Effects of Environmental Chemical Pollutants on Microbiome Diversity: Insights from Shotgun Metagenomics
Abstract
1. Introduction
2. Materials and Methods
2.1. Collection of Sediment and Water Samples
2.2. Chemical Analysis
2.3. Genomic Sample Processing
2.4. Data Analyses
2.5. Functional Pathway Annotation
2.6. Resistance Gene Identification
3. Results
3.1. Chemical Concentrations per Site
3.2. Microbial Diversity and Relative Abundance
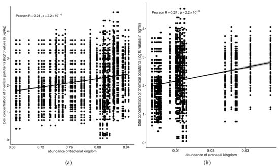
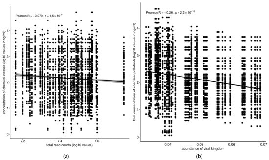
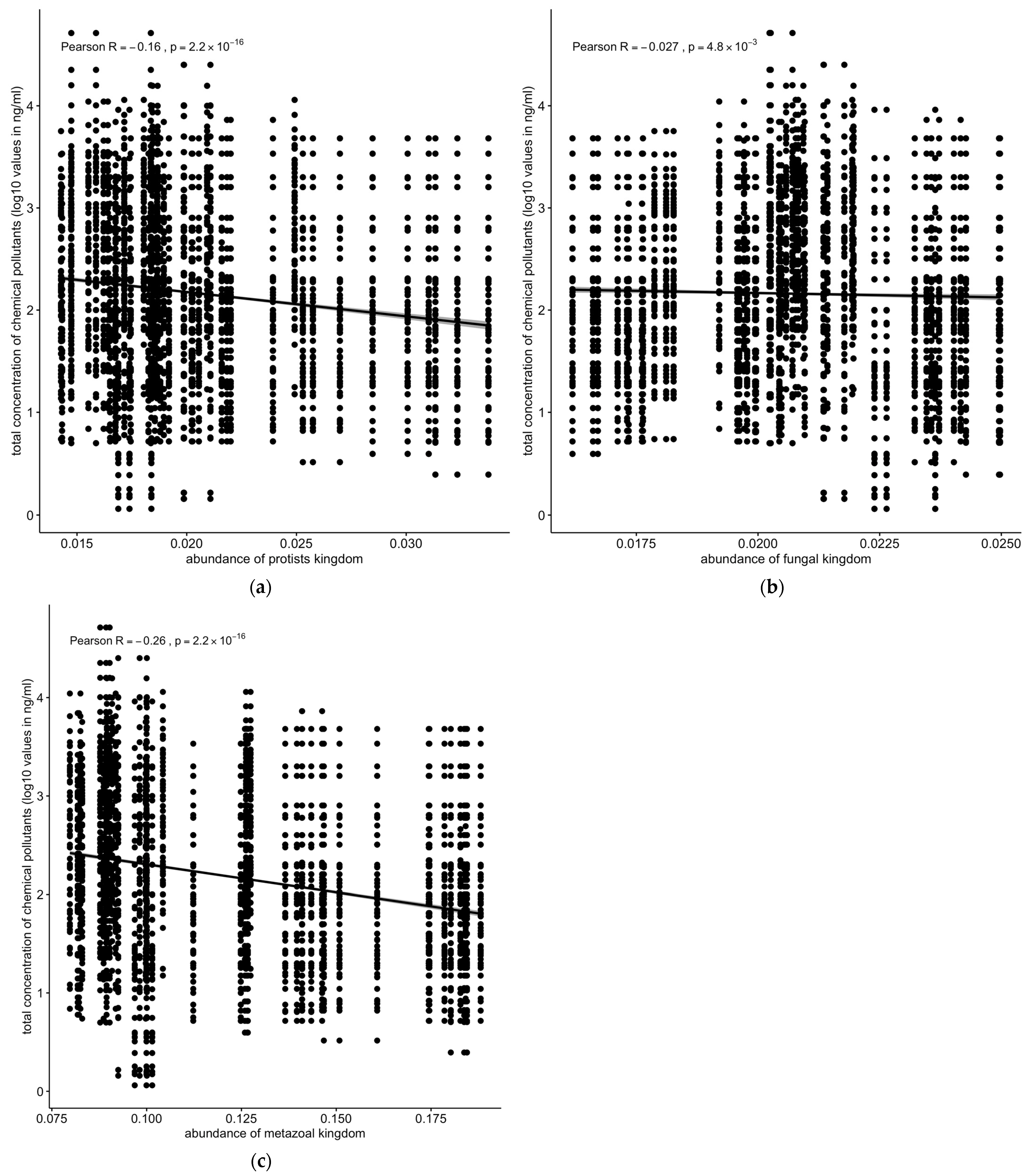
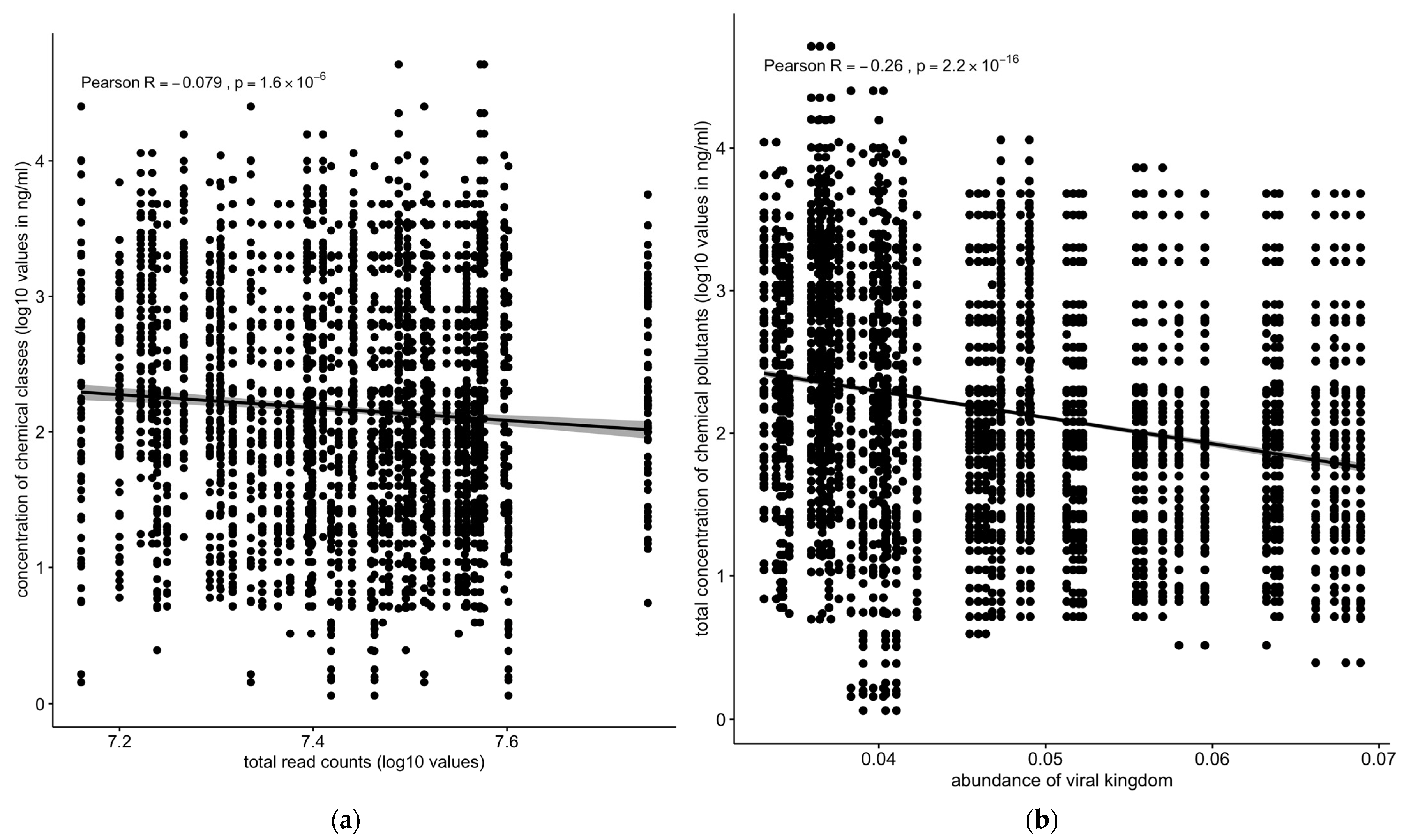
3.3. Correlations Among Microbial Diversity and Levels (Concentrations) of Chemical Pollutants
3.4. Microbial Community Correlations with Chemical Pollutants
3.5. Enzymatic and Pathway Associations with Microbial Kingdoms
3.6. Resistance Gene Detection
4. Discussion
4.1. Role of Microbial Kingdoms in Pollutant Degradation
4.1.1. Bacteria and Archaea
4.1.2. Fungi
4.1.3. Protozoa, Viruses, and Metazoans
4.2. Implications for Ecosystem Restoration
4.3. Limitations and Future Directions
5. Conclusions
Supplementary Materials
Author Contributions
Funding
Institutional Review Board Statement
Informed Consent Statement
Data Availability Statement
Acknowledgments
Conflicts of Interest
References
- Han, M.; Dsouza, M.; Zhou, C.; Li, H.; Zhang, J.; Chen, C.; Yao, Q.; Zhong, C.; Zhou, H.; Gilbert, J.A.; et al. Agricultural Pollution Risks Influence Microbial Ecology in Honghu Lake. bioRxiv 2018, 244657. [Google Scholar] [CrossRef]
- Sutton, N.B.; Maphosa, F.; Morillo, J.A.; Al-Soud, W.A.; Langenhoff, A.A.; Grotenhuis, T.; Rijnaarts, H.H.; Smidt, H. Impact of long-term diesel contamination on soil microbial community structure. Appl. Environ. Microbiol. 2013, 79, 619–630. [Google Scholar] [CrossRef] [PubMed]
- Singh, B.K.; Quince, C.; Macdonald, C.A.; Khachane, A.; Thomas, N.; Al-Soud, W.A.; Sørensen, S.J.; He, Z.; White, D.; Sinclair, A.; et al. Loss of microbial diversity in soils is coincident with reductions in some specialized functions. Environ. Microbiol. 2014, 16, 2408–2420. [Google Scholar] [CrossRef] [PubMed]
