Development and Characterization of Craft Beers Prepared with the Use of Tamarind (Tamarindus indica L.) Pulp
Abstract
1. Introduction
2. Materials and Methods
2.1. Raw Materials
2.2. Chemicals
2.3. Extraction of Tamarind Pulp
2.4. Physicochemical Analyses of Tamarind Pulp
2.5. Beer Production
2.5.1. Test Formulation
2.5.2. Beer Formulations
2.6. Physicochemical Analysis and Characterization of Beer Samples
2.7. Identification and Quantification of Sugars and Phenolic Compounds of Beer by HPLC Systems
2.7.1. Sugars
2.7.2. Phenolic Compounds
2.8. Identification and Quantification of Volatile Compounds in Beer Samples
2.9. Sensory Evaluation of Beer Samples
2.9.1. Sensory Evaluation of the Test Formulation
2.9.2. Sensory Evaluation of the Beer Formulations
2.10. Statistical Analysis
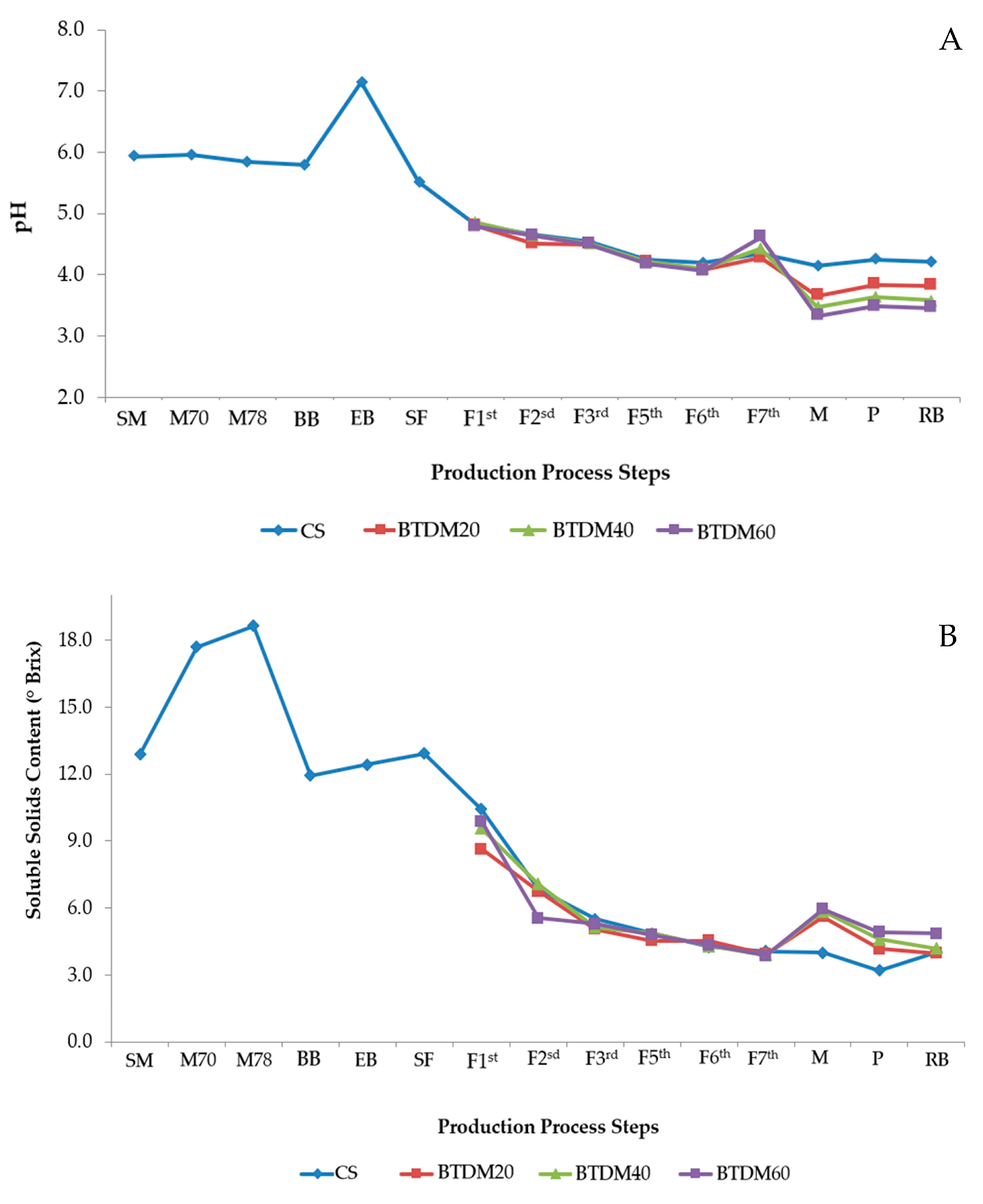
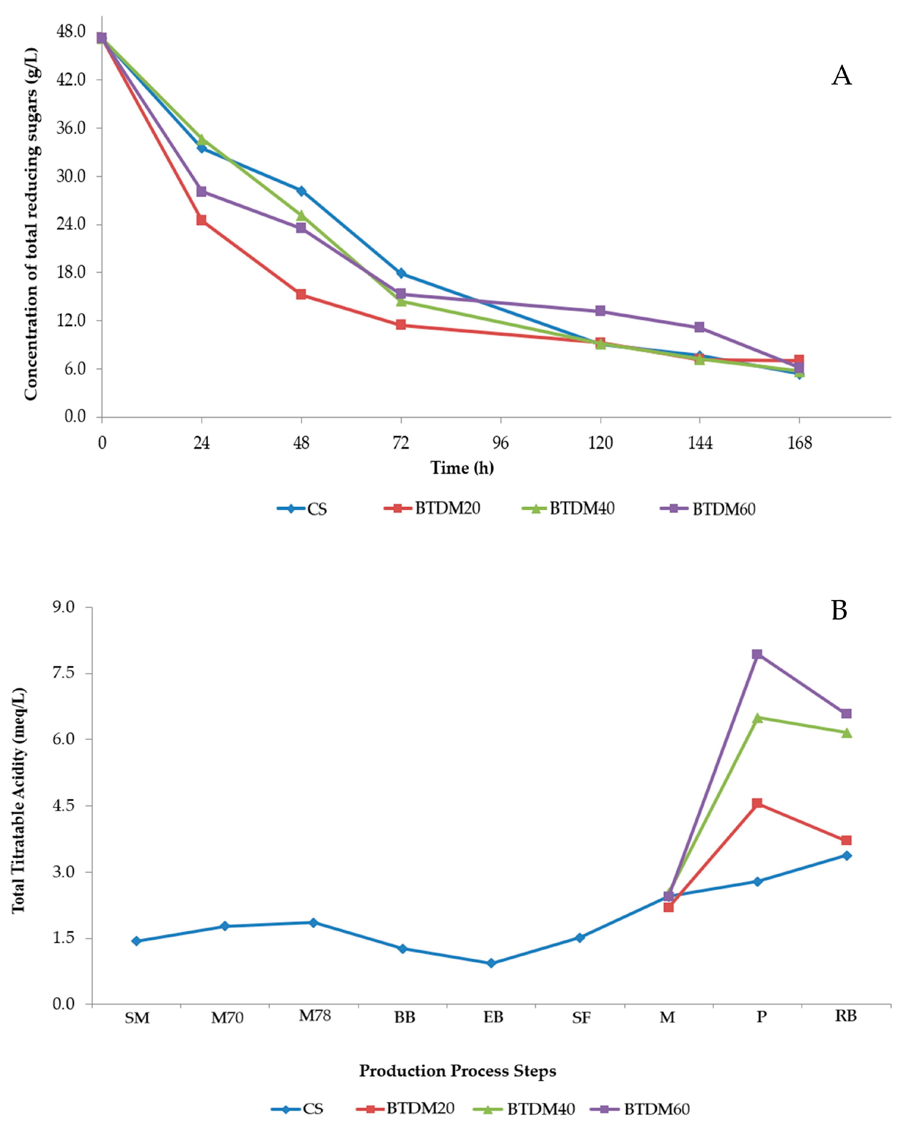
3. Results and Discussion
3.1. Sensory Evaluation of the Test Formulation
3.2. Characterization of Beer Formulations
3.3. Identification and Quantification of Bioactive Compounds and Sugars of Second Beer Formulations by High-Performance Liquid Chromatography (HPLC)
3.3.1. Sugars
3.3.2. Phenolic Compounds
3.4. Identification and Quantification of Volatile Compounds of Beer Formulations
3.5. Sensory Evaluation of Beer Formulations
4. Conclusions
Author Contributions
Funding
Institutional Review Board Statement
Informed Consent Statement
