The Tolerance Differences of Two Industrial Hemp Varieties Under Lead (Pb) Stress
Abstract
1. Introduction
2. Materials and Methods
2.1. Experimental Materials
2.2. Experimental Design
2.3. Experimental Methods
2.3.1. Measurement of Agronomic Traits and Biomass of Two Industrial Hemp Varieties
2.3.2. Determination of Pb Content in Samples
2.3.3. Calculation of Accumulation and Tolerance Capacity in Industrial Hemp
2.4. Data Statistical Analysis
3. Results
3.1. The Effect of Pb Stress on Agronomic Traits of Industrial Hemp
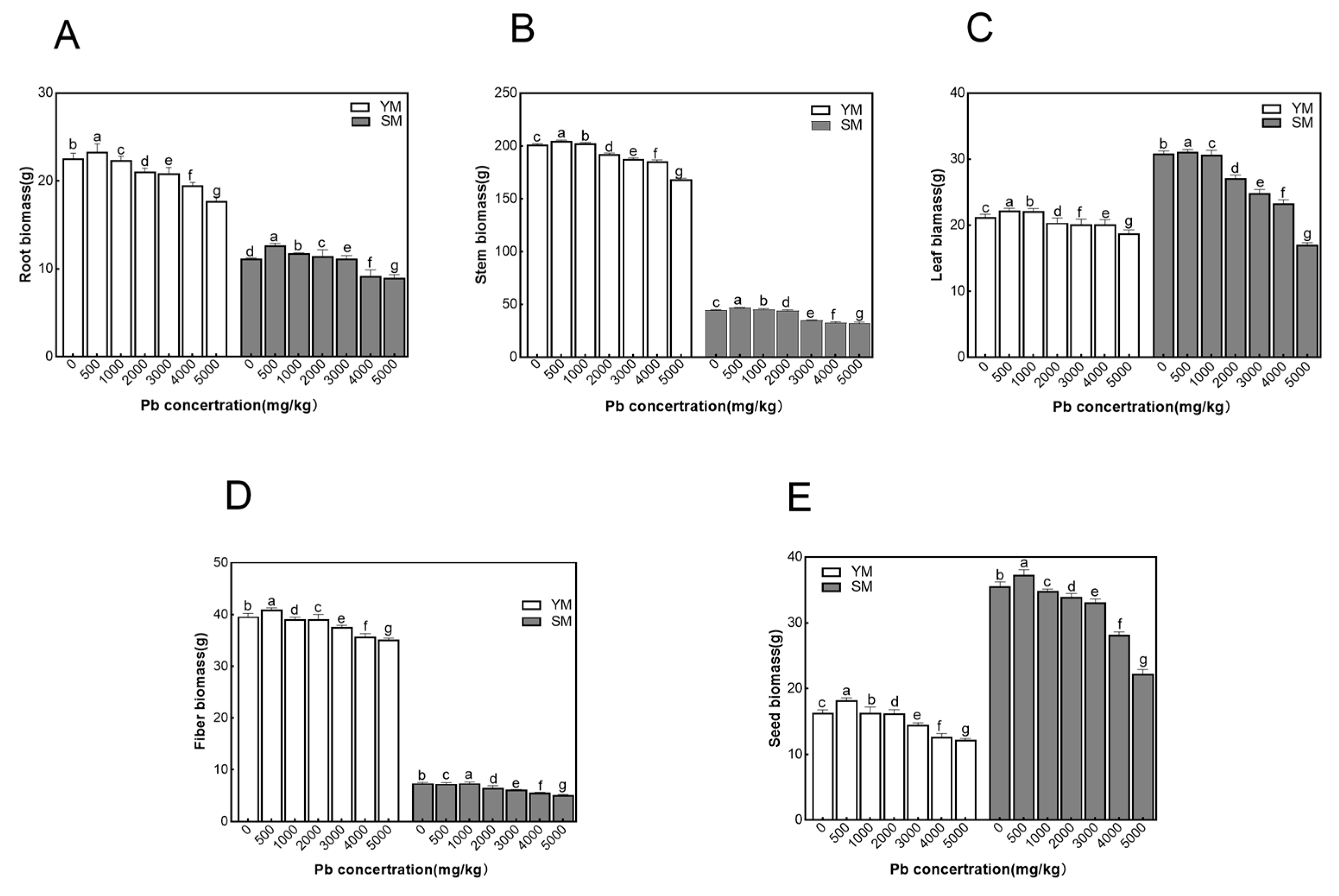
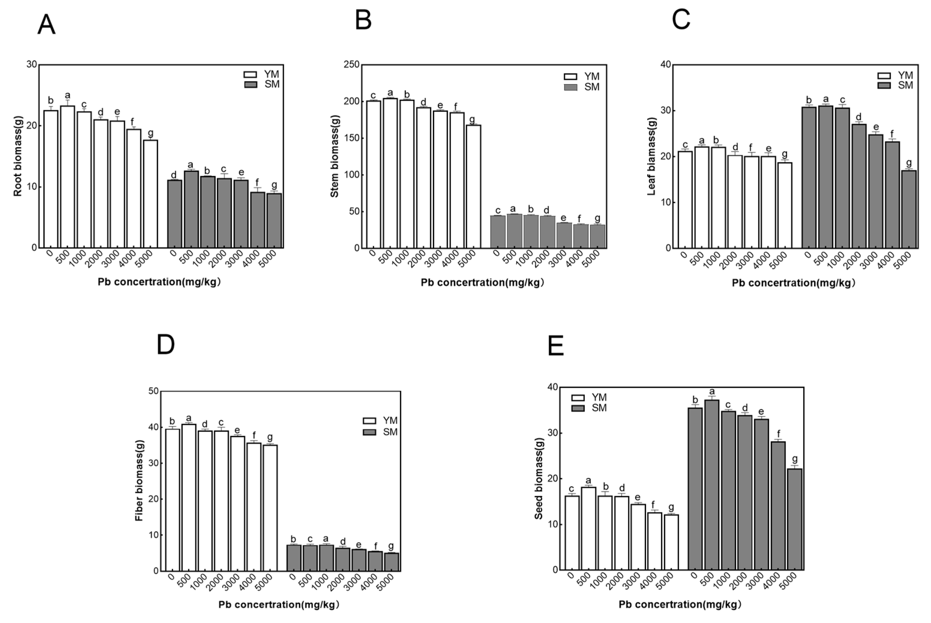
3.2. Effects of Different Pb Concentrations on the Biomass of Industrial Hemp Organs
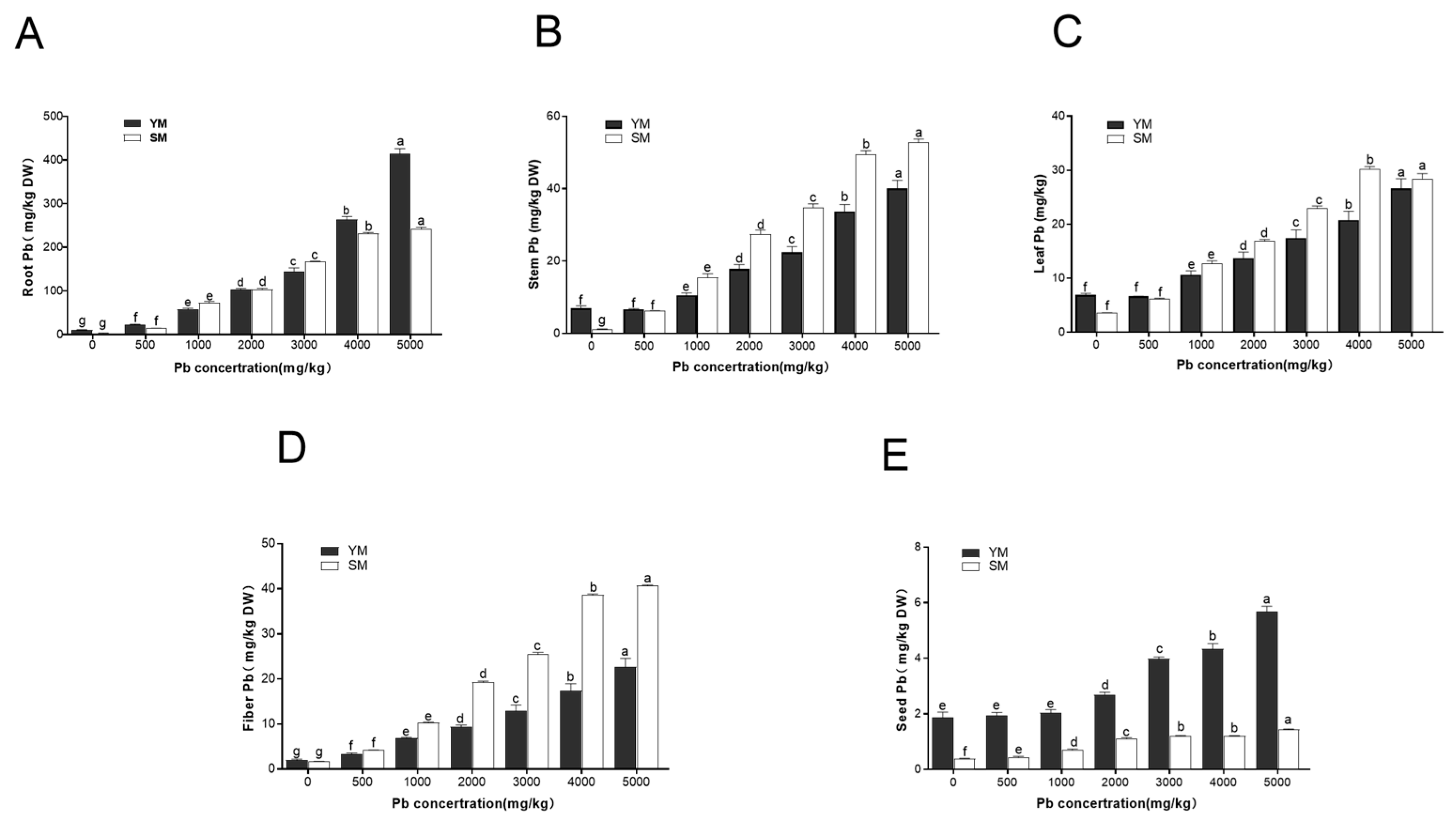
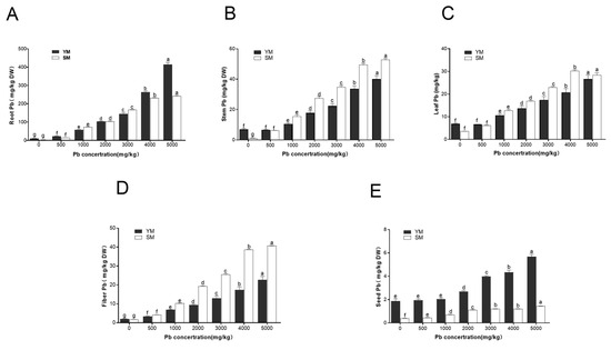
3.3. Accumulation Characteristics of Pb in Two Industrial Hemp Varieties
