Rainfall Partitioning in Amazon Forest: Implications of Reduced Impact Logging on Litter Water Conservation
Abstract
1. Introduction
2. Materials and Methods
3. Results
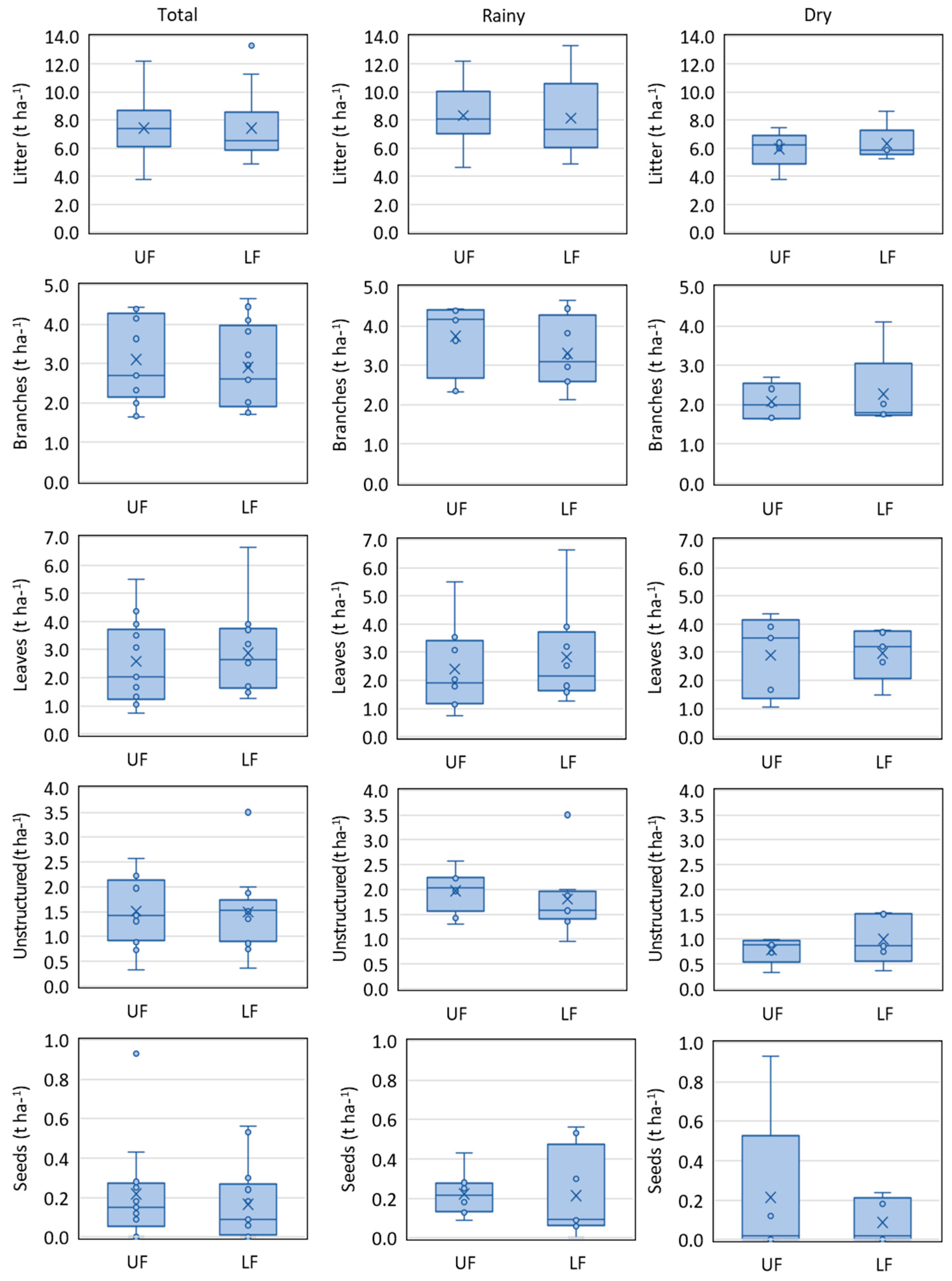
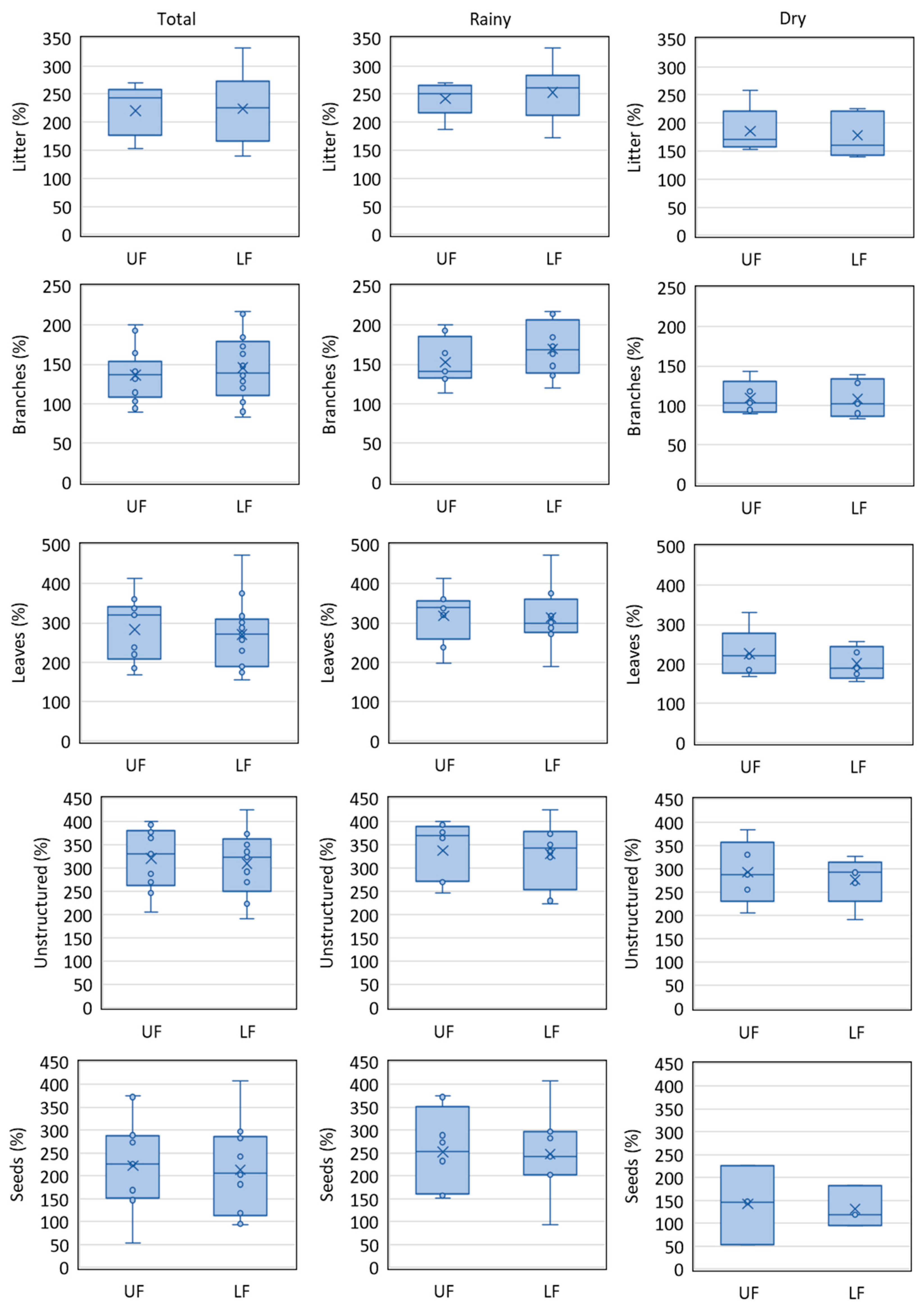
3.1. Hydrometeorological Observations and Litter Accumulation
3.2. Litter-Water Interactions
4. Discussion
5. Conclusions
Supplementary Materials
Author Contributions
Funding
Data Availability Statement
Acknowledgments
Conflicts of Interest
References
- Almeida, E.J.; Luizão, F.; Rodrigues, D.d.J. Produção de Serrapilheira Em Florestas Intactas e Exploradas Seletivamente No Sul Da Amazônia Em Função Da Área Basal Da Vegetação e Da Densidade de Plantas. Acta Amazon. 2015, 45, 157–166. [Google Scholar] [CrossRef]
- Giweta, M. Role of Litter Production and Its Decomposition, and Factors Affecting the Processes in a Tropical Forest Ecosystem: A Review. J. Ecol. Environ. 2020, 44, 11. [Google Scholar] [CrossRef]
- Holanda, A.C.; Feliciano, A.L.P.; Freire, F.J.; Sousa, F.Q.; Freire, S.R.d.O.; Alves, A.R. Aporte de Serapilheira e Nutrientes Em Uma Área de Caatinga. Ciência Florest. 2017, 27, 621–633. [Google Scholar] [CrossRef]
- Seta, T.; Demissew, S.; Woldu, Z. Litterfall Dynamics in Boter-Becho Forest: Moist Evergreen Montane Forest of Southwestern Ethiopia. J. Ecol. Nat. Environ. 2018, 10, 13–21. [Google Scholar] [CrossRef]