- Bourceret, A.; Cébron, A.; Tisserant, E.; Périgon, S.; Dequiedt, S.; Bauda, P.; Beguiristain, T.; Leyval, C. The bacterial and fungal diversity of an aged PAH- and heavy metal-contaminated soil is affected by plant cover and edaphic parameters. Microb. Ecol. 2015, 70, 703–715. [Google Scholar] [CrossRef] [PubMed]
- Geisseler, D.; Scow, K.M. Long-term effects of fertilizer on soil microbial communities in agricultural soils: A review. Soil. Biol. Biochem. 2014, 75, 54–63. [Google Scholar] [CrossRef]
- Barceló, D.; Petrovic, M. Pharmaceuticals and personal care products (PPCPs) in the environment. Anal. Bioanal. Chem. 2007, 387, 1141–1142. [Google Scholar] [CrossRef]
- Paul, A.; Bouleau, C.; Wedeux, B.M. Ammonia exposure promotes algal biomass in an ombrotrophic peatland. Soil Biol. Biochem. 2013, 57, 936–938. [Google Scholar] [CrossRef]
- Li, Y.; Lian, J.; Wu, B.; Zou, H.; Tan, S.K. Phytoremediation of pharmaceutical-contaminated wastewater: Insights into rhizobacterial dynamics related to pollutant degradation mechanisms during plant life cycle. Chemosphere 2020, 253, 126681. [Google Scholar] [CrossRef]
- Almeida, A.R.; Alves, M.; Domingues, I.; Henriques, I. The impact of antibiotic exposure in water and zebrafish gut microbiomes: A 16S rRNA gene-based metagenomic analysis. Ecotoxicol. Environ. Saf. 2019, 186, 109771. [Google Scholar] [CrossRef]
- Jacquiod, S.; Cyriaque, V.; Riber, L.; Al-Soud, W.A.; Gillan, D.C.; Wattiez, R.; Sorensen, S.J. Long-term industrial metal contamination unexpectedly shaped diversity and activity response of sediment microbiome. J. Hazard. Mater. 2018, 344, 299–307. [Google Scholar] [CrossRef]
- Bell, T.H.; Cloutier-Hurteau, B.; Al-Otaibi, F.; Turmel, M.C.; Yergeau, E.; Courchesne, F.; St-Arnaud, M. Early rhizosphere microbiome composition is related to the growth and Zn uptake of willows introduced to a former landfill. Environ. Microbiol. 2015, 17, 3025–3038. [Google Scholar] [CrossRef]