Data Availability Statement
Conflicts of Interest
Abbreviations
| CS | Beer without tamarind pulp |
| BTDM20 | Beers with 20 g/L of tamarind pulp added during maturation |
| BTDM40 | Beers with 40 g/L of tamarind pulp added during maturation |
| BTDM60 | Beers with 60 g/L of tamarind pulp added during maturation |
| SM | Start of mashing |
| M70 °C | Temperature during mashing to 70 °C |
| M78 °C | Temperature during mashing to 78° C |
| BB | Beginning of boiling |
| EB | End of boiling |
| SF | Start of fermentation |
| M | On the seventh day of maturation |
| P | Packing |
| RB | Ready beer |
| Suc | Sucralose |
| Glu | Glucose |
| Fru | Fructose |
Appendix A
Appendix A.1
| Parameters | Values |
|---|---|
| pH | 2.97 ± 0.02 |
| TTA (g of tartaric acid/100 g of pulp) | 5.32 ± 0.00 |
| TSS (° Brix) | 25.35 ± 0.14 |
Appendix A.2
| Sugar (mg/mL of Beer) | ||||||||||||
|---|---|---|---|---|---|---|---|---|---|---|---|---|
| Samples | ||||||||||||
| Control (CS) | Beers with 20 g/L of Tamarind Pulp Added During Maturation (BTDM20) | Beers with 40 g/L of Tamarind Pulp Added During Maturation (BTDM40) | Beers with 60 g/L of Tamarind Pulp Added During Maturation (BTDM60) | |||||||||
| Stages | Suc | Glu | Fru | Suc | Glu | Fru | Suc | Glu | Fru | Suc | Glu | Fru |
| SM | 69.56 ± 0.13 | 20.72 ± 0.58 | NQ | NQ | NQ | NQ | NQ | NQ | NQ | NQ | NQ | NQ |
| M70 °C | 77.92 ± 0.61 | NQ | NQ | NQ | NQ | NQ | NQ | NQ | NQ | NQ | NQ | NQ |
