Association between Exposure to Volatile Organic Compounds and the Prevalence of Sleep Problems in US Adults
Abstract
1. Introduction
2. Materials and Methods
2.1. Study Data
2.2. Exposure Ascertainment
2.3. Outcome Ascertainment
2.4. Covariates
2.5. Statistical Analysis
3. Results
3.1. General Characteristics of the Included Population
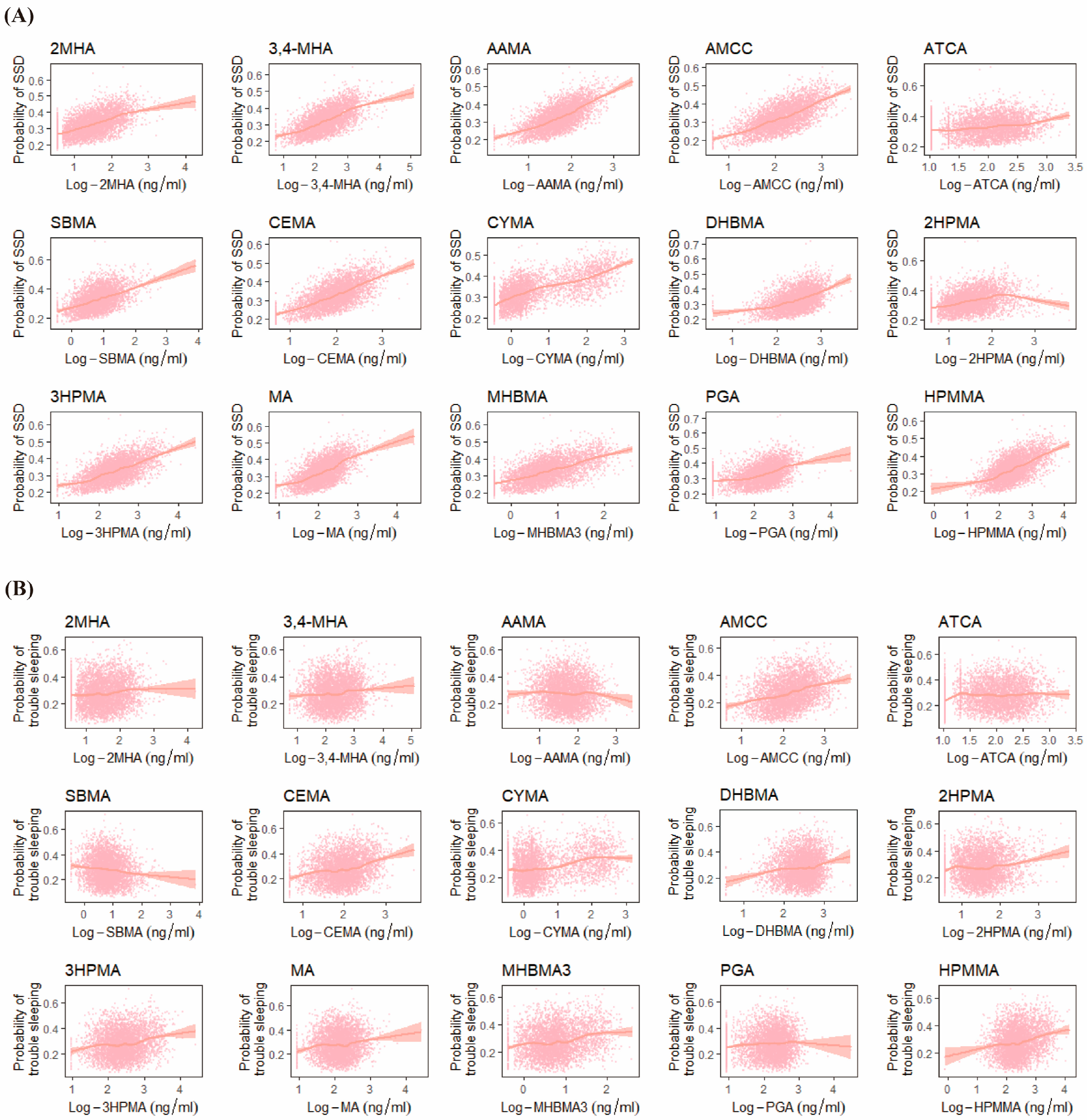
3.2. Association between Each Kind of VOC and Sleep Problems
3.3. Association between Co-Exposure to VOCs and Sleep Problems
4. Discussion
5. Conclusions
Supplementary Materials
Author Contributions
Funding
Institutional Review Board Statement
Informed Consent Statement
Data Availability Statement
Acknowledgments
Conflicts of Interest
References
- Lancet, T. Waking up to the importance of sleep. Lancet 2022, 400, 973. [Google Scholar] [CrossRef] [PubMed]
- Ramar, K.; Malhotra, R.K.; Carden, K.A.; Martin, J.L.; Abbasi-Feinberg, F.; Aurora, R.N.; Kapur, V.K.; Olson, E.J.; Rosen, C.L.; Rowley, J.A.; et al. Sleep is essential to health: An American Academy of Sleep Medicine position statement. Sleep Med. 2021, 17, 2115–2119. [Google Scholar] [CrossRef]
- Koyanagi, A.; Stickley, A. The association between sleep problems and psychotic symptoms in the general popula-tion: A global perspective. Sleep 2015, 38, 1875–1885. [Google Scholar] [CrossRef] [PubMed]
- Adams, R.J.; Appleton, S.L.; Taylor, A.W.; Gill, T.K.; Lang, C.; McEvoy, R.D.; Antic, N.A. Sleep health of Australian adults in 2016: Results of the 2016 Sleep Health Foundation national survey. Sleep Health 2017, 3, 35–42. [Google Scholar] [CrossRef] [PubMed]
- Wang, S.; Rossheim, M.E.; Nandy, R.R. Trends in prevalence of short sleep duration and trouble sleeping among US adults, 2005–2018. Sleep 2022, 46, zsac231. [Google Scholar] [CrossRef] [PubMed]
- Johnson, K.A.; Gordon, C.J.; Chapman, J.L.; Hoyos, C.M.; Marshall, N.S.; Miller, C.B.; Grunstein, R.R. The association of insomnia disorder characterised by objective short sleep duration with hypertension, diabetes and body mass index: A systematic review and meta-analysis. Sleep Med. Rev. 2021, 59, 101456. [Google Scholar] [CrossRef] [PubMed]
- Crouse, J.J.; Carpenter, J.S.; Song, Y.J.C.; Hockey, S.J.; Naismith, S.L.; Grunstein, R.R.; Scott, E.M.; Merikangas, K.R.; Scott, J.; Hickie, I.B. Circadian rhythm sleep–wake disturbances and depression in young people: Implications for prevention and early intervention. Lancet Psychiatry 2021, 8, 813–823. [Google Scholar] [CrossRef]
- Goldstein, C.A.; Smith, Y.R. Sleep, Circadian Rhythms, and Fertility. Curr. Sleep Med. Rep. 2016, 2, 206–217. [Google Scholar] [CrossRef]
