Persistence of Salmonella enterica and Enterococcus faecium NRRL B-2354 on Baby Spinach Subjected to Temperature Abuse after Exposure to Sub-Lethal Stresses
Abstract
:1. Introduction
2. Materials and Methods
2.1. Baby Spinach
2.2. Strains
2.3. Preparation of Inocula
2.4. Preparation of Pre-Stressed Cells
2.5. Inoculation of Baby Spinach
2.6. Storage under Cold and Temperature Abuse Conditions
2.7. Microbiological Analysis
2.8. Mathematical Modeling
2.9. Statistical Analysis
3. Results and Discussion
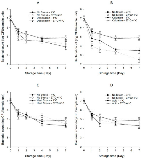
3.1. Survival Behaviors of Pre-Stressed S. enterica
3.2. Survival Behaviors of Pre-Stressed S. Typhimurium ATCC 14028 wild Type and ΔrpoS Mutant
3.3. Survival Behaviors of Pre-Stressed S. enterica and E. faecium NRRL B-2354
3.4. Mathematical Modeling of the Survival Curves of Pre-Stressed S. enterica and E. faecium NRRL B-2354
4. Conclusions
Author Contributions
Funding
Institutional Review Board Statement
Informed Consent Statement
Data Availability Statement
Conflicts of Interest
References
- Scallan, E.; Hoekstra, R.M.; Angulo, F.J.; Tauxe, R.V.; Widdowson, M.A.; Roy, S.L.; Jones, J.L.; Griffin, P.M. Foodborne illness acquired in the United States-major pathogens. Emerg. Infect. Dis. 2011, 17, 7–15. [Google Scholar] [CrossRef]
- Herman, K.M.; Hall, A.J.; Gould, L.H. Outbreaks attributed to fresh leafy vegetables, United States, 1973–2012. Epidemiol. Infect. 2015, 143, 3011–3021. [Google Scholar] [CrossRef] [Green Version]
- Kozak, G.K.; MacDonald, D.; Landry, L.; Farber, J.M. Foodborne outbreaks in Canada linked to produce: 2001 through 2009. J. Food Prot. 2013, 76, 173–183. [Google Scholar] [CrossRef]
- Wesche, A.M.; Gurtler, J.B.; Marks, B.P.; Ryser, E.T. Stress, sublethal injury, resuscitation, and virulence of bacterial foodborne pathogens. J. Food Prot. 2009, 72, 1121–1138. [Google Scholar] [CrossRef] [PubMed]
- Capozzi, V.; Fiocco, D.; Amodio, M.L.; Gallone, A.; Spano, G. Bacterial stressors in minimally processed food. Int. J. Mol. Sci. 2009, 10, 3076–3105. [Google Scholar] [CrossRef] [PubMed] [Green Version]
- Chen, Z.; Jiang, X. Thermal resistance and gene expression of both desiccation-adapted and rehydrated Salmonella enterica serovar Typhimurium cells in aged broiler litter. Appl. Environ. Microbiol. 2017, 83, e00367-17. [Google Scholar] [CrossRef] [Green Version]
- Carey, C.M.; Kostrzynska, M.; Thompson, S. Escherichia coli O157: H7 stress and virulence gene expression on Romaine lettuce using comparative real-time PCR. J. Microbiol. Methods 2009, 77, 235–242. [Google Scholar] [CrossRef] [PubMed]
- Rangel, D.E. Stress induced cross-protection against environmental challenges on prokaryotic and eukaryotic microbes. World J. Microbiol. Biotechnol. 2011, 27, 1281–1296. [Google Scholar] [CrossRef] [PubMed]