| M78 °C | 82.88 ± 0.08 | NQ | NQ | NQ | NQ | NQ | NQ | NQ | NQ | NQ | NQ | NQ |
| BB | 51.08 ± 1.40 | NQ | NQ | NQ | NQ | NQ | NQ | NQ | NQ | NQ | NQ | NQ |
| EB | 61.39 ± 0.10 | 24.04 ± 0.80 | NQ | NQ | NQ | NQ | NQ | NQ | NQ | NQ | NQ | NQ |
| SF | 22.12 ± 0.79 | NQ | 2.68 ± 0.02 | NQ | NQ | NQ | NQ | NQ | NQ | NQ | NQ | NQ |
| M | 3.52 ± 0.03 a | 4.02 ± 0.05 d | NQ | 3.44 ± 0.10 d | 4.32 ± 0.09 d | NQ | 6.10 ± 0.10 a | 5.12 ± 0.44 c | NQ | 6.20 ± 0.00 a | 6.16 ± 0.02 b | NQ |
| P | NQ | 5.84 ± 0.03 b | 3.8 ± 0.05 d | NQ | 5.64 ± 0.05 b | 3.56 ± 0.02 d | NQ | 6.32 ± 0.01 a | 4.28 ± 0.02 c | NQ | 6.44 ± 0.02 a | 4.68 ± 0.01 c |
| RB | NQ | NQ | NQ | NQ | NQ | NQ | NQ | NQ | NQ | NQ | NQ | NQ |
Appendix A.3

Appendix A.4

References
- Baigts-Allende, D.K.; Pérez-Alva, A.; Ramírez-Rodrigues, M.A.; Palacios, A.; Ramírez-Rodrigues, M.M. A comparative study of polyphenolic and amino acid profiles of commercial fruit beers. J. Food Compos. Anal. 2021, 100, 103921. [Google Scholar] [CrossRef]
- Statista. Beer-Brazil. Available online: https://www.statista.com/outlook/cmo/alcoholic-drinks/beer/brazil#global-comparison./ (accessed on 22 April 2024).
- MAPA—Ministério da Agricultura e Pecuária. Available online: https://www.gov.br/agricultura/pt-br/assuntos/noticias/com-1-847-cervejarias-registradas-no-brasil-setor-cresce-6-8-em-2023/ (accessed on 25 June 2024).