- Chokroverty, S. Overview of sleep & sleep disorders. Indian J. Med. Res. 2010, 131, 126–140. [Google Scholar]
- Tang, M.; Li, D.; Liew, Z.; Wei, F.; Wang, J.; Jin, M.; Chen, K.; Ritz, B. The association of short-term effects of air pollution and sleep disorders among elderly residents in China. Sci. Total. Environ. 2020, 708, 134846. [Google Scholar] [CrossRef]
- Sears, C.G.; Braun, J.M. Urinary phthalate metabolite concentrations and adolescent sleep duration. Environ. Epidemiol. 2021, 5, e134. [Google Scholar] [CrossRef] [PubMed]
- Han, L.; Wang, Q. Association between organophosphorus insecticides exposure and the prevalence of sleep problems in the US adults: An analysis based on the NHANES 2007–2018. Ecotoxicol. Environ. Saf. 2023, 255, 114803. [Google Scholar] [CrossRef] [PubMed]
- Li, J.; Hao, Y.; Tian, D.; He, S.; Sun, X.; Yang, H. Relationship between cumulative exposure to pesticides and sleep disorders among greenhouse vegetable farmers. BMC Public Health 2019, 19, 373. [Google Scholar] [CrossRef]
- Ramos, J.; Belo, J.; Silva, D.; Diogo, C.; Almeida, S.M.; Canha, N. Influence of indoor air quality on sleep quality of university students in Lisbon. Atmos. Pollut. Res. 2022, 13, 101301. [Google Scholar] [CrossRef]
- Canha, N.; Alves, A.C.; Marta, C.S.; Lage, J.; Belo, J.; Faria, T.; Verde, S.C.; Viegas, C.; Alves, C.; Almeida, S.M. Compliance of indoor air quality during sleep with legislation and guidelines—A case study of Lisbon dwellings. Environ. Pollut. 2020, 264, 114619. [Google Scholar] [CrossRef] [PubMed]
- He, Z.; Wang, X.; Ling, Z.; Zhao, J.; Guo, H.; Shao, M.; Wang, Z. Contributions of different anthropogenic volatile organic compound sources to ozone formation at a receptor site in the Pearl River Delta region and its policy implications. Atmos. Chem. Phys. 2019, 19, 8801–8816. [Google Scholar] [CrossRef]
- Li, C.; He, L.; Yao, X.; Yao, Z. Recent advances in the chemical oxidation of gaseous volatile organic compounds (VOCs) in liquid phase. Chemosphere 2022, 295, 133868. [Google Scholar] [CrossRef]
- Nurmatov, U.B.; Tagiyeva, N.; Semple, S.; Devereux, G.; Sheikh, A. Volatile organic compounds and risk of asthma and allergy: A systematic review. Eur. Respir. Rev. 2015, 24, 92–101. [Google Scholar] [CrossRef]
- Liu, N.; Bu, Z.; Liu, W.; Kan, H.; Zhao, Z.; Deng, F.; Huang, C.; Zhao, B.; Zeng, X.; Sun, Y.; et al. Health effects of exposure to indoor volatile organic compounds from 1980 to 2017: A systematic review and meta-analysis. Indoor Air 2022, 32, e13038. [Google Scholar] [CrossRef]
