Antioxidative and Cytoprotective Effects of Rosa Roxburghii and Metabolite Changes in Oxidative Stress-Induced HepG2 Cells Following Rosa Roxburghii Intervention
Abstract
1. Introduction
2. Materials and Methods
2.1. Materials and Chemicals
2.2. Preparation of Rosa Roxburghii Aqueous Extract
2.2.1. Total Phenol Content
2.2.2. Total Flavonoid Concentration
2.2.3. Soluble Protein Concentration
2.2.4. Amino Acid Concentration
2.2.5. Organic Acid Concentration
2.2.6. Total Sugar and Polysaccharide Concentration
2.2.7. SOD Activity
2.3. In Vitro Antioxidant Ability
2.3.1. ABTS+ Free Radical Scavenging Ability
2.3.2. DPPH Radical Scavenging Ability
2.3.3. Hydroxyl Radical Scavenging Ability
2.4. Cell Culture
2.5. The Cell Viability of the RRE Intervention and H2O2-Induced HepG2 Cells
2.6. Experimental Grouping and Treatments
2.7. Biochemical Indicators of H2O2-Induced HepG2 Cells
2.7.1. Cellular Antioxidant Enzyme Activity and BCA Level Measurements
2.7.2. Intracellular ROS Level Measurement
2.8. Cellular Metabolite Extraction
2.9. Derivatization
2.10. GC-MS Condition
2.11. Data and Statistical Analysis
3. Results
3.1. Active Components
3.1.1. Total Phenols, Flavonoids, Protein, and Superoxide Dismutase (SOD)
3.1.2. Protein, Amino Acids, and Organic Acids
3.2. Cellular Cytotoxicity
3.2.1. Cell Modeling
3.2.2. Cytotoxicity
3.3. Antioxidant Activity
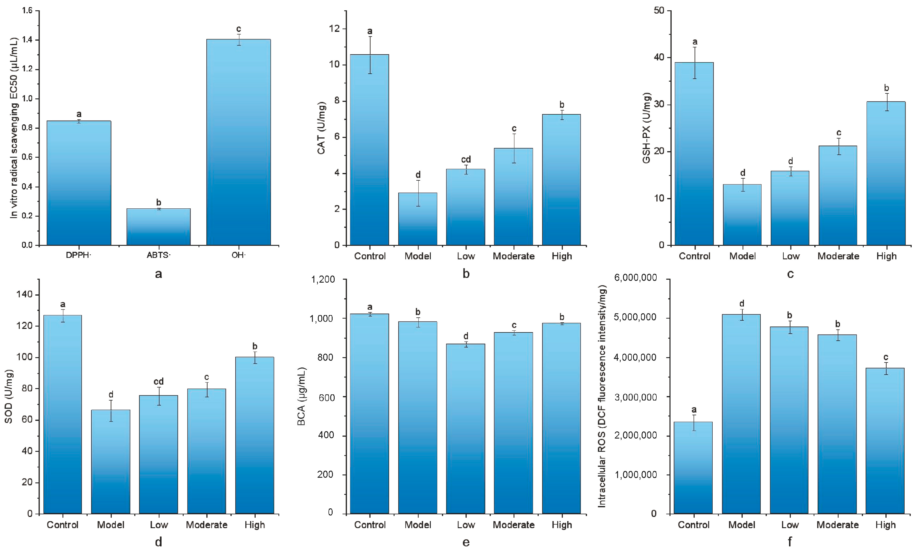
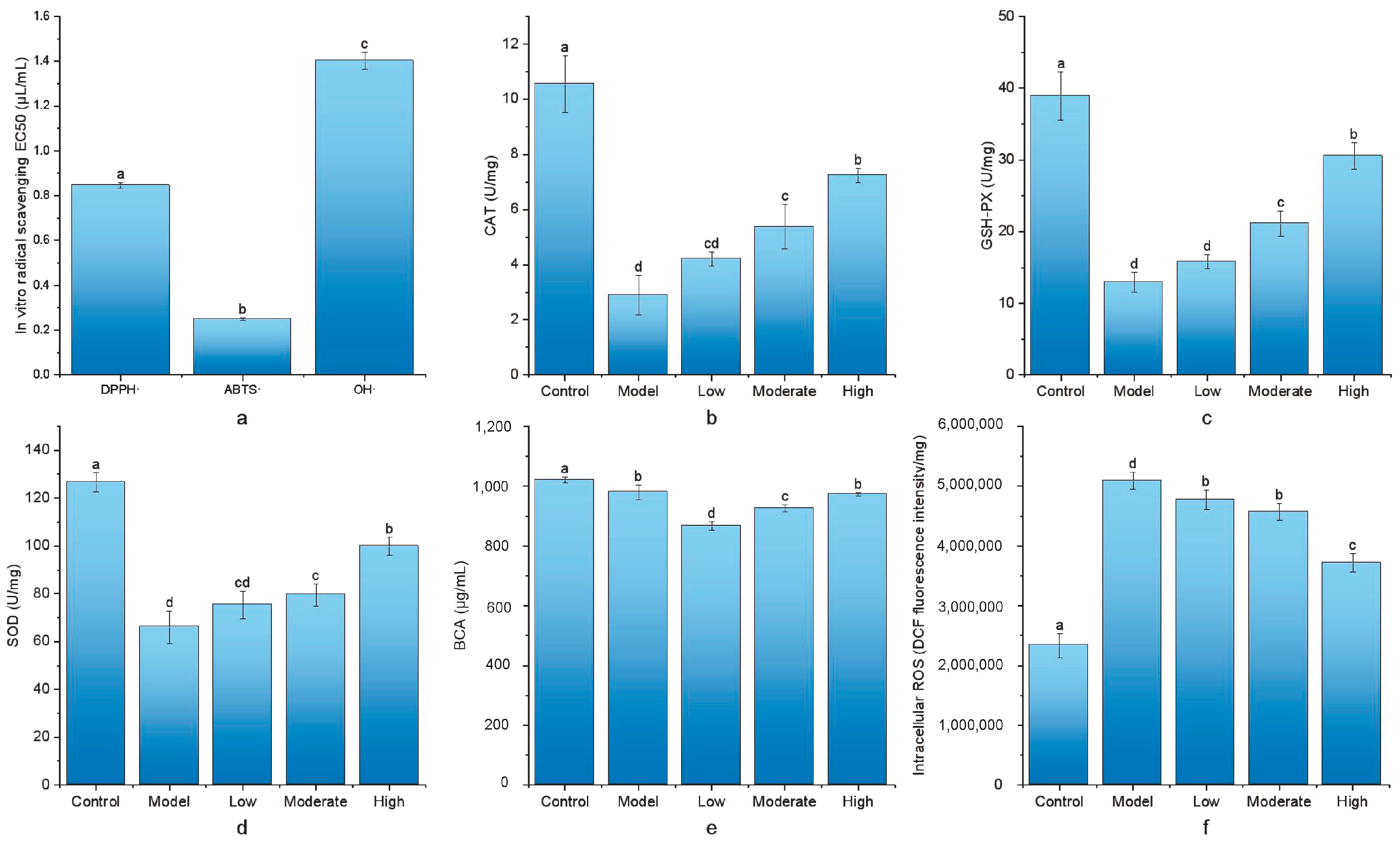
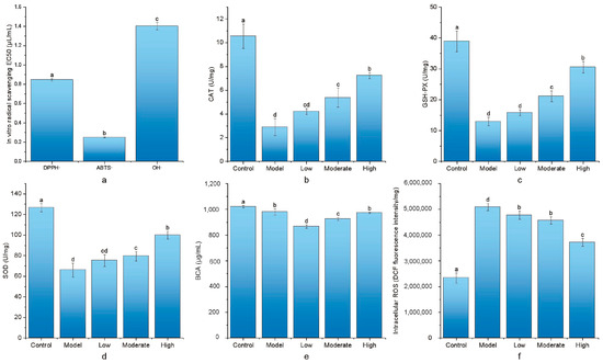
3.3.1. In Vitro Radical Scavenging Capacity
3.3.2. Cellular Antioxidant Enzyme Activity, BCA, and ROS Levels
3.4. Metabolite Analysis
3.4.1. Metabolite Composition Analysis
3.4.2. Data Pattern and Model Identification
3.4.3. Analysis of Differential Metabolites
3.4.4. Differential Metabolite-Enriched KEGG Pathways
4. Discussion
4.1. Bioactive Components
4.2. Antioxidative Activity and Protective Effect of RRE on HepG2 Cells
4.3. Differential Metabolite Analysis
5. Conclusions
Author Contributions
Funding
Data Availability Statement
Acknowledgments
Conflicts of Interest
References
- Sies, H. Oxidative Stress: Concept and Some Practical Aspects. Antioxidants 2020, 9, 852. [Google Scholar] [CrossRef] [PubMed]
- Cui, Q.; Wang, J.Q.; Assaraf, Y.G.; Ren, L.; Gupta, P.; Wei, L.Y.; Ashby, C.R.; Yang, D.H.; Chen, Z.S. Modulating ROS to overcome multidrug resistance in cancer. Drug Resist. Update 2018, 41, 1–25. [Google Scholar] [CrossRef] [PubMed]
- Reddy, V.P. Oxidative Stress in Health and Disease. Biomedicines 2023, 11, 2925. [Google Scholar] [CrossRef] [PubMed]
- Bai, R.R.; Guo, J.A.; Ye, X.Y.; Xie, Y.Y.; Xie, T. Oxidative stress: The core pathogenesis and mechanism of Alzheimer’s disease. Ageing Res. Rev. 2022, 77, 101619. [Google Scholar] [CrossRef] [PubMed]