- Alvim, R.P.R.; de Cássia Oliveira Gomes, F.; Garcia, C.F.; de Lourdes Almeida Vieira, M.; de Resende Machado, A.M. Identification of volatile organic compounds extracted by headspace solid-phase microextraction in specialty beers produced in Brazil. J. Inst. Brew. 2017, 123, 219–225. [Google Scholar] [CrossRef]
- Zhao, X.; Yin, Y.; Fang, W.; Yang, Z. What happens when fruit married with beer. Int. J. Gastron. Food Sci. 2023, 32, 100716. [Google Scholar] [CrossRef]
- Qing Yang, J.T.; Chen, M.; Gong, X. Discrimination of fruit beer based on fingerprints by static headspace-gas chromatography-Ion mobility spectrometry. J. Am. Soc. Brew. Chem. 2021, 80, 298–304. [Google Scholar] [CrossRef]
- Fanari, M.; Forteschi, M.; Sanna, M.; Piu, P.P.; Porcu, M.C.; D’hallewin, G.; Secchi, N.; Zinellu, M.; Pretti, L. Pilot plant production of craft fruit beer using Ohmic-treated fruit puree. J. Food Process. Preserv. 2020, 44, e14339. [Google Scholar] [CrossRef]
- Ezbrew. Frutas e Cerveja: Dicas Para Fazer Combinações Perfeitas. 2024. Available online: https://ezbrew.com.br/frutas-e-cerveja-dicas-para-fazer-combinacoes-perfeitas/ (accessed on 8 August 2024).
- Da-Silva, J.R.; Correia-Lima, L.; Fernandes, G.; Ribeiro-Filho, N.; Madruga, M.S.; dos Santos Lima, M.; Muniz, M.B. Mandacaru fruit pulp (Cereus jamacaru DC) as an adjunct and its influence on beer properties. Food Chem. 2023, 406, 135066. [Google Scholar] [CrossRef]
- Siesto, G.; Pietrafesa, R.; Tufariello, M.; Gerardi, C.; Grieco, F.; Capece, A. Application of microbial cross-over for the production of Italian grape ale (IGA), a fruit beer obtained by grape must addition. Food Biosci. 2023, 52, 102487. [Google Scholar] [CrossRef]
- Martínez-Mendoza, B.I.; Peredo-Lovillo, A.; Romero-Luna, H.E.; Jiménez-Fernández, M. Antioxidant and anti-inflammatory properties of yeasts fermented passion fruit and soursop pulps: A focus on bioactive volatile compounds profile. Food Biosci. 2023, 56, 103112. [Google Scholar] [CrossRef]
- Zhang, H.; Zhao, T.; Wang, J.; Xia, Y.; Song, Z.; Ai, L. An amendment to the fine structure of galactoxyloglucan from tamarind (Tamarindus indica L.) seed. Int. J. Biol. Macromol. 2020, 149, 1189–1197. [Google Scholar] [CrossRef]
- Songkro, S.; Isnaini, N.; Sungkharak, S.; Tanmanee, N.; Maneenuan, D.; Kaewnopparat, N. Characterization, antioxidant and antibacterial potentials of Tamarindus indica l. fruit pulp extract loaded o/w nanoemulsions. Braz. J. Pharm. Sci. 2022, 58, e19373. [Google Scholar] [CrossRef]
- Cardona-Herrera, R.; Quiñones-Muñoz, T.A.; Franco-Robles, E.; Ozuna, C. Development of a tamarind-based functional beverage with partially-hydrolyzed agave syrup and the health effects of its consumption in C57BL/6 mice. Food Chem. 2024, 447, 138935. [Google Scholar] [CrossRef] [PubMed]
- Sanusi, M.S.; Bello, A.B.; Yusuf, S.A.; Sanusi, H.O.; Abdulazeez, A.L.; Olaniran, T.B.; Sunmonu, M.O. Effect of Ultrasound-Assisted Pasteurization, Sweetener Types, and Cashew Leaf Extract on the Quality and Microbial Properties of Tamarind Fruit Drinks. Food Hum. 2025, 4, 100624. [Google Scholar] [CrossRef]
- Foundikou, Y.B.; Djoulde, D.R.; Difo Voukang, H.; Bakari, D.; Vandi, Y. Formulation and Quality Assessment of a Functional Foléré Beverage Enriched with Tamarind Pulp. Int. J. Food Sci. 2025, 1, 8885380. [Google Scholar] [CrossRef]
- Instituto Adolfo Lutz. Procedimentos e Determinações Gerais. Métodos Físico-Químicos para Análise de Alimentos, 1st ed.; Instituto Adolfo Lutz: São Paulo, Brazil, 2008. [Google Scholar]
- Association of Official Analytical Chemists. Official Methods of Analysis of the Association of Official Analytical Chemists, 16th ed.; Association of Official Analytical Chemists: Washington, DC, USA, 1998. [Google Scholar]
- Bpvsg, B.; Lakshmi, K.; Lakshmi, J. Comparative evaluation study on the physicochemical composition of three different tamarind varieties. J. Pharmacogn. Phytochem. 2021, 10, 60–66. [Google Scholar]
- American Society of Brewing Chemists. Methods of Analysis of the American Society of Brewing Chemists, 18th ed.; American Society of Brewing Chemists: Saint Paul, MN, USA, 1996. [Google Scholar]
- Embrapa. Determinação de Açúcares Redutores pelo Ácido 3, 5-Dinitrosalicílico: Histórico do Desenvolvimento do Método e Estabelecimento de um Protocolo para o Laboratório de Bioprocessos. Embrapa Agroindústria Tropical, Fortaleza, Ceará. 2013. Available online: http://www.infoteca.cnptia.embrapa.br/infoteca/handle/doc/982130/ (accessed on 16 August 2018).