- Zhuang, Y.; Zhang, X.; Sun, X.; Liu, Z.; Yu, Q.; Dong, C.; Guan, Q.; Xu, Q. Association of environmental volatile organic compounds with depression in adults: NHANES 2013–2018. Hyg. Environ. Health Adv. 2023, 6, 100058. [Google Scholar] [CrossRef]
- Armenta-Reséndiz, M.; Ríos-Leal, E.; Rivera-García, M.T.; López-Rubalcava, C.; Cruz, S.L. Structure-activity study of acute neurobehavioral effects of cyclohexane, benzene, m-xylene, and toluene in rats. Toxicol. Appl. Pharmacol. 2019, 376, 38–45. [Google Scholar] [CrossRef] [PubMed]
- Werder, E.J.; Engel, L.S.; Blair, A.; Kwok, R.K.; McGrath, J.A.; Sandler, D.P. Blood BTEX levels and neurologic symptoms in Gulf states residents. Environ. Res. 2019, 175, 100–107. [Google Scholar] [CrossRef] [PubMed]
- Lei, T.; Qian, H.; Yang, J.; Hu, Y. The association analysis between exposure to volatile organic chemicals and obesity in the general USA population: A cross-sectional study from NHANES program. Chemosphere 2023, 315, 137738. [Google Scholar] [CrossRef] [PubMed]
- Cunningham, T.J.; Ford, E.S.; Chapman, D.P.; Liu, Y.; Croft, J.B. Independent and joint associations of race/ethnicity and educational attainment with sleep-related symptoms in a population-based US sample. Prev. Med. 2015, 77, 99–105. [Google Scholar] [CrossRef] [PubMed]
- Wang, X.; Mukherjee, B.; Park, S.K. Associations of cumulative exposure to heavy metal mixtures with obesity and its comorbidities among U.S. adults in NHANES 2003–2014. Environ. Int. 2018, 121, 683–694. [Google Scholar] [CrossRef] [PubMed]
- Guo, X.; Li, N.; Wang, H.; Su, W.; Song, Q.; Liang, Q.; Liang, M.; Sun, C.; Li, Y.; Lowe, S.; et al. Combined exposure to multiple metals on cardiovascular disease in NHANES under five statistical models. Environ. Res. 2022, 215, 114435. [Google Scholar] [CrossRef] [PubMed]
- Keil, A.P.; Buckley, J.P.; O’brien, K.M.; Ferguson, K.K.; Zhao, S.; White, A.J. A quantile-based g-computation approach to addressing the effects of exposure mixtures. Environ. Health Perspect. 2020, 128, 47004. [Google Scholar] [CrossRef]
- Chuang, H.-C.; Su, T.-Y.; Chuang, K.-J.; Hsiao, T.-C.; Lin, H.-L.; Hsu, Y.-T.; Pan, C.-H.; Lee, K.-Y.; Ho, S.-C.; Lai, C.-H. Pulmonary exposure to metal fume particulate matter cause sleep dis-turbances in shipyard welders. Environ. Pollut. 2018, 232, 523–532. [Google Scholar] [CrossRef]
- Wei, F.; Nie, G.; Zhou, B.; Wang, L.; Ma, Y.; Peng, S.; Ou, S.; Qin, J.; Zhang, L.; Li, S.; et al. Association between Chinese cooking oil fumes and sleep quality among a middle-aged Chinese population. Environ. Pollut. 2017, 227, 543–551. [Google Scholar] [CrossRef]
