Supramolecular Solvent-Based Extraction of Bisphenols and Alkylphenols in Botanical Dietary Supplements Prior to HPLC–MS/MS Analysis
Abstract
1. Introduction
2. Materials and Methods
2.1. Chemicals and Reagents
2.2. Apparatus
2.3. Standard Solutions
2.4. Instrument Parameters
2.5. Preparation of SUPRAS
2.6. Sample Pretreatment with SUPRAS
2.7. Health Risk Assessment
2.8. Data Analysis
3. Results and Discussion
3.1. Control of Background Interference
3.2. Chromatographic Conditions Optimization
3.3. Optimization of Mass Spectrometry Conditions
3.4. Optimization of Sample Pretreatment Method
3.4.1. SUPRAS Synthesis and Description
3.4.2. Types of Alkyl Alcohols
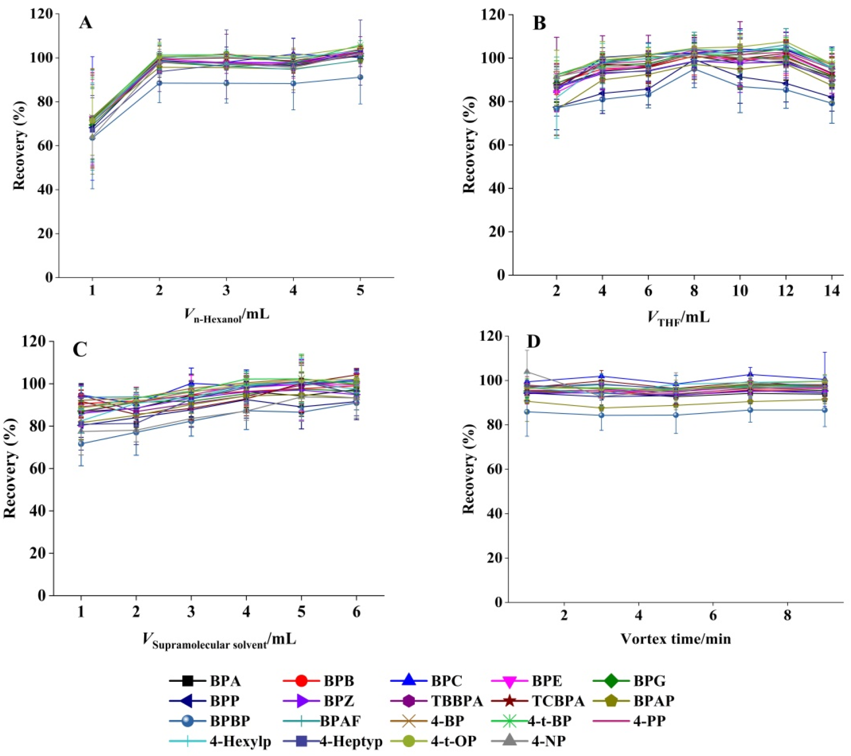
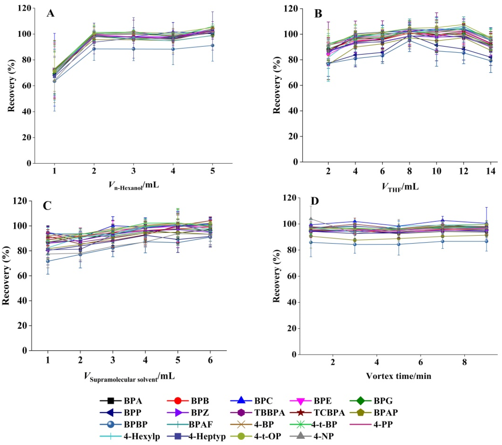
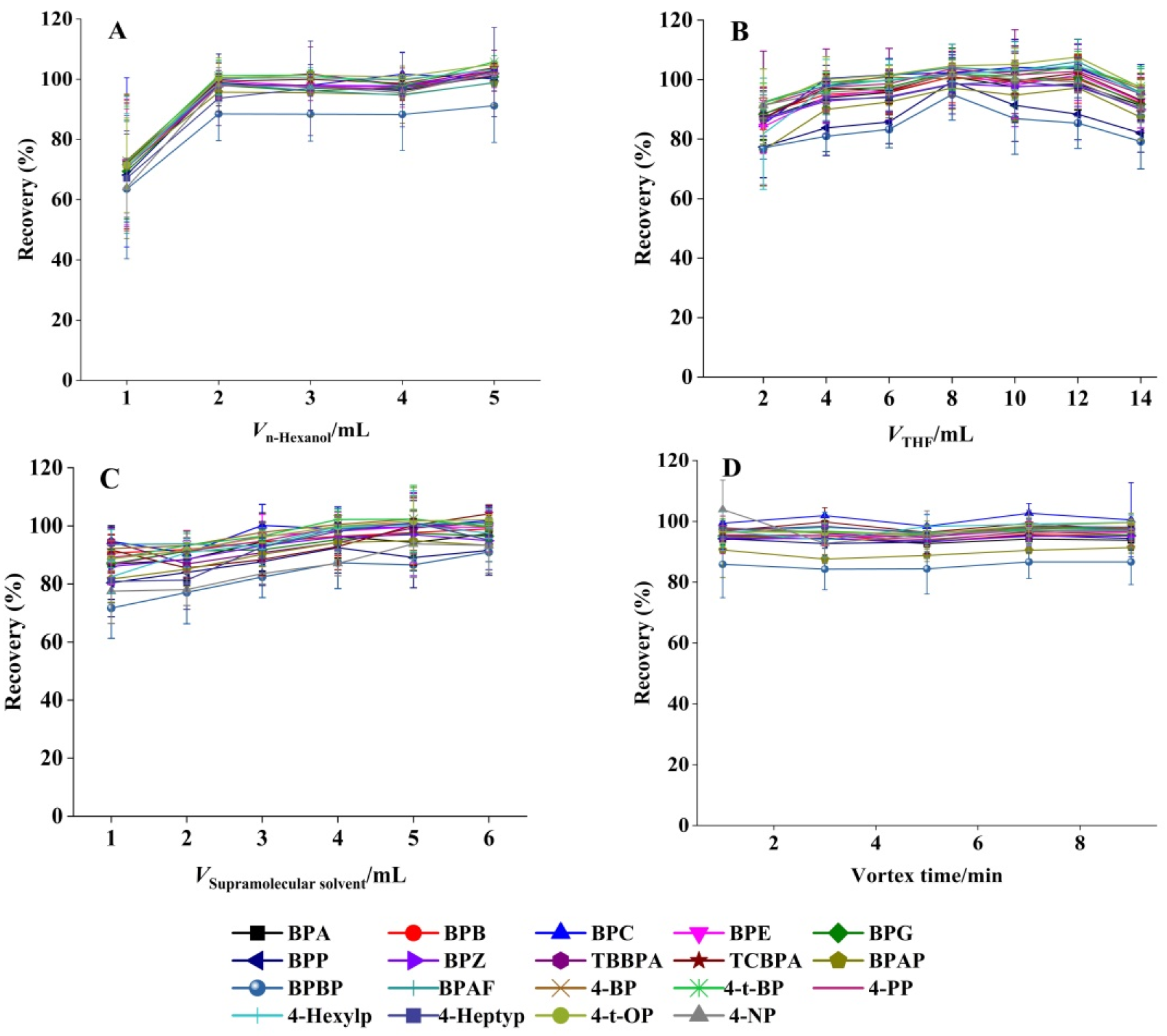
3.4.3. 1-Hexanol Dosage
3.4.4. THF Volume
3.4.5. SUPRAS Volume Optimization
3.4.6. Effect of Vortex Duration
3.5. Method Evaluation
3.5.1. Linearity, LODs, and LOQs
3.5.2. Recovery and Precision
3.5.3. Method Comparison with Existing Techniques
3.5.4. Sustainability Assessment of the Proposed Method
3.6. BP and AP Determination in Commercial Botanical Dietary Supplements
3.7. Dietary Exposure and Simplified Risk Assessment
4. Conclusions
Supplementary Materials
Author Contributions
Funding
Institutional Review Board Statement
Informed Consent Statement
Data Availability Statement
Conflicts of Interest
References
- Xu, Y.B.; Song, J.; Huang, Q.; Wei, X.R.; Deng, Z.Y.; Song, Z.G.; Huang, H.Z.; Luo, C.H.; Zhang, D.K.; Han, L. Functional foods and nutraceuticals with anti-aging effects: Focus on modifying the enteral microbiome. J. Funct. Foods 2025, 128, 106786. [Google Scholar] [CrossRef]
- Rossell, J.; Julve, J. Novel experimental dietary supplementations to combat metabolic alterations in diabetes. Nutrients 2025, 17, 1816. [Google Scholar] [CrossRef] [PubMed]
- Wang, X.; Song, L.; Wang, X. Efficacy of dietary polyphenol supplement in patients with non-alcoholic fatty liver disease: A network meta-analysis. Front. Nutr. 2025, 12, 1582861. [Google Scholar] [CrossRef] [PubMed]
- Mutoh, T.; Kataoka, H.; Tatewaki, Y.; Taki, Y. Medium-chain triglyceride dietary supplements reduce glucose metabolism of gait-related skeletal muscle in older adults: A longitudinal 18F-FDG PET/CT Analysis. Nutrient 2025, 17, 1707. [Google Scholar] [CrossRef]
- Wong, W.Y.; Merkus, H.M.W.M.; Thomas, C.M.G.; Menkveld, R.; Zielhuis, G.A.; Steegers-Theunissen, R.P.M. Steegers-Theunissen. Effects of folic acid and zinc sulfate on male factor subfertility: A double-blind, randomized, placebo-controlled trial. Fertil. Steril. 2002, 77, 491. [Google Scholar] [CrossRef]