- Dodd, C.E.; Aldsworth, T.G. The importance of RpoS in the survival of bacteria through food processing. Int. J. Food Microbiol. 2002, 74, 189–194. [Google Scholar] [CrossRef]
- Kroupitski, Y.; Gollop, R.; Belausov, E.; Pinto, R. Salmonella enterica growth conditions influence lettuce leaf internalization. Front. Microbiol. 2019, 10, 639. [Google Scholar] [CrossRef]
- Delbeke, S.; Ceuppens, S.; Jacxsens, L.; Uyttendaele, M. Survival of Salmonella and Escherichia coli O157: H7 on strawberries, basil, and other leafy greens during storage. J. Food Prot. 2015, 78, 652–660. [Google Scholar] [CrossRef]
- Ergönül, B. Survival characteristics of Salmonella Typhimurium and Escherichia coli O157:H7 in minimally processed lettuce during storage at different temperatures. J. Verbrauch. Lebensm. 2011, 6, 339–342. [Google Scholar] [CrossRef]
- Sant’Ana, A.S.; Barbosa, M.S.; Destro, M.T.; Landgraf, M.; Franco, B.D. Growth potential of Salmonella spp. and Listeria monocytogenes in nine types of ready-to-eat vegetables stored at variable temperature conditions during shelf-life. Int. J. Food Microbiol. 2012, 157, 52–58. [Google Scholar] [CrossRef]
- Samelis, J.; Sofos, J.N. Strategies to control stress-adapted pathogens. In Microbial Stress Adaptation and Food Safety; Yousef, A.E., Juneja, V.K., Eds.; CRC Press: Boca Raton, FL, USA, 2003; pp. 303–351. [Google Scholar]
- USDA. Parameters for determining inoculated pack/challenge study protocols. J. Food Prot. 2010, 73, 140–202. [Google Scholar] [CrossRef] [PubMed]
- FDA. Sanitary Transportation of Human and Animal Food; FDA: Silver Spring, MD, USA, 2014. [Google Scholar]
- FDA. Food Code 2017; FDA: Silver Spring, MD, USA, 2017. [Google Scholar]
- Hu, M.; Gurtler, J.B. Selection of surrogate bacteria for use in food safety challenge studies: A review. J. Food Prot. 2017, 80, 1506–1536. [Google Scholar] [CrossRef]
- Almond Board of California. Guidelines for Using Enterococcus faecium NRRL B-2354 as a Surrogate Microorganism in Almond Process Validation; Almond Board of California: Modesto, CA, USA, 2014. [Google Scholar]
- Bang, I.S.; Frye, J.G.; McClelland, M.; Velayudhan, J.; Fang, F.C. Alternative sigma factor interactions in Salmonella: σE and σH promote antioxidant defences by enhancing σS levels. Mol. Microbiol. 2005, 56, 811–823. [Google Scholar] [CrossRef] [PubMed]
- Smith, J.L.; Benedict, R.C.; Palumbo, S.A. Protection against heat-injury in Staphylococcus aureus by solutes. J. Food Prot. 1982, 45, 54–58. [Google Scholar] [CrossRef] [PubMed]
- Estilo, E.E.C.; Gabriel, A.A. Previous stress exposures influence subsequent UV-C resistance of Salmonella enterica in coconut liquid endosperm. LWT—Food Sci. Technol. 2017, 86, 139–147. [Google Scholar] [CrossRef]
- Dhakal, J.; Sharma, C.S.; Nannapaneni, R.; McDaniel, C.D.; Kim, T.; Kiess, A. Effect of chlorine-induced sublethal oxidative stress on the biofilm-forming ability of Salmonella at different temperatures, nutrient conditions, and substrates. J. Food Prot. 2019, 82, 78–92. [Google Scholar] [CrossRef]