- Castañeda, J.L.; Kheirandish-Gozal, L.; Gozal, D.; Accinelli, R.A. The Pampa Cangallo Instituto de Investigaciones de la Altura Research Group Effect of reductions in biomass fuel exposure on symptoms of sleep apnea in children living in the peruvian andes: A preliminary field study. Pediatr. Pulmonol. 2013, 48, 996–999. [Google Scholar] [CrossRef]
- Liu, J.; Ghastine, L.; Um, P.; Rovit, E.; Wu, T. Environmental exposures and sleep outcomes: A review of evidence, potential mechanisms, and implications. Environ. Res. 2020, 196, 110406. [Google Scholar] [CrossRef] [PubMed]
- Billings, M.E.; Gold, D.; Szpiro, A.; Aaron, C.P.; Jorgensen, N.; Gassett, A.; Leary, P.J.; Kaufman, J.D.; Redline, S.R. The association of ambient air pollution with sleep apnea: The multi-ethnic study of atherosclerosis. Ann. Am. Thorac. Soc. 2019, 16, 363–370. [Google Scholar] [CrossRef] [PubMed]
- Brockmeyer, S.; D’angiulli, A. How air pollution alters brain development: The role of neuroinflammation. Transl. Neurosci. 2016, 7, 24–30. [Google Scholar] [CrossRef] [PubMed]
- Ruiz-García, L.; Figueroa-Vega, N.; Malacara, J.M.; Barrón-Vivanco, B.; Salamon, F.; Carrieri, M.; Jiménez-Garza, O. Possible role of n-hexane as an endocrine disruptor in occu-pationally exposed women at reproductive age. Toxicol. Lett. 2020, 330, 73–79. [Google Scholar] [CrossRef] [PubMed]
- Morgan, D.; Tsai, S.C. Sleep and the Endocrine System. Sleep Med. Clin. 2016, 11, 115–126. [Google Scholar] [CrossRef] [PubMed]
- Beydoun, H.A.; Beydoun, M.A.; Jeng, H.A.; Zonderman, A.B.; Eid, S.M. Bisphenol-A and Sleep Adequacy among Adults in the National Health and Nutrition Examination Surveys. Sleep 2016, 39, 467–476. [Google Scholar] [CrossRef] [PubMed]
- Jia, X.; Dong, T.; Han, Y.; Yue, Z.; Zhang, P.; Ren, J.; Wang, Y.; Wu, W.; Yang, H.; Guo, H.; et al. Identifying the dose response relationship between seminal metal at low levels and semen quality using restricted cubic spline function. Chemosphere 2022, 295, 133805. [Google Scholar] [CrossRef] [PubMed]
- Carrico, C.; Gennings, C.; Wheeler, D.C.; Factor-Litvak, P. Characterization of weighted quantile sum regression for highly correlated data in a risk analysis setting. J. Agric. Biol. Environ. Stat. 2015, 20, 100–120. [Google Scholar] [CrossRef]
- Kim, T.H.; Kim, S.G. Clinical outcomes of occupational exposure to n,n-dimethylformamide: Perspectives from experimental toxicology. Saf. Health Work. 2011, 2, 97–104. [Google Scholar] [CrossRef]