- Naidu, R.; Biswas, B.; Willett, I.R.; Cribb, J.; Kumar Singh, B.; Paul Nathanail, C.; Coulon, F.; Semple, K.T.; Jones, K.C.; Barclay, A.; et al. Chemical pollution: A growing peril and potential catastrophic risk to humanity. Environ. Int. 2021, 156, 106616. [Google Scholar] [CrossRef] [PubMed]
- He, Z.; Zhang, P.; Wu, L.; Rocha, A.M.; Tu, Q.; Shi, Z.; Wu, B.; Qin, Y.; Wang, J.; Yan, Q.; et al. Microbial Functional Gene Diversity Predicts Groundwater Contamination and Ecosystem Functioning. mBio 2018, 9, e02435-17. [Google Scholar] [CrossRef]
- Jiao, S.; Chen, W.; Wei, G. Resilience and Assemblage of Soil Microbiome in Response to Chemical Contamination Combined with Plant Growth. Appl. Environ. Microbiol. 2019, 85, e02523-18. [Google Scholar] [CrossRef]
- Iyer, R.; Damania, A. Shotgun metagenomics of indigenous bacteria collected from the banks of the San Jacinto River for biodegradation of aromatic waste. FEMS Microbiol. Lett. 2020, 367, fnaa133. [Google Scholar] [CrossRef] [PubMed]
- Ettamimi, S.; Carlier, J.D.; Cox, C.J.; Elamine, Y.; Hammani, K.; Ghazal, H.; Costa, M.C. A meta-taxonomic investigation of the prokaryotic diversity of water bodies impacted by acid mine drainage from the Sao Domingos mine in southern Portugal. Extremophiles 2019, 23, 821–834. [Google Scholar] [CrossRef]
- Wolff, B.A.; Clements, W.H.; Hall, E.K. Metals Alter Membership but Not Diversity of a Headwater Stream Microbiome. Appl. Environ. Microbiol. 2021, 87, e02635-20. [Google Scholar] [CrossRef] [PubMed]
- Jones, D.R.; Smith, A.B.; Baldwin, D.S. Sample methods for sediment. J. Environ. Monit. 2022, 112–123. [Google Scholar]
- Baldwin, A.K.; Corsi, S.R.; Oliver, S.K.; Lenaker, P.L.; Nott, M.A.; Mills, M.A.; Norris, G.A.; Paatero, P. Primary sources of polycyclic aromatic hydrocarbons to streambed sediment in Great Lakes tributaries using multiple lines of evidence. Environ. Toxicol. Chem. 2020, 39, 1392–1408. [Google Scholar] [CrossRef]
- Bushnell, B. BBMap: A Fast, Accurate, Splice-Aware Aligner. Available online: https://sourceforge.net/projects/bbmap/ (accessed on 16 December 2024).
