Nutrition, Flavor, and Microbial Communities of Two Traditional Bacterial Douchi from Gansu, China
Abstract
1. Introduction
2. Materials and Methods
2.1. Sample Collection and Preprocessing
2.2. Determination of Nutrients in the Two Types of Douchi
2.2.1. Determination of Basic Physicochemical Indices in the Two Types of Douchi
2.2.2. Determination of Free Fatty Acids (FFAs) in the Two Types of Douchi
2.2.3. Determination of Free Amino Acids (FAAs) in the Two Types of Douchi
2.3. Determination and Analysis of Volatile Flavor Compounds in the Two Types of Douchi
2.3.1. Determination of Volatile Flavor Compounds
2.3.2. Identification of the Key Flavor Compounds in the Two Types of Douchi by ROAV
2.4. Characterization of Microbiota and Their Correlation with Flavor Compounds in the Two Types of Douchi
2.5. Data Analysis
3. Results and Analysis
3.1. Analysis of Nutritional Components of Longnan and Qingyang Douchi
3.1.1. Analysis of Basic Physicochemical Indicators of the Two Types of Douchi
3.1.2. Analysis of FFAs in the Two Types of Douchi
3.1.3. Analysis of FAAs in the Two Types of Douchi
3.2. Analysis of Volatile Flavor Compounds in the Two Types of Douchi
3.2.1. Determination of Volatile Flavor Compounds
3.2.2. Identification of Key Flavor Compounds Using ROAV
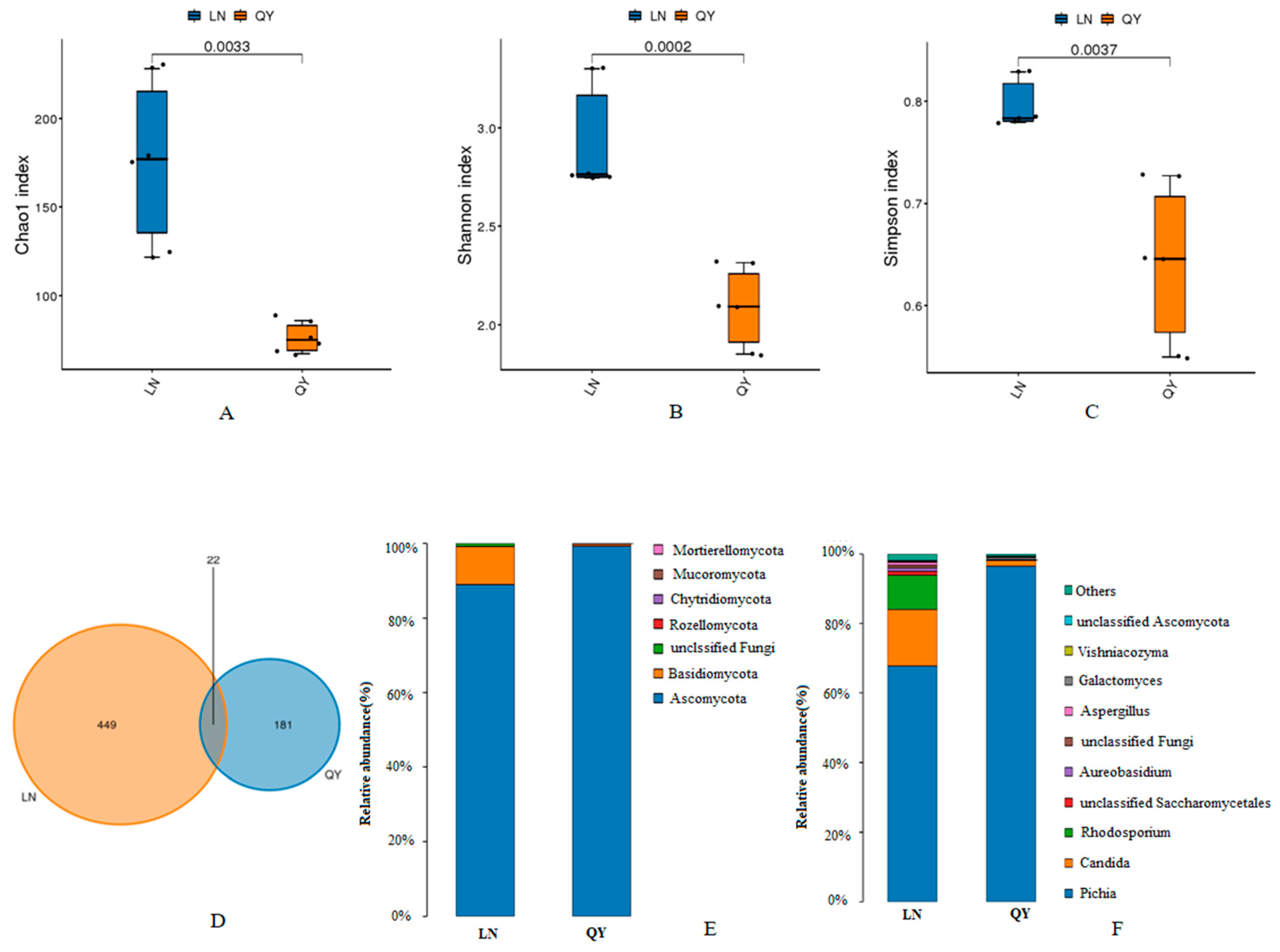
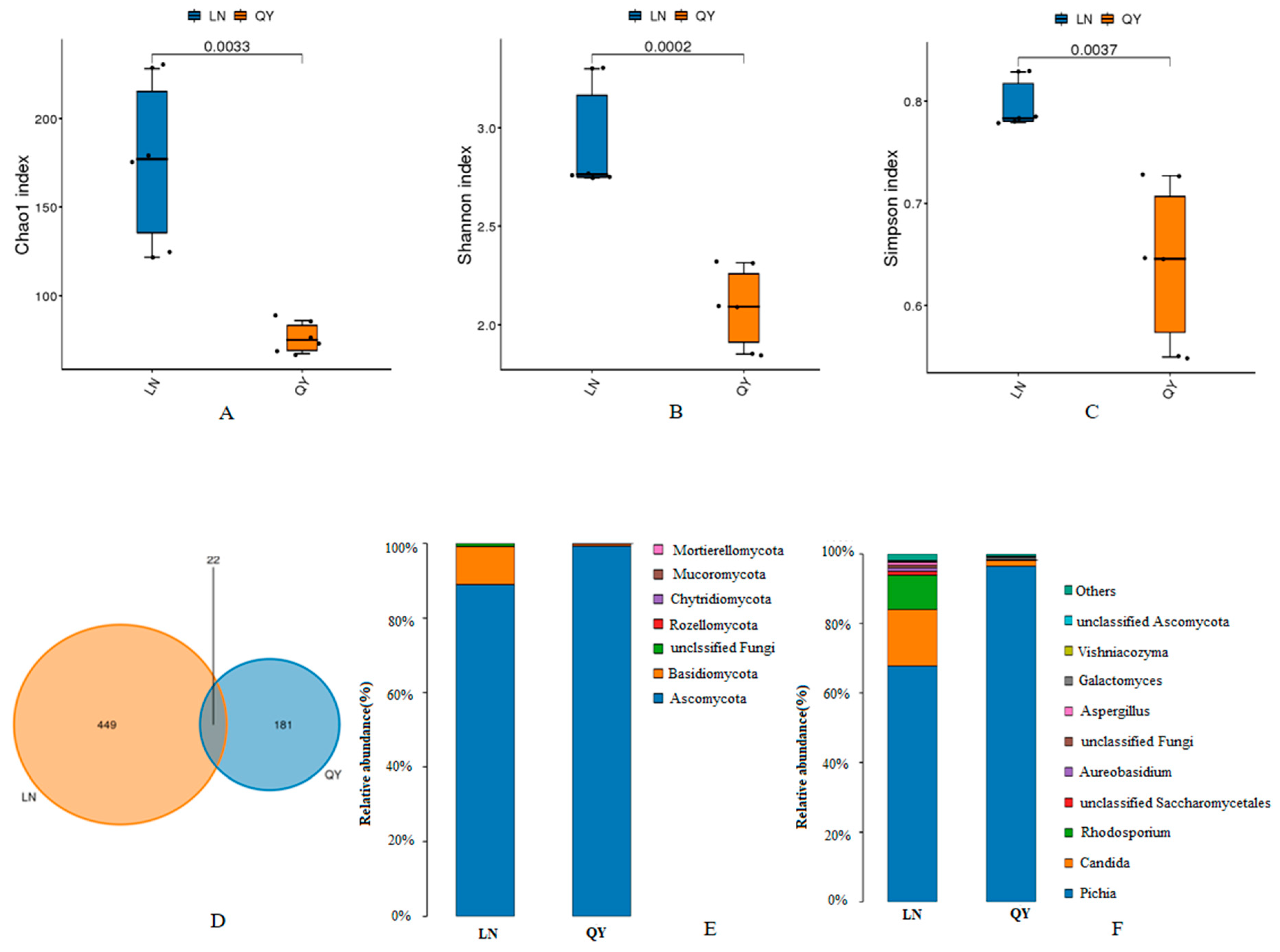
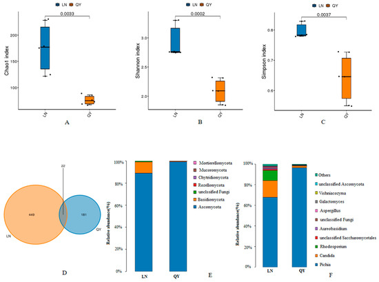
3.3. Major Microorganismsin the Two Types of Douchi
3.4. Correlation Between Major Microorganisms and Flavor Compounds in the Two Types of Douchi
4. Conclusions
Supplementary Materials
Author Contributions
Funding
Data Availability Statement
Acknowledgments
Conflicts of Interest
References
- He, B.; Li, H.; Hu, Z.; Zhang, Y.; Sun, M.; Qiu, S.; Zeng, B. Difference in microbial community and taste compounds between Mucor-type and Aspergillus-type Douchi during koji–making. Food Res. Int. 2019, 121, 136–143. [Google Scholar] [CrossRef] [PubMed]
- Hu, Y.; Yu, D.; Wang, Z.; Hou, J.; Tyagi, R.; Liang, Y.; Hu, Y. Purification and characterization of a novel, highly potent fibrinolytic enzyme from Bacillus subtilis DC27 screened from Douchi, a traditional Chinese fermented soybean food. Sci. Rep. 2019, 9, 9235. [Google Scholar] [CrossRef] [PubMed]
- Ali, A.M.M.; Bavisetty, S.C.B. Purification, physicochemical properties, and statistical optimization of fibrinolytic enzymes especially from fermented foods: A comprehensive review. Int. J. Biol. Macromol. 2020, 163, 1498–1517. [Google Scholar]