- European Brewery Convention (EBC). Analytica—EBC, 4th ed.; Brauerei—Und Getränke—Rundschau: Zurique, Switzerland, 1987. [Google Scholar]
- Gomes, W.F.; França, F.R.M.; Denadai, M.; Andrade, J.K.S.; da Silva Oliveira, E.M.; de Brito, E.S.; Rodrigues, S.; Narain, N. Effect of freeze-and spray-drying on physico-chemical characteristics, phenolic compounds and antioxidant activity of papaya pulp. J. Food Sci. Technol. 2018, 55, 2095–2102. [Google Scholar] [CrossRef]
- De Schutter, D.P.; Saison, D.; Delvaux, F.; Derdelinckx, G.; Rock, J.-M.; Neven, H.; Delvaux, F.R. Optimisation of wort volatile analysis by headspace solid-phase microextraction in combination with gas chromatography and mass spectrometry. J. Chromatogr. A 2008, 1179, 75–80. [Google Scholar] [CrossRef]
- Aquarone, E.; BorzanI, W.; Schmidell, W.; Lima, U.A. Biotecnologia Industrial: Biotecnologia na Produção de Alimentos, 4th ed.; Blucher: São Paulo, Brazil, 2001. [Google Scholar]
- Martínez, A.; Vegara, S.; Martí, N.; Valero, M.; Saura, D. Physicochemical characterization of special persimmon fruit beers using bohemian pilsner malt as a base. J. Inst. Brew. 2017, 123, 319–327. [Google Scholar] [CrossRef]
- Zhao, H. Effects of processing stages on the profile of phenolic compounds in beer. In Processing and Impact on Active Components in Food; Preedy, V.R., Ed.; Academic Press: New York, NY, USA, 2015; pp. 533–539. [Google Scholar]
- Viejo, C.G.; Fuentes, S.; Torrico, D.D.; Godbole, A.; Dunshea, F.R. Chemical characterization of aromas in beer and their effect on consumers liking. Food Chem. 2019, 293, 479–485. [Google Scholar] [CrossRef]
- Wu, Y.; Li, Z.; Zou, S.; Dong, L.; Lin, X.; Chen, Y.; Zhang, S.; Ji, C.; Liang, H. Chemical composition and flavor characteristics of cider fermented with Saccharomyces cerevisiae and non-Saccharomyces cerevisiae. Foods 2023, 1219, 3565. [Google Scholar] [CrossRef] [PubMed]
- Malfliet, S.; Van Opstaele, F.; De Clippeleer, J.; Syryn, E.; Goiris, K.; De Cooman, L.; Aerts, G. Flavour instability of pale lager beers: Determination of analytical markers in relation to sensory ageing. J. Inst. Brew. 2008, 114, 180–192. [Google Scholar] [CrossRef]
- Brányik, T.; Vicente, A.A.; Dostálek, P.; Teixeira, J.A. A review of flavour formation in continuous beer fermentations. J. Inst. Brew. 2008, 114, 3–13. [Google Scholar] [CrossRef]
- Venturini Filho, W.G. Bebidas Alcoólicas: Ciência e Tecnologia, 1st ed.; Blucher: São Paulo, Brazil, 2001. [Google Scholar]
- Ocvirk, M.; Mlinarič, N.K.; Košir, I.J. Comparison of sensory and chemical evaluation of lager beer aroma by gas chromatography and gas chromatography/mass spectrometry. J. Sci. Food Agric. 2018, 98, 3627–3635. [Google Scholar] [CrossRef] [PubMed]