3.4. Effects of Pb Stress on the Accumulation Capacity of Different Parts of the Two Industrial Hemp Varieties
3.5. Effects of Pb Stress on the Translocation Ability of Different Parts of Two Industrial Hemp Varieties
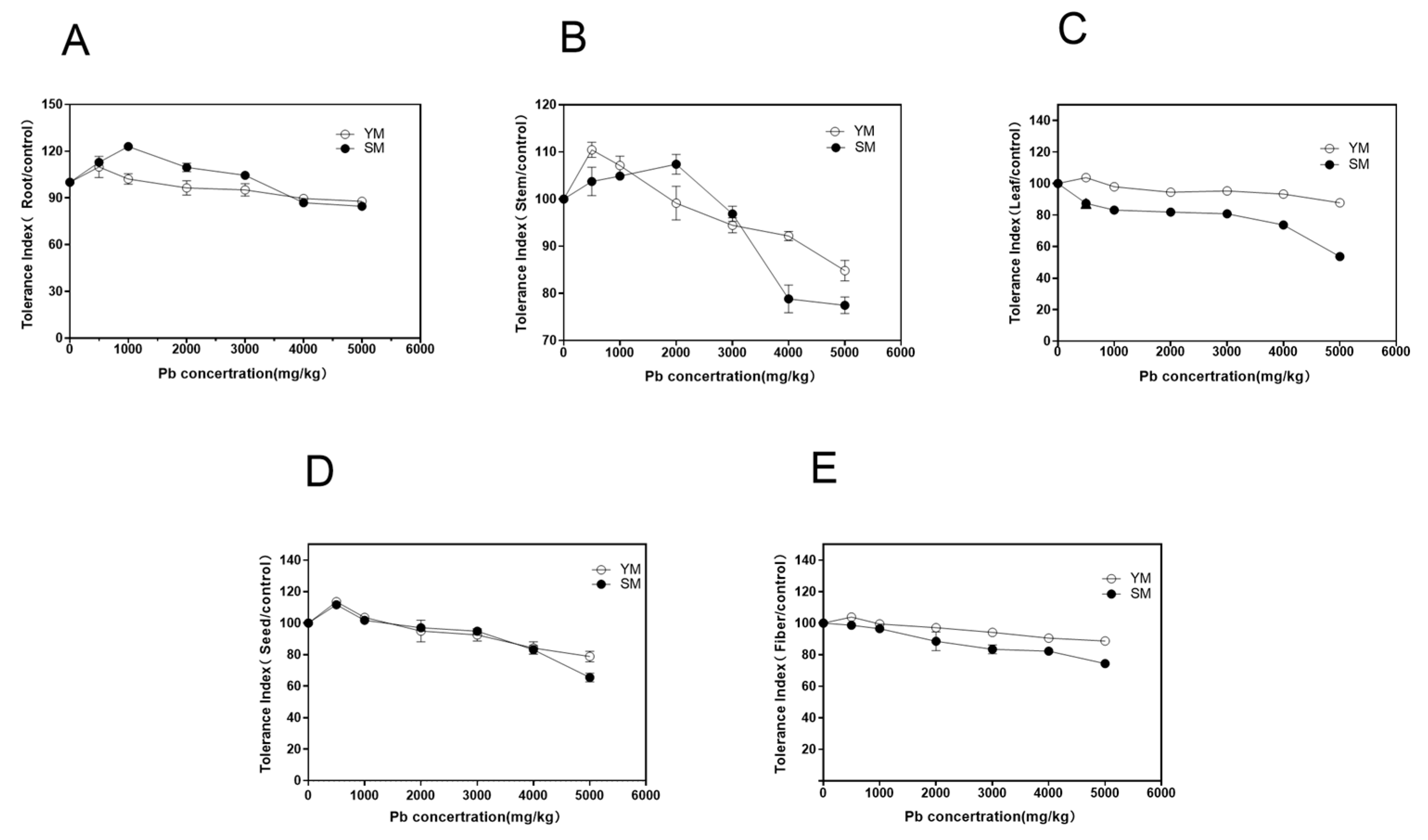
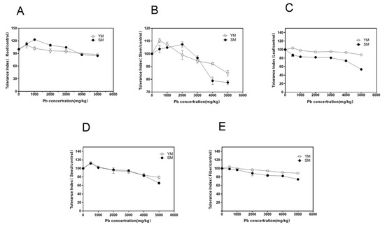
3.6. Comparison of Pb Tolerance Indices in Two Industrial Hemp Varieties
4. Discussion
4.1. Differences in Pb Tolerance Response Between Two Industrial Hemp Materials
4.2. Differences in Lead Tolerance Between Two Industrial Hemp Varieties
- Morphological differences: Plant height, stem diameter, and root length were somewhat suppressed in YM at Pb concentrations of 4000–5000 mg/kg, but no contamination symptoms were observed. In contrast, SM exhibited severe toxicity symptoms, including leaf chlorosis, poor seed