- Kim, D.; Song, L.; Breitwieser, F.P.; Salzberg, S.L. Centrifuge: Rapid and sensitive classification of metagenomic sequences. Genome Res. 2016, 26, 1721–1729. [Google Scholar] [CrossRef]
- Team, R.C. stats: The R Stats Package; R Foundation for Statistical Computing: Vienna, Austria, 2023; Volume 4.3.2. [Google Scholar]
- Harrell, F.E. Hmisc: Harrell Miscellaneous; R Foundation for Statistical Computing: Vienna, Austria, 2023; Volume 5.1-3. [Google Scholar]
- Revelle, W. psych: Procedures for Psychological, Psychometric, and Personality Research; Northwestern University: Evanston, IL, USA, 2023; Volume 2.4.6.26. [Google Scholar]
- Wei, T.; Simko, V. corrplot: Visualization of a Correlation Matrix; R Foundation for Statistical Computing: Vienna, Austria, 2023; Volume 0.92. [Google Scholar]
- Fox, J.; Weisberg, S. car: Companion to Applied Regression; R Foundation for Statistical Computing: Vienna, Austria, 2023; Volume 3.1-2. [Google Scholar]
- Navarro, D. lsr: Learning Statistics with R; R Foundation for Statistical Computing: Vienna, Austria, 2023; Volume 0.5.2. [Google Scholar]
- Hothorn, T.; Bretz, F.; Westfall, P. multcomp: Simultaneous Inference in General Parametric Models; R Foundation for Statistical Computing: Vienna, Austria, 2023; Volume 1.4-26. [Google Scholar]
- Wickham, H. ggplot2: Elegant Graphics for Data Analysis; R Foundation for Statistical Computing: Vienna, Austria, 2023; Volume 3.5.1. [Google Scholar]
- Schloerke, B.; Crowley, J.; Cook, D.; Hofmann, H.; Wickham, H.; Briatte, F.; Marbach, M.; Thoen, E.; Elberg, A.; Larmarange, J. GGally: Extension to ‘ggplot2’; R Foundation for Statistical Computing: Vienna, Austria, 2023; Volume 2.2.1. [Google Scholar]
- Beghini, F.; McIver, L.J.; Blanco-Miguez, A.; Dubois, L.; Asnicar, F.; Maharjan, S.; Mailyan, A.; Manghi, P.; Scholz, M.; Thomas, A.M.; et al. Integrating taxonomic, functional, and strain-level profiling of diverse microbial communities with bioBakery 3. eLife 2021, 10, e65088. [Google Scholar] [CrossRef] [PubMed]
- Kanehisa, M.; Furumichi, M.; Tanabe, M.; Sato, Y.; Morishima, K. KEGG: New perspectives on genomes, pathways, diseases and drugs. Nucleic Acids Res. 2017, 45, D353–D361. [Google Scholar] [CrossRef]
- Arango-Argoty, G.; Garner, E.; Pruden, A.; Heath, L.S.; Vikesland, P.; Zhang, L. DeepARG: A deep learning approach for predicting antibiotic resistance genes from metagenomic data. Microbiome 2018, 6, 23. [Google Scholar] [CrossRef] [PubMed]
- Story, S.P.; Kline, E.L.; Hughes, T.A.; Riley, M.B.; Hayasaka, S.S. Degradation of aromatic hydrocarbons by Sphingomonas paucimobilis strain EPA505. Arch. Environ. Contam. Toxicol. 2004, 47, 168–176. [Google Scholar] [CrossRef]
- Wattiau, P.; Bastiaens, L.; van Herwijnen, R.; Daal, L.; Parsons, J.R.; Renard, M.E.; Springael, D.; Cornelis, G.R. Fluorene degradation by Sphingomonas sp. LB126 proceeds through protocatechuic acid: A genetic analysis. Res. Microbiol. 2001, 152, 861–872. [Google Scholar] [CrossRef]
- Steinberger, J. Insulin resistance and cardiovascular risk in the pediatric patient. Prog. Pediatr. Cardiol. 2001, 12, 169–175. [Google Scholar] [CrossRef] [PubMed]
- Jahnke, A.; MacLeod, M.; Wickström, H.k.; Mayer, P. Equilibrium sampling to determine the thermodynamic potential for bioaccumulation of persistent organic pollutants from sediment. Environ. Sci. Technol. 2014, 48, 11352–11359. [Google Scholar] [CrossRef]
- Sun, C.; Zhang, J.; Ma, Q.; Chen, Y.; Ju, H. Polycyclic aromatic hydrocarbons (PAHs) in water and sediment from a river basin: Sediment–water partitioning, source identification and environmental health risk assessment. Environ. Geochem. Health 2017, 39, 63–74. [Google Scholar] [CrossRef] [PubMed]
- Böer, S.I.; Hedtkamp, S.I.; Van Beusekom, J.E.; Fuhrman, J.A.; Boetius, A.; Ramette, A. Time-and sediment depth-related variations in bacterial diversity and community structure in subtidal sands. ISME J. 2009, 3, 780–791. [Google Scholar] [CrossRef]
- Malik, S.; Beer, M.; Megharaj, M.; Naidu, R. The use of molecular techniques to characterize the microbial communities in contaminated soil and water. Environ. Int. 2008, 34, 265–276. [Google Scholar] [CrossRef] [PubMed]
- Griebler, C.; Lueders, T. Microbial biodiversity in groundwater ecosystems. Freshw. Biol. 2009, 54, 649–677. [Google Scholar] [CrossRef]
- Chakraborty, R.; Coates, J. Anaerobic degradation of monoaromatic hydrocarbons. Appl. Microbiol. Biotechnol. 2004, 64, 437–446. [Google Scholar] [CrossRef]
- Akhtar, N.; Mannan, M.A.-u. Mycoremediation: Expunging environmental pollutants. Biotechnol. Rep. 2020, 26, e00452. [Google Scholar] [CrossRef] [PubMed]