- Engels, W.J.M.; Visser, S. Isolation and comparative characterization of components that contribute to the flavour of different types of cheese. Neth. Milk Dairy J. 1994, 48, 127–140. [Google Scholar]
- Hemme, D.; Bouillanne, C.; Metro, F.; Desmazeaud, M.J. Microbial catabolism of amino acids during cheese ripening. Sci. Aliment. 1982, 2, 113–123. [Google Scholar]
- Christensen, J.E.; Dudley, E.G.; Pederson, J.A.; Steele, J.L. Peptidases and amino acid catabolism in lactic acid bacteria. Anton. Leeuw. Int. J. G. 1999, 76, 217–246. [Google Scholar] [CrossRef]
- Chen, Y.; Li, P.; Liao, L.; Qin, Y.; Jiang, L.; Liu, Y. Characteristic fingerprints and volatile flavor compound variations in Liuyang Douchi during fermentation via HS-GC-IMS and HS-SPME-GC-MS. Food Chem. 2021, 361, 130055. [Google Scholar] [CrossRef] [PubMed]
- Zhang, Y.; Zeng, T.; Wang, H.; Song, J.; Suo, H. Correlation between the quality and microbial community of natural-type and artificial-type Yongchuan Douchi. LWT 2021, 140, 110788. [Google Scholar] [CrossRef]
- Fan, J.F.; Zhang, Y.Y.; Chang, X.J.; Saito, M.; Li, Z.G. Changes in the radical scavenging activity of bacterial-type Douchi, a traditional fermented soybean product, during the primary fermentation process. Biosci. Biotech. Biochem. 2009, 73, 2749–2753. [Google Scholar] [CrossRef]
- Wang, N.; Chen, W.X.; Zhang, W.P.; Zhang, J.S. Community diversity of different bacterial-type of Guizhou Douchi using high throughput sequencing. Food Ferment. Ind. 2022, 48, 85–90,104. (In Chinese) [Google Scholar]
- Zhu, S.; Wu, K. Evaluation of protein nutritional value-amino acid ratio coefficient method. J. Nutr. 1998, 10, 187–190. [Google Scholar]
- Hu, X.; Ma, J.; Qian, W.; Cao, Y.; Zhang, Y.; Liu, B.; Tang, L.; Cao, W.; Zhu, Y.; Liu, L. Effects of low temperature on the amino acid composition of wheat grains. Agronomy 2022, 12, 1171. [Google Scholar] [CrossRef]
- He, G.; Huang, J.; Liang, R.; Wu, C.; Zhou, R. Comparing the differences of characteristic flavour between natural maturation and starter culture for Mucor-type Douchi. Int. J. Food Sci. Technol. 2016, 51, 1252–1259. [Google Scholar] [CrossRef]
- Cai, W.; Wang, Y.; Wang, W.; Shu, N.; Hou, Q.; Tang, F.; Shan, C.; Yang, X.; Guo, Z. Insights into the aroma profile of sauce-flavor baijiu by GC-IMS combined with multivariate statistical analysis. J. Anal. Methods Chem. 2022, 2022, 4614330. [Google Scholar] [CrossRef]
- Chen, C.; Xiang, J.Y.; Hu, W.; Xie, Y.B.; Wang, T.J.; Cui, J.W.; Xu, Y.; Liu, Z.; Xiang, H.; Xie, Q. Identification of key micro-organisms involved in Douchi fermentation by statistical analysis and their use in an experimental fermentation. J. Appl. Microbiol. 2015, 119, 1324–1334. [Google Scholar] [CrossRef]