development, hollow seeds, and premature aging. This phenomenon of “low promotion, high inhibition” under Pb stress is consistent with findings in other plants, such as Sedum alfredii, where low Pb concentrations promote growth while high concentrations inhibit growth [46,47].
- Biomass differences: YM biomass was more than 2.5 times larger than SM biomass. When soil Pb concentration was less than 1000 mg/kg, industrial hemp growth was promoted, with higher root and leaf biomass compared to the control group. However, biomass accumulation and plant development were inhibited at elevated Pb concentrations. Both YM and SM showed a considerable inhibition of root growth at Pb values of 5000 mg/kg and 4000 mg/kg. At doses as low as 3000 mg/kg, the biomass of SM differed significantly from control (p < 0.05), and at 5000 mg/kg, it decreased by more than 50%, suggesting a severe suppression of plant growth.
- Tolerance differences: The tolerance indices (TIs) for roots and stems in both YM and SM exceeded 60%. However, at high Pb concentrations (>4000 mg/kg), TI for YM was significantly higher than for SM. In leaf tissue, YM exhibited higher TIs than SM, with TI exceeding 90% even at 5000 mg/kg. However, at Pb concentrations above 5000 mg/kg, SM showed a TI < 50%, suggesting that SM leaves have a Pb toxicity threshold of 5000 mg/kg. Industrial hemp is classified as a medium accumulator with high tolerance based on the accumulation characteristics seen in YM and SM in this study as well as the criteria established by Arthur [45] for dividing crops into high, medium, and low accumulators of heavy metals. In addition, YM showed greater Pb tolerance than SM.
