Previous Issue
Volume 15, February-2
 
 
foods-logo

Journal Browser

Journal Browser

Foods, Volume 15, Issue 5 (March-1 2026) – 9 articles

  • Issues are regarded as officially published after their release is announced to the table of contents alert mailing list.
  • You may sign up for e-mail alerts to receive table of contents of newly released issues.
  • PDF is the official format for papers published in both, html and pdf forms. To view the papers in pdf format, click on the "PDF Full-text" link, and use the free Adobe Reader to open them.
Order results
Result details
Section
Select all
Export citation of selected articles as:
26 pages, 5007 KB  
Article
Preliminary Investigation on Mandarin Peel Extraction and Development of Functionalized Chitosan-Guar Gum Edible Films Using Response Surface Methodology (RSM)
by Miriam Arianna Boninsegna, Slaven Jurić, Amalia Piscopo, Marko Vuković, Zaixiang Lou and Luna Maslov Bandic
Foods 2026, 15(5), 803; https://doi.org/10.3390/foods15050803 - 24 Feb 2026
Abstract
Every year worldwide, citrus processing generates large volumes of by-products, often wasted, although rich in bioactive compounds. In this study, mandarin peel (Citrus reticulata) was used as a source of functional compounds for the development of guar gum/chitosan functionalized edible films. [...] Read more.
Every year worldwide, citrus processing generates large volumes of by-products, often wasted, although rich in bioactive compounds. In this study, mandarin peel (Citrus reticulata) was used as a source of functional compounds for the development of guar gum/chitosan functionalized edible films. The response surface methodology was used for both bioactive extraction and edible film formulation. For extraction, the optimization focused on extraction time, solvent composition (acetone/water ratio), and solvent/solid ratio, while for edible film, the guar gum/chitosan ratio, glycerol content, and mandarin peel extract concentration were selected as critical formulation variables. The predictive models exhibited high statistical significance (p < 0.05), adequate predictive ability, and good consistency of predicted and experimental values. The extraction optimization allowed significant results in total polyphenols (329.59 mg GAE/g), flavonoids (42.6 mg QE/g), and total carotenoids (1.53 mg/g) associated with significant antioxidant activity. Mandarin peel bioactive compounds integrated into composite edible film resulted in excellent functional properties in terms of swelling index (65.83%), water absorption (65.48%), weight loss (41.91%) and visual appearance (L* 89.30). These findings support formulating chitosan–guar gum films with mandarin peel bioactives, advancing biopolymer-based approaches toward next-generation sustainable packaging. Full article
(This article belongs to the Special Issue Application and Safety of Edible Films and Coatings in Food Packaging)
Show Figures

Figure 1

20 pages, 2980 KB  
Article
Comparative Analysis of Flavor and Starch Physicochemical Properties in Different Varieties of Baked Sweet Potatoes
by Wen Li, Chunjie Zhang, Huijun Cui, Siguo Xiong, Hui Xie, Chenghui Liu, Chen Chen and Aili Jiang
Foods 2026, 15(5), 802; https://doi.org/10.3390/foods15050802 - 24 Feb 2026
Abstract
This study aimed to investigate the flavor quality and starch physicochemical properties of three orange-fleshed sweet potato varieties commonly cultivated in northeastern China. Fresh and baked samples were evaluated using sensory analysis, electronic nose and tongue, gas chromatography-mass spectrometry for volatile compound profiling, [...] Read more.
This study aimed to investigate the flavor quality and starch physicochemical properties of three orange-fleshed sweet potato varieties commonly cultivated in northeastern China. Fresh and baked samples were evaluated using sensory analysis, electronic nose and tongue, gas chromatography-mass spectrometry for volatile compound profiling, and chemical methods for starch characterization. Liankaoshu 1 exhibited the highest sensory score (88.6), reflecting superior taste and aroma. A total of 70 volatile organic compounds were identified, including β-damascenone, maltol, and β-ionone, as key contributors to baked flavor. Significant varietal differences were found in starch content, particle size, and crystalline structures, with Pushu 32 showing CA-type crystals, Yanshu 25 A-type, and Liankaoshu 1 B-type. Baking increased maltose and soluble sugar levels, which were strongly correlated with sensory attributes. Spearman correlation analysis revealed that sweetness and overall sensory scores were significantly and positively correlated with maltose, soluble sugar, and reducing sugar contents, as well as starch particle size parameters (p ≤ 0.05). These results indicate that starch structural characteristics and saccharification efficiency play critical roles in regulating flavor formation during baking, providing a theoretical basis for sweet potato breeding and processing optimization. Full article
(This article belongs to the Section Grain)
Show Figures