- Yaribeygi, H.; Sathyapalan, T.; Atkin, S.L.; Sahebkar, A. Molecular Mechanisms Linking Oxidative Stress and Diabetes Mellitus. Oxid. Med. Cell. Longev. 2020, 2020, 8609213. [Google Scholar] [CrossRef]
- Allameh, A.; Niayesh-Mehr, R.; Aliarab, A.; Sebastiani, G.; Pantopoulos, K. Oxidative Stress in Liver Pathophysiology and Disease. Antioxidants 2023, 12, 1653. [Google Scholar] [CrossRef]
- Hayes, J.D.; Dinkova-Kostova, A.T.; Tew, K.D. Oxidative Stress in Cancer. Cancer Cell 2020, 38, 167–197. [Google Scholar] [CrossRef]
- Pérez-Torres, I.; Castrejón-Téllez, V.; Soto, M.E.; Rubio-Ruiz, M.E.; Manzano-Pech, L.; Guarner-Lans, V. Oxidative Stress, Plant Natural Antioxidants, and Obesity. Int. J. Mol. Sci. 2021, 22, 1786. [Google Scholar] [CrossRef]
- George, S.; Abrahamse, H. Redox Potential of Antioxidants in Cancer Progression and Prevention. Antioxidants 2020, 9, 1156. [Google Scholar] [CrossRef]
- Neha, K.; Haider, M.R.; Pathak, A.; Yar, M.S. Medicinal prospects of antioxidants: A review. Eur. J. Med. Chem. 2019, 178, 687–704. [Google Scholar] [CrossRef]
- Pizzino, G.; Irrera, N.; Cucinotta, M.; Pallio, G.; Mannino, F.; Arcoraci, V.; Squadrito, F.; Altavilla, D.; Bitto, A. Oxidative Stress: Harms and Benefits for Human Health. Oxid. Med. Cell. Longev. 2017, 2017, 8416763. [Google Scholar] [CrossRef] [PubMed]
- Akbari, B.; Baghaei-Yazdi, N.; Bahmaie, M.; Abhari, F.M. The role of plant-derived natural antioxidants in reduction of oxidative stress. Biofactors 2022, 48, 611–633. [Google Scholar] [CrossRef]
- Dias, M.C.; Pinto, D.C.G.A.; Silva, A.M.S. Plant Flavonoids: Chemical Characteristics and Biological Activity. Molecules 2021, 26, 5377. [Google Scholar] [CrossRef]
- Kazmierczak-Baranska, J.; Boguszewska, K.; Adamus-Grabicka, A.; Karwowski, B.T. Two Faces of Vitamin C-Antioxidative and Pro-Oxidative Agent. Nutrients 2020, 12, 1501. [Google Scholar] [CrossRef] [PubMed]
- Nieto, G.; Martínez-Zamora, L.; Peñalver, R.; Marín-Iniesta, F.; Taboada-Rodríguez, A.; López-Gómez, A.; Martínez-Hernández, G.B. Applications of Plant Bioactive Compounds as Replacers of Synthetic Additives in the Food Industry. Foods 2024, 13, 47. [Google Scholar] [CrossRef]
- Xu, X.Q.; Liu, A.M.; Hu, S.Y.; Ares, I.; Martínez-Larrañaga, M.R.; Wang, X.; Martínez, M.; Anadón, A.; Martínez, M.A. Synthetic phenolic antioxidants: Metabolism, hazards and mechanism of action. Food Chem. 2021, 353, 129488. [Google Scholar] [CrossRef] [PubMed]
- Park, S.; Lee, J.Y.; Lim, W.; You, S.; Song, G. Butylated Hydroxyanisole Exerts Neurotoxic Effects by Promoting Cytosolic Calcium Accumulation and Endoplasmic Reticulum Stress in Astrocytes. J. Agric. Food Chem. 2019, 67, 9618–9629. [Google Scholar] [CrossRef]
