Biofilm and Rivers: The Natural Association to Reduce Metals in Waters
Abstract
1. Introduction
2. Materials and Methods
2.1. Study Area
2.2. Biofilm Collection and Samples Preparation
2.3. Diatoms Identification
2.4. Community Taxonomic Composition
2.5. Quantification of Carotenoids and Chlorophylls in Biofilm
2.6. Quantification of Metals and Macroions in Biofilm
2.7. Determination of Hg in Biofilm
3. Results
3.1. Biofilm Characterization
3.1.1. Diatoms Identification
3.1.2. Biofilm Taxonomic Identification of Non-Diatom Algal Community
3.2. Quantification of Carotenoids and Chlorophyll in the Biofilm
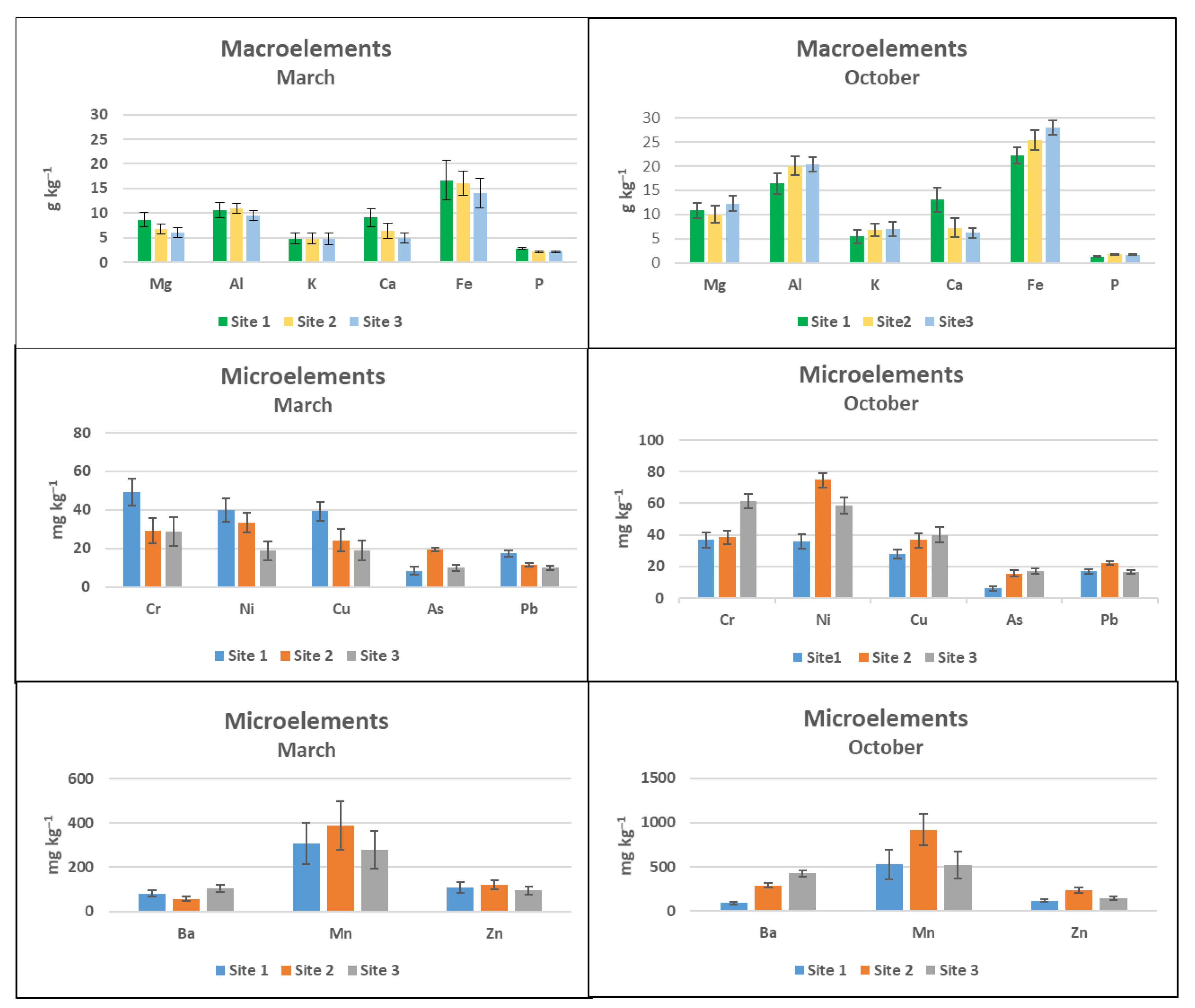
3.3. Quantification of Metals and Macroions in the Biofilm
3.3.1. ICP-MS Quantification in Biofilm Samples
3.3.2. Hg in the Biofilm
4. Discussion
5. Conclusions
Supplementary Materials
Author Contributions
Funding
Institutional Review Board Statement
Informed Consent Statement
Data Availability Statement
Conflicts of Interest
References
- Battin, T.J.; Besemer, K.; Bengtsson, M.M.; Romani, A.M.; Packmann, A.I. The ecology and biogeochemistry of stream biofilms. Nat. Rev. Microbiol. 2016, 14, 251–263. [Google Scholar] [CrossRef]
- Calapez, A.R.; Elias, C.L.; Alves, A.; Almeida, S.F.P.; Brito, A.G.; Feio, M.J. Shifts in biofilms composition induced by flow stagnation, sewage contamination and grazing. Ecol. Indic. 2020, 111, 106006. [Google Scholar] [CrossRef]
- Tlili, A.; Corcoll, N.; Arrhenius, A.; Backhaus, T.; Hollender, J.; Creusot, N.; Wagner, B.; Behra, R. Tolerance patterns in stream biofilms link complex chemical pollution to ecological impacts. Environ. Sci. Technol. 2020, 54, 10735–10743. [Google Scholar] [CrossRef] [PubMed]
- Flemming, H.C.; Wingender, J.; Szewzyk, U.; Steinberg, P.; Rice, S.A.; Kjelleberg, S. Biofilms: An emergent form of bacterial life. Nat. Rev. Microbiol. 2016, 14, 563–575. [Google Scholar] [CrossRef]
- Bohórquez, J.; McGenity, T.J.; Papaspyrou, S.; García-Robledo, E.; Corzo, A.; Underwood, G.J. Different Types of Diatom-Derived Extracellular Polymeric Substances Drive Changes in Heterotrophic Bacterial Communities from Intertidal Sediments. Front Microbiol. 2017, 8, 245. [Google Scholar] [CrossRef]
- Zhang, Y.; Qv, Z.; Wang, J.; Yang, Y.; Chen, X.; Wang, J.; Zhang, Y.; Zhu, L. Natural biofilm as a potential integrative sample for evaluating the contamination and impacts of PFAS on aquatic ecosystems. Water Res. 2022, 215, 118233. [Google Scholar] [CrossRef] [PubMed]
- Harris, A.; Xanthos, S.J.; Galiotos, J.K.; Douvris, C. Investigation of the metal content of sediments around the historically polluted Potomac River basin in Washington D.C., United States by inductively coupled plasma-optical emission spectroscopy (ICP-OES). Microchem. J. 2018, 142, 140–143. [Google Scholar] [CrossRef]
