Sign in to use this feature.

Years

Between: -

Subjects

remove_circle_outline
remove_circle_outline
remove_circle_outline
remove_circle_outline
remove_circle_outline
remove_circle_outline
remove_circle_outline
remove_circle_outline
remove_circle_outline

Journals

remove_circle_outline
remove_circle_outline
remove_circle_outline
remove_circle_outline
remove_circle_outline
remove_circle_outline
remove_circle_outline
remove_circle_outline
remove_circle_outline
remove_circle_outline
remove_circle_outline
remove_circle_outline
remove_circle_outline

Article Types

Countries / Regions

remove_circle_outline
remove_circle_outline
remove_circle_outline
remove_circle_outline
remove_circle_outline
remove_circle_outline

Search Results (1,682)

Search Parameters:
Keywords = bisphenols

Order results
Result details
Results per page
Select all
Export citation of selected articles as:
22 pages, 1713 KB  
Article
Protective Effects of Myrtus communis Essential Oil Against Bisphenol A-Induced Sperm Dysfunction: Insights from Lipidomic, Amino Acid Profiling, Oxidative Stress and Molecular Docking
by Mariem Mhimdi, Slimen Selmi, Wael Taamalli, Stefania Sut, Hichem Sebai and Stefano Dall’acqua
Antioxidants 2026, 15(5), 536; https://doi.org/10.3390/antiox15050536 (registering DOI) - 24 Apr 2026
Abstract
BisphenolA (BPA) is a common endocrine disruptor that impairs male fertility through oxidative stress and alterations in membrane lipids. This study evaluated the protective effects of Myrtus communis L. essential oil (EOMC) on BPA-induced sperm toxicity in Wistar rats in vitro. BPA significantly [...] Read more.
BisphenolA (BPA) is a common endocrine disruptor that impairs male fertility through oxidative stress and alterations in membrane lipids. This study evaluated the protective effects of Myrtus communis L. essential oil (EOMC) on BPA-induced sperm toxicity in Wistar rats in vitro. BPA significantly decreased sperm motility and viability. It also increased lipid peroxidation, depleted thiols, and reduced the activity of antioxidant enzymes (SOD, CAT-like and GPx-like). Concomitant treatment with low and intermediate doses of EOMC (0.5–1 µL/mL) restored sperm function, reduced oxidative stress, and preserved membrane phospholipids. However, the highest dose (5 µL/mL) further impaired sperm function and disrupted membrane phospholipids. BPA also altered amino acid profiles and accumulated intracellularly, effects partially reversed by EOMC, which redistributed free BPA into the culture medium. Bioavailability analysis revealed selective absorption of α-pinene, while d-limonene and 1,8-cineole were undetectable. Molecular modeling indicated strong binding of BPA to antioxidant enzymes, potentially disrupting their structure and activity. Overall, these results show that EOMC protects sperm from BPA-induced damage in a dose-dependent manner through antioxidant, membrane-stabilizing, and redistribution mechanisms. This highlights its potential application in phytotherapy for male reproductive health. Full article
(This article belongs to the Section Antioxidant Enzyme Systems)
Show Figures

Figure 1

37 pages, 5337 KB  
Review
Safety and Innovation in Conventional Plastics: A Review of Polymer Synthesis and Emerging Technologies
by Derval dos Santos Rosa, Hélio Wiebeck, Alana Gabrieli Souza, Sueli Aparecida de Oliveira and Manoel Lisboa da Silva Neto
Polymers 2026, 18(8), 1007; https://doi.org/10.3390/polym18081007 - 21 Apr 2026
Viewed by 421
Abstract
Persistent misconceptions about the alleged presence of bisphenol A (BPA) in major commodity plastics continue to distort public perception and, in some cases, regulatory discourse. This occurs despite scientific evidence showing that these polymers are synthesized without BPA. This review examines five widely [...] Read more.
Persistent misconceptions about the alleged presence of bisphenol A (BPA) in major commodity plastics continue to distort public perception and, in some cases, regulatory discourse. This occurs despite scientific evidence showing that these polymers are synthesized without BPA. This review examines five widely used plastics—PET, PE, PP, PS, and PVC—focusing on their synthesis, structure–property relationships, and technological changes affecting the sector. We highlight recent innovations in green catalysis, bio-based feedstocks, polymer redesign, and advanced recycling. These advances are speeding the shift to efficient, sustainable processes and a circular polymer economy. We discuss market trends and regulatory frameworks to explain their global and Brazilian relevance, showing how communication gaps can lead to misinformation. By uniting chemical, technological, and regulatory views, this review supports public understanding, evidence-based policy, and the development of safer, high-performance, sustainable polymers. Full article
(This article belongs to the Section Innovation of Polymer Science and Technology)
Show Figures