- Hammad, S.; Pu, S.; Jones, P.J. Current evidence supporting the link between dietary fatty acids and cardiovascular disease. Lipids 2016, 51, 507–517. [Google Scholar] [CrossRef] [PubMed]
- Report of the Cardiovascular Review Group Committee on Medical Aspects of Food Policy. Nutritional Aspects of Cardiovascular Disease; HMSO: London, UK, 1994. [Google Scholar]
- Dang, Y.; Hao, L.I.; Zhou, T.; Cao, J.; Sun, Y.; Pan, D. Establishment of new assessment method for the synergistic effect between umami peptides and monosodium glutamate using electronic tongue. Food Res. Int. 2019, 121, 20–27. [Google Scholar] [CrossRef]
- Wang, H.; Qin, Y.; Li, J.; Xu, X.; Zhou, G. Edible quality of soft-boiled chicken processing with chilled carcass was better than that of hot-fresh carcass. Food Sci. Nutr. 2019, 7, 797–804. [Google Scholar] [CrossRef]
- Zhao, C.; Su, W.; Mu, Y.; Jiang, L.; Mu, Y. Correlations between microbiota with physicochemical properties and volatile flavor components in black glutinous rice wine fermentation. Food Res. Int. 2020, 138, 109800. [Google Scholar] [CrossRef]
- Li, J.; Peng, B.; Huang, L.; Zhong, B.; Yu, C.; Hu, X.; Wang, W.; Tu, Z. Association between flavors and microbial communities of traditional Aspergillus-Douchi produced by a typical industrial–scale factory. LWT 2023, 176, 114532. [Google Scholar] [CrossRef]
- Zhong, A.; Chen, W.; Duan, Y.; Li, K.; Tang, X.; Wu, Z.; Li, Z.; Wang, Y.; Wang, C. The potential correlation between microbial communities and flavors in traditional fermented sour meat. LWT 2021, 149, 111873. [Google Scholar] [CrossRef]
- Clarke, H.J.; Fitzpatrick, E.; Hennessy, D.; O’Sullivan, M.G.; Kerry, J.P.; Kilcawley, K.N. The influence of pasture and non-pasture-based feeding systems on the aroma of raw bovine milk. Front. Nutr. 2022, 9, 841454. [Google Scholar] [CrossRef] [PubMed]
- Xie, J.; Jiang, L.W.; Bin, T.; Chen, M.F.; Liao, L.Y.; Liu, D.M.; Zhou, H. Comparison of the effects of three different drying methods on the quality of Liuyang douchi as analyzed by electronic tongue and SPME-GC-MS. Food Sci. 2016, 37, 92–98. (In Chinese) [Google Scholar]
- Xie, X.; Liu, N.; Yang, B.; Yu, C.; Zhang, Q.; Zheng, X.; Xu, L.; Li, R.; Liu, J. Comparison of microbial community in hydrolysis acidification reactor depending on different structure dyes by Illumina MiSeq sequencing. Int. Biodeterior. Biodegrad. 2016, 111, 14–21. [Google Scholar] [CrossRef]
- Liu, D.Y.; Zhou, G.H.; Xu, X.L. “ROAV” method: A new method for determining key odor compounds of rugao ham. Food Sci. 2008, 29, 370–374. (In Chinese) [Google Scholar]