- Reymond, D.J.; Sudalaimuthu, K. Geospatial visualization and seasonal variation of heavy metals in river sediments. Global J. Environ. Sci. Manage. 2023, 9, 309–322. [Google Scholar] [CrossRef]
- Sulistyowati, L.; Nurhasanah, N.; Riani, E.; Cordova, M.R. Heavy metals concentration in the sediment of the aquatic environment caused by the leachate discharge from a landfill. Global J. Environ. Sci. Manage. 2023, 9, 323–336. [Google Scholar] [CrossRef]
- Ju, Y.-R.; Chen, C.-F.; Lim, Y.C.; Tsai, C.Y.; Chen, C.-W.; Dong, C.-D. Developing ecological risk assessment of metals released from sediment based on sediment quality guidelines linking with the properties: A case study for Kaohsiung Harbor. Sci. Total Environ. 2022, 852, 158407. [Google Scholar] [CrossRef]
- Kohušová, K.; Havel, L.; Vlasák, P.; Tonika, J. A long-term survey of heavy metals and specific organic compounds in biofilms, sediments, and surface water in a heavily affected river in the Czech Republic. Environ. Monit. Assess. 2011, 174, 555–572. [Google Scholar] [CrossRef]
- Ancion, P.-Y.; Lear, G.; Dopheide, A.; Lewis, G.D. Metal concentrations in stream biofilm and sediments and their potential to explain biofilm microbial community structure. Environ. Pollut. 2013, 173, 117–124. [Google Scholar] [CrossRef]
- Yang, L.; Yang, Q.; Lin, L.; Luan, T.; Tam, N.F.Y. Characterization of benthic biofilms in mangrove sediments and their variation in response to nutrients and contaminants. Sci. Total Environ. 2023, 857, 159391. [Google Scholar] [CrossRef] [PubMed]
- Marziali, L.; Rosignoli, F.; Drago, A.; Pascariello, S.; Valsecchi, L.; Rossaro, B.; Guzzella, L.; Marziali, L.; Rosignoli, F.; Drago, A. Toxicity risk assessment of mercury, DDT and arsenic legacy pollution in sediments: A triad approach under low concentration conditions. Sci. Total Environ. 2017, 593, 809–821. [Google Scholar] [CrossRef] [PubMed]
- Marziali, L.; Valsecchi, L. Mercury Bioavailability in Fluvial Sediments Estimated Using Chironomus riparius and Diffusive Gradients in Thin-Films (DGT). Environments 2021, 8, 7. [Google Scholar] [CrossRef]
- Guzzella, L.M.; Novati, S.; Casatta, N.; Roscioli, C.G.; Valsecchi, L.; Binelli, A.; Parolini, M.; Solcà, N.; Bettinetti, R.; Manca, M.; et al. Spatial and temporal trends of target organic and inorganic micropollutants in Lake Maggiore and Lake Lugano (Italian-Swiss water bodies): Contamination in sediments and biota. Hydrobiologia 2018, 824, 271–290. [Google Scholar] [CrossRef]