Figure 1

15 pages, 1856 KB  
Article
Application of Eutectic-Solvent-Based Liquid–Liquid Microextraction for Removal of Eight Bisphenols from Water and Industrial Samples
by Michal Adámek, Petr Tůma and Zuzana Bosáková
Molecules 2026, 31(8), 1357; https://doi.org/10.3390/molecules31081357 - 21 Apr 2026
Viewed by 209
Abstract
In this study, new types of eutectic solvents (ESs) are tested for their ability to remove the eight most common bisphenols (BPA, BPB, BPC, BPE, BPF, BPG, BPS, BPAP), which are environmentally monitored substances, from aqueous matrices. A total of 18 ESs based [...] Read more.
In this study, new types of eutectic solvents (ESs) are tested for their ability to remove the eight most common bisphenols (BPA, BPB, BPC, BPE, BPF, BPG, BPS, BPAP), which are environmentally monitored substances, from aqueous matrices. A total of 18 ESs based on hydrophobic organic acids, such as capric, caprylic, lauric, and myristic acids, and terpenes, such as DL-menthol, terpineol, linalool, and geraniol, are prepared and mixed in various molar ratios. The highest extraction yield for all types of BPs is achieved with a binary mixture of geraniol:caprylic acid prepared in a molar ratio of 1:1. This ES can be used repeatedly for five consecutive cycles achieving almost 100% recovery for BPB, BPC, BPG, and BPAP, while for BPA, BPE, and BPF, the yield drops to 97% and for BPS to 90%. The efficiency of ES extraction is verified using HPLC-MS/MS to determine the BPs in the aqueous phase. This is performed at a pentafluorophenylpropyl stationary phase with LOQs ranging from 0.24 to 29.1 ng/mL. The applicability of this HPLC-MS/MS method was demonstrated by monitoring the occurrence of BPs in thermal paper and other industrial samples. Full article
Show Figures

Figure 1

19 pages, 3939 KB  
Article
Functionalized Cotton as a Robust Platform for Laccase Immobilization: A Sustainable Approach for Bisphenol A Bioremediation
by Reda M. El-Shishtawy, Nedaa Alharbi and Yaaser Q. Almulaiky
Textiles 2026, 6(2), 48; https://doi.org/10.3390/textiles6020048 - 17 Apr 2026
Viewed by 140
Abstract
This study presents a highly efficient and sustainable biocatalytic platform for bisphenol A (BPA) bioremediation through the covalent immobilization of laccase onto hierarchically functionalized cotton fibers. The immobilization strategy involved selective periodate oxidation of cellulose, grafting a hexamethylenediamine (HMDA) spacer arm, and glutaraldehyde [...] Read more.
This study presents a highly efficient and sustainable biocatalytic platform for bisphenol A (BPA) bioremediation through the covalent immobilization of laccase onto hierarchically functionalized cotton fibers. The immobilization strategy involved selective periodate oxidation of cellulose, grafting a hexamethylenediamine (HMDA) spacer arm, and glutaraldehyde activation, ensuring stable covalent attachment. Characterization via FTIR, SEM, and BET confirmed successful surface modification and high enzyme loading, achieving an immobilization yield of 90.5%. The immobilized laccase (CT-DA-HMD-Lac) exhibited significantly enhanced performance compared to the free enzyme, with a two-fold increase in maximum reaction velocity (Vmax) and a 75% improvement in catalytic efficiency of action (Vmax/Km). Furthermore, the biocatalyst demonstrated superior robustness, maintaining high activity across broader pH and temperature ranges, and retaining 75% of its initial activity after 15 consecutive reusability cycles. Storage stability was also markedly improved, with 83% activity retention after 60 days. Practical application in BPA degradation showed 85% removal efficiency within 300 min, a 2.4-fold increase in the degradation rate constant over the free enzyme. These results highlight functionalized cotton as a promising, cost-effective, and scalable support for advanced enzymatic wastewater treatment and the remediation of persistent endocrine-disrupting chemicals. Full article
(This article belongs to the Special Issue Textile Recycling and Sustainability)
Show Figures