- Sharifzadeh, F.; Norouzi, S.; Ashrafi, M.; Aminimoghaddam, S.; Koohpayezadeh, J. Effects of zinc sulfate on subfertility related to male factors: A prospective double-blind, randomized, placebo-controlled clinical trial. J. Obstet. Gynecol. Cancer Res. 2016, 1, e724. [Google Scholar] [CrossRef]
- Michaelsen, M.P.; Poulsen, M.; Bjerregaard, A.A.; Borgstrøm, M.; Poulsen, L.K.; Chortsen, M.B.; Henriksen, S.G.; Kesmodel, U.S. The effect of dietary supplements on male infertility in terms of pregnancy, live birth, and sperm parameters: A systematic review and meta-analysis. Nutrients 2025, 17, 1710. [Google Scholar] [CrossRef]
- Przygodzka, S.; Rutkiewicz, M.; Gadżała, K.; Garbino, K.; Brudniak, K.; Szuścik, A.; Czyczerska, M. Contamination of dietary supplements: The impact of the undeclared compounds on health, consequences of daily usage and prevention strategies. Qual. Sport 2025, 38, 57810. [Google Scholar] [CrossRef]
- Brodziak-Dopierała, B.; Fischer, A.; Wilk, Z.; Roczniak, W.; Babuśka-Roczniak, M. Analysis of mercury concentration in dietary supplements supporting weight loss and health risk assessment. Nutrients 2025, 17, 1799. [Google Scholar] [CrossRef]
- Qiao, Y.; Sun, S.; Huang, C.; Liu, H.; Dong, Y.; Wang, H.; Sun, L. Simultaneous determination of hormones in botanical dietary supplements with supramolecular solvent-based extraction by HPLC-MS/MS. J. Sep. Sci. 2025, 48, e70110. [Google Scholar] [CrossRef]
- Ucheana, I.A.; Omeka, M.E.; Ezugwu, A.L.; Agbasi, J.C.; Egbueri, J.C.; Abugu, H.O.; Aralu, C.C. A targeted review on occurrence, remediation, and risk assessments of bisphenol A in Africa. Environ. Monit. Assess. 2024, 196, 1193. [Google Scholar] [CrossRef]
- Liao, C.; Kannan, K. A survey of alkylphenols, bisphenols, and triclosan in personal care products from China and the United States. Arch. Environ. Contam. Toxicol. 2014, 67, 50. [Google Scholar] [CrossRef] [PubMed]
- Mohammadipour, M.; Mohammadi, F.; Nikaeen, M.; Ebrahimpour, K.; Janati, M.; Attar, H.M. The lasting effects of wastewater irrigation: Evaluating alkylphenols accumulation in soil and potential health risks for farmers and local communities. Results Eng. 2024, 24, 103245. [Google Scholar] [CrossRef]
- Thoene, M.; Dzika, E.; Gonkowski, S.; Wojtkiewicz, J. Bisphenol S in food causes hormonal and obesogenic effects comparable to or worse than bisphenol A: A literature review. Nutrients 2020, 12, 532. [Google Scholar] [CrossRef]
- Peremiquel-Trillas, P.; Benavente, Y.; Martín-Bustamante, M.; Casabonne, D.; Pérez-Gómez, B.; Gómez-Acebo, I.; Oliete-Canela, A.; Diéguez-Rodríguez, M.; Tusquets, I.; Amiano, P. Alkylphenolic compounds and risk of breast and prostate cancer in the MCC-Spain study. Environ. Int. 2019, 122, 389–399. [Google Scholar] [CrossRef] [PubMed]
