef]
- Montopoli, M.; Roberto, N.; Adirosi, E.; Gorgucci, E.; Baldini, L. Investigation of Weather Radar Quantitative Precipitation Estimation Methodologies in Complex Orography. Atmosphere 2017, 8, 34. [Google Scholar] [CrossRef]
- Germann, U.; Boscacci, M.; Clementi, L.; Gabella, M.; Hering, A.; Sartori, M.; Sideris, I.V.; Calpini, B. Weather Radar in Complex Orography. Rem. Sens. 2022, 14, 503. [Google Scholar] [CrossRef]
- Vulpiani, G.; Montopoli, M.; Delli Passeri, L.; Gioia, A.G.; Giordano, P.; Marzano, F.S. On the use of dual-polarized C-band RaDAR for operational rainfall retrieval in mountainous areas. J. Appl. Meteor. Climat. 2012, 51, 405–425. [Google Scholar] [CrossRef]
- Federico, S.; Torcasio, R.C.; Avolio, E.; Caumont, O.; Montopoli, M.; Baldini, L.; Vulpiani, G.; Dietrich, S. The impact of lightning and radar reflectivity factor data assimilation on the very short-term rainfall forecasts of RAMS@ISAC: Application to two case studies in Italy. Nat. Haz. Ear. Syst. Sci. 2019, 19, 1839–1864. [Google Scholar] [CrossRef]
- Montopoli, M.; Picciotti, E.; Baldini, L.; Di Fabio, S.; Marzano, F.S.; Vulpiani, G. Gazing inside a giant-hail-bearing Mediterranean supercell by dual-polarization Doppler weather RaDAR. Atm. Res. 2021, 264, 105852. [Google Scholar] [CrossRef]
- Di Curzio, D.; Di Giovanni, A.; Lidori, R.; Marzano, F.S.; Rusi, S. Investigating the feasibility of using precipitation measurements from weather RaDAR to estimate potential recharge in regional aquifers: The Majella massif case study in Central Italy. Acq. Sott.-Ital. J. Groun. 2022, 11, 41–51. [Google Scholar] [CrossRef]
- Areerachakul, N.; Prongnuch, S.; Longsomboon, P.; Kandasamy, J. Quantitative Precipitation Estimation (QPE) Rainfall from Meteorology Radar over Chi Basin. Hydrology 2022, 9, 178. [Google Scholar] [CrossRef]
- Sollitto, D.; Romic, M.; Castrignanò, A.; Romic, D.; Bakic, H. Assessing heavy metal contamination in soils of the Zagreb region (Northwest Croatia) using multivariate geostatistics. Catena 2010, 80, 182–194. [Google Scholar] [CrossRef]
- Di Curzio, D.; Rusi, S.; Signanini, P. Advanced redox zonation of the San Pedro Sula alluvial aquifer (Honduras) using data fusion and multivariate geostatistics. Sci. Total Environ. 2019, 695, 133796. [Google Scholar] [CrossRef]
- Manzione, R.L.; Castrignanò, A. A geostatistical approach for multi-source data fusion to predict water table depth. Sci. Total Environ. 2019, 696, 133763. [Google Scholar] [CrossRef]
- Vessia, G.; Di Curzio, D.; Chiaudani, A.; Rusi, S. Regional rainfall threshold maps drawn through multivariate geostatistical techniques for shallow landslide hazard zonation. Sci. Total Environ. 2020, 705, 135815. [Google Scholar] [CrossRef]
- Rivoirard, J. On the structural link between variables in kriging with external drift. Math. Geol. 2002, 34, 797–808. [Google Scholar] [CrossRef]
- Hengl, T.; Geuvelink, G.B.M.; Stein, A. Comparison of Kriging with External Drift and Regression-Kriging. Technical Note, ITC, The Netherlands. 2003. Available online: http://www.itc.nl/library/Academic.output (accessed on 1 October 2022).