Figure 1

19 pages, 5392 KB  
Article
Melanin-Inspired Biomimetic Strategy for Preserving Adhesion of Lubricants via Thiol-Quinone Addition
by Xiao Song, Chao Mei, Yinna Wu, Dan He, Junwei Zhu, Qi Chen, Jiaxin Guo, Zhengwei Zhao, Tonghui Xie and Wenbin Liu
Biomimetics 2026, 11(4), 269; https://doi.org/10.3390/biomimetics11040269 - 14 Apr 2026
Viewed by 255
Abstract
Lubricants are essential for water-based drilling fluids. Catechol-based lubricants provide improved lubrication performance owing to their strong adhesion ability through the formation of coordination bonds inspired by mussel adhesion. However, the conventional synthetic ester and amide lubricants suffer from loss of adhesive capability [...] Read more.
Lubricants are essential for water-based drilling fluids. Catechol-based lubricants provide improved lubrication performance owing to their strong adhesion ability through the formation of coordination bonds inspired by mussel adhesion. However, the conventional synthetic ester and amide lubricants suffer from loss of adhesive capability due to hydrolysis and autoxidation. Inspired by mussels and melanin biosynthesis, a biomimetic strategy was developed to synthesize a high-adhesion lubricant with good stability via thiol-quinone Michael addition to restore and stabilize the catechol moiety. Bisphenol A was oxidized to the corresponding quinone using 2-iodoxybenzoic acid. Subsequent Michael addition reaction with 1-octadecanethiol produced a thiol-functionalized lubricant containing catechol moieties and long alkyl chains through an S-catecholyl linkage. Biomimetic principles were incorporated into both the molecular structure and the synthetic route, emulating the structural and functional features of mussel adhesion and melanin biosynthesis. Octadecanethiol provided sulfur-containing extreme-pressure functionality and contributed to strong adsorption on metal surfaces. The molecular structure was confirmed by FTIR, 1H NMR, and 13C NMR. The thiol-functionalized lubricant formed strong coordination with Fe3+ and Fe2+ ions across a wide pH range, with an apparent complexation stoichiometry of 1:1 and conditional stability constants of 4.09 and 5.02, respectively. Bis-coordination formed a cross-linking network. It exhibited good resistance toward autoxidation and thermal stability up to 350 °C. In bentonite-based drilling fluids, the extreme pressure lubrication coefficient and adhesion coefficient at a 1% addition were 0.06 and 0.07, respectively. The coefficient of friction and wear scar diameter were 0.09 and 0.63 mm, respectively. The increased contact angle confirmed strong adsorption of the lubricant on metal surfaces. The lubricant combined strong adhesion, high stability, and excellent compatibility with drilling fluids, highlighting its potential as an advanced biomimetic lubricant. This biomimetic thiol-quinone addition strategy provides an effective approach to overcome the instability of conventional catechol-based lubricants. Full article
(This article belongs to the Special Issue Advances in Biomimetics: 10th Anniversary)
Show Figures

Graphical abstract

17 pages, 3215 KB  
Article
Preparation and Plugging Performance Evaluation of Epoxy Resin Particles via an Optimized Synthesis Method
by Jun Zhang, Sheng Fan, Zhong He, Xin Zheng and Shifeng Zhang
Processes 2026, 14(8), 1242; https://doi.org/10.3390/pr14081242 - 13 Apr 2026
Viewed by 346
Abstract
To overcome polymer-based plugging materials’ disadvantage of being prone to degradation and failure under hydrothermal conditions, an epoxy resin plugging particle with a high-pressure-bearing capacity under high temperatures was prepared by optimizing the curing process. Bisphenol A Epoxy Resin E51 and Diethyltoluenediamine (DETDA) [...] Read more.
To overcome polymer-based plugging materials’ disadvantage of being prone to degradation and failure under hydrothermal conditions, an epoxy resin plugging particle with a high-pressure-bearing capacity under high temperatures was prepared by optimizing the curing process. Bisphenol A Epoxy Resin E51 and Diethyltoluenediamine (DETDA) were selected as raw materials for sample preparation. Due to the high viscosity of the system, 1,2-cyclohexanediol diglycidyl ether was introduced as a diluent, and an optimal concentration of 20% was determined through experimental optimization. Non-isothermal differential scanning calorimetry, bottle testing, and infrared spectroscopy were employed to investigate the variation laws of curing temperature, curing time and curing degree during the epoxy resin curing process via one-step and multi-step methods. The compressive strength of the epoxy resin prepared using the two processes was evaluated. After comprehensively comparing the preparation time, process complexity, and compressive strength of the final samples of the one-step and two-step curing methods, the one-step process (90 °C/5 h) was determined to be superior. In addition, the results of the fracture plugging experiment showed that after the bulk epoxy resin prepared using the optimized process was made into particles through a mechanical method and treated under hydrothermal conditions at 120 °C, the maximum breakthrough pressure reached 4.2 MPa, which was 950% and 135.96% higher than that of Particle 1 (Poly(2-acrylamido-2-methylpropanesulfonic acid)/acrylamide (PAMPS/AM) gel) and Particle 2 (PAMPS/AM gel treated with Polyethylene glycol (PEG)), respectively, which were used as control groups. This result indicates that epoxy resin can be used as a high-temperature-resistant plugging material and should be further researched. Full article
Show Figures