- Sayer, E.J. Using Experimental Manipulation to Assess the Roles of Leaf Litter in the Functioning of Forest Ecosystems. Biol. Rev. Camb. Philos. Soc. 2006, 81, 1–31. [Google Scholar] [CrossRef]
- Xia, L.; Song, X.; Fu, N.; Cui, S.; Li, L.; Li, H.; Li, Y. Effects of Forest Litter Cover on Hydrological Response of Hillslopes in the Loess Plateau of China. Catena 2019, 181, 104076. [Google Scholar] [CrossRef]
- Zagyvai-Kiss, K.A.; Kalicz, P.; Szilágyi, J.; Gribovszki, Z. On the Specific Water Holding Capacity of Litter for Three Forest Ecosystems in the Eastern Foothills of the Alps. Agric. For. Meteorol. 2019, 278, 107656. [Google Scholar] [CrossRef]
- Cui, Y.; Pan, C.; Zhang, G.; Sun, Z.; Wang, F. Effects of Litter Mass on Throughfall Partitioning in a Pinus tabulaeformis Plantation on the Loess Plateau, China. Agric. For. Meteorol. 2022, 318, 108908. [Google Scholar] [CrossRef]
- Giácomo, R.G.; Alves, M.C.; Camara, R.; Pereira, M.G.; de Arruda, O.G.; Souto, S.N.; de Moraes, M.L.T. Litterfall and Nutrient Input in a Degraded Area. Floresta Ambiente 2017, 24, 1–9. [Google Scholar] [CrossRef]
- Gillerot, L.; Forrester, D.I.; Bottero, A.; Rigling, A.; Lévesque, M. Tree Neighbourhood Diversity Has Negligible Effects on Drought Resilience of European Beech, Silver Fir and Norway Spruce. Ecosystems 2021, 24, 20–36. [Google Scholar] [CrossRef]
- Dunkerley, D. Percolation through Leaf Litter: What Happens during Rainfall Events of Varying Intensity? J. Hydrol. 2015, 525, 737–746. [Google Scholar] [CrossRef]