5. Conclusions
Author Contributions
Funding
Institutional Review Board Statement
Informed Consent Statement
Data Availability Statement
Conflicts of Interest
References
- Teiba, I.I.; El-Bilawy, E.H.; Abouelsaad, I.A.; Shehata, M.; Alhoshy, Y.J.; Habib, N.M.; Abu-Elala, N.; Belal, E.B.; El-Khateeb, W.A.M. The role of marine bacteria in modulating the environmental impact of heavy metals, microplastics, and pesticides: A comprehensive review. Environ. Sci. Pollut. Res. 2024, 31, 64419–64452. [Google Scholar] [CrossRef] [PubMed]
- Ran, C.; Liu, C.; Peng, C.; Li, X.; Liu, Y.; Li, Y.; Zhang, W.; Cai, H.; Wang, L. Oxidative potential of heavy-metal contaminated soil reflects its ecological risk on earthworm. Environ. Pollut. 2023, 323, 121275. [Google Scholar] [CrossRef] [PubMed]
- Vareda, J.P.; Valente, A.J.; Durães, L. Assessment of heavy metal pollution from anthropogenic activities and remediation strategies: A review. J. Environ. Manag. 2019, 246, 101–118. [Google Scholar] [CrossRef] [PubMed]
- Liu, Z.; Zhang, Q.; Han, T.; Ding, Y.; Sun, J.; Wang, F.; Zhu, C. Heavy Metal Pollution in a Soil-Rice System in the Yangtze River Region of China. Int. J. Environ. Res. Public Health 2016, 13, 63. [Google Scholar] [CrossRef]
- Ali, H.; Khan, E.; Ilahi, I. Environmental chemistry and ecotoxicology of hazardous heavy metals: Environmental persistence, toxicity, and bioaccumulation. J. Chem. 2019, 2019, 6730305. [Google Scholar] [CrossRef]
- Ekmekyapar, F.; Sabudak, T.; Seren, G. Assessment of heavy metal contamination in soil and wheat (Triticum aestivum L.) plant around the Çorlu–Çerkezkoy highway in Thrace region. Glob. NEST J. 2012, 14, 496–504. [Google Scholar]
- Ni’am, M.I.; Yuniati, R. Effect of lead (Pb) on seed germination of water spinach (Ipomoea aquatica Forsk). J. Phys. Conf. Ser. 2021, 1725, 012041. [Google Scholar] [CrossRef]
- Marek, B. Influence of lead on the chlorophyll content and on initial steps of its synthesis in greening cucumber seedlings. Acta Soc. Bot. Pol. 1985, 54, 95–105. [Google Scholar]
- Ahmad, R.; Tehsin, Z.; Malik, S.T.; Asad, S.A.; Shahzad, M.; Bilal, M.; Shah, M.M.; Khan, S.A. Phytoremediation potential of hemp (Cannabis sativa L.): Identification and characterization of heavy metals responsive genes. CLEAN-Soil Air Water 2016, 44, 195–201. [Google Scholar] [CrossRef]
- Chang, J.D.; Gao, W.; Wang, P.; Zhao, F.J. Osnramp5 is a major transporter for lead uptake in rice. Environ. Sci. Technol. 2022, 56, 17481–17490. [Google Scholar] [CrossRef]
- Zafar, S.; Khan, M.K.; Aslam, N.; Hasnain, Z. Impact of Different Stresses on Morphology, Physiology, and Biochemistry of Plants. In Molecular Dynamics of Plant Stress and Its Management; Shahid, M., Gaur, R., Eds.; Springer: Berlin/Heidelberg, Germany, 2024; pp. 67–91. [Google Scholar]
- Shukla, S.; Das, S.; Phutela, S.; Triathi, A.; Kumari, C.; Shukla, S.K. Heavy metal stress in plants: Causes, impact and effective management. In Heavy Metal Toxicity: Human Health Impact and Mitigation Strategies; Kumar, N., Ed.; Environmental Science and Engineering; Springer Nature: Cham, Switzerland, 2024; pp. 187–215. [Google Scholar]
- Krystyna, Z.G.; Janusz, G. Cannabis sativa L.–cultivation and quality of raw material. J. Elementol. 2018, 23, 971–984. [Google Scholar]
- Rheay, H.T.; Omondi, E.C.; Brewer, C.E. Potential of hemp (Cannabis sativa L.) for paired phytoremediation and bioenergy production. GCB Bioenergy 2020, 13, 525–536. [Google Scholar] [CrossRef]
- Linger, P.; Müssig, J.; Fischer, H.; Kobert, J. Industrial hemp (Cannabis sativa L.) growing on heavy metal contaminated soil: Fibre quality and phytoremediation potential. Ind. Crops Prod. 2002, 16, 33–42. [Google Scholar] [CrossRef]