Figure 1

24 pages, 4493 KB  
Article
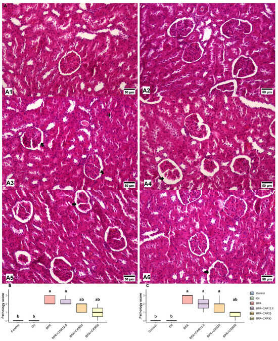
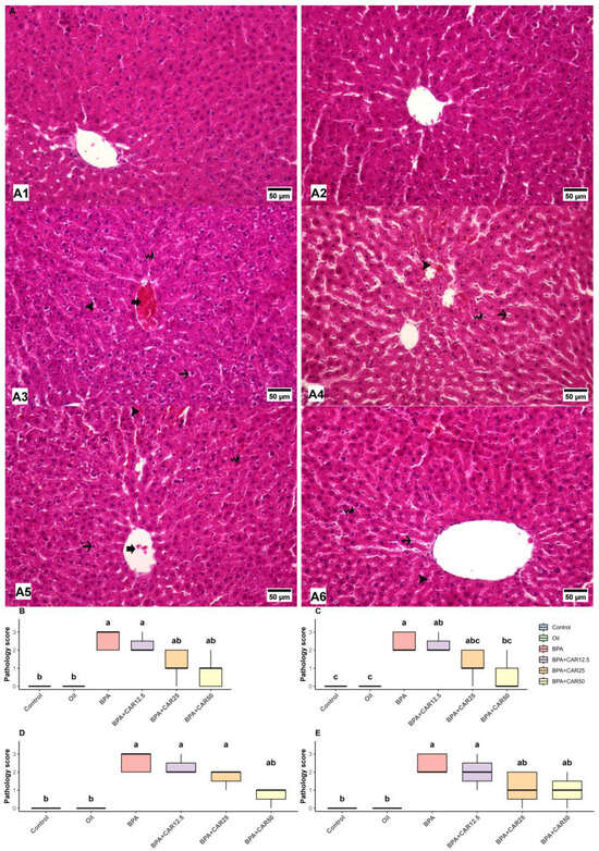
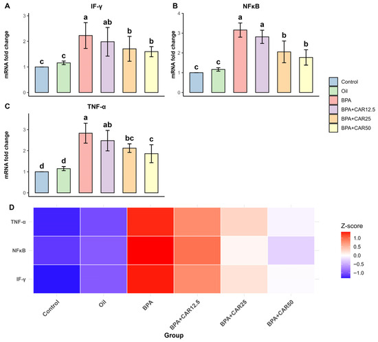
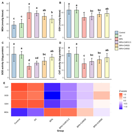
A Natural Monoterpene, Carvacrol, Mitigates Bisphenol A-Triggered Hepatorenal Oxidative Damage, Pro-Inflammatory Gene Expression, and Histopathological Alterations in Rats
by Nurtaç Küçükbüğrü and Ulas Acaroz
Life 2026, 16(4), 643; https://doi.org/10.3390/life16040643 - 10 Apr 2026
Viewed by 322
Abstract
Bisphenol A (BPA) is a widely used endocrine-disrupting chemical that has been linked to oxidative stress and inflammation. This study investigated whether carvacrol (CAR), a natural monoterpene with antioxidant potential, mitigates BPA-induced hepatorenal toxicity in rats. Forty-two male Wistar albino rats were allocated [...] Read more.
Bisphenol A (BPA) is a widely used endocrine-disrupting chemical that has been linked to oxidative stress and inflammation. This study investigated whether carvacrol (CAR), a natural monoterpene with antioxidant potential, mitigates BPA-induced hepatorenal toxicity in rats. Forty-two male Wistar albino rats were allocated into six groups (n = 7/group): control, vehicle (corn oil), BPA (25 mg/kg/day), and BPA co-administered with CAR (12.5, 25, or 50 mg/kg/day) by oral gavage for 30 days. Oxidative status was assessed in liver and kidney homogenates by measuring malondialdehyde (MDA), reduced glutathione (GSH), and the activities of superoxide dismutase (SOD) and catalase (CAT). In addition, histopathological evaluations were performed, and pro-inflammatory gene expression (NF-κB, TNF-α, and IFN-γ) was quantified by RT-qPCR. BPA induced a consistent pro-oxidant pattern, including increased hepatic MDA with depleted antioxidant defenses, and upregulated inflammatory transcripts. Carvacrol attenuated these alterations in a dose-dependent manner, and the CAR50 group was associated with statistically supported improvements across the oxidative stress panel, pro-inflammatory transcript expression, and histopathology scores. Overall, these findings identify carvacrol as a candidate for further preclinical evaluation against BPA-triggered oxidative and inflammatory disturbances in vivo; however, human-relevant extrapolation will require careful attention to dose scaling, bioavailability, and metabolism. Full article
(This article belongs to the Section Physiology and Pathology)
Show Figures