- Singh, R.; Jiang, X.; Luo, F. Thermal inactivation of heat-shocked Escherichia coli O157: H7, Salmonella, and Listeria monocytogenes in dairy compost. J. Food Prot. 2010, 73, 1633–1640. [Google Scholar] [CrossRef]
- Koutsoumanis, K.P.; Sofos, J.N. Comparative acid stress response of Listeria monocytogenes, Escherichia coli O157: H7 and Salmonella Typhimurium after habituation at different pH conditions. Lett. Appl. Microbiol. 2004, 38, 321–326. [Google Scholar] [CrossRef] [PubMed] [Green Version]
- Huang, J.; Luo, Y.; Zhou, B.; Zheng, J.; Nou, X. Growth and survival of Salmonella enterica and Listeria monocytogenes on fresh-cut produce and their juice extracts: Impacts and interactions of food matrices and temperature abuse conditions. Food Control 2019, 100, 300–304. [Google Scholar] [CrossRef]
- Cerf, O.; Métro, F. Tailing of survival curves of Bacillus licheniformis spores treated with hydrogen peroxide. J. Appl. Microbiol. 1977, 42, 405–415. [Google Scholar]
- Chen, H.; Hoover, D.G. Modeling the combined effect of high hydrostatic pressure and mild heat on the inactivation kinetics of Listeria monocytogenes Scott A in whole milk. Innov. Food Sci. Emerg. Tech. 2003, 4, 25–34. [Google Scholar] [CrossRef]
- Cole, M.B.; Davies, K.W.; Munro, G.; Holyoak, C.D.; Kilsby, D.C. A vitalistic model to describe the thermal inactivation of Listeria monocytogenes. J. Ind. Microbiol. Biotechnol. 1993, 12, 232–239. [Google Scholar]
- Geeraerd, A.H.; Herremans, C.H.; Van Impe, J.F. Structural model requirements to describe microbial inactivation during a mild heat treatment. Int. J. Food Microbiol. 2000, 59, 185–209. [Google Scholar] [CrossRef]
- Gibson, A.M.; Bratchell, N.; Roberts, T.A. Predicting microbial growth: Growth responses of salmonellae in a laboratory medium as affected by pH, sodium chloride and storage temperature. Int. J. Food Microbiol. 1988, 6, 155–178. [Google Scholar] [CrossRef]
- Peleg, M.; Cole, M.B. Reinterpretation of microbial survival curves. Crit. Rev. Food Sci. Nutr. 1988, 38, 353–380. [Google Scholar] [CrossRef]
- Esbelin, J.; Santos, T.; Hébraud, M. Desiccation: An environmental and food industry stress that bacteria commonly face. Food Microbiol. 2018, 69, 82–88. [Google Scholar] [CrossRef]
- Heaton, J.C.; Jones, K. Microbial contamination of fruit and vegetables and the behaviour of enteropathogens in the phyllosphere: A review. J. Appl. Microbiol. 2008, 104, 613–626. [Google Scholar] [CrossRef]
- White, A.P.; Gibson, D.L.; Kim, W.; Kay, W.W.; Surette, M.G. Thin aggregative fimbriae and cellulose enhance long-term survival and persistence of Salmonella. J. Bacteriol. 2006, 188, 3219–3227. [Google Scholar] [CrossRef] [Green Version]