- Testa, G.; Corinzia, S.A.; Cosentino, S.L.; Ciaramella, B.R. Phytoremediation of Cadmium-, Lead-, and Nickel-Polluted Soils by Industrial Hemp. Agronomy 2023, 13, 995. [Google Scholar] [CrossRef]
- Ferrarini, A.; Fracasso, A.; Spini, G.; Fornasier, F.; Taskin, E.; Fontanella, M.C.; Beone, G.M.; Amaducci, S.; Puglisi, E. Bioaugmented phytoremediation of metal-contaminated soils and sediments by hemp and giant reed. Front. Microbiol. 2021, 12, 645893. [Google Scholar] [CrossRef]
- Todde, G.; Marras, S.; Caria, M.; Sirca, C.; Carboni, G. Industrial hemp (Cannabis sativa L.) for phytoremediation: Energy and environmental life cycle assessment of using contaminated biomass as an energy resource. Sustain. Energy Technol. Assess 2022, 52, 102081. [Google Scholar] [CrossRef]
- Golia, E.E.; Bethanis, J.; Ntinopoulos, N.; Kaffe, G.G.; Komnou, A.A.; Vasilou, C. Investigating the potential of heavy metal accumulation from hemp. The use of industrial hemp (Cannabis Sativa L.) for phytoremediation of heavily and moderated polluted soils. Sustain. Chem. Pharm. 2022, 31, 100961. [Google Scholar] [CrossRef]
- Xu, Y.P.; Deng, G.; Guo, H.Y.; Yang, M.; Yang, Q.H. Accumulation and sub cellular distribution of lead (Pb) in industrial hemp grown in Pb contaminated soil. Ind. Crops Prod. 2021, 161, 113220. [Google Scholar] [CrossRef]
- Luyckx, M.; Blanquet, M.; Isenborghs, A.; Guerriero, G.; Bidar, G.; Waterlot, C.; Douay, F.; Lutts, S. Impact of silicon and heavy metals on hemp (Cannabis sativa L.) bast fibres properties: An industrial and agricultural perspective. Int. J. Environ. Res. 2022, 16, 82. [Google Scholar] [CrossRef]
- Tlustoš, P.; Száková, J.; Hrubý, J.; Hartman, I.; Najmanová, J.; Nedělník, J.; Pavlíková, D.; Batysta, M. Removal of As, Cd, Pb, and Zn from contaminated soil by high biomass producing plants. Plant Soil Environ. 2006, 52, 413–423. [Google Scholar] [CrossRef]
- Arnot, J.A.; Gobas, F.A.P.C. A review of bioconcentration factor (BCF) and bioaccumulation factor (BAF) assessments for organic chemicals in aquatic organisms. Environ. Rev. 2006, 14, 257–297. [Google Scholar] [CrossRef]
- Ding, C.F.; Ma, Y.B.; Li, X.G.; Zhang, T.L.; Wang, X.X. Derivation of soil thresholds for lead applying species sensitivity distribution: A case study for root vegetables. J. Hazard. Mater. 2016, 303, 21–27. [Google Scholar] [CrossRef] [PubMed]
- Lux, A.; Šottníková, A.; Opatrná, J.; Greger, M. Differences in structure of adventitious roots in Salix clones with contrasting characteristics of cadmium accumulation and sensitivity. Physiol. Plant. 2004, 120, 537–545. [Google Scholar] [CrossRef]
- Wang, S.; Shi, X.; Sun, H.; Chen, Y.; Pan, H.; Yang, X.; Rafiq, T. Variations in metal tolerance and accumulation in three hydroponically cultivated varieties of Salix integra treated with lead. PLoS ONE 2014, 9, e108568. [Google Scholar] [CrossRef]
- Karavin, N.; Batın, I. Resorption, mobilization and accumulation of metals in different parts of Vitis vinifera L. Vitis 2020, 59, 105–109. [Google Scholar]
- Yang, K. Absorption and accumulation of heavy metals of Pb, Cu by different waterlilies. Bot. Res. 2019, 8, 366–369. [Google Scholar]
- Mukherjee, S.; Singh, S.K.; Jatav, S.S.; Patra, A.; Reddy, G.P. Effect of biochar application on heavy metal accumulation in different parts of paddy plant. Int. J. Environ. Clim. Change 2023, 13, 4491–4500. [Google Scholar] [CrossRef]
- Koubová, K.; Tlustoš, P.; Břendová, K.; Száková, J.; Najmanová, J. Lead accumulation ability of selected plants of Noccaea spp. Soil Sediment Contam. 2016, 25, 882–890. [Google Scholar] [CrossRef]
- Lin, C.; Wang, Y.; Hu, G.; Yu, R.; Huang, H. Source apportionment and transfer characteristics of Pb in a soil-rice-human system, Jiulong River Basin, southeast China. Environ. Pollut. 2023, 326, 121489. [Google Scholar] [CrossRef]