Graphical abstract

21 pages, 1873 KB  
Article
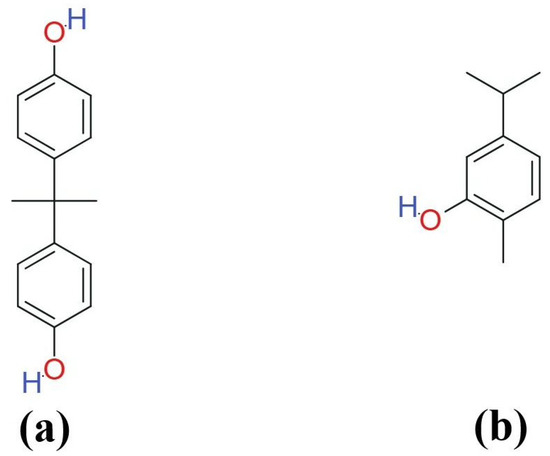
Effects of Maternal Tetramethyl Bisphenol F Exposure on Neurodevelopment and Behavior in Mouse Offspring
by Inho Hwang, Sun Kim and Eui-Bae Jeung
Int. J. Mol. Sci. 2026, 27(7), 3299; https://doi.org/10.3390/ijms27073299 - 5 Apr 2026
Viewed by 589
Abstract
Bisphenol A (BPA) has long been used in plastics, resins, and food packaging materials; however, extensive research has demonstrated its reproductive, developmental, and endocrine-disrupting effects. Consequently, BPA has been increasingly restricted and replaced with structural analogues. Among these, tetramethyl bisphenol F (TMBPF) has [...] Read more.
Bisphenol A (BPA) has long been used in plastics, resins, and food packaging materials; however, extensive research has demonstrated its reproductive, developmental, and endocrine-disrupting effects. Consequently, BPA has been increasingly restricted and replaced with structural analogues. Among these, tetramethyl bisphenol F (TMBPF) has emerged as one of the most widely used substitutes, particularly in epoxy resins and food-can coatings. Although initially regarded as a safer alternative, accumulating evidence suggests that TMBPF may exert multiple toxicological effects, raising concerns about its potential developmental neurotoxicity. The present study aimed to investigate the neurodevelopmental effects of TMBPF using both in vitro and in vivo approaches. First, a developmental neurotoxicity assay employing Sox1−GFP mouse embryonic stem cells was used to evaluate cytotoxicity using the cell counting kit-8 assay and neural differentiation based on green fluorescent protein (GFP) fluorescence intensity. The results indicated developmental neurotoxic potential according to the established discrimination index. Subsequently, pregnant and lactating mice were exposed to TMBPF daily from gestational day 10.5 to postnatal day 20, and their offspring were assessed for behavioral performance as well as changes in the expression of neurodevelopment-related genes in the brain. Behavioral analyses encompassed multiple domains, including memory and learning, social behavior, anxiety-related responses, and spontaneous locomotor activity, suggesting alterations in these functional outcomes. Molecular analyses further demonstrated changes associated with dopaminergic and cholinergic signaling, synaptic plasticity, neuronal activity markers, neuropeptides, and inflammatory pathways. Collectively, these findings provide the first evidence in a mammalian model that maternal exposure to TMBPF may influence offspring neurodevelopment. These findings suggest potential implications for human exposure to TMBPF, particularly through food-contact materials, and warrant further mechanistic and dose–response studies. Full article
Show Figures

Graphical abstract

23 pages, 3667 KB  
Article
High-Content Imaging and Machine Learning Classify Phenotypical Change in Coronary Artery Endothelial Cells Caused by BPS
by Lavinia Eugenia Ferariu, Gheorghe Movileanu, Giulia Gaggi, Barbara Ghinassi, Angela di Baldassarre and Andrea Di Credico
Int. J. Mol. Sci. 2026, 27(7), 3259; https://doi.org/10.3390/ijms27073259 - 3 Apr 2026
Viewed by 435
Abstract
Bisphenol S (BPS) is widely used as a replacement for bisphenol A, yet accumulating evidence suggests that it has comparable endocrine and cardiovascular toxicity. Here, we investigated whether prolonged low-dose BPS exposure induces subtle but classifiable phenotypic alterations in human coronary artery endothelial [...] Read more.
Bisphenol S (BPS) is widely used as a replacement for bisphenol A, yet accumulating evidence suggests that it has comparable endocrine and cardiovascular toxicity. Here, we investigated whether prolonged low-dose BPS exposure induces subtle but classifiable phenotypic alterations in human coronary artery endothelial cells (HCAEC), using an end-to-end experimental and ML pipeline that spans cell culture, high-content imaging, feature extraction, and robust classification. Cells were exposed to 0.1 µM BPS for 96 h and profiled using a cell painting assay and high-content microscopy. Image segmentation yielded ~2500 quantitative features per cell across four compartments—Membrane, Cytoplasm, Ring region (i.e., perinuclear region), and Nucleus—for multiple fluorophores. We systematically compared different classifiers (Random Forest, XGBoost, LASSO logistic regressor) using feature selection (MRMR, ReliefF, LASSO) or transformation-based dimensionality reduction (PCA, autoencoders). Tree-based ensembles robustly handled high-dimensional inputs, with XGBoost combined with ReliefF-selected features achieving the best performance. The most informative descriptors predominantly mapped to mitochondrial and nuclear channels, indicating early alterations in mitochondrial organisation and chromatin-related features. These findings show that chronic low-dose BPS exposure elicits a distinct endothelial phenotype, consistent with early endothelial dysfunction, and demonstrate that integrating high-content imaging with machine learning provides a sensitive, scalable framework for vascular toxicity assessment of environmental contaminants. Full article
(This article belongs to the Section Molecular Toxicology)
Show Figures