- Van Gemert, L.J. Odour Thresholds: Compilations of Odour Threshold Values in Air, Water and Other Media, 2011th ed.; Oliemans Punter & Partners BV: Zeist, The Netherlands, 2011. [Google Scholar]
- Le Berre, E.; Béno, N.; Ishii, A.; Chabanet, C.; Etievant, P.; Thomas-Danguin, T. Just noticeable differences in component concentrations modify the odor quality of a blending mixture. Chem. Senses 2008, 33, 389–395. [Google Scholar] [CrossRef]
- Li, X.; Xing, Y.; Cao, L.; Xu, Q.; Li, S.; Wang, R.; Jiang, Z.; Che, Z.; Lin, H. Effects of six commercial Saccharomyces cerevisiae strains on phenolic attributes, antioxidant activity, and aroma of kiwifruit (Actinidia deliciosa cv.) wine. Biomed. Res. Int. 2017, 2017, 2934743. [Google Scholar]
- Huang, Z.; Huang, L.; Xing, G.; Xu, X.; Tu, C.; Dong, M. Effect of co-fermentation with lactic acid bacteria and K. marxianus on physicochemical and sensory properties of goat milk. Foods 2020, 9, 299. [Google Scholar] [CrossRef]
- Fan, G.; Liu, P.; Chang, X.; Yin, H.; Cheng, L.; Teng, C.; Gong, Y.; Li, X. Isolation and identification of a high-yield ethyl caproate-producing yeast from Daqu and optimization of its fermentation. Front. Microbiol. 2021, 12, 663744. [Google Scholar] [CrossRef]
- Lin, X.Y. Dictionary of Flavor and Fragrance; Chemical Industry Press: Beijing, China, 2007. (In Chinese) [Google Scholar]
- Zhao, H.; Xu, J.; Wang, R.; Liu, X.; Peng, X.; Guo, S. Succession and diversity of microbial flora during the fermentation of douchi and their effects on the formation of characteristic aroma. Foods 2023, 12, 329. [Google Scholar] [CrossRef]
- Guo, X.; Song, C.; Ho, C.T.; Wan, X. Contribution of L-theanine to the formation of 2, 5-dimethylpyrazine, a key roasted peanutty flavor in Oolong tea during manufacturing processes. Food Chem. 2018, 263, 18–28. [Google Scholar] [CrossRef] [PubMed]
- Min, S.; Yu, Y.; Yoo, S.; Martin, S.S. Effect of soybean varieties and growing locations on the flavor of soymilk. J. Food Sci. 2005, 70, C1–C11. [Google Scholar] [CrossRef]
- Hong, S.J.; Jeong, H.; Yoon, S.; Jo, S.M.; Lee, Y.; Park, S.S.; Shin, E.C. A comprehensive study for taste and odor compounds using electronic tongue and nose in broccoli stem with different thermal processing. Food Sci. Biotechnol. 2022, 31, 191–201. [Google Scholar] [CrossRef] [PubMed]
- Jagtap, S.S.; Bedekar, A.A.; Liu, J.J.; Jin, Y.S.; Rao, C.V. Production of galactitol from galactose by the oleaginous yeast Rhodosporidiumtoruloides IFO0880. Biotechnol. Biofuels 2019, 12, 250. [Google Scholar] [CrossRef]