- Winkler, J.P.; Negreiros, A.B.d. A Serrapilheira Como Bioindicador de Qualidade Ambiental Em Fragmentos de Eucalyptus. Rev. Cont. 2018, 7, 175–202. [Google Scholar]
- Melissa, K.; Dickow, C.; Marques, R.; Pinto, C.B.; Höfer, H. Produção de Serapilheira Em Diferentes Fases Sucessionais de Uma Floresta Subtropical Secundária, Em Antonina, PR. Cerne 2011, 18, 75–86. [Google Scholar]
- Santos, F.M.; Chaer, G.M.; Diniz, A.R.; Balieiro, F.d.C. Nutrient Cycling over Five Years of Mixed-Species Plantations of Eucalyptus and Acacia on a Sandy Tropical Soil. For. Ecol. Manag. 2017, 384, 110–121. [Google Scholar] [CrossRef]
- Gatti, L.V.; Basso, L.S.; Miller, J.B.; Gloor, M.; Gatti Domingues, L.; Cassol, H.L.G.; Tejada, G.; Aragão, L.E.O.C.; Nobre, C.; Peters, W.; et al. Amazonia as a Carbon Source Linked to Deforestation and Climate Change. Nature 2021, 595, 388–393. [Google Scholar] [CrossRef] [PubMed]
- Araujo, E.C.G.; Sanquetta, C.R.; Dalla Corte, A.P.; Pelissari, A.L.; Orso, G.A.; Silva, T.C. Global Review and State-of-the-Art of Biomass and Carbon Stock in the Amazon. J. Environ. Manag. 2023, 331, 117251. [Google Scholar] [CrossRef]
- Albert, J.S.; Carnaval, A.C.; Flantua, S.G.A.; Lohmann, L.G.; Ribas, C.C.; Riff, D.; Carrillo, J.D.; Fan, Y.; Figueiredo, J.J.P.; Guayasamin, J.M.; et al. Human Impacts Outpace Natural Processes in the Amazon. Science 2023, 379, eabo5003. [Google Scholar] [CrossRef]