- Yang, X.X.; Song, W.T.; Liu, N.; Sun, Z.D.; Liu, R.R.; Liu, Q.S.; Zhou, Q.F.; Jiang, G.B. Synthetic Phenolic Antioxidants Cause Perturbation in Steroidogenesis in Vitro and in Vivo. Environ. Sci. Technol. 2018, 52, 850–858. [Google Scholar] [CrossRef]
- Sarmah, R.; Bhagabati, S.K.; Dutta, R.; Nath, D.; Pokhrel, H.; Mudoi, L.P.; Sarmah, N.; Sarma, J.; Ahmed, A.M.; Nath, R.J.; et al. Toxicity of a synthetic phenolic antioxidant, butyl hydroxytoluene (BHT), in vertebrate model zebrafish embryo (Danio rerio). Aquac. Res. 2020, 51, 3839–3846. [Google Scholar] [CrossRef]
- Yang, X.X.; Sun, Z.D.; Wang, W.Y.; Zhou, Q.F.; Shi, G.Q.; Wei, F.S.; Jiang, G.B. Developmental toxicity of synthetic phenolic antioxidants to the early life stage of zebrafish. Sci. Total Environ. 2018, 643, 559–568. [Google Scholar] [CrossRef]
- Topal, A.; Çomakli, S.; Özkaraca, M.; Baran, A.; Köktürk, M.; Parlak, V.; Saglam, Y.S.; Atamanalp, M.; Ceyhun, S.B. Immunofluorescence evaluation of 4-hydroxynonenal and 8-hydroxy-2-deoxyguanosine activation in zebrafish (Daino rerio) larvae brain exposed (microinjected) to propyl gallate. Chemosphere 2017, 183, 252–256. [Google Scholar] [CrossRef] [PubMed]
- Wang, L.; Wei, T.T.; Zheng, L.; Jiang, F.F.; Ma, W.T.; Lu, M.; Wu, X.M.; An, H.M. Recent Advances on Main Active Ingredients, Pharmacological Activities of Rosa roxbughii and Its Development and Utilization. Foods 2023, 12, 1051. [Google Scholar] [CrossRef] [PubMed]
- Chen, G.J.; Kan, J.Q. Characterization of a novel polysaccharide isolated from Rosa roxburghii Tratt fruit and assessment of its antioxidant in vitro and in vivo. Int. J. Biol. Macromol. 2018, 107, 166–174. [Google Scholar] [CrossRef] [PubMed]
- Xu, J.W.; Vidyarthi, S.K.; Bai, W.B.; Pan, Z.L. Nutritional constituents, health benefits and processing of Rosa roxburghii: A review. J. Funct. Foods 2019, 60, 103456. [Google Scholar] [CrossRef]
- Chen, Y.; Liu, Z.J.; Liu, J.; Liu, L.K.; Zhang, E.S.; Li, W.L. Inhibition of Metastasis and Invasion of Ovarian Cancer Cells by Crude Polysaccharides from Rosa roxburghii tratt in vitro. Asian Pac. J. Cancer Prev. 2014, 15, 10351–10354. [Google Scholar] [CrossRef]
- Wang, H.; Chen, Z.J.; Wang, M.; Long, M.X.; Ren, T.Y.; Chen, C.; Dai, X.T.; Yang, S.; Tan, S.M. The Effect of Polyphenol Extract from Rosa roxburghii Fruit on Plasma Metabolome and Gut Microbiota in Type 2 Diabetic Mice. Foods 2022, 11, 1747. [Google Scholar] [CrossRef]
- Wang, L.; Zhang, P.; Chen, J.; Li, C.; Tian, Y.P.; Xu, F. Prebiotic properties of the polysaccharide from Rosa roxburghii Tratt fruit and its protective effects in high-fat diet-induced intestinal barrier dysfunction: A fecal microbiota transplantation study. Food Res. Int. 2023, 164, 112400. [Google Scholar] [CrossRef]
- Pu, X.; Tao, Y.; Lou, J.N.; Lu, G.L.; Xu, H.R.; Tan, S.M.; Xie, G.F. Flavonoids extract from Rosa roxburghii fruit ameliorates carrageenan-induced thrombosis in mice. J. Funct. Foods 2023, 109, 105785. [Google Scholar] [CrossRef]