- Zhou, Z.-F.; Wang, M.-X.; Zuo, X.-H.; Yao, Y.-H. Comparative investigation of bacterial, fungal, and archaeal community structures in soils in a typical oilfield in Jianghan, China. Arch. Environ. Contam. Toxicol. 2017, 72, 65–77. [Google Scholar] [CrossRef]
- Yan, L.; Yu, D.; Hui, N.; Naanuri, E.; Viggor, S.; Gafarov, A.; Sokolov, S.L.; Heinaru, A.; Romantschuk, M. Distribution of archaeal communities along the coast of the Gulf of Finland and their response to oil contamination. Front. Microbiol. 2018, 9, 15. [Google Scholar] [CrossRef] [PubMed]
- Ghosal, D.; Ghosh, S.; Dutta, T.K.; Ahn, Y. Current State of Knowledge in Microbial Degradation of Polycyclic Aromatic Hydrocarbons (PAHs): A Review. Front. Microbiol. 2016, 7, 1369. [Google Scholar] [CrossRef]
- Peng, R.H.; Xiong, A.S.; Xue, Y.; Fu, X.Y.; Gao, F.; Zhao, W.; Tian, Y.S.; Yao, Q.H. Microbial biodegradation of polyaromatic hydrocarbons. FEMS Microbiol. Rev. 2008, 32, 927–955. [Google Scholar] [CrossRef] [PubMed]
- Davletgildeeva, A.T.; Kuznetsov, N.A. Bioremediation of Polycyclic Aromatic Hydrocarbons by Means of Bacteria and Bacterial Enzymes. Microorganisms 2024, 12, 1814. [Google Scholar] [CrossRef] [PubMed]
- Dhar, K.; Subashchandrabose, S.R.; Venkateswarlu, K.; Krishnan, K.; Megharaj, M. Anaerobic Microbial Degradation of Polycyclic Aromatic Hydrocarbons: A Comprehensive Review. Rev. Environ. Contam. Toxicol. 2020, 251, 25–108. [Google Scholar] [CrossRef]
- Seffernick, J.L.; Johnson, G.; Sadowsky, M.J.; Wackett, L.P. Substrate specificity of atrazine chlorohydrolase and atrazine-catabolizing bacteria. Appl. Environ. Microbiol. 2000, 66, 4247–4252. [Google Scholar] [CrossRef] [PubMed][Green Version]
- Kumari, R.; Singh, A.; Yadav, A.N. (Eds.) Fungal Enzymes: Degradation and Detoxification of Organic and Inorganic Pollutants; Springer: Cham, Switzerland, 2021. [Google Scholar]
- Banerjee, S.; Gupta, N.; Pramanik, K.; Gope, M.; GhoshThakur, R.; Karmakar, A.; Gogoi, N.; Hoque, R.R.; Mandal, N.C.; Balachandran, S. Microbes and microbial strategies in carcinogenic polycyclic aromatic hydrocarbons remediation: A systematic review. Environ. Sci. Pollut. Res. Int. 2024, 31, 1811–1840. [Google Scholar] [CrossRef] [PubMed]
- Yuan, G.; Chen, Y.; Wang, Y.; Zhang, H.; Wang, H.; Jiang, M.; Zhang, X.; Gong, Y.; Yuan, S. Responses of Protozoan Communities to Multiple Environmental Stresses (Warming, Eutrophication, and Pesticide Pollution). Animals 2024, 14, 1293. [Google Scholar] [CrossRef]
- Sawulski, P.; Clipson, N.; Doyle, E. Effects of polycyclic aromatic hydrocarbons on microbial community structure and PAH ring hydroxylating dioxygenase gene abundance in soil. Biodegradation 2014, 25, 835–847. [Google Scholar] [CrossRef] [PubMed]
- Rodríguez, A.; Zárate, S.G.; Bastida, A. Identification of New Dioxygenases Able to Recognize Polycyclic Aromatic Hydrocarbons with High Aromaticity. Catalysts 2022, 12, 279. [Google Scholar] [CrossRef]
- Grabner, D.; Rothe, L.E.; Sures, B. Parasites and Pollutants: Effects of Multiple Stressors on Aquatic Organisms. Environ. Toxicol. Chem. 2023, 42, 1946–1959. [Google Scholar] [CrossRef] [PubMed]
- Coyte, K.Z.; Stevenson, C.; Knight, C.G.; Harrison, E.; Hall, J.P.J.; Brockhurst, M.A. Horizontal gene transfer and ecological interactions jointly control microbiome stability. PLoS Biol. 2022, 20, e3001847. [Google Scholar] [CrossRef]
- Giari, L.; Castaldelli, G.; Timi, J.T. Ecology and effects of metazoan parasites of fish in transitional waters. Parasitology 2022, 149, 1829–1841. [Google Scholar] [CrossRef]
- Ogwu, M.C.; Izah, S.C.; Imarhiagbe, O.; Lori, T.; Aliu, O.O. (Eds.) Effects of Air Pollutants on Biodiversity; Springer: Cham, Switzerland, 2024; Volume 134. [Google Scholar]
- Sakshi; Haritash, A.K. A comprehensive review of metabolic and genomic aspects of PAH-degradation. Arch. Microbiol. 2020, 202, 2033–2058. [Google Scholar] [CrossRef]
- Regar, R.K.; Gaur, V.K.; Bajaj, A.; Tambat, S.; Manickam, N. Comparative microbiome analysis of two different long-term pesticide contaminated soils revealed the anthropogenic influence on functional potential of microbial communities. Sci. Total Environ. 2019, 681, 413–423. [Google Scholar] [CrossRef] [PubMed]











| Site | Sediment Read Counts | Water Read Counts |
|---|---|---|
| KKL | 20,476,097.33 | 34,616,707.33 |
| MEC | 30,385,105.33 | 33,736,439.67 |
| MEF | 31,737,857.00 | 21,904,403.33 |
| MET | 41,576,421.67 | 32,134,992.33 |
| MIE | 18,537,225.33 | 28,940,417.67 |
| MIM | 22,971,062.33 | 25,820,810.67 |
| MIP | 22,941,852.00 | 28,089,634.00 |
| UCJ | 35,277,928.33 | 25,489,005.00 |