Figure 1

21 pages, 2141 KB  
Article
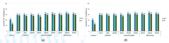
Analysis of the Use of Carrots, Cauliflower and Broccoli Waste Materials as a Matrix for Thiamine
by Krystyna Eleonora Szymandera-Buszka, Agata Jankowska and Paweł Juszczak
Foods 2026, 15(5), 801; https://doi.org/10.3390/foods15050801 - 24 Feb 2026
Abstract
The investigation aimed to use selected waste plant materials as thiamine matrices for fortification purposes. Thiamine hydrochloride (TCh) and thiamine pyrophosphate (TP) constituted the sources of thiamine. The waste vegetable variables (carrots (crowns, peel), cauliflower, and broccoli (stems, leaves)) were used as a [...] Read more.
The investigation aimed to use selected waste plant materials as thiamine matrices for fortification purposes. Thiamine hydrochloride (TCh) and thiamine pyrophosphate (TP) constituted the sources of thiamine. The waste vegetable variables (carrots (crowns, peel), cauliflower, and broccoli (stems, leaves)) were used as a matrix for the thiamine. The peeled carrots, without crowns, as well as the florets of cauliflower and broccoli, were also used as a matrix for thiamine, serving as a reference for the waste used. Fortification effectiveness was analysed based on thiamine content analysis in the product immediately after freeze-drying and after storage (230 days at 4, 21, and 40 °C). The results confirmed that after six months of storage, these products contained thiamine at 55 to 90% of the level found in samples immediately after drying. The results confirm the effectiveness of using analysed waste plant materials as matrices for thiamine. The highest effectiveness was confirmed for broccoli and cauliflower leaves. The analysis of the influence of all predictors on thiamine changes revealed that storage temperature significantly affected thiamine loss in all carriers. It was confirmed that the lower the storage temperature, the lower the dynamics of thiamine loss. It was also confirmed that TP had a lower thiamine retention. Full article
(This article belongs to the Special Issue Research Trends in Plant-Based Foods)
Show Figures

Figure 1

21 pages, 1035 KB  
Article
Neutral Electrolyzed Water as Sanitizer Solution in Fresh Foods: The Strawberry as a Study Model
by Juan Carlos Ramírez-Orejel, Patricia Ventura-Torres, Karen Arisbeth Alvarez-Cruz, Ketzalzin Vazquez-Hernández, Patricia Severiano-Pérez and José Alberto Cano-Buendía
Foods 2026, 15(5), 800; https://doi.org/10.3390/foods15050800 - 24 Feb 2026
Abstract
Strawberries are a very fresh product, but they pose food safety concerns. In the present work, the conservative effect of Neutral Electrolyzed Water (NEW) on strawberries was evaluated on contaminated berries with Salmonella Typhimurium ATCC 13311 and Escherichia coli O157:H7. In addition, the [...] Read more.
Strawberries are a very fresh product, but they pose food safety concerns. In the present work, the conservative effect of Neutral Electrolyzed Water (NEW) on strawberries was evaluated on contaminated berries with Salmonella Typhimurium ATCC 13311 and Escherichia coli O157:H7. In addition, the treated fruit underwent physicochemical analysis, evaluating color, pH, titrable acidity, reducing sugar, soluble solids, total phenolic compounds, and vitamin C content. The effects of NEW on strawberries were compared with those caused after treatment with NaClO and saline solutions; all evaluated solutions were applied by spraying. Subsequently, sensory analysis was performed to identify differences between treatments. NEW and NaClO showed similar in vitro bactericidal effects against E. coli, and for Salmonella Typhimurium, NEW and NaClO decreased their counts to 9.3 log CFU/mL and 5.16 log CFU/mL, respectively. When both solutions were sprayed on contaminated strawberries, S. Typhimurium counts were decreased to 1.9 log CFU/mL and 1.29 log CFU/mL with NEW and NaClO, respectively, and the E. coli counts were 2.12 log CFU/mL and 1.31 log CFU/mL, respectively. This work includes physicochemical properties of treated strawberries and a sensory study to identify how treatments affect fruit characteristics. The physicochemical properties of the treated strawberries were not affected statistically significantly. Sensory analysis revealed that although oxidizing sanitizers (NEW or NaClO) modified the overall sensory profile of strawberries, NEW-treated samples preserved key desirable attributes such as uniform appearance, fresh odor intensity, and characteristic strawberry flavor, without generating pronounced off-odors or unacceptable taste alterations. These results indicate that NEW is a promising postharvest sanitizing alternative capable of ensuring microbial safety while maintaining sensory quality relevant to consumer acceptance. Full article
(This article belongs to the Section Food Packaging and Preservation)
Show Figures