- Yang, N.; Wu, C.; Yang, H.; Guo, Z.; Jian, H.; Jiang, T.; Lei, H. Bioactive compounds, antioxidant activities and flavor volatiles of lager beer produced by supplementing six jujube cultivars as adjuncts. Food Biosci. 2022, 50, 102008. [Google Scholar] [CrossRef]



| Attributes | Control (CS) | Beer with Tamarind Pulp Added in the Fermentation (BTDF) | Beer with Tamarind Pulp Added During Maturation (BTDM) |
|---|---|---|---|
| Color | 6.9 ± 0.99 a | 6.9 ± 1.10 a | 6.9 ± 1.20 a |
| Aroma | 4.3 ± 2.00 a | 4.3 ± 1.82 a | 5.3 ± 2.31 a |
| Turbidity | 6.4 ± 1.71 a | 7.1 ± 1.10 a | 6.3 ± 2.16 a |
| Flavor | 4.5 ± 2.01 a | 4.5 ± 2.01 a | 5.8 ± 2.15 a |
| Appearance | 6.8 ± 1.22 a | 7.0 ± 1.24 a | 7.0 ± 1.41 a |
| General evaluation | 5.2 ± 1.68 a | 5.3 ± 1.63 a | 5.9 ± 1.91 a |
| Purchase intention | 2.3 ± 1.50 a | 2.5 ± 1.43 a | 3.0 ± 1.41 a |
| Beers | ||||
|---|---|---|---|---|
| Parameters | Control (CS) | Beers with 20 g/L of Tamarind Pulp Added During Maturation (BTDM20) | Beers with 40 g/L of Tamarind Pulp Added During Maturation (BTDM40) | Beers with 60 g/L of Tamarind Pulp Added During Maturation (BTDM60) |
| Alcohol content % (v/v) | 6.10 ± 0.01 c | 7.10 ± 0.03 b | 7.10 ± 0.04 b | 7.60 ± 0.01 a |
| Bitterness (IBU) | 31.66 ± 0.01 a | 30.00 ± 0.04 b | 29.02 ± 0.03 c | 29.60 ± 0.03 d |
| Color (EBC) | 23.17 ± 0.06 a | 23.37 ± 0.11 b | 19.24 ± 0.07 d | 19. 84 ± 0.04 c |
| Real extract % (g extract in 100 g of solution) | 2.50 ± 0.01 d | 2.75 ± 0.03 c | 3.35 ± 0.00 a | 3.30 ± 0.07 b |
| Beers | ||||
|---|---|---|---|---|
| Phenolic Compounds (mg/L of Beer) | Control (CS) | Beers with 20 g/L of Tamarind Pulp Added During Maturation (BTDM20) | Beers with 40 g/L of Tamarind Pulp Added During Maturation (BTDM40) | Beers with 60 g/L of Tamarind Pulp Added During Maturation (BTDM60) |
| Ascorbic acid | 0.43 ± 0.02 b | 0.53 ± 0.00 a | 0.70 ± 0.01 c | NQ |
| Caffeic acid | NQ | 0.03 ± 0.00 a | 0.03 ± 0.00 a | NQ |
| Gallic acid | NQ | 0.54 ± 0.00 a | 0.47 ± 0.00 b | 0.46 ± 0.01 c |
| 2-hydroxycinnamic acid | 0.02 ± 0.00 b | 0.02 ± 0.00 c | 0.02 ± 0.00 b | 0.02 ± 0.00 a |
| Artepelin C | 4.31 ± 0.27 b | 4.22 ± 0.44 d | 4.29 ± 0.04 c | 4.48 ± 0.32 a |
| Catechin | NQ | 0.23 ± 0.00 c | 0.24 ± 0.00 a | 0.23 ± 0.01 b |
| Epicatechin | 0.24 ± 0.01 c | 0.28 ± 0.01 a | 0.27 ± 0.00 b | 0.20 ± 0.09 d |
| Ethyl gallate | 0.10 ± 0.00 d | 0.10 ± 0.01 c | 0.10 ± 0.01 b | 0.11 ± 0.00 a |
| N. | Compounds | LRIa | LRIb | Control (CS) | Beers with 20 g/L of Tamarind Pulp Added During Maturation BTDM20 | Beers with 40 g/L of Tamarind Pulp Added During Maturation BTDM40 | Beers with 60 g/L of Tamarind Pulp Added During Maturation BTDM60 | Odor |
|---|---|---|---|---|---|---|---|---|
| Organic acids | ||||||||
| 1 | Hexanoic acid | 1013 | 1009 | 1.87 ± 0.20 | 11.31 ± 0.74 | 13.24 ± 0.18 | NQ | Fruity |