- Li, A.J.; Pal, V.K.; Kannan, K. A review of environmental occurrence, toxicity, biotransformation and biomonitoring of volatile organic compounds. Environ. Chem. Ecotoxicol. 2021, 3, 91–116. [Google Scholar] [CrossRef]
- Faroon, O.; Roney, N.; Taylor, J.; Ashizawa, A.; Lumpkin, M.H.; Plewak, D.J. Acrolein health effects. Toxicol. Ind. Health 2008, 24, 447–490. [Google Scholar] [CrossRef]
- Semla, M.; Goc, Z.; Martiniaková, M.; Omelka, R.; Formicki, G. Acrylamide: A common food toxin related to physiological functions and health. Physiol. Res. 2017, 66, 205–217. [Google Scholar] [CrossRef]
- Gospe, S.M. CHAPTER 36—Other Organic Chemicals. In Clinical Neurotoxicology; Dobbs, M.R., Ed.; W.B. Saunders: Philadelphia, PA, USA, 2009. [Google Scholar]
- Blount, B.C.; Kobelski, R.J.; McElprang, D.O.; Ashley, D.L.; Morrow, J.C.; Chambers, D.M.; Cardinali, F.L. Quantification of 31 volatile organic compounds in whole blood using solid-phase microextraction and gas chromatography–mass spectrometry. J. Chromatogr. B 2006, 832, 292–301. [Google Scholar] [CrossRef]
- Boyle, E.B.; Viet, S.M.; Wright, D.J.; Merrill, L.S.; Alwis, K.U.; Blount, B.C.; Mortensen, M.E.; Moye, J., Jr.; Dellarco, M. Assessment of Exposure to VOCs among Pregnant Women in the National Children’s Study. Int. J. Environ. Res. Public Health 2016, 13, 376. [Google Scholar] [CrossRef]



| VOC Metabolites | Abbreviation |
|---|---|
| 2-methylhippuric acid | 2MHA |
| 3- and 4-methylhippuric acid | 3,4-MHA |
| N-acetyl-S-(2-carbamoylethyl)-L-cysteine | AAMA |
| N-acetyl-S-(N-methylcarbamoyl)-L-cysteine | AMCC |
| 2-aminothiazoline-4-carboxylic acid | ATCA |
| N-acetyl-S-(benzyl)-L-cysteine | SBMA |
| N-acetyl-S-(2-carboxyethyl)-L-cysteine | CEMA |
| N-acetyl-S-(2-cyanoethyl)-L-cysteine | CYMA |
| N-acetyl-S-(3,4-dihydroxybutyl)-L-cysteine | DHBMA |
| N-acetyl-S-(2-hydroxypropyl)-L-cysteine | 2HPMA |
| N-acetyl-S-(3-hydroxypropyl)-L-cysteine | 3HPMA |
| Mandelic acid | MA |
| N-acetyl-S-(4-hydroxy-2-butenyl)-L-cysteine | MHBMA3 |
| Phenylglyoxylic acid | PGA |
| N-acetyl-S-(3-hydroxypropyl-1-methyl)-L-cysteine | HPMMA |
| Baseline Data | Non-SSD (n = 2722) | SSD (n = 1409) | p Value | Non-Trouble Sleeping (n = 3097) | Trouble Sleeping (n = 1034) | p Value |
|---|---|---|---|---|---|---|
| Age (year, SD) | 47.10 (0.63) | 47.93 (0.56) | 0.219 | 46.20 (0.58) | 51.47 (0.67) | <0.001 †,** |
| BMI (kg/m2, SD) | 28.63 (0.24) | 28.16 (0.16) | 0.062 | 28.02 (0.16) | 29.06 (0.22) | <0.001 †,** |
| PIR (SD) | 2.97 (0.07) | 3.18 (0.06) | 0.014 * | 3.10 (0.05) | 3.14 (0.07) | 0.595 † |
| Serum cotinine (ng/mL, SD) | 73.39 (5.61) | 52.49 (3.26) | 0.001 ** | 56.15 (3.56) | 66.79 (5.76) | 0.129 ‡ |