- Buttafuoco, G.; Conforti, M. Improving Mean Annual Precipitation Prediction Incorporating Elevation and Taking into Account Support Size. Water 2021, 13, 830. [Google Scholar] [CrossRef]
- Vergni, L.; Di Lena, B.; Chiaudani, A. Statistical characterisation of winter precipitation in the Abruzzo region (Italy) in relation to the North Atlantic Oscillation (NAO). Atmos. Res. 2016, 178–179, 279–290. [Google Scholar] [CrossRef]
- Vergni, L.; Todisco, F.; Di Lena, B.; Mannocchi, F. Effect of the North Atlantic Oscillation on winter daily rainfall and runoff in the Abruzzo region (Central Italy). Stoch Env. Res. Risk Assess. 2016, 30, 1901–1915. [Google Scholar] [CrossRef]
- Vessia, G.; Di Curzio, D.; Castrignanò, A. Modeling 3D soil lithotypes variability through geostatistical data fusion of CPT parameters. Sci. Total Environ. 2020, 698, 134340. [Google Scholar] [CrossRef] [PubMed]
- Goovaerts, P. Geostatistics for Natural Resources Evaluation; Oxford University Press: Oxford, UK, 1997. [Google Scholar]
- Adirosi, E.; Roberto, N.; Montopoli, M.; Gorgucci, E.; Baldini, L. Influence of Disdrometer Type on Weather Radar Algorithms from Measured DSD: Application to Italian Climatology. Atmosphere 2018, 9, 360. [Google Scholar] [CrossRef]
- Harrison, D.L.; Driscoll, S.J.; Kitchen, M. Improving precipitation estimates from weather radar using quality control and correction techniques. Meteorol. Appl. 2000, 7, 135–144. [Google Scholar] [CrossRef]
- Curci, G.; Guijarro, J.A.; Di Antonio, L.; Di Bacco, M.; Di Lena, B.; Scorzini, A.R. Building a local climate reference dataset: Application to the Abruzzo region (Central Italy), 1930–2019. Int. J. Climatol. 2021, 41, 4414–4436. [Google Scholar] [CrossRef]






| Climatic Zone | Number of Gauging Stations |
|---|---|
| Coastal area | 19 |
| Hilly area | 17 |
| Mountain area | 27 |
| Marsica area | 9 |
| 2017 Cross-Validation | |
| ME | 0.00 |
| MSE | −0.0029 |
| RMSE | 0.78 |
| RMSSE | 0.9518 |
| 2018 Cross-Validation | |
| ME | 0.01 |
| MSE | 0.0087 |
| RMSE | 0.85 |
| RMSSE | 1.0553 |
Publisher’s Note: MDPI stays neutral with regard to jurisdictional claims in published maps and institutional affiliations. |
© 2022 by the authors. Licensee MDPI, Basel, Switzerland. This article is an open access article distributed under the terms and conditions of the Creative Commons Attribution (CC BY) license (https://creativecommons.org/licenses/by/4.0/).
Share and Cite
Di Curzio, D.; Di Giovanni, A.; Lidori, R.; Montopoli, M.; Rusi, S. Comparing Rain Gauge and Weather RaDAR Data in the Estimation of the Pluviometric Inflow from the Apennine Ridge to the Adriatic Coast (Abruzzo Region, Central Italy). Hydrology 2022, 9, 225. https://doi.org/10.3390/hydrology9120225
Di Curzio D, Di Giovanni A, Lidori R, Montopoli M, Rusi S. Comparing Rain Gauge and Weather RaDAR Data in the Estimation of the Pluviometric Inflow from the Apennine Ridge to the Adriatic Coast (Abruzzo Region, Central Italy). Hydrology. 2022; 9(12):225. https://doi.org/10.3390/hydrology9120225
Chicago/Turabian StyleDi Curzio, Diego, Alessia Di Giovanni, Raffaele Lidori, Mario Montopoli, and Sergio Rusi. 2022. "Comparing Rain Gauge and Weather RaDAR Data in the Estimation of the Pluviometric Inflow from the Apennine Ridge to the Adriatic Coast (Abruzzo Region, Central Italy)" Hydrology 9, no. 12: 225. https://doi.org/10.3390/hydrology9120225
APA StyleDi Curzio, D., Di Giovanni, A., Lidori, R., Montopoli, M., & Rusi, S. (2022). Comparing Rain Gauge and Weather RaDAR Data in the Estimation of the Pluviometric Inflow from the Apennine Ridge to the Adriatic Coast (Abruzzo Region, Central Italy). Hydrology, 9(12), 225. https://doi.org/10.3390/hydrology9120225