Figure 1

19 pages, 5573 KB  
Article
DOPO-Triazole Synergistic Epoxy Monomer: A Strategy to Overcome the Flame-Retardancy/Toughness Trade-Off
by Zankun Gong, Xiao He, Shuyue Gong, Haitao Lin and Yucai Lin
Coatings 2026, 16(4), 421; https://doi.org/10.3390/coatings16040421 - 1 Apr 2026
Viewed by 476
Abstract
Epoxy resins (EP) are widely used in aerospace, electronics, and coatings due to their excellent mechanical and thermal properties. However, their inherent flammability and brittleness limit high-end applications. In this work, a novel reactive flame retardant epoxy monomer (EP-DVGA) containing DOPO and triazole [...] Read more.
Epoxy resins (EP) are widely used in aerospace, electronics, and coatings due to their excellent mechanical and thermal properties. However, their inherent flammability and brittleness limit high-end applications. In this work, a novel reactive flame retardant epoxy monomer (EP-DVGA) containing DOPO and triazole units was designed and synthesized via a molecular engineering strategy. The chemical structure was confirmed by FTIR and NMR. A series of modified epoxy thermosets were prepared by co-curing EP-DVGA with bisphenol A epoxy resin (E51) using DDM as curing agent. The results showed that EP-DVGA significantly enhanced flame retardancy: At 16.31 wt% loading, the limiting oxygen index increased from 25.9% to 34.3% with UL-94 V-0 rating, and cone calorimetry revealed 73.2% and 69.2% reductions in peak heat release rate and total heat release, respectively. Mechanistic studies demonstrated a dual flame retardant effect involving phosphorus radical quenching in the gas phase and formation of a dense graphitized char layer in the condensed phase. Remarkably, EP-DVGA also improved mechanical properties—impact strength increased by 47% and tensile strength by 33.1% at optimal loadings—attributed to energy dissipation through reversible hydrogen bonding and π–π interactions. This molecular design successfully overcomes the traditional trade-off between flame retardancy and mechanical performance, offering a promising strategy for developing high-performance intrinsically flame retardant epoxy materials. Full article
(This article belongs to the Special Issue Innovative Flame-Retardant Coatings for High-Performance Materials)
Show Figures

Figure 1

20 pages, 3814 KB  
Article
Highly Efficient Mineralization of Typical PPCPs in Medical Wastewater via P25TiO2 Photocatalysis Under Sunlight Irradiation
by Meiqi Gao, Xinyan Hou, Hongmei Li, Yansen Han, Jianing Wang and Yanqiu Cao
Molecules 2026, 31(7), 1163; https://doi.org/10.3390/molecules31071163 - 31 Mar 2026
Viewed by 489
Abstract
Pharmaceuticals and personal care products (PPCPs), as persistent organic pollutants, are widely present in various aquatic environments. Their long-term presence in aquatic environments poses a potential threat to ecosystems and human health. This study established an efficient, green, and cost-effective photocatalytic method using [...] Read more.
Pharmaceuticals and personal care products (PPCPs), as persistent organic pollutants, are widely present in various aquatic environments. Their long-term presence in aquatic environments poses a potential threat to ecosystems and human health. This study established an efficient, green, and cost-effective photocatalytic method using P25 titanium dioxide (P25TiO2) to simultaneously degrade five representative PPCPs (methyl paraben (MeP), carbamazepine (CBZ), bisphenol A (BPA), diclofenac (DFC), and triclosan (TCS), while elucidating the reaction mechanisms. Under sunlight irradiation, degradation rates for all five PPCPs reached 100%, achieving near-complete mineralization with total organic carbon (TOC) removal rates exceeding 95%. This demonstrates the system’s exceptional capability to not only degrade the parent compounds but to thoroughly convert them into benign inorganic substances. We systematically investigated the effects of catalyst concentration, initial pollutant concentration, light intensity, pH, and various common inorganic anions (chloride, sulfate, bicarbonate, phosphate) and humic acid (HA) on the degradation process. Additionally, mechanistic studies indicated that hydroxyl radicals (·OH) are the primary active species in the system. The degradation rate differences among various persistent organic pollutants (DFC > BPA > TCS > CBZ > MeP) primarily stem from variations in the reactivity of different functional groups within their molecular structures toward ·OH. In summary, this study provides a promising and practical solution for treating complex medical wastewater containing five typical PPCPs. Full article
Show Figures