- IMAZON. Amazônia Perdeu Quase 3 Mil Campos de Futebol Por Dia de Floresta Em 2022-Maior Desmatamento Em 15 Anos. Available online: https://imazon.org.br/imprensa/amazonia-perdeu-quase-3-mil-campos-d (accessed on 11 April 2023).
- MMA Amazônia. Available online: https://www.gov.br/mma/pt-br/assuntos/ecossistemas-1/biomas/amazonia (accessed on 16 March 2023).
- ITTO. Biennial Review and Assessment of the World Timber Situation 2019–2020; ITTO: Yokohama, Japan, 2021. [Google Scholar]
- Sist, P.; Ferreira, F.N. Sustainability of Reduced-Impact Logging in the Eastern Amazon. For. Ecol. Manag. 2007, 243, 199–209. [Google Scholar] [CrossRef]
- Wolff, S.; Schweinle, J. Effectiveness and Economic Viability of Forest Certification: A Systematic Review. Forests 2022, 13, 798. [Google Scholar] [CrossRef]
- Barreiros, J.L.; Oliveira, N.S.; Cerboncini, R.A.S.; Junior, L.K. Does Selective Logging Affect Litter Deposition Rates in Central Brazilian Amazonia? An. Acad. Bras. Ciências 2022, 94, 1–10. [Google Scholar] [CrossRef]
- Brasil. Lei nº 12.651, 25 de maio de 2012. Available online: https://www.planalto.gov.br/ccivil_03/_ato2011-2014/2012/lei/l12651.htm/ (accessed on 11 April 2023).
- MMA. IBAMA Plano de Manejo Da Floresta Nacional Do Jamari; Brasília-DF, 2005. Available online: https://www.gov.br/agricultura/pt-br/assuntos/servico-florestal-brasileiro/concessao-florestal/concessoes-florestais-em-andamento-1/floresta-nacional-do-jamari-ro (accessed on 11 April 2023).