Figure 1

18 pages, 3259 KB  
Article
Turning-Modulated Vertical CO2 Gradients Drive Microbial Stratification and Amadori Product Accumulation in Winter Daqu
by Siying Yuan, Rongkun Tu, Bo Shan, Yahui Liu, Xiaofeng Jiang, Min Zheng, Le Yang, Haipo Liu, Ting Zhao, Ping Yang, Qixiao Zhai, Jian Mao, Shuangping Liu and Xiaogang Liu
Foods 2026, 15(5), 799; https://doi.org/10.3390/foods15050799 - 24 Feb 2026
Abstract
High-temperature Daqu (HTD)’s quality determines the characteristics and yield of the Chinese sauce-aroma baijiu. However, winter production frequently encounters challenges such as fermentation instability and metabolic fluctuations, primarily stemming from complex, unmonitored microenvironmental changes within the HTD pile. This study established a closed-loop [...] Read more.
High-temperature Daqu (HTD)’s quality determines the characteristics and yield of the Chinese sauce-aroma baijiu. However, winter production frequently encounters challenges such as fermentation instability and metabolic fluctuations, primarily stemming from complex, unmonitored microenvironmental changes within the HTD pile. This study established a closed-loop system linking the microenvironment, HTD quality, microbiome, and metabolome. Through continuous monitoring of the winter fermentation pile’s microenvironmental conditions and integrating multi-omics analyses, we revealed that CO2 concentration within fermentation piles is the core factor causing quality variations in HTD. By breaking the respiratory bottleneck formed by carbon dioxide (CO2) accumulation through the turning anaerobic stress can be alleviated, thereby driving metabolic succession. The study found that vertical CO2 concentration heterogeneity severely restricts the enrichment of aerobic core functional microbial communities such as the Bacillus species. This directly blocks key metabolic pathways including amino acid metabolism and energy supply via ABC transporters. Moreover, the specific accumulation of Amadori products further confirms that this low-temperature environment under CO2 stress causes the Maillard reaction to stall at intermediate stages. Consequently, this study proposes a steady-state control strategy centered on oxygen and CO2 gas characteristics. By actively regulating the gaseous microenvironment to eliminate metabolic heterogeneity, it provides theoretical support for standardizing traditional fermentation processes. Full article
(This article belongs to the Section Food Microbiology)
Show Figures

Graphical abstract

19 pages, 290 KB  
Review
Dynamic Modeling of Pesticide Residue Determination to Ensure Safe Food: A Review
by Shelim Mohammad Jahangir, Kaniz Fahima Rova, Md. Intesar Farhan Labib, M. A. A. Shoukat Choudhury and Mohammad Dalower Hossain Prodhan
Foods 2026, 15(5), 798; https://doi.org/10.3390/foods15050798 - 24 Feb 2026
Abstract
The modeling of pesticide phenomena aids researchers and policymakers in reaching complex agricultural decisions. A contemporary global concern among consumers revolves around the presence of pesticide residues in food, which possesses significant threats to human health and non-target organisms. Throughout all parts of [...] Read more.
The modeling of pesticide phenomena aids researchers and policymakers in reaching complex agricultural decisions. A contemporary global concern among consumers revolves around the presence of pesticide residues in food, which possesses significant threats to human health and non-target organisms. Throughout all parts of the world, pesticide concentration in food crops is determined by laboratory analysis. In a limited number of areas, predictions of pesticide concentration are performed by analytical or numerical modeling. In this study, a thorough review of pesticide models for predicting their concentrations is critically performed. Among the 53 papers examined in this study, 31 of them are based on a theoretical concept, four amalgamate empirical data with a theoretical background, ten of them are based on only experimental results, and lastly, eight are discussion articles describing observations from various field studies. Overall, more than 69% of the papers focus on direct pesticide–plant interactions which affect our food chain, while indirect effects on environmental components, especially surface water, also receive attention. To the best of our knowledge, among the limited reviews, this is the first to attempt to accumulate all such modeling information in one place, critically analyze all papers to identify their limitations and scopes, and finally provide future research directions in this area. Full article
(This article belongs to the Special Issue Advances in Food Toxin Analysis and Risk Assessment)
19 pages, 1152 KB  
Article
Integrating Phytochemical Bioactivity and Glycemic Risk to Evaluate Fruits for Type 2 Diabetes Management: A Korean Market Perspective
by Jyotsna S. Ranbhise, Manish Kumar Singh, Hyeong Rok Yun, Sunhee Han, Sung Soo Kim and Insug Kang
Foods 2026, 15(5), 797; https://doi.org/10.3390/foods15050797 - 24 Feb 2026
Abstract
Background: Dietary guidance for type 2 diabetes mellitus (T2DM) frequently discourages fruit consumption due to intrinsic sugars, despite extensive evidence supporting the anti-diabetic properties of fruit-derived polyphenols. This reductionist, carbohydrate-only model inadequately reflects the complex bioactive matrices of whole fruits. Objective: To develop [...] Read more.
Background: Dietary guidance for type 2 diabetes mellitus (T2DM) frequently discourages fruit consumption due to intrinsic sugars, despite extensive evidence supporting the anti-diabetic properties of fruit-derived polyphenols. This reductionist, carbohydrate-only model inadequately reflects the complex bioactive matrices of whole fruits. Objective: To develop an integrated analytical framework that quantitatively balances the predicted anti-diabetic bioactivity of fruit polyphenols against their glycemic burden, and to apply this model to fruits commonly consumed in the Korean market. Methods: Nutritional and phytochemical composition data for five fruits sourced from Korea and India were obtained from national food databases to ensure broader phytochemical diversity. Six representative polyphenols were selected based on abundance and reported significance. Molecular docking was conducted against α-glucosidase and peroxisome proliferator-activated receptor gamma (PPAR-γ) to estimate target-specific affinity, and a “Total Predicted Anti-Diabetic Score” (TPAS) was computed by weighting docking potency by compound concentration. A risk–benefit matrix integrating TPAS and sugar content was applied to classify fruits, followed by a cultivar-level comparison of major grape varieties. Results: Hesperidin exhibited the strongest predicted PPAR-γ binding (−9.3 kcal/mol). Among whole fruits, grapes and oranges showed the highest TPAS (593.19 and 448.77, respectively), placing them in the “redemptive choice” category (high benefit/high glycemic risk). Comparative cultivar analysis identified the Campbell Early grape as the most advantageous option, with a Holistic Value Score (HVS) of 9.5, notably higher than Shine Muscat (3.9). Conclusions: This study presents a structured, computation-driven framework capable of integrating phytochemical potency and nutritional risk into a unified metric for dietary evaluation. Despite higher sugar content, fruits rich in potent polyphenols may confer substantial metabolic benefit when consumed judiciously. These findings challenge sugar-centric dietary models and provide an evidence-based tool for consumer-level guidance in T2DM dietary management. Full article
(This article belongs to the Special Issue Innovative Functional Foods for Chronic Disease Prevention)
Show Figures