Graphical abstract

16 pages, 1392 KB  
Article
The Effect of PDMS Incorporation on the Physicochemical Properties of Acrylate-Based Resins for SLA-Based 3D Printing
by Yura Choi, Jayoung Hyeon, Jinyoung Kim, Eunsu Park and Namchul Cho
Polymers 2026, 18(7), 827; https://doi.org/10.3390/polym18070827 - 28 Mar 2026
Viewed by 442
Abstract
A photo-curable silicone-modified resin system based on polydimethylsiloxane (PDMS) was developed and systematically evaluated for stereolithography (SLA)-based 3D printing applications. The resin formulation consisted of bisphenol A ethoxylate dimethacrylate (Bis-EMA) and trimethylolpropane triacrylate (TMPTMA) as reactive monomers, with methacrylate-terminated PDMS (PDMS-MMA) incorporated at [...] Read more.
A photo-curable silicone-modified resin system based on polydimethylsiloxane (PDMS) was developed and systematically evaluated for stereolithography (SLA)-based 3D printing applications. The resin formulation consisted of bisphenol A ethoxylate dimethacrylate (Bis-EMA) and trimethylolpropane triacrylate (TMPTMA) as reactive monomers, with methacrylate-terminated PDMS (PDMS-MMA) incorporated at concentrations ranging from 0 to 15 wt%. The influence of PDMS-MMA content on key physicochemical properties relevant to SLA processing, including viscosity, mechanical performance, thermal stability, optical transmittance, and curing shrinkage, was systematically investigated. Moderate incorporation of PDMS-MMA improved the mechanical flexibility of the resin, with the tensile strength reaching a maximum value of 5.95 MPa at 5 wt% PDMS-MMA. However, further increases in PDMS-MMA content resulted in a gradual decrease in tensile strength and optical transmittance, indicating the importance of optimizing the formulation composition. Thermogravimetric analysis (TGA) indicated improved thermal stability with increasing PDMS-MMA content, while curing shrinkage decreased progressively as the PDMS fraction increased. Structural printing tests confirmed that the developed resin system exhibited stable layer adhesion and shape fidelity during SLA fabrication, enabling the successful printing of complex three-dimensional structures. These results demonstrate that PDMS-modified acrylate resins provide a promising strategy for balancing mechanical flexibility, dimensional stability, and printability in SLA-based additive manufacturing. Full article
Show Figures

Figure 1

30 pages, 7927 KB  
Article
Construction and Performance Study of BDDE-Toughened Modified Mannich Base Epoxy System
by Siyu Wu, Suining Zheng, Wenlan Zhang and Huaxin Chen
Materials 2026, 19(7), 1332; https://doi.org/10.3390/ma19071332 - 27 Mar 2026
Viewed by 375
Abstract
To mitigate the issue of brittleness and cracking in epoxy resin (EP) anti-skid systems, this study investigates four key aspects tailored to application scenarios: toughening, low shrinkage, strong adhesion, and rapid curing at ambient temperature. 1,4-Butanediol diglycidyl ether (BDDE) was used to extend [...] Read more.
To mitigate the issue of brittleness and cracking in epoxy resin (EP) anti-skid systems, this study investigates four key aspects tailored to application scenarios: toughening, low shrinkage, strong adhesion, and rapid curing at ambient temperature. 1,4-Butanediol diglycidyl ether (BDDE) was used to extend the chain of triethylenetetramine (TETA), followed by a Mannich reaction with formaldehyde (F) and cardanol to prepare a flexible aliphatic amine Mannich base curing agent containing flexible segments (Curing Agent B). The influence of composition ratios on the mechanical properties of the cured product was studied. The curing performance of the epoxy system under various temperature conditions and its adhesion to asphalt substrates were characterized. The thermal shrinkage behavior of the epoxy system under temperature-variable environments was also investigated. The results indicated that the elongation at break of the epoxy curing system, after chain extension and toughening, increased from 28.7% to 40.4%, representing a 28.9% increase. When n (Cardanol):n (TETA):n (F):n (BDDE) = 1:1.4:0.8:0.7 (molar ratio of reactants), m (EP):m (Curing Agent B) = 1:1 (mass ratio), and epoxy-terminated polyurethane (EPU) prepolymer constituted 10% of the epoxy resin mass; the epoxy curing system exhibited an elongation at break of 44.3%, a tensile strength of 7.0 MPa, a bond strength of 6.9 MPa, and an impact toughness of 1.77 J/cm2. Furthermore, it exhibited rapid curing at a low temperature (0~5 °C) and at room temperature (25 °C). Additionally, when bisphenol F epoxy resin was used, the system demonstrated optimal thermal expansion properties. Full article
Show Figures