- Lee, H.; Park, J.; Park, K. Mixture effects of bisphenol A and its structural analogs on estrogen receptor transcriptional activation. Toxics 2023, 11, 986. [Google Scholar] [CrossRef]
- Kodila, A.; Franko, N.; Dolenc, M.S. A review on immunomodulatory effects of BPA analogues. Arch. Toxicol. 2023, 97, 1831. [Google Scholar] [CrossRef]
- Apau1, J.; Acheampong, A.; Adua, E. Exposure to bisphenol A, bisphenol F, and bisphenol S can result in obesity in human body. Cogent Chem. 2018, 4, 1506601. [Google Scholar] [CrossRef]
- Owczarek, K.; Waraksa, E.; Kłodzińska, E.; Zrobok, Y.; Ozimek, M.; Rachoń, D.; Kudłak, B.; Wasik, A.; Mazerska, Z. Validated GC–MS method for determination of bisphenol a and its five analogues in dietary and nutritional supplements. Microchem. J. 2022, 180, 107643. [Google Scholar] [CrossRef]
- Rusiňáková, K.; Brenkus, M.; Koperová Návojová, V.; Kirchner, M.; Hrouzková, S. Present trends in analytical methods for determination of multi-groups environmental contaminants polyaromatic hydrocarbons, phthalates, alkylphenol ethoxylates, alkylphenols, and butylated hydroxytoluene in river sediments. Water Air Soil Pollut. 2024, 235, 785. [Google Scholar] [CrossRef]
- Kumar, A.; Kumar, A.; Malik, A.K.; Kumar, A.; Kumar, V.; Singh, B. Quantitative analysis of alkylphenols in environmental samples with metagenomic impact assessments. Water Air Soil Pollut. 2025, 236, 506. [Google Scholar] [CrossRef]
- Snoussi, A.; Gallart-Mateu, D.; Pardo, O.; Ben Sghaier, R.; Bououdina, M.; Esteve-Turrillas, F.A.; Latrous, L.; Megriche, A. Sustainable magnetic solid-phase microextraction of alkylphenols in environmental waters using a novel polymeric magnetic hawthorn nanocomposite. Microchem. J. 2025, 213, 113906. [Google Scholar] [CrossRef]
- Vargas-Muñoz, M.A.; Montoya-Cárdenas, D.L.; Bonilla, L.; Palacio, E. Vortex-assisted binary solvent dispersive liquid–liquid microextraction for the determination of two 4-alkylphenols and Bisphenol A in drinking water by HPLC-DAD. Microchem. J. 2025, 215, 114167. [Google Scholar] [CrossRef]
- Shaaban, H.; Mostafa, A.; Alqarni, A.M.; Almohamed, Y.; Abualrahi, D.; Hussein, D.; Alghamdi, M. Simultaneous determination of bisphenol A and its analogues in foodstuff using UPLC-MS/MS and assessment of their health risk in adult population. J. Food Compos. Anal. 2022, 110, 104549. [Google Scholar] [CrossRef]
- Ballesteros-Gomez, A.; Rubio, S. Environment-responsive alkanol-based supramolecular solvents: Characterization and potential as restricted access property and mixed-mode extractants. Anal. Chem. 2012, 84, 342. [Google Scholar] [CrossRef]