| Creatinine (μg/mL, SD) | 118.26 (2.52) | 109.36 (2.04) | 0.006 ** | 113.94 (2.09) | 107.62 (3.01) | 0.108 ‡ |
| Gender | ||||||
| Male | 1349 (49.56) | 776 (55.07) | <0.001 ** | 1639 (52.92) | 486 (47.00) | 0.016 * |
| Female | 1373 (50.44) | 633 (44.93) | 1458 (47.08) | 548 (53.00) | ||
| Race | ||||||
| Mexican American | 470 (17.27) | 212 (15.05) | <0.001 ** | 571 (18.44) | 111 (10.74) | <0.001 ** |
| Other Hispanic | 194 (7.13) | 111 (7.88) | 234 (7.56) | 71 (6.87) | ||
| Non-Hispanic white | 1269 (46.62) | 534 (37.90) | 1256 (40.56) | 547 (52.90) | ||
| Non-Hispanic black | 466 (17.12) | 419 (29.74) | 675 (21.80) | 210 (20.31) | ||
| Other | 323 (11.87) | 133 (9.44) | 361 (11.66) | 95 (9.19) | ||
| Educational level | ||||||
| Less than 9th grade | 284 (10.43) | 114 (8.09) | <0.001 ** | 327 (10.56) | 71 (6.87) | 0.105 |
| 9–11th grade | 331 (12.16) | 209 (14.83) | 415 (13.40) | 125 (12.09) | ||
| High school graduate | 613 (22.52) | 324 (23.00) | 691 (22.31) | 246 (23.79) | ||
| Some college or AA degree | 738 (27.11) | 453 (32.15) | 839 (27.09) | 352 (34.04) | ||
| College graduate or above | 756 (27.77) | 309 (21.93) | 825 (26.64) | 240 (23.21) | ||
| Marital status | ||||||
| Married | 1530 (56.21) | 687 (48.76) | 0.098 | 1684 (119.52) | 533 (37.83) | <0.001 ** |
| Widowed | 184 (6.76) | 90 (6.39) | 197 (13.98) | 77 9 (5.46) | ||
| Divorced | 264 (9.70) | 185 (13.13) | 289 (20.51) | 160 (11.36) | ||
| Separated | 65 (2.39) | 50 (3.55) | 75 (5.32) | 40 (2.84) | ||
| Never married | 448 (16.46) | 263 (18.67) | 568 (40.31) | 143 (10.15) | ||
| Living with partner | 231 (8.49) | 134 (9.51) | 284 (20.16) | 81 (5.75) | ||
| Body activity | ||||||
| None | 1004 (36.88) | 517 (36.69) | 0.785 | 1179 (38.07) | 342 (33.08) | 0.016 * |
| Moderate | 836 (30.71) | 422 (29.95) | 924 (29.84) | 334 (32.30) | ||
| Vigorous | 882 (32.40) | 470 (33.36) | 994 (32.10) | 358 (34.62) | ||
| Drinking alcohol | ||||||
| Yes | 2043 | 1048 | 0.664 | 2264 | 827 | <0.001 ** |
| No | 679 | 361 | 833 | 207 | ||
| VOCs (ng/mL) | Non-SSD (n = 2722) | SSD (n = 1409) | p Value | Non-Trouble Sleeping (n = 3097) | Trouble Sleeping (n = 1034) | p Value |
|---|---|---|---|---|---|---|
| 2MHA | 27.80 (12.60, 72.40) | 35.6 (16.5, 88.5) | <0.001 ** | 28.9 (13.2, 73.8) | 33.7 (13.3, 83.6) | 0.289 |
| 3,4-MHA | 180.0 (77.2, 488.0) | 242.0 (104.0, 592.0) | <0.001 ** | 202.0 (81.7, 504.0) | 207.0 (89.3, 547.0) | 0.369 |
| AAMA | 47.2 (24.7, 93.1) | 58.0 (29.2, 120.0) | <0.001 ** | 49.9 (25.7, 99.6) | 53.2 (27.2, 102.0) | 0.407 |
| AMCC | 139.0 (66.9, 294.0) | 174.0 (88.2, 371.0) | 0.061 | 139.0 (67.8, 297.0) | 185.0 (87.8, 363.0) | <0.001 ** |