- Bech, J.; Duran, P.; Roca, N.; Poma, W.; Sánchez, I.; Roca-Pérez, L.; Boluda, R.; Barceló, J.; Poschenrieder, C. Accumulation of Pb and Zn in Bidens triplinervia and Senecio sp. spontaneous species from mine spoils in Peru and their potential use in phytoremediation. J. Geochem. Explor. 2012, 123, 109–113. [Google Scholar] [CrossRef]
- Blanco, A.; Salazar, M.J.; Vergara Cid, C.; Pereyra, C.; Cavaglieri, L.R.; Becerra, A.G.; Pignata, M.L.; Rodriguez, J.H. Multidisciplinary study of chemical and biological factors related to Pb accumulation in sorghum crops grown in contaminated soils and their toxicological implications. J. Geochem. Explor. 2016, 166, 18–26. [Google Scholar] [CrossRef]
- Salazar, M.J.; Rodriguez, J.H.; Cid, C.V.; Pignata, M.L. Auxin effects on Pb phytoextraction from polluted soils by Tegetes minuta L. and Bidens pilosa L.: Extractive power of their root exudates. J. Hazard. Mater. 2016, 311, 63–69. [Google Scholar] [CrossRef] [PubMed]
- Htwe, W.M.; Kyawt, Y.Y.; Thaikua, S.; Imai, Y.; Mizumachi, S.; Kawamoto, Y. Effects of liming on dry biomass, lead concentration and accumulated amounts in roots and shoots of three tropical pasture grasses from lead contaminated acidic soils. Grassl. Sci. 2016, 62, 257–261. [Google Scholar] [CrossRef]
- Li, S.M.; Wang, Q.Y.; Li, W.J.; Yang, Y.; Jiang, L.J. Litsea males are better adapted to Pb stress than females by modulating photosynthesis and Pb subcellular distribution. Forests 2023, 14, 724. [Google Scholar] [CrossRef]
- Chen, J.; Han, Q.Q.; Duan, B.L.; Korpelainen, H.; Li, C.Y. Sex-specific competition differently regulates ecophysiological responses and phytoremediation of Populus cathayana under Pb stress. Plant Soil 2017, 421, 203–218. [Google Scholar] [CrossRef]
- Hassan, S.H.; Chafik, Y.; Lebrun, M.; Sferra, G.; Bourgerie, S.; Scippa, G.S.; Morabito, D.; Trupiano, D. Lead toxicity and tolerance in plants. In Heavy Metal Toxicity and Tolerance in Plants: A Biological, Omics, and Genetic Engineering Approach; Hossain, M.A., Zakir Hossain, A.K.M., Bourgerie, S., Fujita, M., Dhankher, O.P., Haris, P., Eds.; Wiley: New York, NY, USA, 2023; pp. 373–405. [Google Scholar]
- Amin, H.; Arain, B.A.; Jahangir, T.M.; Abbasi, A.R.; Abbasi, M.S.; Amin, F. Phytostabilzation as a sustainable phytoremediation strategy for lead contaminated soil–Screening of biofuel plants for lead tolerance and accumulation. J. Plant Resour. Environ. 2020, 4, 18. [Google Scholar]
- Khaliq, S.; Iqbal, M.; Yaseen, W.; Rasheed, R. The exogenous menadiol diacetate enhances growth and yield by reducing Pb uptake, translocation and its toxicity through tissue nutrients acquisition in cucumber (Cucumis sativus L.). Environ. Technol. Innov. 2021, 23, 101666. [Google Scholar] [CrossRef]
- Baker, A.J.M.; Brooks, R.R. Terrestrial higher plants which hyperaccumulate metallic elements. A review of their distribution, ecology and phytochemistry. J. Ethnopharmacol. 1989, 1, 81–126. [Google Scholar]
- Chao, S.; Du, W.; Lu, T.; Yang, Y.; Wang, K.; Du, H.; Cheng, H.; Yu, D. Genome-wide association study of soybean (Glycine Max) phosphorus deficiency tolerance during the seedling stage. Plant Breed. 2021, 140, 267–284. [Google Scholar] [CrossRef]
- Cai, X.Y.; Jiang, M.Y.; Liao, J.R.; Yang, Y.X.; Li, N.F.; Cheng, Q.B.; Li, X.; Song, H.X.; Luo, Z.H.; Liu, S.L. Biomass allocation strategies and Pb-enrichment characteristics of six dwarf bamboos under soil Pb stress. Ecotoxicol. Environ. Saf. 2020, 207, 111500. [Google Scholar] [CrossRef]