- Tan, Y.Y.; Tan, S.M.; Ren, T.Y.; Yu, L.; Li, P.; Xie, G.F.; Chen, C.; Yuan, M.; Xu, Q.; Chen, Z. Transcriptomics Reveals the Mechanism of Rosa roxburghii Tratt Ellagitannin in Improving Hepatic Lipid Metabolism Disorder in db/db Mice. Nutrients 2023, 15, 4187. [Google Scholar] [CrossRef]
- Xu, S.J.; Zhang, F.; Wang, L.J.; Hao, M.H.; Yang, X.J.; Li, N.N.; Ji, H.L.; Xu, P. Flavonoids of Rosa roxburghii Tratt offers protection against radiation induced apoptosis and inflammation in mouse thymus. Apoptosis 2018, 23, 470–483. [Google Scholar] [CrossRef]
- Li, N.Y.; Jiang, L.L.; Liu, Y.Y.; Zou, S.M.; Lu, M.; An, H.M. Metabolomics Combined with Transcriptomics Analysis Revealed the Amino Acids, Phenolic Acids, and Flavonol Derivatives Biosynthesis Network in Developing Rosa roxburghii Fruit. Foods 2022, 11, 1639. [Google Scholar] [CrossRef] [PubMed]
- Wang, J.M.; Wang, G.P.; Wang, X.T.; Qin, L.; Xu, C.; She, X.Q.; He, Y.Q.; Tan, D.P. Chemical constituents and bioactivities of Rosa roxburghii: A systematic review. Food Sci. Technol. 2022, 42, e72722. [Google Scholar] [CrossRef]
- Huang, M.; Xu, Q.; Deng, X.X. L-Ascorbic acid metabolism during fruit development in an ascorbate-rich fruit crop chestnut rose (Rosa roxburghii Tratt). J. Plant Physiol. 2014, 171, 1205–1216. [Google Scholar] [CrossRef] [PubMed]
- Huang, X.L.; Sun, G.L.; Li, Q.H.; Yan, H.Q. Transcriptome Analysis Reveals Regulatory Networks and Hub Genes in the Flavonoid Metabolism of Rosa roxburghii. Horticulturae 2023, 9, 233. [Google Scholar] [CrossRef]
- Mu, X.Y.; Wu, S.; Guo, Y.P.; Liu, H.; Xu, J.; Liu, X.Y. Effects of Different Solvents on Active Component Content and Antioxidant Activity of Rosa roxburghii Tratt Extract. Food Res. Dev. 2023, 44, 66–75. [Google Scholar] [CrossRef]
- Bahuguna, A.; Khan, I.; Bajpai, V.K.; Kang, S.C. MTT assay to evaluate the cytotoxic potential of a drug. Bangladesh J. Pharmacol. 2017, 12, 115–118. [Google Scholar] [CrossRef]
- He, T.; Li, X.X.; Wang, Z.Z.; Mao, J.W.; Mao, Y.C.; Sha, R.Y. Studies on the Changes of Fermentation Metabolites and the Protective Effect of Fermented Edible Grass on Stress Injury Induced by Acetaminophen in HepG2 Cells. Foods 2024, 13, 470. [Google Scholar] [CrossRef]
- MetaboAnalyst 6.0. Available online: https://www.metaboanalyst.ca/ (accessed on 15 July 2024).
- Jiménez-Carvelo, A.M.; González-Casado, A.; Bagur-González, M.G.; Cuadros-Rodríguez, L. Alternative data mining/machine learning methods for the analytical evaluation of food quality and authenticity—A review. Food Res. Int. 2019, 122, 25–39. [Google Scholar] [CrossRef]
- Hwang, S.J.; Yoon, W.B.; Lee, O.H.; Cha, S.J.; Kim, J.D. Radical-scavenging-linked antioxidant activities of extracts from black chokeberry and blueberry cultivated in Korea. Food Chem. 2014, 146, 71–77. [Google Scholar] [CrossRef]