| ATCA | 90.3 (36.6, 193.0) | 104.0 (42.4, 201.0) | 0.128 | 94.2 (36.4, 197.0) | 99.8 (44.7, 193.0) | 0.300 |
| SBMA | 5.8 (2.9, 11.3) | 6.7 (3.5, 12.4) | 0.002 ** | 6.1 (3.2, 11.9) | 5.9 (3.0, 11.1) | 0.273 |
| CEMA | 86.9 (41.2, 163.0) | 106.0 (51.6, 199.0) | <0.001 ** | 88.9 (41.6, 168.0) | 98.9 (49.0, 190.0) | 0.049 * |
| CYMA | 1.8 (0.9, 5.9) | 1.9 (1.2, 25.5) | <0.001 ** | 1.8 (0.9, 5.7) | 1.8 (1.0, 22.8) | 0.006 ** |
| DHBMA | 281.0 (152.0, 477.0) | 325.0 (178.0, 518.0) | <0.001 ** | 293.0 (154.0, 491.0) | 301.0 (174.0, 493.0) | 0.329 |
| 2HPMA | 29.7 (14.6, 61.3) | 34.7 (17.4, 67.2) | 0.016 | 31.0 (15.4, 62.0) | 33.4 (15.6, 63.4) | 0.465 |
| 3HPMA | 223.0 (108.0, 451.0) | 254.0 (130.0, 581.0) | <0.001 ** | 234.0 (112.0, 465.0) | 235.0 (116.0, 562.0) | 0.133 |
| MA | 127.0 (68.2, 222.0) | 150.0 (78.1, 263.0) | <0.001 ** | 132.0 (70.7, 233.0) | 133.0 (72.8, 241.0) | 0.313 |
| MHBMA3 | 4.77 (2.33, 10.60) | 5.7 (2.8, 14.3) | <0.001 ** | 4.8 (2.4, 10.6) | 5.5 (2.7, 13.7) | 0.018 * |
| PGA | 174.0 (78.9, 317.0) | 201.0 (97.1, 355.0) | <0.001 ** | 178.0 (81.5, 331.0) | 187.0 (95.2, 326.0) | 0.547 |
| HPMMA | 216.0 (108.0, 443.0) | 247.0 (132.0, 523.0) | <0.001 ** | 219.0 (113.0, 446.0) | 260.0 (126.0, 516.0) | 0.035 * |
| VOCs | Model 1 | Model 2 | |||
|---|---|---|---|---|---|
| OR (95% CI) | p Value | OR (95% CI) | p Value | ||
| SSD | 2MHA | 1.39 (1.17, 1.64) | <0.001 ** | 1.17 (0.95, 1.45) | 0.136 |
| 3,4-MHA | 1.44 (1.24, 1.68) | <0.001 ** | 1.27 (1.03, 1.57) | 0.027 * | |
| AAMA | 1.63 (1.33, 2.01) | <0.001 ** | 1.44 (1.04, 1.98) | 0.026 * | |
| AMCC | 1.58 (1.29, 1.93) | <0.001 ** | 1.47 (1.08, 2.02) | 0.016 * | |
| ATCA | 1.14 (0.98, 1.33) | 0.083 | 1.12 (0.95, 1.33) | 0.177 | |
| SBMA | 1.37 (1.13, 1.66) | 0.001 ** | 1.30 (1.02, 1.64) | 0.032 * | |
| CEMA | 1.56 (1.29, 1.89) | <0.001 ** | 1.30 (0.97, 1.74) | 0.081 | |
| CYMA | 1.25 (1.13, 1.38) | <0.001 ** | 1.13 (0.97, 1.32) | 0.118 | |
| DHBMA | 1.52 (1.21, 1.91) | <0.001 ** | 1.17 (0.76, 1.80) | 0.471 | |
| 2HPMA | 1.22 (1.01, 1.48) | 0.037 * | 0.99 (0.77, 1.27) | 0.951 | |
| 3HPMA | 1.45 (1.21, 1.73) | <0.001 ** | 1.14 (0.89, 1.46) | 0.283 | |
| MA | 1.61 (1.30, 1.99) | <0.001 ** | 1.38 (1.91, 1.00) | 0.048 * | |
| MHBMA3 | 1.39 (1.18, 1.63) | <0.001 ** | 1.11 (0.88, 1.41) | 0.379 | |
| PGA | 1.32 (1.12, 1.55) | 0.001 * | 1.08 (0.89, 1.31) | 0.458 | |
| HPMMA | 1.46 (1.24, 1.72) | <0.001 ** | 1.19 (0.94, 1.50) | 0.158 | |
| Trouble sleeping | 2MHA | 1.11 (0.90, 1.37) | 0.323 | 1.21 (0.95, 1.55) | 0.124 |