- Fantozzi, L.; Guerrieri, N.; Manca, G.; Orrù, A.; Marziali, L. An Integrated Investigation of Atmospheric Gaseous Elemental Mercury Transport and Dispersion around a Chlor-Alkali Plant in the Ossola Valley (Italian Central Alps). Toxics 2021, 9, 172. [Google Scholar] [CrossRef]
- Regione Piemonte. Piano di tutela delle acque. Aggiornamento 2021; Bilancio idrico regionale delle acque superficiali, allegato 3A. Available online: https://www.regione.piemonte.it/web/temi/ambiente-territorio/ambiente/acqua/piano-tutela-delle-acque-aggiornamento-2021 (accessed on 6 September 2022).
- ICP Waters Programme Center. ICP Waters Programme Manual 2010. Report No.6074-2010-ICP Waters (Report 105/2010). Norsk Institutt for Vannforskning: Oslo, Norway, 2010; pp. 1–92. Available online: https://www.icp-waters.no/publications/ (accessed on 12 September 2022).
- Battarbee, R.W.; Jones, V.J.; Flower, R.J.; Cameron, N.G.; Bennion, H.; Carvalho, L.; Juggins, S. Diatoms. In Tracking Environmental Change Using Lake Sediments; Smol, J., Birks, H.J., Last, W., Eds.; Kluwer Academic Publishers: Dordrecht, The Netherlands, 2001; Volume 3, Terrestrial, Algal, and Siliceous Indicators; pp. 155–202. [Google Scholar] [CrossRef]
- Krammer, K.; Lange-Bertalot, H. Süßwasserflora von Mitteleuropa. In Bacillariophyceae; Ettl, H., Gerloff, J., Heynig, H., Mollenhauer, D., Eds.; Gustav Fischer Verlag: Stuttgart, Germany, 1986–2004; Volume 2/1: Naviculaceae, Volume 2/2: Bacillariaceae, Epithemiaceae, Surirellaceae, Volume 2/3: Centrales, Fragilariaceae, Eunotiaceae, Volume 2/4: Achnanthaceae; pp. 468–576–596–876. [Google Scholar]
- Lange-Bertalot, H. Diatoms of Europe; Volume 2: Navicula sensu stricto, 10 Genera Separated from Navicula sensu stricto, Frustulia; Lange-Bertalot, H., Ed.; Gantner Verlag: Ruggell, Germany, 2001; pp. 1–526. [Google Scholar]
- Krammer, K. Diatoms of Europe; Volume 1: The Genus Pinnularia; Lange-Bertalot, H., Ed.; Gantner Verlag: Ruggell, Germany, 2000; pp. 1–703. [Google Scholar]
- Krammer, K. Diatoms of Europe; Volume 3: Cymbella; Lange-Bertalot, H., Ed.; Gantner Verlag: Ruggell, Germany, 2002; pp. 1–584. [Google Scholar]
- Krammer, K. Diatoms of Europe; Volume 4: Cymbopleura, Delicata, Navicymbula, Gomphocymbellopsis, Afrocymbella Supplements to cymbelloid taxa; Lange-Bertalot, H., Ed.; Gantner Verlag: Ruggell, Germany, 2003; pp. 1–530. [Google Scholar]
- Lange-Bertalot, H.; Witkowski, A.; Bąk, M. Diatoms of Europe; Volume 6: Eunotia and some related genera; Lange-Bertalot, H., Ed.; Gantner Verlag: Ruggell, Germany, 2011; pp. 1–747. [Google Scholar]
- Cantonati, M.; Kelly, M.G.; Lange-Bertalot, H. Freshwater Benthic Diatoms of Central Europe: Over 800 Common Species Used in Ecological Assessment; Koeltz Botanical Book: Oberreifenberg, Germany, 2017; pp. 1–942. [Google Scholar]