- Barak, J.D.; Gorski, L.; Naraghi-Arani, P.; Charkowski, A.O. Salmonella enterica virulence genes are required for bacterial attachment to plant tissue. Appl. Environ. Microbiol. 2005, 71, 5685–5691. [Google Scholar] [CrossRef] [Green Version]
- Yaron, S.; Römling, U. Biofilm formation by enteric pathogens and its role in plant colonization and persistence. Microb. Biotechnol. 2014, 7, 496–516. [Google Scholar] [CrossRef] [PubMed]
- Roy, P.K.; Ha, A.J.W.; Mizan, M.F.R.; Hossain, M.I.; Ashrafudoulla, M.; Toushik, S.H.; Nahar, S.; Kim, Y.K.; Ha, S.D. Effects of environmental conditions (temperature, pH, and glucose) on biofilm formation of Salmonella enterica serotype Kentucky and virulence gene expression. Poult. Sci. 2021, 100, 101209. [Google Scholar] [CrossRef] [PubMed]
- Yin, B.; Zhu, L.; Zhang, Y.; Dong, P.; Mao, Y.; Liang, R.; Niu, L.; Luo, X. The characterization of biofilm formation and detection of biofilm-related genes in Salmonella isolated from beef processing plants. Foodborne Pathog. Dis. 2018, 15, 660–667. [Google Scholar] [CrossRef]
- Chaves, R.D.; Aspridou, Z.; Sant’Ana, A.S.; Koutsoumanis, K.P. Effect of chlorine stress on the subsequent growth behavior of individual Salmonella cells. Food Res. Int. 2019, 123, 311–316. [Google Scholar] [CrossRef]
- Norhana, M.W.; Poole, S.E.; Deeth, H.C.; Dykes, G.A. The effects of temperature, chlorine and acids on the survival of Listeria and Salmonella strains associated with uncooked shrimp carapace and cooked shrimp flesh. Food Microbiol. 2010, 27, 250–256. [Google Scholar] [CrossRef]
- Goodburn, C.; Wallace, C.A. The microbiological efficacy of decontamination methodologies for fresh produce: A review. Food Control 2013, 32, 418–427. [Google Scholar] [CrossRef]
- Chang, C.M.; Chiang, M.L.; Chou, C.C. Response of heat-shocked Vibrio parahaemolyticus to subsequent physical and chemical stresses. J. Food Prot. 2004, 67, 2183–2188. [Google Scholar] [CrossRef] [PubMed]
- Chang, C.H.; Chiang, M.L.; Chou, C.C. The effect of heat shock on the response of Cronobacter sakazakii to subsequent lethal stresses. Foodborne Pathog. Dis. 2010, 7, 71–76. [Google Scholar] [CrossRef]
- Hsiao, W.L.; Chang, C.H.; Chou, C.C. Heat shock effects on the viability of Cronobacter sakazakii during the dehydration, fermentation, and storage of lactic cultured milk products. Food Microbiol. 2010, 27, 280–285. [Google Scholar] [CrossRef]
- Hwang, C.A.; Sheen, S.; Juneja, V.; Hwang, C.F.; Yin, T.C.; Chang, N.Y. The influence of acid stress on the growth of Listeria monocytogenes and Escherichia coli O157: H7 on cooked ham. Food Control 2014, 37, 245–250. [Google Scholar] [CrossRef]
- McMeechan, A.; Roberts, M.; Cogan, T.A.; Jørgensen, F.; Stevenson, A.; Lewis, C.; Rowley, G.; Humphrey, T.J. Role of the alternative sigma factors σE and σS in survival of Salmonella enterica serovar Typhimurium during starvation, refrigeration and osmotic shock. Microbiology 2007, 153, 263–269. [Google Scholar] [CrossRef] [PubMed] [Green Version]