- Liga, S.; Paul, C.; Péter, F. Flavonoids: Overview of Biosynthesis, Biological Activity, and Current Extraction Techniques. Plants 2023, 12, 2732. [Google Scholar] [CrossRef]
- Chen, Z.; Zhu, Y.P.; Lu, M.T.; Yu, L.; Tan, S.M.; Ren, T.Y. Effects of Rosa roxburghii Tratt glycosides and quercetin on D-galactose-induced aging mice model. J. Food Biochem. 2022, 46, e14425. [Google Scholar] [CrossRef] [PubMed]
- Lu, M.; An, H.; Zhao, X. Analysis of amino acids in Rosa sterilis and Rosa roxburghii fruits. Food Sci. 2015, 36, 118–121. [Google Scholar] [CrossRef]
- Su, L.Y.; Zhang, T.; Wu, M.; Zhong, Y.; Cheng, Z.M. Transcriptome and Metabolome Reveal Sugar and Organic Acid Accumulation in Rosa roxburghii Fruit. Plants 2023, 12, 3036. [Google Scholar] [CrossRef] [PubMed]
- Bursal, E.; Gülçin, I. Polyphenol contents and in vitro antioxidant activities of lyophilised aqueous extract of kiwifruit (Actinidia deliciosa). Food Res. Int. 2011, 44, 1482–1489. [Google Scholar] [CrossRef]
- Carr, A.C.; Maggini, S. Vitamin C and Immune Function. Nutrients 2017, 9, 1211. [Google Scholar] [CrossRef] [PubMed]
- Wang, L.; Zhang, P.; Chen, Y.X.; Tian, Y.P.; Chen, J. Physicochemical characterization and in vitro biological activities of water-extracted polysaccharides fractionated by stepwise ethanol precipitation from Rosa roxburghii Tratt fruit. J. Food Meas. Charact. 2022, 16, 38–48. [Google Scholar] [CrossRef]
- Wang, L.; Li, C.; Huang, Q.; Fu, X. Polysaccharide from Rosa roxburghii Tratt Fruit Attenuates Hyperglycemia and Hyperlipidemia and Regulates Colon Mi-crobiota in Diabetic db/db Mice. J. Agric. Food Chem. 2020, 68, 147–159. [Google Scholar] [CrossRef]
- Jin, Y.L.; Li, Y.H.; Wang, L.; Fu, X.; Li, C. Physicochemical characterization of a polysaccharide from Rosa roxburghii Tratt fruit and its antitumor activity by activating ROS mediated pathways. Curr. Res. Food Sci. 2022, 5, 1581–1589. [Google Scholar] [CrossRef]
- Nimse, S.B.; Pal, D. Free radicals, natural antioxidants, and their reaction mechanisms. Rsc Adv. 2015, 5, 27986–28006. [Google Scholar] [CrossRef]
- Yan, G.Y.; Zheng, P.Y.; Weng, S.Q.; Zhang, Y.D.; Xu, W.L.; Luo, J.Y.; Fei, J.J.; Wang, J.X.; Zhang, H.; Hu, H.S.; et al. Comparison of Chemical Compositions and Antioxidant Activities of Fresh and Dried Rosa roxburghii Tratt Fruit. Nat. Prod. Commun. 2022, 17, 1934578X221095350. [Google Scholar] [CrossRef]
- Jiang, L.L.; Lu, M.; Rao, T.Z.; Liu, Z.Y.; Wu, X.M.; An, H.M. Comparative Analysis of Fruit Metabolome Using Widely Targeted Metabolomics Reveals Nutritional Characteristics of Different Rosa roxburghii Genotypes. Foods 2022, 11, 850. [Google Scholar] [CrossRef] [PubMed]