- Potapova, M.G.; Hamilton, P.B. Morphological and ecological variation within the Achnanthidium minutissimum (Bacillariophyceae) species complex. J. Phycol. 2007, 43, 561–575. [Google Scholar] [CrossRef]
- Shannon, C.E.; Weaver, W. The Mathematical Theory of Communication. University of Illinois Press: Urbana, IL, USA, 1949; pp. 1–125. [Google Scholar]
- Pielou, E.C. Ecological Diversity; John Wiley & Sons: New York, NY, USA, 1975; pp. 1–165. [Google Scholar]
- Mancini, L.; Sollazzo, C. Metodo per la valutazione dello stato ecologico delle acque correnti: Comunità diatomiche. Rapp. Istisan 2009, 9, 1–32. [Google Scholar]
- CEMAGREF. Etude des méthodes biologiques d’appréciation quantitative de la qualité des eaux; Rapport Division Qualité des Eaux Lyon — Agence de l’Eau Rhône — Méditerranée — Corse; CEMAGREF: Lyon, France, 1982; pp. 1–218. [Google Scholar]
- Rott, E.; Pfister, P.; van Dam, H.; Pipp, E.; Pall, K.; Binder, N.; Ortler, K. Indikationslisten für Aufwuchsalgen in Österre-ichischen Fliessgewässern; Teil 2: Trophieindikation und autökologische Anmerkungen Bundesministerium für Land und Forstwirtschaf; Wasser wirtschaft Kataster: Wien, Austria, 1999; p. 248. [Google Scholar]
- Utermöhl, H. Zur Vervollkommung der quantitative Phytoplankton Methodik. Mitt.—Int. Ver. Theor. Angew. Limnol. 1958, 9, 1–38. [Google Scholar]
- Lund, J.W.G.; Kipling, C.; Le Cren, E.D. The inverted microscope method of estimating algal numbers and the statistical basis of estimations by counting. Hydrobiologia 1958, 11, 143–170. [Google Scholar] [CrossRef]
- Steinman, A.D.; Lamberti, G.A.; Leavitt, P.R. Biomass and Pigments of Benthic Algae. In Methods in Stream Ecology, 2nd ed.; Hauer, F.R., Lamberti, G.A., Eds.; Accademic Press: San Diego, CA, USA, 2007; pp. 357–379. [Google Scholar] [CrossRef]
- Lami, A.; Guilizzoni, P.; Marchetto, A. High resolution analysis of fossil pigments, carbon, nitrogen and sulphur in the sediment of eight European Alpine Lakes: The Molar project. J. Limnol. 2000, 59, 25–28. [Google Scholar] [CrossRef]
- Bertazzini, A.; Sacchi, G.A.; Forlani, G. A differential tolerance to mild salt stress conditions among six Italian rice genotypes does not rely on Na+ exclusion from shoots. J. Plant Physiol. 2018, 226, 145–153. [Google Scholar] [CrossRef] [PubMed]
- U.S. EPA. “Method 7473 (SW-846): Mercury in Solids and Solutions by Thermal Decomposition, Amalgamation, and Atomic Absorption Spectrophotometry,” Revision 0. Washington, DC. 1998. Available online: https://www.epa.gov/sites/production/files/2015-07/documents/epa-7473.pdf (accessed on 1 December 2021).