- Moradi, M.; Yamini, Y.; Feizi, N. Development and challenges of supramolecular solvents in liquid-based microextraction methods. Trends Anal. Chem. 2021, 138, 116231. [Google Scholar] [CrossRef]
- Dueñas-Mas, M.J.; Ballesteros-Gómez, A.; Rubio, S. Supramolecular solvent-based microextraction of emerging bisphenol A replacements (colour developers) in indoor dust from public environments. Chemosphere 2019, 222, 22. [Google Scholar] [CrossRef]
- Ballesteros-Gómez, A.; Ballesteros, J.; Rubio, S. Comprehensive characterization of organic compounds in indoor dust after generic sample preparation with SUPRAS and analysis by LC-HRMS/MS. Sci. Total Environ. 2024, 912, 169390. [Google Scholar] [CrossRef]
- Dueñas-Mas, M.J.; Ballesteros-Gómez, A.; Rubio, S. Supramolecular solvent-based microextraction probe for fast detection of bisphenols by ambient mass spectrometry. Chemosphere 2022, 294, 133719. [Google Scholar] [CrossRef]
- López-Jiménez, F.J.; Rosales-Marcano, M.; Rubio, S. Restricted access property supramolecular solvents for combined microextraction cleanup prior to their quantification by liquid chromatography–tandem mass spectrometry of endocrine disruptors in sediments. J. Chromatogr. A 2013, 1303, 1–8. [Google Scholar] [CrossRef]
- Chen, Z.; Zhang, Z.; Zhou, J.; Ren, Z.; Hua, Z.; Su, M. Fast and ecologic SUPRAS extraction and UPLC–MS/MS analysis for 13 synthetic cannabinoids in hair and wastewater. Microchem. J. 2025, 212, 113557. [Google Scholar] [CrossRef]
- Ares, A.M.; Alcaide, L.; Bernal, J.; Valverde, S. Development and validation of a green analytical method for determining fourteen bisphenols in bee pollen by ultra-high-performance liquid chromatography-tandem mass spectrometry. Food Res. Int. 2024, 195, 114955. [Google Scholar] [CrossRef]
- Algar, L.; Caballero-Casero, N.; Sicilia, M.D.; Rubio, S. A high-throughput supramolecular solvent method for benzophenone quantification in juice packs via liquid chromatography-mass spectrometry. Microchem. J. 2024, 204, 111057. [Google Scholar] [CrossRef]
- Muñiz-Bustamante, L.; Caballero-Casero, N.; Rubio, S. SUPRAS-based generic sample treatment for determination of twelve regulated mycotoxins in five food commodity groups. Food Chem. 2025, 490, 145092. [Google Scholar] [CrossRef] [PubMed]
- Ueda, K.M.; Keiser, G.M.; Leal, F.C.; Farias, F.O.; Igarashi-Mafra, L.; Mafra, M.R. A new single-step approach based on supramolecular solvents (SUPRAS) to extract bioactive compounds with different polarities from eugenia pyriformis cambess (Uvaia) pulp. Plant Foods Hum. Nutr. 2024, 79, 242. [Google Scholar] [CrossRef] [PubMed]
