Temporal Evolution of Bradford Curves in Academic Library Contexts
Abstract
1. Introduction
1.1. Background and Significance
1.2. Literature Review
2. Theoretical Study
2.1. Simon-Yule Model
- There is a constant probability α that the -th paper is published in a new journal—a journal that has not published in the first t papers.
- The probability that the -th paper is published in a journal that has published papers is proportional to —that is, to the total number of papers of all journals that have published exactly papers.
2.2. Leimkuhler’s Function
2.3. Groos Droop
2.4. Bradford Dynamics
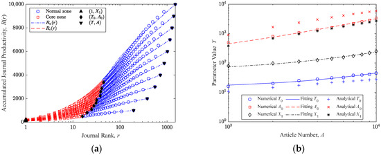
3. Numerical Study
3.1. Decreasing Entry Rate
3.2. Aging Rate of Journals
3.3. Varying Entry and Aging Rates
4. Empirical Study
4.1. Dataset of Croatian Chemistry Research
4.2. Dataset of Solar Power Research
5. Discussion
5.1. Theoretical Contributions
- Modeling and Simulation of Science or Publications
- 2.
- Extreme Value and Non-Lotkaian informetrics
5.2. Practical Applications
- Journal Coverage Evaluation and Resource Optimization
- 2.
- Broader Applications in Academic Libraries
6. Conclusions
- Bradford curves should be divided into two separate zones based on the significance of integer constraints on journal and article numbers. Different formulas for each zone should be derived separately;
- Bradford curves can exhibit four different shapes, determined by the second derivatives of the core and the normal zones;
- The largest productivity , the number of journals , and the number of articles are key parameters influencing the shapes of Bradford curves. Decreasing entry rates and aging rates of journals affect these parameters.
- The proposed four-step method can predict general trends in Bradford curves despite some errors.
- Bradford’s law provides a valuable framework for academic libraries to evaluate journal coverage, optimize resource allocation, and refine Collection Development Policies (CDP), ensuring comprehensive and well-balanced collections as research needs evolve.
Supplementary Materials
Funding
Data Availability Statement
Conflicts of Interest
References
- Singh, C.K.; Barme, E.; Ward, R.; Tupikina, L.; Santolini, M. Quantifying the rise and fall of scientific fields. PLoS ONE 2022, 17, e0270131. [Google Scholar] [CrossRef] [PubMed]
- Golosovsky, M. Citation Analysis and Dynamics of Citation Networks; Springer: Cham, Switzerland, 2019. [Google Scholar]
- Sun, X.; Kaur, J.; Milojević, S.; Flammini, A.; Menczer, F. Social dynamics of science. Sci. Rep. 2013, 3, 1069. [Google Scholar] [CrossRef] [PubMed]
- Leydesdorff, L. The Evolutionary Dynamics of Discursive Knowledge: Communication-Theoretical Perspectives on An Empirical Philosophy of Science; Springer Nature: Cham, Switzerland, 2021. [Google Scholar]
- Sjögårde, P. Mapping the Structure of Science through Clustering in Citation Networks: Granularity, Labeling and Visualization; Karolinska Institutet: Stockholm, Sweden, 2023. [Google Scholar]
- Raimbault, J. Exploration of an interdisciplinary scientific landscape. Scientometrics 2019, 119, 617–641. [Google Scholar] [CrossRef]
- Schneider, J.W.; Costas, R. Identifying potential “breakthrough” publications using refined citation analyses: Three related explorative approaches. J. Assoc. Inf. Sci. Technol. 2017, 68, 709–723. [Google Scholar] [CrossRef]
- Manolopoulos, Y.; Vergoulis, T. Predicting the Dynamics of Research Impact; Springer: Cham, Switzerland, 2021. [Google Scholar]