- Ni, H.Y.; Yu, L.; Zhao, X.L.; Wang, L.T.; Zhao, C.J.; Huang, H.; Zhu, H.L.; Efferth, T.; Gu, C.B.; Fu, Y.J. Seed oil of Rosa roxburghii Tratt against non-alcoholic fatty liver disease in vivo and in vitro through PPARα/PGC-1α-mediated mitochondrial oxidative metabolism. Phytomedicine 2022, 98, 153919. [Google Scholar] [CrossRef] [PubMed]
- Xu, Y.Y.; Yu, C.; Zeng, Q.B.; Yao, M.L.; Chen, X.; Zhang, A.H. Assessing the potential value of Rosa roxburghii Tratt in arsenic-induced liver damage based on elemental imbalance and oxidative damage. Environ. Geochem. Health 2021, 43, 1165–1175. [Google Scholar] [CrossRef]
- Ni, M.; Chen, J.L.; Fu, M.; Li, H.Y.; Bu, S.Q.; Hao, X.J.; Gu, W. UPLC-ESI-MS/MS-Based Analysis of Various Edible Rosa Fruits Concerning Secondary Metabolites and Evaluation of Their Antioxidant Activities. Foods 2024, 13, 796. [Google Scholar] [CrossRef]
- Li, X.J.; Ling, Y.H.; Huang, X.Y.; Zhou, T.; Wu, S.X.; Zhang, S.W.; Zhou, H.T.; Kang, Y.H.; Wang, L.Q.; Wang, X.M.; et al. Tratt Fruit Extract Prevents Dss-Induced Ulcerative Colitis in Mice by Modulating the Gut Microbiota and the IL-17 Signaling Pathway. Nutrients 2023, 15, 4560. [Google Scholar] [CrossRef]
- Icard, P.; Coquerel, A.; Wu, Z.R.; Gligorov, J.; Fuks, D.; Fournel, L.; Lincet, H.; Simula, L. Understanding the Central Role of Citrate in the Metabolism of Cancer Cells and Tumors: An Update. Nutrients 2023, 15, 4560. [Google Scholar] [CrossRef]
- Seo, E.; Kang, H.; Choi, H.; Choi, W.; Jun, H.S. Reactive oxygen species-induced changes in glucose and lipid metabolism contribute to the accumulation of cholesterol in the liver during aging. Aging Cell 2019, 18, e12895. [Google Scholar] [CrossRef]
- Che, M.X.; Wang, R.; Li, X.X.; Wang, H.Y.; Zheng, X.F.S. Expanding roles of superoxide dismutases in cell regulation and cancer. Drug Discov. Today 2016, 21, 143–149. [Google Scholar] [CrossRef] [PubMed]
- Wu, J.; Liu, N.; Chen, J.; Tao, Q.; Li, Q.Q.; Li, J.; Chen, X.; Peng, C. The Tricarboxylic Acid Cycle Metabolites for Cancer: Friend or Enemy. Research 2024, 7, 0351. [Google Scholar] [CrossRef]
- Todisco, S.; Convertini, P.; Iacobazzi, V.; Infantino, V. TCA Cycle Rewiring as Emerging Metabolic Signature of Hepatocellular Carcinoma. Cancers 2020, 12, 68. [Google Scholar] [CrossRef]
- Singh, S.K.; Kaldate, R.; Bisht, A. Chapter 4.5—Citric acid, antioxidant effects in health. In Antioxidants Effects in Health; Nabavi, S.M., Silva, A.S., Eds.; Elsevier: Amsterdam, The Netherlands, 2022; pp. 309–322. [Google Scholar]
- Kim, S.K.; Kang, S.W.; Jin, S.A.; Ban, J.Y.; Hong, S.J.; Park, M.S. Protective Effect of Citric Acid Against Hepatic Ischemia Reperfusion Injury in Sprague-Dawley Rats. Transplant. Proc. 2019, 51, 2823–2827. [Google Scholar] [CrossRef] [PubMed]