- Yuan, Y.; Qiao, Y.; Zheng, X.; Yu, X.; Dong, Y.; Wang, H.; Sun, L. Simultaneous determination of four active compounds in Centella asiatica by supramolecular solvent-based extraction coupled with high performance liquid chromatography-tandem mass spectrometry. J. Chromatogr. A 2023, 1708, 464298. [Google Scholar] [CrossRef]
- Hwang, J.; Bae, I.-A.; Lee, C.; Lee, S.; Choi, J.C.; Park, S.-J.; Hong, J.-H.; Lee, G.; Kim, M. Simultaneous analysis and exposure assessment of migrated bisphenol analogues, phenol, and p-tert-butylphenol from food contact materials. Food Addit. Contam. Part A 2018, 35, 2270–2278. [Google Scholar] [CrossRef]
- EFSA. Scientific Opinion on the re-evaluation of the risks to public health related to the presence of bisphenol A (BPA) in foodstuffs. EFSA J. 2023, 21, 6857. [Google Scholar] [CrossRef]
- Ćwieląg-Drabek, M.; Piekut, A.; Szymala, I.; Oleksiuk, K.; Razzaghi, M.; Osmala, W.; Jabłońska, K.; Dziubanek, G. Health risks from consumption of medicinal plant dietary supplements. Food Sci. Nutr. 2020, 8, 3535–3544. [Google Scholar] [CrossRef]
- Wu, Z.; Gao, W.; Phelps, M.A.; Wu, D.; Miller, M.D.D.; Dalton, J.T. Favorable effects of weak acids on negative-ion electrospray ionization mass spectrometry. Anal. Chem. 2004, 76, 839. [Google Scholar] [CrossRef]
- Yonny, M.E.; Ballesteros-Gómez, A.; Adamo, M.L.T.; Torresi, A.R.; Rubio, S. Supramolecular solvent-based high-throughput sample treatment for monitoring phytohormones in plant tissues. Talanta 2020, 219, 121249. [Google Scholar] [CrossRef]
- Caballero-Casero, N.; Rubio, S. Identification of bisphenols and derivatives in greenhouse dust as a potential source for human occupational exposure. Anal. Bioanal. Chem. 2022, 414, 5397. [Google Scholar] [CrossRef] [PubMed]
- Rubio, S. Twenty years of supramolecular solvents in sample preparation for chromatography: Achievements and challenges ahead. Anal. Bioanal. Chem. 2020, 412, 6037. [Google Scholar] [CrossRef] [PubMed]
- Zhou, W.; Yang, S.; Wang, P.G. Matrix effects and application of matrix effect factor. Bioanalysis 2017, 9, 1839. [Google Scholar] [CrossRef] [PubMed]
- Pino, L.K.; Searle, B.C.; Yang, H.Y.; Hoofnagle, A.N.; Noble, W.S.; MacCoss, M.J. Matrix-matched calibration curves for assessing analytical figures of merit in quantitative proteomics. J. Proteome Res. 2020, 19, 1147. [Google Scholar] [CrossRef]
- Dueñas-Mas, M.J.; de Dios-Pérez, C.; Ballesteros-Gómez, A.; Rubio, S. Supramolecular solvent extraction and ambient mass spectrometry for the determination of organic contaminants in food packaging material. Chemosphere 2023, 324, 138359. [Google Scholar] [CrossRef]