Figure 1

18 pages, 2060 KB  
Article
BPA Disrupts Hepatic Lipid and Carbohydrate Metabolism in Female Zebrafish: Protective Effects of Probiotics Revealed by FTIRI and Lipidomics
by Christian Giommi, Chiara Santoni, Fabrizia Carli, Amalia Gastaldelli, Francesca Maradonna, Hamid R. Habibi, Elisabetta Giorgini and Oliana Carnevali
Int. J. Mol. Sci. 2026, 27(7), 2978; https://doi.org/10.3390/ijms27072978 - 25 Mar 2026
Viewed by 375
Abstract
Bisphenol A (BPA) is a widespread endocrine disruptor that interferes with metabolism in humans and animals by inducing oxidative stress, lipid peroxidation, and cell death. Probiotics, conversely, have shown potential in promoting host health and reducing the toxicity of endocrine-disrupting chemicals (EDCs). This [...] Read more.
Bisphenol A (BPA) is a widespread endocrine disruptor that interferes with metabolism in humans and animals by inducing oxidative stress, lipid peroxidation, and cell death. Probiotics, conversely, have shown potential in promoting host health and reducing the toxicity of endocrine-disrupting chemicals (EDCs). This study examined whether sub-chronic BPA exposure disrupts hepatic lipid metabolism in female zebrafish (Danio rerio), and whether co-administration of probiotics mitigates these effects. Adult females were exposed for 28 days to the following treatments: 10 µg/L BPA via water (BPA); 109 CFU/g body weight/day of probiotic formulation (P); and both treatments (BPA+P). An untreated group served as a control (CTRL). Hepatic lipid composition was analyzed using UHPLC-QTOF-MS, while liver sections were investigated by Fourier Transform Infrared Imaging (FTIRI) spectroscopy. BPA exposure decreased 14 unsaturated triacylglycerols and lysophosphatidylcholine 18:0, suggesting steatosis onset and inflammation, while in the group exposed to BPA+P, the decrease was limited to 8 triacylglycerols and the reduction in lysophosphatidylcholine 18:0 was prevented. Analyses of pooled liver samples precluded modeling tank-level effects; thus, the results are interpreted as semi-quantitative. Partial least square discriminant analysis built on the comparison of all groups together confirmed an intermediate phenotype for BPA+P fish between BPA and P groups. The observed beneficial role of probiotics in counteracting BPA-related metabolic disturbances was also supported by FTIRI, evidencing the ability to mitigate the effects of BPA on lipid and glycosylated compound metabolism. These findings highlight the potential of probiotic supplementation as a practical and accessible strategy to mitigate BPA-induced metabolic disturbances, contributing to the development of mitigating approaches against environmental contaminant-related liver dysfunction. Full article
Show Figures

Graphical abstract

24 pages, 4039 KB  
Review
Simultaneous Determination of Bisphenol A and Its Analogues in Food Matrixes: Cumulative Exposure Assessment Following New Regulatory Restrictions—A Systematic Review
by Nika Lovrincevic Pavlovic, Ivan Miskulin, Ivana Kotromanovic Simic, Lea Dumic, Darko Kotromanovic and Maja Miskulin
Foods 2026, 15(6), 1104; https://doi.org/10.3390/foods15061104 - 21 Mar 2026
Viewed by 591
Abstract
Recent scientific evidence confirms that there is no safe threshold for bisphenol A intake, prompting strict regulatory actions and new prohibitions in the European Union. As a result, bisphenol A has increasingly been replaced by other analogues that are also toxic but less [...] Read more.
Recent scientific evidence confirms that there is no safe threshold for bisphenol A intake, prompting strict regulatory actions and new prohibitions in the European Union. As a result, bisphenol A has increasingly been replaced by other analogues that are also toxic but less regulated and insufficiently studied, posing a new risk to human health due to cumulative exposure. Since food is the primary source of exposure to these compounds, this review aimed to evaluate the most appropriate existing chromatographic methods for their determination under newly introduced near-zero tolerance limits, as well as to assess current cumulative dietary exposure and associated health risks. A systematic literature search was conducted in major scientific databases and relevant regulatory sources covering the period from 2015 to 2025, following PRISMA guidelines. Of the 489 identified publications, 22 met the eligibility criteria for full-text analysis. The findings indicate a clear methodological shift towards simultaneous quantification of multiple bisphenol analogues, with LC-MS/MS emerging as the dominant and most robust analytical technique. Dietary exposure to bisphenol A is expected to decline due to stricter regulations; however, this may trigger a rise in the use of its structural analogues as alternatives. Exposure assessments indicate that combined dietary intake of bisphenol A and its analogues can result in a Hazard Index exceeding 1, primarily due to the substantially reduced Tolerable Daily Intake for bisphenol A. This highlights the need for continuous monitoring under stricter regulatory frameworks. Full article
(This article belongs to the Special Issue Application of Chromatography in Food Toxicology)
Show Figures

Graphical abstract

Back to TopTop