| 3,4-MHA | 1.11 (0.91, 1.35) | 0.296 | 1.22 (0.96, 1.54) | 0.100 | |
| AAMA | 1.11 (0.86, 1.42) | 0.434 | 1.49 (1.06, 2.11) | 0.022 * | |
| AMCC | 1.45 (1.17, 1.80) | <0.001 ** | 1.69 (1.28, 2.220 | <0.001 ** | |
| ATCA | 1.14 (0.94, 1.39) | 0.175 | 1.12 (0.90, 1.39) | 0.317 | |
| SBMA | 0.86 (0.70, 1.08) | 0.191 | 0.83 (0.65, 1.05) | 0.119 | |
| CEMA | 1.28 (1.01, 1.63) | 0.039 | 1.51 (1.14, 1.98) | 0.004 ** | |
| CYMA | 1.19 (1.05, 1.34) | 0.005 ** | 1.33 (1.16, 1.54) | <0.001 ** | |
| DHBMA | 1.17 (0.87, 1.55) | 0.298 | 1.66 (1.07, 2.59) | 0.025 * | |
| 2HPMA | 1.19 (0.96, 1.48) | 0.120 | 1.44 (1.14, 1.82) | 0.002 ** | |
| 3HPMA | 1.15 (0.89, 1.49) | 0.271 | 1.56 (1.13, 2.16) | 0.007 ** | |
| MA | 1.23 (1.02, 1.49) | 0.032 * | 1.44 (1.16, 1.79) | 0.001 ** | |
| MHBMA3 | 1.07 (0.88, 1.30) | 0.478 | 1.09 (0.88, 1.36) | 0.518 | |
| PGA | 1.25 (1.01, 1.55) | 0.042 * | 1.41 (1.11, 1.78) | 0.005 ** | |
| HPMMA | 1.25 (1.01, 1.55) | 0.042 * | 1.41 (1.11, 1.78) | 0.583 | |
Disclaimer/Publisher’s Note: The statements, opinions and data contained in all publications are solely those of the individual author(s) and contributor(s) and not of MDPI and/or the editor(s). MDPI and/or the editor(s) disclaim responsibility for any injury to people or property resulting from any ideas, methods, instructions or products referred to in the content. |
© 2024 by the authors. Licensee MDPI, Basel, Switzerland. This article is an open access article distributed under the terms and conditions of the Creative Commons Attribution (CC BY) license (https://creativecommons.org/licenses/by/4.0/).
Share and Cite
Sun, J.; Gui, C.; Xiao, Y.; Ma, R.; Liu, C.; He, L.; Zhao, H.; Luo, B. Association between Exposure to Volatile Organic Compounds and the Prevalence of Sleep Problems in US Adults. Toxics 2024, 12, 222. https://doi.org/10.3390/toxics12030222
Sun J, Gui C, Xiao Y, Ma R, Liu C, He L, Zhao H, Luo B. Association between Exposure to Volatile Organic Compounds and the Prevalence of Sleep Problems in US Adults. Toxics. 2024; 12(3):222. https://doi.org/10.3390/toxics12030222
Chicago/Turabian StyleSun, Jianyun, Chunyan Gui, Ya Xiao, Runxue Ma, Ce Liu, Li He, Hao Zhao, and Bin Luo. 2024. "Association between Exposure to Volatile Organic Compounds and the Prevalence of Sleep Problems in US Adults" Toxics 12, no. 3: 222. https://doi.org/10.3390/toxics12030222
APA StyleSun, J., Gui, C., Xiao, Y., Ma, R., Liu, C., He, L., Zhao, H., & Luo, B. (2024). Association between Exposure to Volatile Organic Compounds and the Prevalence of Sleep Problems in US Adults. Toxics, 12(3), 222. https://doi.org/10.3390/toxics12030222