- Abdelhamid, A.G.; Yousef, A.E. Collateral adaptive responses induced by desiccation stress in Salmonella enterica. LWT—Food Sci. Technol. 2020, 133, 110089. [Google Scholar] [CrossRef]
- Ritter, A.C.; Bacciu, D.; Santi, L.; Da Silva, W.O.B.; Vainstein, M.H.; Rubino, S.; Uzzau, S.; Tondo, E.C. Investigation of rpoS and dps genes in sodium hypochlorite resistance of Salmonella Enteritidis SE86 isolated from foodborne illness outbreaks in southern Brazil. J. Food Prot. 2012, 75, 437–442. [Google Scholar] [CrossRef] [PubMed]
- Sirsat, S.A.; Baker, C.A.; Park, S.H.; Muthaiyan, A.; Dowd, S.E.; Ricke, S.C. Transcriptomic response of Salmonella Typhimurium heat shock gene expression under thermal stress at 48 °C. J. Food Res. 2015, 4, 51–56. [Google Scholar] [CrossRef]
- Lee, I.S.; Lin, J.; Hall, H.K.; Bearson, B.; Foster, J.W. The stationary-phase sigma factor sigma S (RpoS) is required for a sustained acid tolerance response in virulent Salmonella typhimurium. Mol. Microbiol. 1995, 17, 155–167. [Google Scholar] [PubMed]
- Wei, X.; Agarwal, S.; Subbiah, J. Evaluation of Enterococcus faecium NRRL B-2354 as a surrogate for Salmonella enterica in milk powders at different storage times and temperatures. J. Dairy Sci. 2021, 104, 198–210. [Google Scholar] [CrossRef]
- Wei, X.; Vasquez, S.; Thippareddi, H.; Subbiah, J. Evaluation of Enterococcus faecium NRRL B-2354 as a surrogate for Salmonella in ground black pepper at different water activities. Int. J. Food Microbiol. 2021, 344, 109114. [Google Scholar] [CrossRef]



| Sub-Lethal Stress | Microorganism | Storage Condition | Parameter Estimate a | Goodness-of-Fit | |||
|---|---|---|---|---|---|---|---|
| M | B | C | Adjusted R2 | RMSE b | |||
| No stress | S. enterica cocktail | Cold | −0.58 | 12.43 | 1927.91 | 0.90 | 0.46 |
| Temperature abuse | −0.38 | 14.57 | 320.15 | 0.96 | 0.35 | ||
| S. Typhimurium IB43 c | Cold | −0.18 | 1.26 | 3.75 | 0.99 | 0.24 | |
| Temperature abuse | −3.70 | 1.59 | 732.10 | 0.96 | 0.41 | ||
| E. faecium NRRL B-2354 | Cold | 3.65 | −1.37 | −1.01 | 0.99 | 0.10 | |
| Temperature abuse | 3.56 | 2.05 | 0.90 | 1.00 | 0.00 | ||
| Desiccation | S. enterica cocktail | Cold | 0.93 | 20.00 | 1.50 | 0.98 | 0.32 |
| Temperature abuse | −1.38 | 2.96 | 43.61 | 0.97 | 0.24 | ||
| S. Typhimurium IB43 | Cold | −6.11 | 0.90 | 697.56 | 0.90 | 0.61 | |
| Temperature abuse | −1.92 | 2.93 | 648.54 | 0.96 | 0.46 | ||
| Oxidation | S. enterica cocktail | Cold | −1.99 | 3.07 | 862.80 | 0.96 | 0.41 |
| Temperature abuse | −2.48 | 2.17 | 556.95 | 0.88 | 0.63 | ||
| S. Typhimurium IB43 | Cold | −7.07 | 0.80 | 997.60 | 0.94 | 0.58 | |
| Temperature abuse | −4.60 | 1.20 | 997.70 | 0.92 | 0.70 | ||