| OTUTAXAID | Kingdom | Class of Chemical Pollutants | Chemical | Class | Pid | Enzyme | Pathway_Name | Enzyme_ID | Orthology |
|---|---|---|---|---|---|---|---|---|---|
| OTU57611 | Archaea | Antioxidants | Bisphenol degradation | Metabolism of xenobiotics | map00363 | Antioxidant reductase | Bisphenol degradation | Catechol 2,3-dioxygenase (EC 1.13.11.2) | K00537 [34] |
| OTU57611 | Archaea | Antimicrobial disinfectants | Bisphenol degradation | Metabolism of xenobiotics | map00363 | Bisphenol dioxygenase | Bisphenol degradation | Nicotine dehydrogenase | K00536 [35] |
| OTU57611 | Archaea | Flavors and fragrances | Indole diterpene alkaloid biosynthesis | Biosynthesis of secondary metabolites | map00403 | Indole biosynthase | Indole diterpene alkaloid biosynthesis | Laccase | K05033 [36] |
| OTU57611 | Archaea | PAHs | Polycyclic aromatic hydrocarbon degradation | Xenobiotics biodegradation | map00624 | PAH oxygenase | Polycyclic aromatic hydrocarbon degradation | Naphthalene dioxygenase (EC 1.14.12.12) | K14579 [35] |
| OTU57611 | Archaea | Herbicides | Atrazine degradation | Biodegradation of herbicides | map00791 | Atrazine hydrolase | Atrazine degradation | Atrazine chlorohydrolase | K14580 [34] |
| OTU57611 | Archaea | Insecticides | Atrazine degradation | Biodegradation of herbicides | map00791 | Atrazine hydrolase | Atrazine degradation | Isoquinoline dioxygenase | K14581 [36] |
| OTU57611 | Archaea | Solvents | Isoquinoline alkaloid biosynthesis | Alkaloid biosynthesis | map00950 | Quinoline oxidase | Isoquinoline alkaloid biosynthesis | Cholesterol oxidase (EC 1.1.3.6) | K00536 [35] |
| OTU57611 | Archaea | Sterols | Cholesterol metabolism | Lipid metabolism | map04979 | Cholesterol demethylase | Cholesterol metabolism | Nicotine dehydrogenase | K00537 [34] |
| OTU57611 | Archaea | Nonprescription drugs | Nicotine addiction | Drug addiction pathways | map05033 | Monoamine oxidase | Nicotine addiction | Catechol 2,3-dioxygenase (EC 1.13.11.2) | K05033 [36] |
| OTU65079 | Bacteria | Antimicrobial disinfectants | Bisphenol degradation | Metabolism of xenobiotics | map00363 | Bisphenol oxidase | Bisphenol degradation | Catechol 2,3-dioxygenase (EC 1.13.11.2) | K14579 [35] |
| OTU65079 | Bacteria | Antioxidants | Bisphenol degradation | Metabolism of xenobiotics | map00363 | Peroxidase | Bisphenol degradation | Laccase | K14580 [34] |
| OTU65079 | Bacteria | Flavors and fragrances | Indole diterpene alkaloid biosynthesis | Biosynthesis of secondary metabolites | map00403 | Indole alkaloid synthase | Indole diterpene alkaloid biosynthesis | Naphthalene dioxygenase (EC 1.14.12.12) | K14581 [36] |
| OTU65079 | Bacteria | PAHs | Polycyclic aromatic hydrocarbon degradation | Xenobiotics biodegradation | map00624 | PAH dioxygenase | Polycyclic aromatic hydrocarbon degradation | Atrazine chlorohydrolase | K00536 [35] |
| OTU65079 | Bacteria | Insecticides | Atrazine degradation | Biodegradation of herbicides | map00791 | Atrazine dechlorinase | Atrazine degradation | Cholesterol oxidase (EC 1.1.3.6) | K05033 [34] |
| OTU65079 | Bacteria | Herbicides | Atrazine degradation | Biodegradation of herbicides | map00791 | Atrazine chlorohydrolase | Atrazine degradation | Isoquinoline dioxygenase | K00537 [36] |
| OTU65079 | Bacteria | Solvents | Isoquinoline alkaloid biosynthesis | Alkaloid biosynthesis | map00950 | Monooxygenase | Isoquinoline alkaloid biosynthesis | Nicotine dehydrogenase | K14579 [35] |
| OTU65079 | Bacteria | Sterols | Cholesterol metabolism | Lipid metabolism | map04979 | Cholesterol oxidase | Cholesterol metabolism | Catechol 2,3-dioxygenase (EC 1.13.11.2) | K14580 [34] |
| OTU65079 | Bacteria | Nonprescription drugs | Nicotine addiction | Drug addiction pathways | map05033 | Monoamine oxidase | Nicotine addiction | Laccase | K14581 [36] |
| OTU39239 | Fungi | Antioxidants | Bisphenol degradation | Metabolism of xenobiotics | map00363 | Peroxidase | Bisphenol degradation | Isoquinoline dioxygenase | K00537 [35] |
| OTU39239 | Fungi | Antimicrobial disinfectants | Bisphenol degradation | Metabolism of xenobiotics | map00363 | Laccase | Bisphenol degradation | Atrazine chlorohydrolase | K00536 [34] |
| OTU39239 | Fungi | Flavors and fragrances | Indole diterpene alkaloid biosynthesis | Biosynthesis of secondary metabolites | map00403 | Dioxygenase | Indole diterpene alkaloid biosynthesis | Cholesterol oxidase (EC 1.1.3.6) | K05033 [36] |
| OTU39239 | Fungi | PAHs | Polycyclic aromatic hydrocarbon degradation | Xenobiotics biodegradation | map00624 | PAH hydroxylase | Polycyclic aromatic hydrocarbon degradation | Nicotine dehydrogenase | K14579 [35] |