- Lu, Y.; Li, P.; Bai, S.; Chen, S.; Zhao, M.; Gou, W.; You, M.; Cheng, Q. Effect of phenyllactic acid on silage fermentation and bacterial community of reed canary grass on the Qinghai Tibetan Plateau. BMC Microbiol. 2022, 22, 83. [Google Scholar] [CrossRef]



| Physicochemical Indicators | LN Douchi | QY Douchi |
|---|---|---|
| Moisture (%) | 33.96 ± 0.44 b | 37.24 ± 0.47 a |
| Fat (%) | 2.09 ± 0.01 b | 9.19 ± 0.05 a |
| Amino acid nitrogen (g/100 g) | 1.16 ± 0.01 a | 0.78 ± 0.00 b |
| Salt (g/100 g) | 5.92 ± 0.21 a | 4.19 ± 0.13 b |
| Total acid (g/100 g) | 1.98 ± 0.02 a | 2.04 ± 0.02 a |
| Protein (g/100 g) | 34.14 ± 0.26 a | 28.49 ± 0.16 b |
| FFAs | Content (%) | |
|---|---|---|
| LN Douchi | QY Douchi | |
| Saturated Fatty Acids (SFAs) | ||
| Myristic acid (C14:0) | 0.04 ± 0.00 b | 0.07 ± 0.01 a |
| Palmitic acid (C16:0) | 10.65 ± 0.10 a | 9.63 ± 0.14 b |
| Heptadecanoic acid (C17:0) | 0.09 ± 0.00 a | 0.08 ± 0.00 b |
| Stearic acid (C18:0) | 3.41 ± 0.02 a | 3.52 ± 0.03 a |
| Arachidic acid (C20:0) | 0.21 ± 0.02 b | 0.29 ± 0.01 a |
| Behenic acid (C22:0) | 0.28 ± 0.02 a | 0.30 ± 0.01 a |
| Lignoceric acid (C24:0) | 0.06 ± 0.01 b | 0.11 ± 0.01 a |
| Total | 14.74 ± 0.14 | 14.00 ± 0.21 |
| Monounsaturated Fatty Acids (MUFAs) | ||
| Heptacenoic acid (C17:1) | 0.04 ± 0.00 a | 0.03 ± 0.00 b |
| Oleic acid (C18:1n-9) | 18.80 ± 0.04 b | 20.01 ± 0.13 a |
| cis-11-Eicosenoic acid (C20:1) | 0.03 ± 0.00 a | 0.03 ± 0.01 a |
| Erucic acid (C20:1) | 0.07 ± 0.01 a | 0.02 ± 0.00 b |
| Tetradecanoic acid (C24:1) | 0.26 ± 0.06 | - |
| Total | 19.20 ± 0.11 | 20.09 ± 0.11 |
| Polyunsaturated Fatty Acids (PUFAs) | ||
| Linoleic acid (C18:2) | 56.79 ± 0.08 a | 55.54 ± 0.07 b |
| Linolenic acid (C18:3) | 9.25 ± 0.03 b | 10.32 ± 0.06 a |
| Docosadienoic acid (C22:2) | 0.08 ± 0.01 | - |
| cis-11,14-Eicosadienoic acid (C20:2) | 0.02 ± 0.00 a | 0.02 ± 0.00 a |
| Total | 66.14 ± 0.12 | 65.88 ± 0.13 |
| PUFA/SFA | 4.49 | 4.71 |
| FAAs | Content (g/100 g) | ||
|---|---|---|---|
| LN Douchi | QY Douchi | ||
| Essential amino acids | Threonine (Thr) | 0.58 ± 0.02 a | 0.24 ± 0.02 b |
| Lysine (Lys) | 0.82 ± 0.00 a | 0.60 ± 0.02 b | |
| Isoleucine (Ile) | 0.80 ± 0.01 a | 0.43 ± 0.00 b | |
| Leucine (Leu) | 1.72 ± 0.02 a | 0.91 ± 0.02 b | |
| Phenylalanine (Phe) | 1.19 ± 0.01 a | 0.66 ± 0.00 b | |
| Valine (Val) | 0.74 ± 0.01 a | 0.45 ± 0.01 b | |
| Non-essential amino acids | Alanine (Ala) | 1.15 ± 0.08 a | 0.65 ± 0.01 b |
| Histidine (His) | 0.56 ± 0.02 a | 0.41 ± 0.00 b | |
| Proline (Pro) | 2.11 ± 0.08 a | 1.68 ± 0.02 b | |
| Glutamate (Glu) | 6.13 ± 0.11 a | 4.81 ± 0.02 b | |