| 2 | Octanoic acid | 1170 | 1180 | 42.39 ± 2.31 | 2.31 ± 0.25 | NQ | NQ | Fatty |
| 3 | Dodecanoic acid | 1572 | 1569 | 1.50 ± 0.03 | 1.91 ± 0.21 | 1.98 ± 0.06 | 2.51 ± 0.15 | Coconut oil |
| 4 | Decanoic acid | 1366 | 1382 | 2.46 ± 0.27 | 3.08 ± 0.34 | 4.36 ± 0.12 | 4.51 ± 0.49 | Citric |
| Alcohols | ||||||||
| 5 | 3-methyl-1-butanol | 741 | 739 | 4.51 ± 0.49 | 16.06 ± 1.05 | 17.97 ± 1.18 | 18.77 ± 1.02 | Fruity |
| 6 | Phenethyl alcohol | 1109 | 1117 | 2.16 ± 0.24 | 24.20 ± 1.32 | 13.73 ± 0.90 | 17.47 ± 1.14 | Honey, rose |
| 7 | 1-Dodecanol | 1470 | 1471 | 0.48 ± 0.08 | 0.37 ± 0.06 | 0.55 ± 0.06 | NQ | NQ |
| Aldehydes | ||||||||
| 8 | (E)-2-nonenal | 1165 | 1159 | 1.78 ± 0.27 | NQ | NQ | NQ | Green |
| 9 | 2-Undecenal | 1369 | 1363 | 14.21 ± 0.93 | NQ | NQ | NQ | Fruity |
| 10 | Dodecanal | 1416 | 1407 | 7.26 ± 0.02 | NQ | 9.46 ± 0.62 | NQ | - |
| 11 | Benzaldehyde | 1238 | 1234 | NQ | 33.48 ± 2.00 | 16.61 ± 0.83 | 34.23 ± 2.38 | Citrus |
| Esters | ||||||||
| 12 | Isoamyl acetate | 875 | 875 | 2.73 ± 0.30 | 6.12 ± 0.67 | 2.99 ± 0.33 | 8.25 ± 0.02 | Banana, fruity |
| 13 | Ethyl hexanoate | 1011 | 1000 | 3.85 ± 0.42 | 3.39 ± 0.19 | 3.39 ± 0.37 | 6.49 ± 0.03 | Apple, Pineapple |
| 14 | Ethyl benzonoate | 1187 | 1166 | 0.92 ± 0.12 | NQ | 1.32 ± 0.02 | 2.09 ± 0.23 | Fruity, grape |
| 15 | Ethyl octanoate | 1197 | 1197 | 2.66 ± 0.29 | 19.10 ± 1.04 | 20.17 ± 1.10 | 22.70 ± 0.89 | Apricot, fruity |
| 16 | Phenethyl acetate | 1243 | 1251 | 20.35 ± 1.11 | 22.33 ± 0.19 | 22.99 ± 1.25 | 27.83 ± 1.52 | Fruity, floral |
| 17 | Ethyl 9-decanoate | 1390 | 1385 | 2.39 ± 0.20 | 1.43 ± 0.23 | 1.12 ± 0.18 | 0.90 ± 0.00 | Fruity |
| 18 | Ethyl deceanoate | 1396 | 1395 | 2.22 ± 0.24 | 2.51 ± 0.27 | 2.75 ± 0.30 | 3.12 ± 0.05 | Fruity, apple |
| 19 | Ethyl hexadecanoate | 1994 | 1992 | 0.40 ± 0.06 | 1.85 ± 0.12 | 2.02 ± 0.22 | 2.68 ± 0.29 | Fruity |
| 20 | Ethyl dodecanoate | 1595 | 1591 | NQ | 1.19 ± 0.19 | 1.65 ± 0.27 | 0.99 ± 0.16 | Sweet, waxy |
| 21 | Ethyl benzeneacetanoate | 1243 | 1243 | NQ | NQ | 1.12 ± 0.18 | 0.55 ± 0.09 | Floral, honey |
| Terpenes | ||||||||
| 22 | Linalool | 1140 | 1100 | 18.06 ± 1.18 | NQ | 25.70 ± 1.40 | NQ | Floral, citrus |
| 23 | Citronellol | 1225 | 1228 | 23.58 ± 1.29 | 24.29 ± 0.54 | 24.57 ± 1.34 | 24.75 ± 1.25 | Floral, roses |
| 24 | β-Damascenone | 1392 | 1373 | 4.75 ± 0.35 | NQ | NQ | NQ | Fruity |
| Others | ||||||||
| 25 | 2-methoxy-4-vinylphenol | 1314 | 1305 | 25.56 ± 1.39 | 26.55 ± 1.45 | 13.33 ± 0.87 | 9.42 ± 0.62 | Woody |
| 26 | Cadalene | 1671 | 1341 | 3.08 ± 0.34 | 1.67 ± 0.07 | 1.80 ± 0.30 | NQ | - |
| 27 | γ-n-amylbutyrolactone | 1371 | 1355 | 1.76 ± 0.29 | 1.98 ± 0.22 | 0.73 ± 0.12 | 0.26 ± 0.04 | Coconut |
| Beers | ||||
|---|---|---|---|---|