- Lucarini, F.; Gasco, R.; Staedler, D. Simultaneous quantification of 16 bisphenol analogues in food matrices. Toxics 2023, 11, 665. [Google Scholar] [CrossRef]
- Caballero-Casero, N.; Rubio, S. Comprehensive supramolecular solvent-based sample treatment platform for evaluation of combined exposure to mixtures of bisphenols and derivatives by liquid chromatography-tandem mass spectrometry. Anal. Chim. Acta 2021, 1144, 14. [Google Scholar] [CrossRef]
- Świłt, P.; Orzeł, J. Towards the assessment of exposure to bisphenols in everyday items with increased accuracy by the use of integrated calibration method (ICM)-based methodology. J. Chromatogr. A 2024, 1715, 464612. [Google Scholar] [CrossRef]
- Bahgat, E.A.; Saleh, H.; Darwish, I.M.; El-Abassy, O.M. Green HPLC technique development for the simultaneous determination of the potential combination of Mirabegron and Tamsulosin. Sci. Rep. 2025, 15, 7005. [Google Scholar] [CrossRef]
- Pena-Pereira, F.; Wojnowski, W.; Tobiszewski, M. AGREE–Analytical GREEnness metric approach and software. Anal. Chem. 2020, 92, 10076. [Google Scholar] [CrossRef]
- Xiao, C.Y.; Wang, L.H.; Zhou, Q.; Huang, X.H. Hazards of bisphenol A (BPA) exposure: A systematic review of plant toxicology studies. J. Hazard. Mater. 2020, 384, 121488. [Google Scholar] [CrossRef]
- Hąc-Wydro, K.; Połeć, K.; Broniatowski, M. The comparative analysis of the effect of environmental toxicants: Bisphenol A, S and F on model plant, fungi and bacteria membranes. The studies on multicomponent systems. J. Mol. Liq. 2019, 289, 111136. [Google Scholar] [CrossRef]
- Guart, A.; Bono-Blay, F.; Borrell, A.; Lacorte, S. Migration of plasticizers phthalates, bisphenol A and alkylphenols from plastic containers and evaluation of risk. Food Addit. Contam. Part A 2011, 28, 676–685. [Google Scholar] [CrossRef] [PubMed]
- Khalili Sadrabad, E.; Hashemi, S.A.; Nadjarzadeh, A.; Askari, E.; Akrami Mohajeri, F.; Ramroudi, F. Bisphenol A release from food and beverage containers—A review. Food Sci. Nutr. 2023, 11, 3718–3728. [Google Scholar] [CrossRef]
- European Food Safety Authority (EFSA). Management of left-censored data in dietary exposure assessment of chemical substances. EFSA J. 2010, 8, 1557. [Google Scholar] [CrossRef]
- World Health Organization, Food and Agriculture Organization of the United Nations. Principles and Methods for the Risk Assessment of Chemicals in Food, Chap. 6. Dietary Exposure Assessment of Chemicals in Food. Environmental Health Criteria 240. 2009. Available online: http://apps.who.int/iris/bitstream/10665/44065/9/WHOEHC240 (accessed on 23 October 2025).