| Tyrosine (Tyr) | 0.22 ± 0.02 b | 0.35 ± 0.01 a | |
| Aspartate (Asp) | 0.84 ± 0.02 a | 0.64 ± 0.01 b | |
| Cystine (Cys) | 0.32 ± 0.02 a | 0.11 ± 0.01 b | |
| Serine (Ser) | 0.62 ± 0.02 a | 0.24 ± 0.01 b | |
| Glycine (Gly) | 0.63 ± 0.02 a | 0.21 ± 0.01 b | |
| Arginine (Arg) | 0.86 ± 0.01 a | 0.47 ± 0.01 b | |
| Total | 19.31 ± 0.86 | 12.58 ± 0.18 | |
| No. | Category | Compound Name | Relative Content (%) | |
|---|---|---|---|---|
| LN Douchi | QY Douchi | |||
| Esters | ||||
| 1 | Ethyl acetate | 3.93 ± 0.29 | - | |
| 2 | Ethyl isobutyrate | 4.36 ± 0.31 | - | |
| 3 | Ethyl Butyrate | 4.90 ± 0.30 | - | |
| 4 | Ethyl 2-methylbutyrate | 2.59 ± 0.14 | - | |
| 5 | Ethyl isovalerate | 8.37 ± 0.47 | - | |
| 6 | Isoamyl acetate | 1.35 ± 0.07 | - | |
| 7 | Ethyl hexanoate | 2.57 ± 0.13 | - | |
| 8 | Isoamyl butyrate | 0.27 ± 0.04 | - | |
| 9 | 2-Methylbutyrate-3-methylbutyl ester | 0.32 ± 0.03 | - | |
| 10 | 3-Methyl-2-methylbutyl butyrate | 0.47 ± 0.07 | - | |
| 11 | Ethyl heptanoate | 0.36 ± 0.04 | - | |
| 12 | Ethyl caprylate | 0.29 ± 0.02 a | 0.05 ± 0.01 b | |
| 13 | Linalyl acetate | 1.89 ± 0.10 | - | |
| 14 | Methyl benzoate | 0.55 ± 0.02 a | 0.12 ± 0.01 b | |
| 15 | γ-butyrolactone | 0.10 ± 0.06 | - | |
| Alcohols | ||||
| 16 | Ethanol | 5.75 ± 0.52 | - | |
| 17 | 2-Methyl-1-propanol | 0.19 ± 0.04 | - | |
| 18 | 1-Penten-3-ol | - | 0.13 ± 0.01 | |
| 19 | Isoamyl alcohol | 3.17 ± 0.08 b | 7.87 ± 0.03 a | |
| 20 | 2-Heptanol | 0.09 ± 0.01 | - | |
| 21 | 3-Nonyl alcohol | - | 0.30 ± 0.02 | |
| 22 | Hexanol | 0.11 ± 0.01 | - | |
| 23 | 3-Octanol | 0.37 ± 0.02 | - | |
| 24 | 2-Octanol | 0.02 ± 0.01 | - | |
| 25 | Anti- α,α- 5-Trimethyl-5-vinyltetrahydro-2-furan methanol | 0.11 ± 0.02 | - | |
| 26 | 1-octen-3-ol | 1.38 ± 0.02 a | 0.18 ± 0.01 b | |
| 27 | 3-Methylcyclohexanol | - | 0.06 ± 0.00 | |
| 28 | 1-Octanol | 0.09 ± 0.01 | - | |
| 29 | 2,3-butanediol | 1.22 ± 0.07 | - | |
| 30 | 4-Terpeneol | 1.31 ± 0.04 | - | |
| 31 | 2-ethylhexanol | - | 0.18 ± 0.01 | |
| 32 | furfuryl alcohol | 0.48 ± 0.01 | - | |
| Ketones | ||||
| 33 | Acetone | - | 1.99 ± 0.53 | |
| 34 | 2-Butanone | - | 9.27 ± 1.14 | |
| 35 | 2-Pentanone | - | 8.54 ± 0.41 | |
| 36 | 4-Methyl-2-pentanone | - | 0.29 ± 0.15 | |
| 37 | 3-Methyl-2-pentanone | - | 3.01 ± 0.35 | |
| 38 | 2,3-Pentanedione | - | 0.05 ± 0.00 | |
| 39 | 2-Heptanone | - | 0.79 ± 0.07 | |
| 40 | Cyclopentanone | - | 1.41 ± 0.29 | |
| 41 | 2-Octanone | 0.07 ± 0.01 | - | |
| 42 | 5-Methyl-3-heptanone | - | 1.15 ± 0.07 | |
| 43 | 3-Hydroxy-2-butanone | 0.29 ± 0.01 b | 0.91 ± 0.01 a | |
| 44 | 3-Octanone | 1.11 ± 0.07 | - | |