- Kandziora-Ciupa, M.; Nadgórska-Socha, A.; Barczyk, G.; Ciepał, R. Bioaccumulation of heavy metals and ecophysiological responses to heavy metal stress in selected populations of Vaccinium myrtillus L. and Vaccinium vitis-idaea L. Ecotoxicology 2017, 26, 966–980. [Google Scholar] [CrossRef] [PubMed]
- Arthur, E.; Crews, H.; Morgan, C. Optimizing plant genetic strategies for minimizing environmental contamination in the food chain. Int. J. Phytoremediat. 2000, 2, 1–21. [Google Scholar] [CrossRef]
- Xiong, Y.H.; Yang, X.E.; Ye, Z.Q.; He, B. Comparing the characteristics of growth response and accumulation of cadmium and lead by Sedum alfredii Hance. J. Northwest A F Univ. (Nat. Sci. Ed.) 2004, 32, 101–106. [Google Scholar]
- Ghavri, S.V.; Singh, R.P. Growth, biomass production and remediation of copper contamination by Jatropha curcas plant in industrial wasteland soil. J. Environ. Biol. 2012, 33, 207. [Google Scholar]





| pH | Organic Matter (g/kg) | Total Nitrogen (N, %) | Total Phosphorus (P, %) | Total Potassium (K, %) | Hydrolyzable Nitrogen | Available Phosphorus | Available Potassium | Total Lead |
|---|---|---|---|---|---|---|---|---|
| (N, mg/kg) | (P, mg/kg) | (K, mg/kg) | (Pb, mg/kg) | |||||
| 6.69 | 97.5 | 0.392 | 0.213 | 0.176 | 263 | 27.6 | 642 | 65.03 |
| Varieties | Pb (mg/kg) | Plant Height (cm) | Stem Diameter (mm) | Root Length (cm) |
|---|---|---|---|---|
| YM | 0 | 310.3 ± 2.1 b | 10.2 ± 0.2 b | 28.3 ± 0.5 a |
| 500 | 328.3 ± 5.9 a | 12.5 ± 0.4 a | 28.7 ± 0.6 a | |
| 1000 | 308.1 ± 4.2 bc | 10.0 ± 0.1 bcd | 27.3 ± 0.3 b | |
| 2000 | 303.2 ± 2.0 cd | 10.3 ± 0.7 bc | 26.6 ± 0.3 b | |
| 3000 | 302.0 ± 3.0 d | 9.7 ± 0.3 cd | 25.8 ± 0.2 c | |
| 4000 | 295.7 ± 4.0 e | 9.5 ± 0.5 d | 25.6 ± 0.5 c | |
| 5000 | 293.0 ± 3.0 e | 9.4 ± 0.5 d | 22.9 ± 0.3 d | |
| SM | 0 | 148.7 ± 6.1 ab | 6.8 ± 0.3 b | 14.0 ± 0.5 ab |
| 500 | 149.7 ± 4.8 ab | 7.0 ± 0.1 b | 14.3 ± 0.5 ab | |
| 1000 | 155.5 ± 5.3 a | 7.6 ± 0.2 a | 14.6 ± 0.4 a | |
| 2000 | 147.1 ± 7.4 ab | 6.7 ± 0.2 b | 13.8 ± 0.4 b | |
| 3000 | 145.9 ± 5.0 ab | 6.8 ± 0.1 b | 13.8 ± 0.3 b | |
| 4000 | 135.5 ± 3.6 c | 6.2 ± 0.2 c | 12.6 ± 0.1 c | |
| 5000 | 130.7 ± 4.4 c | 5.8 ± 0.2 c | 12.2 ± 0.5 c |
Disclaimer/Publisher’s Note: The statements, opinions and data contained in all publications are solely those of the individual author(s) and contributor(s) and not of MDPI and/or the editor(s). MDPI and/or the editor(s) disclaim responsibility for any injury to people or property resulting from any ideas, methods, instructions or products referred to in the content. |
© 2025 by the authors. Licensee MDPI, Basel, Switzerland. This article is an open access article distributed under the terms and conditions of the Creative Commons Attribution (CC BY) license (https://creativecommons.org/licenses/by/4.0/).
Share and Cite
Xu, Y.; Kumpeangkeaw, A.; An, X.; Chen, X.; Zhang, Y.; Lv, P.; Zhang, Q.; Guo, R.; Ji, Q.; Yang, M. The Tolerance Differences of Two Industrial Hemp Varieties Under Lead (Pb) Stress. Toxics 2025, 13, 90. https://doi.org/10.3390/toxics13020090
Xu Y, Kumpeangkeaw A, An X, Chen X, Zhang Y, Lv P, Zhang Q, Guo R, Ji Q, Yang M. The Tolerance Differences of Two Industrial Hemp Varieties Under Lead (Pb) Stress. Toxics. 2025; 13(2):90. https://doi.org/10.3390/toxics13020090
Chicago/Turabian StyleXu, Yanping, Anuwat Kumpeangkeaw, Xia An, Xuan Chen, Yuan Zhang, Pin Lv, Qingying Zhang, Rong Guo, Qingqing Ji, and Ming Yang. 2025. "The Tolerance Differences of Two Industrial Hemp Varieties Under Lead (Pb) Stress" Toxics 13, no. 2: 90. https://doi.org/10.3390/toxics13020090
APA StyleXu, Y., Kumpeangkeaw, A., An, X., Chen, X., Zhang, Y., Lv, P., Zhang, Q., Guo, R., Ji, Q., & Yang, M. (2025). The Tolerance Differences of Two Industrial Hemp Varieties Under Lead (Pb) Stress. Toxics, 13(2), 90. https://doi.org/10.3390/toxics13020090