- Abdel-Salam, O.M.E.; Youness, E.R.; Mohammed, N.A.; Morsy, S.M.Y.; Omara, E.A.; Sleem, A.A. Citric Acid Effects on Brain and Liver Oxidative Stress in Lipopolysaccharide-Treated Mice. J. Med. Food 2014, 17, 588–598. [Google Scholar] [CrossRef] [PubMed]
- Zhou, S.Q.; Sakamoto, K. Citric acid promoted melanin synthesis in B16F10 mouse melanoma cells, but inhibited it in human epidermal melanocytes and HMV-II melanoma cells via the GSK3β/β-catenin signaling pathway. PLoS ONE 2020, 15, e0243565. [Google Scholar] [CrossRef]
- Petillo, A.; Abruzzese, V.; Koshal, P.; Ostuni, A.; Bisaccia, F. Extracellular Citrate Is a Trojan Horse for Cancer Cells. Front. Mol. Biosci. 2020, 7, 593866. [Google Scholar] [CrossRef]
- Chen, X.G.; Lv, Q.X.; Liu, Y.M.; Deng, W. Study on injury effect of food additive citric acid on liver tissue in mice. Cytotechnology 2014, 66, 275–282. [Google Scholar] [CrossRef] [PubMed]
- Cheng, C.M.; Geng, F.; Cheng, X.; Guo, D.L. Lipid metabolism reprogramming and its potential targets in cancer. Cancer Commun. 2018, 38, 1–14. [Google Scholar] [CrossRef]
- Peng, L.; Yan, Q.; Chen, Z.L.; Hu, Y.; Sun, Y.S.; Miao, Y.; Wu, Y.C.; Yao, Y.; Tao, L.S.; Chen, F.; et al. Research progress on the role of cholesterol in hepatocellular carcinoma. Eur. J. Pharmacol. 2023, 938, 175410. [Google Scholar] [CrossRef]
- Zhang, C.; Liu, X.; Qiang, H.; Li, K.; Wang, J.; Chen, D.; Zhuang, Y. Inhibitory effects of Rosa roxburghii Tratt juice on in vitro oxidative modification of low density lipoprotein and on the macrophage growth and cellular cholesteryl ester accumulation induced by oxidized low density lipoprotein. Clin. Chim. Acta 2001, 313, 37–43. [Google Scholar] [CrossRef]
- Wang, X.; Fu, X.; Van Ness, C.; Meng, Z.; Ma, X.; Huang, W. Bile Acid Receptors and Liver Cancer. Curr. Pathobiol. Rep. 2013, 1, 29–35. [Google Scholar] [CrossRef]
- Xie, G.X.; Wang, X.N.; Huang, F.J.; Zhao, A.H.; Chen, W.L.; Yan, J.Y.; Zhang, Y.J.; Lei, S.; Ge, K.; Zheng, X.J.; et al. Dysregulated hepatic bile acids collaboratively promote liver carcinogenesis. Int. J. Cancer 2016, 139, 1764–1775. [Google Scholar] [CrossRef]
- Ma, L.; Lv, J.X.; Zhang, A.H. Depletion of S-adenosylmethionine induced by arsenic exposure is involved in liver injury of rat through perturbing histone H3K36 trimethylation dependent bile acid metabolism. Environ. Pollut. 2023, 334, 122228. [Google Scholar] [CrossRef] [PubMed]






| Concentration | Mean ± SD |
|---|---|
| Total phenol (μg GAE/mL) | 793.83 ± 12.74 |
| Total flavonoid (μg RE/mL) | 5098.88 ± 39.03 |
| Soluble protein (μg/mL) | 115.80 ± 5.25 |
| Total amino acids (μg/mL) | 428.33 ± 3.26 |
| Total organic acids (mg/mL) | 43.82 ± 0.23 |
| Total sugar (mg/mL) | 15.29 ± 0.25 |
| Polysaccharide (mg/mL) SOD (U/mL) | 4.75 ± 0.86 81.74 ± 0.54 |
| Metabolites | VIP | Model/Control | Low/Model | Moderate/Model | High/Model |