- Hofmann, G.; Lange-Bertalot, H.; Werum, M.; Klee, R. Rote Liste und Gesamtartenliste der limnischen Kieselalgen (Bacillariophyta) Deutschlands. In Rote Liste gefährdeter Tiere, Pflanzen und Pilze Deutschlands, Band 7: Pflanzen; Metzing, D., Hofbauer, N., Ludwig, G., Matzke-Hajek, G., Eds.; Landwirtschaftsverlag: Münster, Germany, 2018; Naturschutz und Biologische Vielfalt 70 (7); pp. 601–708. [Google Scholar]
- Roy, S.; Llewellyn, C.A.; Egeland, E.S.; Johnsen, G. Phytoplankton Pigments: Characterization, Chemotaxonomy and Applications in Oceanography; Cambridge University Press: Cambridge, UK, 2011; pp. 1–890. [Google Scholar]
- Wolfstein, K.; Stal, L.J. Production of extracellular polymeric substances (EPS) by benthic diatoms: Effect of irradiance and temperature. Mar. Ecol. Prog. Ser. 2002, 236, 13–22. [Google Scholar] [CrossRef]
- Rossi, F.; De Philippis, R. Exocellular polysaccharides in microalgae and cyanobacteria: Chemical features, role and enzymes and genes involved in their biosynthesis. In The Physiology of Microalgae, Developments in Applied Phycology; Borowitzka, M.A., Beardall, J., Raven, J.A., Eds.; Springer International Publishing: Cham, Switzerland, 2016; Volume 6, pp. 565–590. [Google Scholar] [CrossRef]
- Mota, R.; Flores, C.; Tamagnini, P. Cyanobacterial Extracellular Polymeric Substances (EPS). In Polysaccharides of Microbial Origin; Oliveira, J.M., Radhouani, H., Reis, R.L., Eds.; Springer: Cham, Switzerland, 2021. [Google Scholar] [CrossRef]
- Amorosi, A. Chromium and nickel as indicators of source-to-sink sediment transfer in a Holocene alluvial and coastal system (Po Plain, Italy). Sediment. Geol. 2012, 280, 260–269. [Google Scholar] [CrossRef]
- Debroy, A.; George, N.; Mukherjee, G. Role of biofilms in the degradation of microplastics in aquatic environments. J. Chem. Technol. Biotechnol. 2022, 97, 3271–3282. [Google Scholar] [CrossRef]






| Site | Location | Longitude | Latitude |
|---|---|---|---|
| 1 | Villadossola | 08°16′59.04” E | 46°04′35.31” N |
| 2 | Bosco Tenso | 08°19′57.47” E | 45°59′38.59” N |
| 3 | Ornavasso | 08°25′05.18” E | 45°58′35.32” N |
| March | October | ||||||
|---|---|---|---|---|---|---|---|
| Index | Ref. * | Site 1 | Site 2 | Site 3 | Site 1 | Site 2 | Site 3 |
| IPS | 19.6 | 17.2 | 17.8 | 16.6 | 12.8 | 17.4 | 11.4 |
| TI | 1.2 | 1.8 | 1.5 | 1.8 | 2.48 | 1.8 | 2.83 |
| RQE_IPS | 0.8776 | 0.9082 | 0.8469 | 0.6531 | 0.8878 | 0.5816 | |
| RQE_TI | 0.7857 | 0.8929 | 0.7857 | 0.5429 | 0.7857 | 0.4179 | |
| ICMi | 0.8316 | 0.9005 | 0.8163 | 0.5980 | 0.8367 | 0.4997 | |
| Ecological Quality | high | High | high | moderate | high | poor | |
Publisher’s Note: MDPI stays neutral with regard to jurisdictional claims in published maps and institutional affiliations. |
© 2022 by the authors. Licensee MDPI, Basel, Switzerland. This article is an open access article distributed under the terms and conditions of the Creative Commons Attribution (CC BY) license (https://creativecommons.org/licenses/by/4.0/).
Share and Cite
Guerrieri, N.; Fantozzi, L.; Lami, A.; Musazzi, S.; Austoni, M.; Orrù, A.; Marziali, L.; Borgonovo, G.; Scaglioni, L. Biofilm and Rivers: The Natural Association to Reduce Metals in Waters. Toxics 2022, 10, 791. https://doi.org/10.3390/toxics10120791
Guerrieri N, Fantozzi L, Lami A, Musazzi S, Austoni M, Orrù A, Marziali L, Borgonovo G, Scaglioni L. Biofilm and Rivers: The Natural Association to Reduce Metals in Waters. Toxics. 2022; 10(12):791. https://doi.org/10.3390/toxics10120791
Chicago/Turabian StyleGuerrieri, Nicoletta, Laura Fantozzi, Andrea Lami, Simona Musazzi, Martina Austoni, Arianna Orrù, Laura Marziali, Gigliola Borgonovo, and Leonardo Scaglioni. 2022. "Biofilm and Rivers: The Natural Association to Reduce Metals in Waters" Toxics 10, no. 12: 791. https://doi.org/10.3390/toxics10120791
APA StyleGuerrieri, N., Fantozzi, L., Lami, A., Musazzi, S., Austoni, M., Orrù, A., Marziali, L., Borgonovo, G., & Scaglioni, L. (2022). Biofilm and Rivers: The Natural Association to Reduce Metals in Waters. Toxics, 10(12), 791. https://doi.org/10.3390/toxics10120791