- Report of Joint FAO/WHO Expert Meeting. Toxicological and Health Aspects of Bisphenol A. Available online: https://www.who.int/publications/i/item/toxicological-and-health-aspects-of-bisphenol-a (accessed on 23 October 2025).



| No. | Compounds | Precursor Ions (m/z) | Product Ions (m/z) | DP | CE |
|---|---|---|---|---|---|
| 1 | BPA | 227.1 | 133.0 *, 211.9 | −80 | −33, −25 |
| 2 | BPB | 241.3 | 211.3 *, 146.8 | −70 | −37, −35 |
| 3 | BPC | 255.5 | 146.8 *, 238.9 | −80 | −38, −39 |
| 4 | BPE | 213.0 | 197.3 *, 118.7 | −70 | −40, −30 |
| 5 | BPG | 311.1 | 295.1 *, 174.8 | −90 | −42, −40 |
| 6 | BPP | 345.1 | 314.9 *, 132.8 | −100 | −51, −46 |
| 7 | BPZ | 267.0 | 172.9 *, 222.9 | −80 | −35, −45 |
| 8 | TBBPA | 542.7 | 417.4 *, 445.7 | −80 | −56, −44 |
| 9 | TCBPA | 365.2 | 313.8 *, 285.8 | −80 | −37, −44 |
| 10 | BPAF | 335.2 | 264.2 *, 68.7 | −60 | −33, −70 |
| 11 | BPAP | 288.7 | 274.0 *, 210.8 | −60 | −28, −36 |
| 12 | BPBP | 351.1 | 273.2 *, 258.0 | −80 | −35, −34 |
| 13 | 4-BP | 149.1 | 105.7 * | −45 | −21 |
| 150.2 | 106.7 | −45 | −21 | ||
| 14 | 4-t-BP | 149.2 | 132.7 * | −60 | −25 |
| 150.2 | 133.6 | −60 | −23 | ||
| 15 | 4-PP | 163.2 | 105.7 * | −45 | −22 |
| 164.7 | 106.7 | −45 | −22 | ||
| 16 | 4-HexylP | 176.8 | 105.7 * | −50 | −23 |
| 178.1 | 106.7 | −50 | −23 | ||
| 17 | 4-HeptyP | 191.3 | 105.7 * | −55 | −25 |
| 192.1 | 106.8 | −55 | −25 | ||
| 18 | 4-NP | 219.1 | 105.7 * | −60 | −27 |
| 220.1 | 106.7 | −60 | −27 | ||
| 19 | 4-t-OP | 205.1 | 132.7 * | −60 | −29 |
| 206.1 | 133.7 | −60 | −28 |
| Alkyl Alcohols | BPA | BPE | BPG | BPP | 4-BP | 4-PP | 4-HeptyP | 4-t-OP |
|---|---|---|---|---|---|---|---|---|
| 1-Pentanol | 95.1 (±5.0) a | 94.5 (±5.0) | 96.5 (±4.0) | 82.0 (±6.1) | 107.8 (±3.4) | 97.3 (±2.9) | 86.8 (±8.6) | 94.5 (±3.7) |
| 1-Hexanol | 103.5 (±4.1) | 103.0 (±5.7) | 102.0 (±3.9) | 92.9 (±5.5) | 96.7 (±2.4) | 102.4 (±3.3) | 93.0 (±9.6) | 100.4 (±2.9) |
| 1-Heptanol | 77.0 (±21.3) | 91.6 (±5.3) | 91.2 (±4.8) | 79.5 (±8.6) | 92.1 (±4.3) | 90.1 (±7.7) | 86.3 (±9.6) | 90.7 (±2.2) |
| 1-Octanol | 93.4 (±9.4) | 86.9 (±8.6) | 95.2 (±8.7) | 86.0 (±13.4) | 90.4 (±13.1) | 95.7 (±6.5) | 89.7 (±12.2) | 94.9 (±7.2) |
| 1-Nonanol | 90.9 (±0.5) | 92.3 (±1.0) | 91.7 (±2.2) | 92.7 (±12.0) | 96.4 (±3.7) | 86.8 (±2.0) | 84.3 (±8.3) | 92.3 (±5.0) |
| 1-Decanol | 90.5 (±5.6) | 88.4 (±5.0) | 73.0 (±7.9) | 72.2 (±11.4) | 99.2 (±7.9) | 93.0 (±10.9) | 68.5 (±12.4) | 71.1 (±8.5) |
| p value b | 0.1283 | 0.0400 | 0.0009 | 0.1572 | 0.0984 | 0.1151 | 0.1362 | 0.0005 |
| Comparison Metrics | SUPRAS a | Liquid Extraction [19] | SPE [24] | QuEChERS [47] |
|---|---|---|---|---|
| Pretreatment time | <10 min | >1.5 h | >1.0 h | >1.5 h |