| 45 | 2,2,5-Trimethylcyclopentanone | - | 0.13 ± 0.01 | |
| 46 | 2-Hydroxy-3-pentanone | - | 0.15 ± 0.03 | |
| 47 | 2-Nonanone | - | 0.43 ± 0.02 | |
| 48 | 4-Cyclohepten-1-one | - | 2.76 ± 0.13 | |
| 49 | 3,4,4-Trimethylcyclopent-2-enone | - | 0.27 ± 0.02 | |
| 50 | Acetophenone | 0.18 ± 0.01 a | 0.25 ± 0.01 a | |
| Aldehydes | ||||
| 51 | Furfural | 0.31 ± 0.05 | - | |
| 52 | Benzaldehyde | 0.70 ± 0.09 | - | |
| 53 | 5-Methylfurfural | 0.19 ± 0.01 | - | |
| Terpenoids | ||||
| 54 | Laurylene | 0.83 ± 0.09 | - | |
| 55 | Limonene | 1.51 ± 0.41 | - | |
| 56 | γ- Terpinene | 0.07 ± 0.03 | - | |
| 57 | α-Pinene | 0.05 ± 0.01 | - | |
| Pyrazines | ||||
| 58 | 2-Methylpyrazine | - | 3.42 ± 0.20 | |
| 59 | 2,5-Dimethylpyrazine | 2.33 ± 0.03 b | 26.77 ± 1.26 a | |
| 60 | 2,6-Dimethylpyrazine | 1.05 ± 0.03 b | 2.32 ± 0.01 a | |
| 61 | 2,3-Dimethylpyrazine | 1.70 ± 0.03 a | 0.49 ± 0.03 b | |
| 62 | 2-Ethylpyrazine | - | 0.17 ± 0.01 | |
| 63 | 2-ethyl-5-methylpyrazine | - | 0.15 ± 0.01 | |
| 64 | 2,3,5-trimethylpyrazine | 6.80 ± 0.19 a | 4.71 ± 0.25 b | |
| 65 | 3-ethyl-2,5-methylpyrazine | - | 0.17 ± 0.02 | |
| 66 | 2,3,5-trimethyl-6-ethylpyrazine | 0.27 ± 0.02 | - | |
| Furans | ||||
| 67 | 2-Pentylfuran | - | 0.61 ± 0.09 | |
| 68 | 2-Acetylfuran | - | 0.11 ± 0.01 | |
| Thiazoles | ||||
| 69 | 2,4,5-Trimethylthiazole | 0.96 ± 0.01 a | 0.11 ± 0.02 b | |
| Pyridines | ||||
| 70 | 2,3,4,5-Tetrahydropyridine | - | 0.33 ± 0.02 | |
| Pyrroles | ||||
| 71 | N-methylpyrrole | - | 1.23 ± 0.06 | |
| Aromatics | ||||
| 72 | Toluene | - | 0.59 ± 0.03 | |
| Others | ||||
| 73 | Acetonitrile | - | 0.16 ± 0.09 | |
| 74 | Dimethyl disulfide | - | 1.19 ± 0.15 | |
| 75 | (2E,6E)-4,5-Dimethyl-2,6-octadiene | 0.11 ± 0.02 | - | |
| 76 | Dimethyl trisulfide | 0.14 ± 0.01 | - | |
| 77 | Ligustrazine | 13.40 ± 0.35 a | 2.44 ± 0.36 b | |
| Category | Compound Name | Aroma Descriptors | Aroma Threshold (μg/kg) [27] | ROAVs | |
|---|---|---|---|---|---|
| LN Douchi | QY Douchi | ||||
| Esters | |||||
| Ethyl isobutyrate | strawberry-like odor [28] | 0.1 | 100.00 | - | |
| Ethyl butyrate | pineapple flavor and a floral aroma [29] | 1 | 11.24 | - | |
| Isoamyl acetate | banana [30] | 2 | 1.55 | - | |
| Ethyl hexanoate | apple [31] | 1 | 5.89 | - | |
| Ethyl heptanoate | fruity, wine-like [32] | 2.2 | 0.38 | - | |
| Alcohols | |||||
| 1-Octen-3-ol | mushroom [33] | 1 | 3.17 | 100.00 | |
| 1-Penten-3-ol | vegetable, fruity [32] | 400 | - | 0.18 | |
| Hexanol | sweet, fruity, green, apple [32] | 250 | 0.00 | - | |
| Ketones | |||||
| Acetone | slightly sweet, pungent [32] | 500,000 | - | 0.00 | |