| OTU39239 | Fungi | Insecticides | Atrazine degradation | Biodegradation of herbicides | map00791 | Atrazine dechlorinase | Atrazine degradation | Laccase | K14581 [34] |
| OTU39239 | Fungi | Herbicides | Atrazine degradation | Biodegradation of herbicides | map00791 | Atrazine chlorohydrolase | Atrazine degradation | Catechol 2,3-dioxygenase (EC 1.13.11.2) | K14580 [36] |
| OTU39239 | Fungi | Solvents | Isoquinoline alkaloid biosynthesis | Alkaloid biosynthesis | map00950 | Monooxygenase | Isoquinoline alkaloid biosynthesis | Naphthalene dioxygenase (EC 1.14.12.12) | K00536 [35] |
| OTU39239 | Fungi | Sterols | Cholesterol metabolism | Lipid metabolism | map04979 | Cholesterol oxidase | Cholesterol metabolism | Atrazine chlorohydrolase | K00537 [34] |
| OTU39239 | Fungi | Nonprescription drugs | Nicotine addiction | Drug addiction pathways | map05033 | Monoamine oxidase | Nicotine addiction | Isoquinoline dioxygenase | K05033 [36] |
| OTU4082 | Metazoa | Antimicrobial disinfectants | Bisphenol degradation | Metabolism of xenobiotics | map00363 | Cytochrome P450 | Bisphenol degradation | Naphthalene dioxygenase (EC 1.14.12.12) | K00536 [35] |
| OTU4082 | Metazoa | Antioxidants | Bisphenol degradation | Metabolism of xenobiotics | map00363 | Glutathione S-transferase | Bisphenol degradation | Atrazine chlorohydrolase | K00537 [34] |
| OTU4082 | Metazoa | Flavors and fragrances | Indole diterpene alkaloid biosynthesis | Biosynthesis of secondary metabolites | map00403 | Alkaloid demethylase | Indole diterpene alkaloid biosynthesis | Isoquinoline dioxygenase | K05033 [36] |
| OTU4082 | Metazoa | PAHs | Polycyclic aromatic hydrocarbon degradation | Xenobiotics biodegradation | map00624 | Aryl hydrocarbon hydroxylase | Polycyclic aromatic hydrocarbon degradation | Cholesterol oxidase (EC 1.1.3.6) | K14579 [35] |
| OTU4082 | Metazoa | Herbicides | Atrazine degradation | Biodegradation of herbicides | map00791 | Dehalogenase | Atrazine degradation | Nicotine dehydrogenase | K14580 [34] |
| OTU4082 | Metazoa | Insecticides | Atrazine degradation | Biodegradation of herbicides | map00791 | Dehalogenase | Atrazine degradation | Catechol 2,3-dioxygenase (EC 1.13.11.2) | K14581 [36] |
| OTU4082 | Metazoa | Solvents | Isoquinoline alkaloid biosynthesis | Alkaloid biosynthesis | map00950 | Aldehyde oxidase | Isoquinoline alkaloid biosynthesis | Laccase | K00536 [35] |
| OTU4082 | Metazoa | Sterols | Cholesterol metabolism | Lipid metabolism | map04979 | Cholesterol 7-alpha-hydroxylase | Cholesterol metabolism | Naphthalene dioxygenase (EC 1.14.12.12) | K00537 [34] |
| OTU4082 | Metazoa | Nonprescription drugs | Nicotine addiction | Drug addiction pathways | map05033 | MAO (Monoamine oxidase) | Nicotine addiction | Atrazine chlorohydrolase | K05033 [36] |
| OTU1565 | Protozoa | Antioxidants | Bisphenol degradation | Metabolism of xenobiotics | map00363 | Antioxidant reductase | Bisphenol degradation | Naphthalene dioxygenase (EC 1.14.12.12) | K14580 [35] |
| OTU1565 | Protozoa | Antimicrobial disinfectants | Bisphenol degradation | Metabolism of xenobiotics | map00363 | Oxidase | Bisphenol degradation | Laccase | K14579 [34] |
| OTU1565 | Protozoa | Flavors and fragrances | Indole diterpene alkaloid biosynthesis | Biosynthesis of secondary metabolites | map00403 | Indole synthase | Indole diterpene alkaloid biosynthesis | Atrazine chlorohydrolase | K14581 [36] |
| OTU1565 | Protozoa | PAHs | Polycyclic aromatic hydrocarbon degradation | Xenobiotics biodegradation | map00624 | Dioxygenase | Polycyclic aromatic hydrocarbon degradation | Isoquinoline dioxygenase | K00536 [35] |
| OTU1565 | Protozoa | Insecticides | Atrazine degradation | Biodegradation of herbicides | map00791 | Dehalogenase | Atrazine degradation | Nicotine dehydrogenase | K05033 [34] |
| OTU1565 | Protozoa | Herbicides | Atrazine degradation | Biodegradation of herbicides | map00791 | Hydrolase | Atrazine degradation | Cholesterol oxidase (EC 1.1.3.6) | K00537 [36] |
| OTU1565 | Protozoa | Solvents | Isoquinoline alkaloid biosynthesis | Alkaloid biosynthesis | map00950 | Monooxygenase | Isoquinoline alkaloid biosynthesis | Catechol 2,3-dioxygenase (EC 1.13.11.2) | K14579 [35] |
| OTU1565 | Protozoa | Sterols | Cholesterol metabolism | Lipid metabolism | map04979 | Oxidase | Cholesterol metabolism | Laccase | K14580 [34] |
| OTU1565 | Protozoa | Nonprescription drugs | Nicotine addiction | Drug addiction pathways | map05033 | Amine oxidase | Nicotine addiction | Naphthalene dioxygenase (EC 1.14.12.12) | K14581 [36] |
| OTU2161 | Viruses | Antimicrobial disinfectants | Bisphenol degradation | Metabolism of xenobiotics | map00363 | (Host-derived enzymes) | Bisphenol degradation | Isoquinoline dioxygenase | K14579 [35] |