| Heat shock | S. enterica cocktail | Cold | −9.22 | 0.50 | 218.16 | 0.96 | 0.42 |
| Temperature abuse | −30.15 | 0.18 | 628.21 | 0.75 | 0.68 | ||
| S. Typhimurium IB43 | Cold | −9.64 | 0.46 | 236.44 | 0.97 | 0.45 | |
| Temperature abuse | −3.71 | 1.66 | 943.12 | 0.72 | 0.69 | ||
| Acid | S. enterica cocktail | Cold | −4.00 | 1.50 | 966.62 | 0.95 | 0.49 |
| Temperature abuse | −3.31 | 1.75 | 657.42 | 0.98 | 0.36 | ||
| S. Typhimurium IB43 | Cold | 0.71 | 2.48 | 2.61 | 0.99 | 0.32 | |
| Temperature abuse | −5.25 | 1.09 | 777.00 | 0.97 | 0.44 | ||
| Average | 0.94 | 0.43 | |||||
| Sub-Lethal Stress | Microorganism | Storage Condition | Parameter Estimate a | Goodness-of-Fit | |||
|---|---|---|---|---|---|---|---|
| A | σ | τ | Adjusted R2 | RMSE b | |||
| No stress | S. enterica cocktail | Cold | −3.33 | −0.23 | 1.14 | 0.82 | 0.53 |
| Temperature abuse | −3.10 | −0.18 | 1.38 | 0.86 | 0.47 | ||
| S. Typhimurium IB43 c | Cold | −2.08 | −2.60 | −0.10 | 0.98 | 0.33 | |
| Temperature abuse | −3.91 | −0.60 | 0.49 | 0.99 | 0.26 | ||
| E. faecium NRRL B-2354 | Cold | −1.02 | −2.97 | 0.49 | 1.00 | 0.00 | |
| Temperature abuse | −0.90 | −17.12 | 0.59 | 1.00 | 0.00 | ||
| Desiccation | S. enterica cocktail | Cold | −3.25 | −0.24 | 1.18 | 0.83 | 0.52 |
| Temperature abuse | −2.34 | −0.23 | 2.43 | 0.93 | 0.28 | ||
| S. Typhimurium IB43 | Cold | −4.90 | −1.17 | 0.56 | 0.84 | 0.69 | |
| Temperature abuse | −4.79 | −0.34 | 0.59 | 0.91 | 0.56 | ||
| Oxidation | S. enterica cocktail | Cold | −3.88 | −0.27 | 0.54 | 0.89 | 0.53 |
| Temperature abuse | −4.59 | −0.59 | 0.09 | 0.82 | 0.70 | ||
| S. Typhimurium IB43 | Cold | −5.15 | −1.76 | 0.26 | 0.94 | 0.59 | |
| Temperature abuse | −5.67 | −1.40 | −0.02 | 0.90 | 0.74 | ||
| Heat shock | S. enterica cocktail | Cold | −3.54 | −1.54 | 0.57 | 0.91 | 0.51 |
| Temperature abuse | −345.17 | −137.84 | 3.99 | 0.53 | 0.79 | ||
| S. Typhimurium IB43 | Cold | −4.69 | −2.11 | 0.63 | 0.93 | 0.54 | |
| Temperature abuse | −4.69 | −0.74 | 1.09 | 0.66 | 0.73 | ||
| Acid | S. enterica cocktail | Cold | −4.28 | −0.72 | 0.28 | 0.96 | 0.46 |
| Temperature abuse | −3.90 | −0.44 | 0.55 | 0.97 | 0.40 | ||
| S. Typhimurium IB43 | Cold | −2.61 | −5.43 | −0.06 | 0.99 | 0.37 | |
| Temperature abuse | −3.75 | −1.10 | 0.08 | 1.00 | 0.22 | ||
| Average | 0.89 | 0.46 | |||||
| Sub-Lethal Stress | Microorganism | Storage Condition | Parameter Estimate a | Goodness-of-Fit | ||
|---|---|---|---|---|---|---|
| σ | τ | Adjusted R2 | RMSE b | |||
| No stress | S. enterica cocktail | Cold | 52,015,161.74 | 0.14 | 0.89 | 0.47 |
| Temperature abuse | 63,185,071.76 | 0.14 | 0.86 | 0.47 | ||
| S. Typhimurium IB43 c | Cold | 18,160.77 | 0.23 | 0.94 | 0.46 | |
| Temperature abuse | 578,627.64 | 0.16 | 1.00 | 0.20 | ||
| E. faecium NRRL B-2354 | Cold | 74.27 | 1.08 | 0.81 | 0.46 | |
| Temperature abuse | 56.14 | 1.30 | 0.85 | 0.40 | ||