| Attributes | Control (CS) | Beers with 20 g/L of Tamarind Pulp Added During Maturation (BTDM20) | Beers with 40 g/L of Tamarind Pulp Added During Maturation (BTDM40) | Beers with 60 g/L of Tamarind Pulp Added During Maturation (BTDM60) |
| Color | 7.19 ± 1.46 a | 7.26 ± 1.56 a | 7.15 ± 1.45 a | 7.08 ± 1.37 a |
| Aroma | 6.85 ± 1.39 a | 7.05 ± 1.49 a | 6.69 ± 1.28 a | 6.77 ± 1.61 a |
| Turbidity | 6.90 ± 1.43 a | 6.84 ± 1.44 a | 6.77 ± 1.31 a | 6.44 ± 1.62 a |
| Flavor | 6.21 ± 2.04 a | 6.15 ± 1.93 a | 5.69 ± 2.10 a | 5.73 ± 2.30 a |
| Appearance | 7.16 ± 1.52 a | 7.26 ± 1.35 a | 6.95 ± 1.32 a | 6.77 ± 1.58 a |
| Evaluation | 6.89 ± 1.38 a | 6.84 ± 1.59 a | 6.47 ± 1.77 a | 6.13 ± 1.92 a |
| Purchase intention | 3.53 ± 1.22 a | 3.47 ± 1.28 a | 3.23 ± 1.22 a | 3.06 ± 1.27 a |
Disclaimer/Publisher’s Note: The statements, opinions and data contained in all publications are solely those of the individual author(s) and contributor(s) and not of MDPI and/or the editor(s). MDPI and/or the editor(s) disclaim responsibility for any injury to people or property resulting from any ideas, methods, instructions or products referred to in the content. |
© 2025 by the authors. Licensee MDPI, Basel, Switzerland. This article is an open access article distributed under the terms and conditions of the Creative Commons Attribution (CC BY) license.
Share and Cite
da Silva, A.d.S.; Araujo, H.C.S.; de Jesus, M.S.; Santos, M.J.G.; Castilho, F.J.; Dutra Sandes, R.D.; Spudeit, D.A.; Lima, M.d.S.; Leite Neta, M.T.S.; Narain, N. Development and Characterization of Craft Beers Prepared with the Use of Tamarind (Tamarindus indica L.) Pulp. Foods 2026, 15, 102. https://doi.org/10.3390/foods15010102
da Silva AdS, Araujo HCS, de Jesus MS, Santos MJG, Castilho FJ, Dutra Sandes RD, Spudeit DA, Lima MdS, Leite Neta MTS, Narain N. Development and Characterization of Craft Beers Prepared with the Use of Tamarind (Tamarindus indica L.) Pulp. Foods. 2026; 15(1):102. https://doi.org/10.3390/foods15010102
Chicago/Turabian Styleda Silva, Augusto de Souza, Hannah Caroline Santos Araujo, Mônica Silva de Jesus, Mario Jirlanio Guilherme Santos, Fernando José Castilho, Rafael Donizete Dutra Sandes, Daniel Alfonso Spudeit, Marcos dos Santos Lima, Maria Terezinha Santos Leite Neta, and Narendra Narain. 2026. "Development and Characterization of Craft Beers Prepared with the Use of Tamarind (Tamarindus indica L.) Pulp" Foods 15, no. 1: 102. https://doi.org/10.3390/foods15010102
APA Styleda Silva, A. d. S., Araujo, H. C. S., de Jesus, M. S., Santos, M. J. G., Castilho, F. J., Dutra Sandes, R. D., Spudeit, D. A., Lima, M. d. S., Leite Neta, M. T. S., & Narain, N. (2026). Development and Characterization of Craft Beers Prepared with the Use of Tamarind (Tamarindus indica L.) Pulp. Foods, 15(1), 102. https://doi.org/10.3390/foods15010102