- Carneiro, R.G.; Fisch, G. Observational Analysis of the Daily Cycle of the Planetary Boundary Layer in the Central Amazon during a Non-El Niño Year and El Niño Year (GoAmazon Project 2014/5). Atmos. Chem. Phys. 2020, 20, 5547–5558. [Google Scholar] [CrossRef]
- SFB—Serviço Florestal Brasileiro. Especial: Concessões Florestais. In O Manejo Florestal Sustentável Protege as Florestas; SFB/MAPA: Santarém, Brazil, 2020. Available online: https://snif.florestal.gov.br/pt-br/ultimas-noticias/658-o-manejo-florestal-sustentavel-protege-as-florestas (accessed on 11 April 2023).
- AMATA. Plano de Manejo Florestal Sustentável: Categoria de PMFS Pleno 2007; AMATA: Vila Olímpia, Brazil.
- Brasil;Lei n° 11.284, 2 de Março de 2006. Available online: https://www.planalto.gov.br/ccivil_03/_Ato2004-2006/2006/Lei/L11284.htm (accessed on 11 April 2023).
- Pereira, L.C.; Balbinot, L.; Lima, M.T.; Bramorski, J.; Tonello, K.C. Aspects of Forest Restoration and Hydrology: The Hydrological Function of Litter. J. For. Res. 2021, 33, 543–552. [Google Scholar] [CrossRef]
- Bai, Y.; Zhou, Y.; Du, J.; Zhang, X.; Di, N. Effects of a Broadleaf-Oriented Transformation of Coniferous Plantations on the Hydrological Characteristics of Litter Layers in Subtropical China. Glob. Ecol. Conserv. 2021, 25, e01400. [Google Scholar] [CrossRef]
- Tu, Z.; Chen, S.; Ruan, D.; Chen, Z.; Huang, Y.; Chen, J. Differential Hydrological Properties of Forest Litter Layers in Artificial Afforestation of Eroded Areas of Latosol in China. Sustainability 2022, 14, 14869. [Google Scholar] [CrossRef]
- Ayres, M.; Ayres, M., Jr.; Ayres, D.L.; Santos, A.A. Bioestat 5.0 Aplicações Estatísticas Nas Áreas Das Ciências Biológicas e Médicas; IDSM: Belém, Brazil, 2007. [Google Scholar]
- Andrade, A.M.D.; Moura, M.A. Condensação a Superfície na AMAZÔNIA em área de Pastagem Durante o Experimento LBA/SMOCC: Estudo de Casos. Rev. Bras. Meteorol. 2011, 26, 339–348. [Google Scholar] [CrossRef]
- Bastable, H.G.; Shuttleworth, W.J.; Dallarosa, R.L.G.; Fisch, G.; Nobre, C.A. Observations of climate, albedo, and surface radiation over cleared and undisturbed Amazonian forest. Int. J. Climatol. 1993, 13, 783–796. [Google Scholar] [CrossRef]
- Pereira, D.N.; Martins, W.B.R.; De Andrade, V.M.S.; De Assis Oliveira, F. Influence of Litter Removal in the Content of Phosphorus and Potassium in Eastern Amazon. Rev. Bras. Cienc. Agrar. 2017, 12, 380–385. [Google Scholar] [CrossRef]
- Vasconcelos, S.S.; Zarin, D.J.; Araújo, M.M.; Rangel-Vasconcelos, L.G.T.; De Carvalho, C.J.R.; Staudhammer, C.L.; Oliveira, F.D.A. Effects of Seasonality, Litter Removal and Dry-Season Irrigation on Litterfall Quantity and Quality in Eastern Amazonian Forest Regrowth, Brazil. J. Trop. Ecol. 2008, 24, 27–38. [Google Scholar] [CrossRef]
- Sanches, L.; Valentini, C.M.A.; Biudes, M.S.; De, J.; Nogueira, S. Dinâmica Sazonal da Produção e Decomposição de Serrapilheira em Floresta Tropical de Transição Seasonal Dynamics of the Litterfall Production and Decomposition in Tropical Transitional Forest. Rev. Bras. Eng. Agrícola Ambient. 2009, 13, 183–189. [Google Scholar] [CrossRef]