| Operation steps | 3 | 5 | 8 | 6 |
| Derivatization | No | Yes | No | Yes |
| Analysis throughout | 19 | 6 | 5 | 16 |
| Type of analytes | APs and BPs | BBPs | APs | APs |
| Organic reagent | 4 mL | 2 mL | 10 mL | 10 mL |
| Method specificity | Dietary supplements | Dietary supplements | Kinds of food samples | Canned foods and beverage |
| Sample No. | Dosage Form | BPA | 4-PP |
|---|---|---|---|
| C11 | Capsule | 452.6 ± 4.6 a | <LOD |
| T16 | Tablet | 178.7 ± 5.8 | 145.3 ± 6.9 |
| Compound | Average Concentration (ng/g) a | Daily Consumption b | EDI(ng/kg·BW/d) | TDI (ng/kg·BW/d) | HQ | HI |
|---|---|---|---|---|---|---|
| BPA | 28.0 | 2.7 | 1.3 | 0.2 | 6 | 8 |
| 4-PP | 7.1 | 0.3 | 2 |
| Sample | Detected Results (ng/g) | Daily Consumption (g/d) | EDI (ng/kg·BW/d) | TDI (ng/kg·BW/d) | HQ | HI | |||
|---|---|---|---|---|---|---|---|---|---|
| BPA | 4-PP | EDIBPA | EDI4-PP | HQBPA | HQ4-PP | ||||
| C11 | 452.6 | ND | 1.6 | 12.1 | 0.04 a | 0.2 | 60 | 0.2 | 60 |
| T16 | 178.7 | 145.3 | 9.0 | 26.8 | 21.8 | 134 | 109 | 243 | |
Disclaimer/Publisher’s Note: The statements, opinions and data contained in all publications are solely those of the individual author(s) and contributor(s) and not of MDPI and/or the editor(s). MDPI and/or the editor(s) disclaim responsibility for any injury to people or property resulting from any ideas, methods, instructions or products referred to in the content. |
© 2025 by the authors. Licensee MDPI, Basel, Switzerland. This article is an open access article distributed under the terms and conditions of the Creative Commons Attribution (CC BY) license (https://creativecommons.org/licenses/by/4.0/).
Share and Cite
Dong, Y.; Liu, H.; Qiao, Y.; Wang, H. Supramolecular Solvent-Based Extraction of Bisphenols and Alkylphenols in Botanical Dietary Supplements Prior to HPLC–MS/MS Analysis. Foods 2025, 14, 3768. https://doi.org/10.3390/foods14213768
Dong Y, Liu H, Qiao Y, Wang H. Supramolecular Solvent-Based Extraction of Bisphenols and Alkylphenols in Botanical Dietary Supplements Prior to HPLC–MS/MS Analysis. Foods. 2025; 14(21):3768. https://doi.org/10.3390/foods14213768
Chicago/Turabian StyleDong, Yalei, Huijun Liu, Yasen Qiao, and Haiyan Wang. 2025. "Supramolecular Solvent-Based Extraction of Bisphenols and Alkylphenols in Botanical Dietary Supplements Prior to HPLC–MS/MS Analysis" Foods 14, no. 21: 3768. https://doi.org/10.3390/foods14213768
APA StyleDong, Y., Liu, H., Qiao, Y., & Wang, H. (2025). Supramolecular Solvent-Based Extraction of Bisphenols and Alkylphenols in Botanical Dietary Supplements Prior to HPLC–MS/MS Analysis. Foods, 14(21), 3768. https://doi.org/10.3390/foods14213768