| Desiccation | S. enterica cocktail | Cold | 52,578,779.99 | 0.14 | 0.89 | 0.47 |
| Temperature abuse | 37,964,061.33 | 0.19 | 0.92 | 0.30 | ||
| S. Typhimurium IB43 | Cold | 524.37 | 0.33 | 0.94 | 0.44 | |
| Temperature abuse | 55,720,998.56 | 0.10 | 0.95 | 0.48 | ||
| Oxidation | S. enterica cocktail | Cold | 60,438,737.10 | 0.12 | 0.92 | 0.48 |
| Temperature abuse | 528,654.13 | 0.14 | 0.91 | 0.58 | ||
| S. Typhimurium IB43 | Cold | 185.32 | 0.35 | 0.97 | 0.50 | |
| Temperature abuse | 140.04 | 0.29 | 0.98 | 0.50 | ||
| Heat shock | S. enterica cocktail | Cold | 346.91 | 0.46 | 0.94 | 0.45 |
| Temperature abuse | 72.05 | 0.77 | 0.76 | 0.67 | ||
| S. Typhimurium IB43 | Cold | 125.13 | 0.52 | 0.96 | 0.48 | |
| Temperature abuse | 17,915.52 | 0.23 | 0.84 | 0.61 | ||
| Acid | S. enterica cocktail | Cold | 104,874.62 | 0.17 | 0.98 | 0.39 |
| Temperature abuse | 31,215,549.32 | 0.12 | 0.98 | 0.33 | ||
| S. Typhimurium IB43 | Cold | 2179.80 | 0.26 | 0.92 | 0.56 | |
| Temperature abuse | 3360.39 | 0.25 | 1.00 | 0.10 | ||
| Average | 0.92 | 0.45 | ||||
| Sub-Lethal Stress | Microorganism | Storage Condition | Parameter Estimate a | Goodness-of-Fit | ||
|---|---|---|---|---|---|---|
| Nres | kmax | Adjusted R2 | RMSE b | |||
| No stress | S. enterica cocktail | Cold | 5.53 | 35.33 | 0.90 | 0.46 |
| Temperature abuse | 5.68 | 39.52 | 0.96 | 0.35 | ||
| S. Typhimurium IB43 c | Cold | 4.93 | 1.02 | 0.99 | 0.26 | |
| Temperature abuse | 4.95 | 1.58 | 0.96 | 0.41 | ||
| E. faecium NRRL B-2354 | Cold | 3.22 | 0.05 | 0.81 | 0.46 | |
| Temperature abuse | −305.01 | 0.00 | 0.83 | 0.42 | ||
| Desiccation | S. enterica cocktail | Cold | 5.50 | 1.79 | 0.96 | 0.36 |
| Temperature abuse | 6.26 | 2.95 | 0.97 | 0.24 | ||
| S. Typhimurium IB43 | Cold | 4.21 | 0.89 | 0.90 | 0.61 | |
| Temperature abuse | 4.67 | 2.92 | 0.96 | 0.46 | ||
| Oxidation | S. enterica cocktail | Cold | 5.10 | 3.07 | 0.96 | 0.41 |
| Temperature abuse | 4.42 | 2.17 | 0.88 | 0.63 | ||
| S. Typhimurium IB43 | Cold | 3.53 | 0.78 | 0.94 | 0.57 | |
| Temperature abuse | 2.98 | 1.19 | 0.92 | 0.70 | ||
| Heat shock | S. enterica cocktail | Cold | 4.79 | 0.49 | 0.96 | 0.42 |
| Temperature abuse | 3.82 | 0.17 | 0.75 | 0.68 | ||
| S. Typhimurium IB43 | Cold | 4.14 | 0.45 | 0.97 | 0.45 | |
| Temperature abuse | 5.01 | 1.65 | 0.72 | 0.69 | ||
| Acid | S. enterica cocktail | Cold | 4.59 | 1.49 | 0.95 | 0.49 |
| Temperature abuse | 5.00 | 1.74 | 0.98 | 0.36 | ||
| S. Typhimurium IB43 | Cold | 4.33 | 1.03 | 0.98 | 0.41 | |
| Temperature abuse | 4.46 | 1.08 | 0.97 | 0.44 | ||
| Average | 0.92 | 0.47 | ||||
| Sub-Lethal Stress | Microorganism | Storage Condition | Parameter Estimate a | Goodness-of-Fit | |||
|---|---|---|---|---|---|---|---|
| f | Kmax1 | Kmax2 | Adjusted R2 | RMSE b | |||
| No stress | S. enterica cocktail | Cold | 0.96 | 3,836,776.52 | 0.08 | 0.87 | 0.50 |