- Zhang, H.; Yuan, W.; Dong, W.; Liu, S. Seasonal Patterns of Litterfall in Forest Ecosystem Worldwide. Ecol. Complex. 2014, 20, 240–247. [Google Scholar] [CrossRef]
- Martius, C.; Höfer, H.; Garcia, M.V.B.; Römbke, J.; Hanagarth, W. Litter Fall, Litter Stocks and Decomposition Rates in Rainforest and Agroforestry Sites in Central Amazonia. Nutr. Cycl. Agroecosyst. 2004, 68, 137–154. [Google Scholar] [CrossRef]
- Cianciaruso, M.V.; Pires, J.S.R.; Delitti, W.B.C.; Silva, É.F.L.P. Produção de Serapilheira e Decomposição Do Material Foliar Em Um Cerradão Na Estação Ecológica de Jataí, Município de Luiz Antônio, SP, Brasil. Acta Bot. Bras. 2006, 20, 49–56. [Google Scholar] [CrossRef]
- Cunha Neto, F.V.; Leles, P.S.S.; Pereira, M.G.; Bellumath, V.G.H.; Alonso, J.M. Acúmulo e Decomposição Da Serapilheira Em Quatro Formações Florestais. Ciência Florest. 2013, 23, 379–387. [Google Scholar] [CrossRef]
- Barbosa, V.; Barreto-Garcia, P.; Gama-Rodrigues, E.; de Paula, A. Biomassa, Carbono e Nitrogênio Na Serapilheira Acumulada de Florestas Plantadas e Nativa. Floresta Ambiente 2017, 24, 1–9. [Google Scholar] [CrossRef]
- Santos, A.F.A.; Carneiro, A.C.P.; Martinez, D.T.; Caldeira, S.F. Capacidade de Retenção Hídrica Do Estoque de Serapilheira de Eucalipto. Floresta Ambiente 2017, 24, e20150303. [Google Scholar] [CrossRef]
- Mateus, F.A.; do Couto Miranda, C.; Valcarcel, R.; Figueiredo, P.H.A. Estoque e Capacidade de Retenção Hídrica Da Serrapilheira Acumulada Na Restauração Florestal de Áreas Perturbadas Na Mata Atlântica. Floresta Ambiente 2013, 20, 336–343. [Google Scholar] [CrossRef]
- Walsh, R.P.D.; Voigt, P.J. Vegetation Litter: An Underestimated Variable in Hydrology and Geomorphology. J. Biogeogr. 1977, 4, 253–274. [Google Scholar] [CrossRef]
- Xie, J.; Su, D. Water-Holding Characteristics of Litter in Meadow Steppes with Different Years of Fencing in Inner Mongolia, China. Water 2020, 12, 2374. [Google Scholar] [CrossRef]
- Li, W.; Li, Y.; Long, M.; Li, X. Study on Water-Holding Properties of Litters in Different Types of Forests of Yuntaishan Mountain Area in Shibing County, Guizhou Province. In IOP Conference Series: Materials Science and Engineering; Institute of Physics Publishing: Bristol, UK, 2018; Volume 394. [Google Scholar]
- Tu, Z.; Chen, S.; Chen, Z.; Ruan, D.; Zhang, W.; Han, Y.; Han, L.; Wang, K.; Huang, Y.; Chen, J. Hydrological Properties of Soil and Litter Layers of Four Forest Types Restored in the Gully Erosion Area of Latosol in South China. Forests 2023, 14, 360. [Google Scholar] [CrossRef]
- Li, Y.; Li, B.; Zhang, X.; Chen, J.J.; Zhan, F.D.; Guo, X.H.; Zu, Y.Q. Differential Water and Soil Conservation Capacity and Associated Processes in Four Forest Ecosystems in Dianchi Watershed, Yunnan Province, China. J. Soil Water Conserv. 2015, 70, 198–206. [Google Scholar] [CrossRef]