|---|---|---|---|---|---|
| D-Glucopyranose | 1.42182 | N/A | N/A | ↑ | N/A |
| Fructose | 1.36174 | ↑ | ↓ | ↑ | ↓ |
| Citric acid | 1.20151 | ↓ | N/A | ↑ | ↑ |
| Malic acid | 1.18358 | ↓ | N/A | ↑ | N/A |
| Octadecanoic acid | 1.18167 | N/A | ↑ | N/A | N/A |
| L-Valine | 1.17616 | N/A | ↓ | N/A | ↓ |
| Propanoic acid | 1.16973 | ↓ | N/A | N/A | ↑ |
| 1H-Purine | 1.14514 | N/A | N/A | ↓ | N/A |
| Cholestenone | 1.09774 | N/A | N/A | ↓ | N/A |
| Cholesterol | 1.08222 | ↓ | ↓ | ↓ | ↓ |
| D-Mannose | 1.03012 | ↑ | ↓ | ↑ | ↓ |
| L-Lysine | 1.00687 | ↑ | ↓ | N/A | ↓ |
| Metabolites | VIP | Model/Control | Low/Model | Moderate/Model | High/Model |
|---|---|---|---|---|---|
| L-Alanine | 1.37156 | N/A | ↓ | ↓ | ↓ |
| L-Proline | 1.2146 | N/A | ↓ | ↓ | ↓ |
| L-Ornithine | 1.20095 | N/A | ↓ | N/A | ↓ |
| D-Glucopyranose | 1.12173 | ↑ | ↓ | ↓ | N/A |
| L-Norvaline | 1.1202 | ↓ | N/A | N/A | ↑ |
| Lactic acid | 1.05977 | ↓ | N/A | N/A | ↑ |
| Butanedioic acid | 1.00187 | N/A | ↓ | N/A | ↓ |
Disclaimer/Publisher’s Note: The statements, opinions and data contained in all publications are solely those of the individual author(s) and contributor(s) and not of MDPI and/or the editor(s). MDPI and/or the editor(s) disclaim responsibility for any injury to people or property resulting from any ideas, methods, instructions or products referred to in the content. |
© 2024 by the authors. Licensee MDPI, Basel, Switzerland. This article is an open access article distributed under the terms and conditions of the Creative Commons Attribution (CC BY) license (https://creativecommons.org/licenses/by/4.0/).
Share and Cite
Mao, Y.; Sha, R.; Sun, Y.; Wang, Z.; Huang, J. Antioxidative and Cytoprotective Effects of Rosa Roxburghii and Metabolite Changes in Oxidative Stress-Induced HepG2 Cells Following Rosa Roxburghii Intervention. Foods 2024, 13, 3520. https://doi.org/10.3390/foods13213520
Mao Y, Sha R, Sun Y, Wang Z, Huang J. Antioxidative and Cytoprotective Effects of Rosa Roxburghii and Metabolite Changes in Oxidative Stress-Induced HepG2 Cells Following Rosa Roxburghii Intervention. Foods. 2024; 13(21):3520. https://doi.org/10.3390/foods13213520
Chicago/Turabian StyleMao, Yangchen, Ruyi Sha, Yuhao Sun, Zhenzhen Wang, and Jun Huang. 2024. "Antioxidative and Cytoprotective Effects of Rosa Roxburghii and Metabolite Changes in Oxidative Stress-Induced HepG2 Cells Following Rosa Roxburghii Intervention" Foods 13, no. 21: 3520. https://doi.org/10.3390/foods13213520
APA StyleMao, Y., Sha, R., Sun, Y., Wang, Z., & Huang, J. (2024). Antioxidative and Cytoprotective Effects of Rosa Roxburghii and Metabolite Changes in Oxidative Stress-Induced HepG2 Cells Following Rosa Roxburghii Intervention. Foods, 13(21), 3520. https://doi.org/10.3390/foods13213520