Figure 1

20 pages, 4386 KB  
Article
Time-Dependent Effects of Ultrasonic Modification of Soy Protein Concentrate on the Mixolab Rheology of Enriched Dough
by Nataša Šekuljica, Sonja Jakovetić Tanasković, Jelena Mijalković, Neda Pavlović, Steva Lević, Alina Culetu and Zorica Knežević-Jugović
Foods 2026, 15(5), 796; https://doi.org/10.3390/foods15050796 - 24 Feb 2026
Abstract
Soy protein concentrate (SPC) often has limited food applications due to the loss of its functional properties under harsh industrial processing. This study explored the effects of exposure time to high-intensity ultrasound (HUS) on the structural properties of SPC to assess the potential [...] Read more.
Soy protein concentrate (SPC) often has limited food applications due to the loss of its functional properties under harsh industrial processing. This study explored the effects of exposure time to high-intensity ultrasound (HUS) on the structural properties of SPC to assess the potential of a single protein for multiple bakery applications. HUS treatment modified SPC free sulfhydryl group content (4.81 ± 0.03 to 1.47 ± 0.01 µmol/gprotein) and hydrophobicity (34.17 ± 0.02 to 30.56 ± 0.03 µgBPB/mgprotein) and promoted the formation of soluble and insoluble aggregates, especially with longer exposure times, as evidenced by SDS-PAGE. According to Raman analysis, SPC exposed to 0.5 min HUS exhibited an α-helical content of 33.52 ± 1.58% and β-sheet content of 56.80 ± 4.40%, while the tyrosine doublet (I850/I830) ratio was associated with dough stability and indicated intermolecular hydrogen bonding within the dough matrix. Water absorption capacity was improved upon addition of HUS-exposed SPC samples, to 58.4 ± 0.71%, compared with 52.6 ± 0.85% of SPC-enriched dough. These changes accelerated dough development time and enhanced amylase activity, resulting in a dough with desirable viscosity. HUS-exposed samples with higher α-helix content and solubility, decreased water syneresis, and hydrophobic SPC formed stabile complexes with hydrophobic regions of the amylose chain, both leading to reduced starch retrogradation (1.551 ± 0.13 to 0.855 ± 0.04). Overall, this study showed that by controlling the HUS treatment time, protein structure can be tailored for its use in diverse bakery applications, further enhancing the commercial value of protein concentrates. Full article
Show Figures

Figure 1

5 pages, 198 KB  
Editorial
Recent Trends in Designing Novel Foods: Nutritional Profiles and Consumer Perceptions
by Raquel P. F. Guiné, Maria João Barroca and Ofélia Anjos
Foods 2026, 15(5), 795; https://doi.org/10.3390/foods15050795 - 24 Feb 2026
Abstract
Designing novel foods is a pivotal issue for companies to remain active and competitive in today’s demanding food market [...] Full article
Previous Issue
Back to TopTop