| OTU2161 | Viruses | Antioxidants | Bisphenol degradation | Metabolism of xenobiotics | map00363 | (Host-derived enzymes) | Bisphenol degradation | Cholesterol oxidase (EC 1.1.3.6) | K14580 [34] |
| OTU2161 | Viruses | Flavors and fragrances | Indole diterpene alkaloid biosynthesis | Biosynthesis of secondary metabolites | map00403 | (Host-derived enzymes) | Indole diterpene alkaloid biosynthesis | Nicotine dehydrogenase | K14581 [36] |
| OTU2161 | Viruses | PAHs | Polycyclic aromatic hydrocarbon degradation | Xenobiotics biodegradation | map00624 | (Host-derived enzymes) | Polycyclic aromatic hydrocarbon degradation | Catechol 2,3-dioxygenase (EC 1.13.11.2) | K00536 [35] |
| OTU2161 | Viruses | Herbicides | Atrazine degradation | Biodegradation of herbicides | map00791 | (Host-derived enzymes) | Atrazine degradation | Laccase | K00537 [34] |
| OTU2161 | Viruses | Insecticides | Atrazine degradation | Biodegradation of herbicides | map00791 | (Host-derived enzymes) | Atrazine degradation | Naphthalene dioxygenase (EC 1.14.12.12) | K05033 [36] |
| OTU2161 | Viruses | Solvents | Isoquinoline alkaloid biosynthesis | Alkaloid biosynthesis | map00950 | (Host-derived enzymes) | Isoquinoline alkaloid biosynthesis | Atrazine chlorohydrolase | K14579 [35] |
| OTU2161 | Viruses | Sterols | Cholesterol metabolism | Lipid metabolism | map04979 | (Host-derived enzymes) | Cholesterol metabolism | Isoquinoline dioxygenase | K14580 [34] |
| OTU2161 | Viruses | Nonprescription drugs | Nicotine addiction | Drug addiction pathways | map05033 | (Host-derived enzymes) | Nicotine addiction | Cholesterol oxidase (EC 1.1.3.6) | K14581 [36] |
| Kingdom | Class of Chemical Pollutant | Enzyme Detected | Resistance Mechanism | Orthology ID | Pathway |
|---|---|---|---|---|---|
| Archaea | Antimicrobial Disinfectants | Bisphenol dioxygenase | Xenobiotic metabolism and detoxification | K00536 | Bisphenol degradation [35] |
| Archaea | PAHs | PAH oxygenase | PAH degradation and detoxification | K14579 | Polycyclic aromatic hydrocarbon degradation [35] |
| Bacteria | Herbicides | Atrazine chlorohydrolase | Herbicide degradation | K14580 | Atrazine degradation [34] |
| Bacteria | Sterols | Cholesterol oxidase | Cholesterol metabolism and detoxification | K14580 | Cholesterol metabolism [34] |
| Fungi | Antioxidants | Peroxidase | Oxidative stress resistance | K00537 | Bisphenol degradation [34] |
| Fungi | Insecticides | Atrazine dechlorinase | Xenobiotic metabolism | K14581 | Atrazine degradation [36] |
| Protozoa | PAHs | Dioxygenase | Aromatic hydrocarbon degradation | K00536 | Polycyclic aromatic hydrocarbon degradation [35] |
| Viruses | Solvents | Host-derived enzymes | Isoquinoline alkaloid biosynthesis via hosts | K14579 | Isoquinoline alkaloid biosynthesis [35] |
Disclaimer/Publisher’s Note: The statements, opinions and data contained in all publications are solely those of the individual author(s) and contributor(s) and not of MDPI and/or the editor(s). MDPI and/or the editor(s) disclaim responsibility for any injury to people or property resulting from any ideas, methods, instructions or products referred to in the content. |
© 2025 by the authors. Licensee MDPI, Basel, Switzerland. This article is an open access article distributed under the terms and conditions of the Creative Commons Attribution (CC BY) license (https://creativecommons.org/licenses/by/4.0/).
Share and Cite
Muhie, S.; Gautam, A.; Mylroie, J.; Sowe, B.; Campbell, R.; Perkins, E.J.; Hammamieh, R.; Garcia-Reyero, N. Effects of Environmental Chemical Pollutants on Microbiome Diversity: Insights from Shotgun Metagenomics. Toxics 2025, 13, 142. https://doi.org/10.3390/toxics13020142
Muhie S, Gautam A, Mylroie J, Sowe B, Campbell R, Perkins EJ, Hammamieh R, Garcia-Reyero N. Effects of Environmental Chemical Pollutants on Microbiome Diversity: Insights from Shotgun Metagenomics. Toxics. 2025; 13(2):142. https://doi.org/10.3390/toxics13020142
Chicago/Turabian StyleMuhie, Seid, Aarti Gautam, John Mylroie, Bintu Sowe, Ross Campbell, Edward J. Perkins, Rasha Hammamieh, and Natàlia Garcia-Reyero. 2025. "Effects of Environmental Chemical Pollutants on Microbiome Diversity: Insights from Shotgun Metagenomics" Toxics 13, no. 2: 142. https://doi.org/10.3390/toxics13020142
APA StyleMuhie, S., Gautam, A., Mylroie, J., Sowe, B., Campbell, R., Perkins, E. J., Hammamieh, R., & Garcia-Reyero, N. (2025). Effects of Environmental Chemical Pollutants on Microbiome Diversity: Insights from Shotgun Metagenomics. Toxics, 13(2), 142. https://doi.org/10.3390/toxics13020142