| 2-Butanone | coffee, banana [32] | 50,000 | - | 0.10 | |
| 2-Pentanone | sweet, fruity [32] | 70,000 | - | 0.07 | |
| 2-Octanone | sweet floral, green, apple [32] | 50 | 0.00 | - | |
| 3-Octanone | mushroom, green, vegetable, fruity [32] | 28 | 0.09 | - | |
| Aldehydes | |||||
| Furfural | bread, caramel, nuts [32] | 3000 | 0.00 | - | |
| Pyrazines | |||||
| 2-Methylpyrazine | nuts, baking flavor [32] | 6000 | - | 0.32 | |
| 2,5-Dimethylpyrazine | a baking flavor [34] | 1800 | 0.00 | 8.26 | |
| 2,6-Dimethylpyrazine | fried and roasted flavor, nuts, cocoa [32] | 1500 | 0.00 | 0.86 | |
| 2,3-Dimethylpyrazine | roast, cocoa, nuts [32] | 2500 | 0.00 | 0.11 | |
| 2-Ethylpyrazine | roast, cocoa, nuts [32] | 6000 | - | 0.02 | |
| 2-ethyl-5-methylpyrazine | roast, cocoa, nuts [32] | 100 | - | 0.83 | |
| 2,3,5-Trimethylpyrazine | roast, cocoa, nuts [32] | 9000 | 0.00 | 0.29 | |
| Furans | |||||
| 2-Pentylfuran | has a legume and grassy flavor [35] | 6 | - | 56.48 | |
| Thiazoles | |||||
| 2,4,5-Trimethylthiazole | earthy [36] | 50 | 0.04 | 1.22 | |
Disclaimer/Publisher’s Note: The statements, opinions and data contained in all publications are solely those of the individual author(s) and contributor(s) and not of MDPI and/or the editor(s). MDPI and/or the editor(s) disclaim responsibility for any injury to people or property resulting from any ideas, methods, instructions or products referred to in the content. |
© 2024 by the authors. Licensee MDPI, Basel, Switzerland. This article is an open access article distributed under the terms and conditions of the Creative Commons Attribution (CC BY) license (https://creativecommons.org/licenses/by/4.0/).
Share and Cite
Qiao, H.; Li, Y.; Cui, F.; Zhang, W.; Zhang, Z.; Li, H. Nutrition, Flavor, and Microbial Communities of Two Traditional Bacterial Douchi from Gansu, China. Foods 2024, 13, 3519. https://doi.org/10.3390/foods13213519
Qiao H, Li Y, Cui F, Zhang W, Zhang Z, Li H. Nutrition, Flavor, and Microbial Communities of Two Traditional Bacterial Douchi from Gansu, China. Foods. 2024; 13(21):3519. https://doi.org/10.3390/foods13213519
Chicago/Turabian StyleQiao, Haijun, Yaping Li, Fengyun Cui, Weibing Zhang, Zhongming Zhang, and Huifeng Li. 2024. "Nutrition, Flavor, and Microbial Communities of Two Traditional Bacterial Douchi from Gansu, China" Foods 13, no. 21: 3519. https://doi.org/10.3390/foods13213519
APA StyleQiao, H., Li, Y., Cui, F., Zhang, W., Zhang, Z., & Li, H. (2024). Nutrition, Flavor, and Microbial Communities of Two Traditional Bacterial Douchi from Gansu, China. Foods, 13(21), 3519. https://doi.org/10.3390/foods13213519