| Temperature abuse | 0.95 | 432,929.63 | 0.01 | 0.92 | 0.41 | ||
| S. Typhimurium IB43 c | Cold | 0.99 | 3.12 | 0.04 | 0.97 | 0.39 | |
| Temperature abuse | 0.98 | 86.24 | 0.19 | 1.00 | 0.20 | ||
| E. faecium NRRL B-2354 | Cold | 1.00 | 0.48 | −2.06 | 0.71 | 0.51 | |
| Temperature abuse | −19.12 | 0.24 | 0.24 | 0.66 | 0.50 | ||
| Desiccation | S. enterica cocktail | Cold | 0.98 | 3.19 | −0.10 | 1.00 | 0.17 |
| Temperature abuse | 0.78 | 15,146.79 | 0.04 | 0.98 | 0.20 | ||
| S. Typhimurium IB43 | Cold | 0.99 | 4.47 | 0.35 | 0.93 | 0.56 | |
| Temperature abuse | 0.99 | 3383.31 | 0.08 | 0.93 | 0.53 | ||
| Oxidation | S. enterica cocktail | Cold | 0.98 | 2291.49 | 0.04 | 0.91 | 0.50 |
| Temperature abuse | 0.99 | 6949.39 | 0.23 | 0.87 | 0.64 | ||
| S. Typhimurium IB43 | Cold | 0.99 | 5.96 | 0.47 | 0.90 | 0.67 | |
| Temperature abuse | 1.00 | 29.79 | 0.54 | 0.99 | 0.45 | ||
| Heat shock | S. enterica cocktail | Cold | 0.98 | 1.59 | 0.08 | 0.87 | 0.55 |
| Temperature abuse | 0.80 | 1.99 | 0.51 | 0.58 | 0.77 | ||
| S. Typhimurium IB43 | Cold | 0.99 | 1.89 | 0.16 | 0.90 | 0.59 | |
| Temperature abuse | 0.96 | 1367.09 | 0.30 | 0.80 | 0.64 | ||
| Acid | S. enterica cocktail | Cold | 0.99 | 68.38 | 0.22 | 0.94 | 0.49 |
| Temperature abuse | 0.98 | 5.09 | 0.08 | 0.96 | 0.42 | ||
| S. Typhimurium IB43 | Cold | 1.00 | 3.88 | 0.08 | 0.99 | 0.30 | |
| Temperature abuse | 0.99 | 5.09 | 0.27 | 1.00 | 0.22 | ||
| Average | 0.89 | 0.46 | |||||
Publisher’s Note: MDPI stays neutral with regard to jurisdictional claims in published maps and institutional affiliations. |
© 2021 by the authors. Licensee MDPI, Basel, Switzerland. This article is an open access article distributed under the terms and conditions of the Creative Commons Attribution (CC BY) license (https://creativecommons.org/licenses/by/4.0/).
Share and Cite
Chen, Z.; Meng, J. Persistence of Salmonella enterica and Enterococcus faecium NRRL B-2354 on Baby Spinach Subjected to Temperature Abuse after Exposure to Sub-Lethal Stresses. Foods 2021, 10, 2141. https://doi.org/10.3390/foods10092141
Chen Z, Meng J. Persistence of Salmonella enterica and Enterococcus faecium NRRL B-2354 on Baby Spinach Subjected to Temperature Abuse after Exposure to Sub-Lethal Stresses. Foods. 2021; 10(9):2141. https://doi.org/10.3390/foods10092141
Chicago/Turabian StyleChen, Zhao, and Jianghong Meng. 2021. "Persistence of Salmonella enterica and Enterococcus faecium NRRL B-2354 on Baby Spinach Subjected to Temperature Abuse after Exposure to Sub-Lethal Stresses" Foods 10, no. 9: 2141. https://doi.org/10.3390/foods10092141
APA StyleChen, Z., & Meng, J. (2021). Persistence of Salmonella enterica and Enterococcus faecium NRRL B-2354 on Baby Spinach Subjected to Temperature Abuse after Exposure to Sub-Lethal Stresses. Foods, 10(9), 2141. https://doi.org/10.3390/foods10092141