- Zhou, Q.; Keith, D.M.; Zhou, X.; Cai, M.; Cui, X.; Wei, X.; Luo, Y. Comparing the Water-Holding Characteristics of Broadleaved, Coniferous, and Mixed Forest Litter Layers in a Karst Region. Mt. Res. Dev. 2018, 38, 220–229. [Google Scholar] [CrossRef]




| Parameters | Forest Structure | |||||||||
|---|---|---|---|---|---|---|---|---|---|---|
| D [cm] | Ht [m] | CA [m2] | Vc [m3] | Tree Density [trees ha−1] | ||||||
| UF | LF | UF | LF | UF | LF | UF | LF | UF | LF | |
| Min | 12.7 | 12.7 | 12.0 | 9.0 | 7.2 | 0.4 | 8.0 | 1.3 | 1625 * | 1450 * |
| Max | 111.5 | 140.8 | 28.0 | 36.0 | 199.7 | 284.8 | 795.4 | 1512.8 | ||
| Means | 21.8 | 29.0 | 17.4 | 17.3 | 41.4 | 49.9 | 133.7 | 161.6 | ||
| SD | 18.0 | 24.5 | 3.5 | 4.9 | 37.5 | 58.8 | 154.5 | 284.0 | ||
| Hydrological Properties | Equation | Notes |
|---|---|---|
| Water-holding capacity [WHC, %] [30,31,32] | HM = humid litter mass, g; DM = dry mass, g | |
| Effective water-holding capacity of the litter under ambient conditions [EWC, %] | FM = fresh mass, g; DM = dry mass, g | |
| Litter effective water-retention capacity [Weff, t ha−1] | WHC = water-holding capacity, %; EWC = effective water-holding capacity; %M = is the unit litter mass (t·ha−1) | |
| Maximum water-retention capacity [Wmax, t ha−1] | WHC = water-holding capacity, %; M = is the unit litter mass (t·ha−1) | |
| Litter water content [WC, gwater kglitter−1] | FM = fresh mass, g; DM = dry mass, g |
Disclaimer/Publisher’s Note: The statements, opinions and data contained in all publications are solely those of the individual author(s) and contributor(s) and not of MDPI and/or the editor(s). MDPI and/or the editor(s) disclaim responsibility for any injury to people or property resulting from any ideas, methods, instructions or products referred to in the content. |
© 2023 by the authors. Licensee MDPI, Basel, Switzerland. This article is an open access article distributed under the terms and conditions of the Creative Commons Attribution (CC BY) license (https://creativecommons.org/licenses/by/4.0/).
Share and Cite
de Lima, J.A.; Tonello, K.C. Rainfall Partitioning in Amazon Forest: Implications of Reduced Impact Logging on Litter Water Conservation. Hydrology 2023, 10, 97. https://doi.org/10.3390/hydrology10040097
de Lima JA, Tonello KC. Rainfall Partitioning in Amazon Forest: Implications of Reduced Impact Logging on Litter Water Conservation. Hydrology. 2023; 10(4):97. https://doi.org/10.3390/hydrology10040097
Chicago/Turabian Stylede Lima, Jeferson Alberto, and Kelly Cristina Tonello. 2023. "Rainfall Partitioning in Amazon Forest: Implications of Reduced Impact Logging on Litter Water Conservation" Hydrology 10, no. 4: 97. https://doi.org/10.3390/hydrology10040097
APA Stylede Lima, J. A., & Tonello, K. C. (2023). Rainfall Partitioning in Amazon Forest: Implications of Reduced Impact Logging on Litter Water Conservation. Hydrology, 10(4), 97. https://doi.org/10.3390/hydrology10040097