- Larivière, V.; Archambault, É.; Gingras, Y. Long-term variations in the aging of scientific literature: From exponential growth to steady-state science (1900–2004). J. Am. Soc. Inf. Sci. Technol. 2008, 59, 288–296. [Google Scholar] [CrossRef]
- Groos, O.V. Brief Communications Bradford’s Law and the Keenan-Atherton Data. Am. Doc. (Pre-1986) 1967, 18, 46. [Google Scholar] [CrossRef]
- Wagner-Döbler, R. Time dependencies of Bradford distributions: Structures of journal output in 20th-century logic and 19th-century mathematics. Scientometrics 1997, 39, 231–252. [Google Scholar] [CrossRef]
- Chisaba Pereira, C.A. Data-driven model (DDM) for collection development and management: From library data to institutional value generation. Qual. Quant. Methods Libr. 2021, 10, 177–187. [Google Scholar]
- Crawford, L.S.; Condrey, C.; Avery, E.F.; Enoch, T. Implementing a just-in-time collection development model in an academic library. J. Acad. Librariansh. 2020, 46, 102101. [Google Scholar] [CrossRef]
- Voorbij, H.; Lemmen, A. Coverage of periodicals in national deposit libraries. Ser. Rev. 2007, 33, 40–44. [Google Scholar] [CrossRef]
- Zaghmouri, L. The First of Its Kind: Collection Development Techniques for the Vasche Library’s Modern Assyrian Heritage Collection. Collect. Manag. 2023, 48, 48–55. [Google Scholar] [CrossRef]
- Mwilongo, K.J.; Luambano, I.; Lwehabura, M.J.F. Collection development practices in academic libraries in Tanzania. J. Librariansh. Inf. Sci. 2020, 52, 1152–1168. [Google Scholar] [CrossRef]
- Bradford, S.C. Sources of information on specific subjects. Engineering 1934, 137, 85–86. [Google Scholar]
- Vickery, B.C. Bradford’s law of scattering. J. Doc. 1948, 4, 198–203. [Google Scholar] [CrossRef]
- Leimkuhler, F.F. The bradford distribution. J. Doc. 1967, 23, 197–207. [Google Scholar] [CrossRef]
- Egghe, L. Applications of the theory of Bradford’s law to the calculation of Leimkuhler’s law and to the completion of bibliographies. J. Am. Soc. Inf. Sci. 1990, 41, 469–492. [Google Scholar] [CrossRef]
- Qiu, L.; Tague, J. Complete or incomplete data sets. The Groos droop investigated. Scientometrics 1990, 19, 223–237. [Google Scholar] [CrossRef]
- Egghe, L.; Rousseau, R. Reflections on a deflection: A note on different causes of the Groos droop. Scientometrics 1988, 14, 493–511. [Google Scholar] [CrossRef]
- Chen, Y.-S.; Leimkuhler, F.F. Bradford’s law: An index approach. Scientometrics 1987, 11, 183–198. [Google Scholar] [CrossRef]
- Egghe, L. Consequences of Lotka’s Law for the Law of Bradford. J. Doc. 1985, 41, 173–189. [Google Scholar] [CrossRef]
- Oluić-Vuković, V. Simon’s generating mechanism: Consequences and their correspondence to empirical facts. J. Am. Soc. Inf. Sci. 1998, 49, 867–880. [Google Scholar] [CrossRef]
- Oluić-Vuković, V. Impact of productivity increase on the distribution pattern of journals. Scientometrics 1989, 17, 97–109. [Google Scholar] [CrossRef]
- Oluić-Vuković, V. The shape of the distribution curve: An indication of changes in the journal productivity distribution pattern. J. Inf. Sci. 1991, 17, 281–290. [Google Scholar] [CrossRef]
- Oluić-Vuković, V. Journal productivity distribution: Quantitative study of dynamic behavior. J. Am. Soc. Inf. Sci. 1992, 43, 412–421. [Google Scholar] [CrossRef]
- Garg, K.; Sharma, P.; Sharma, L. Bradford’s law in relation to the evolution of a field. A case study of solar power research. Scientometrics 1993, 27, 145–156. [Google Scholar] [CrossRef]
- Sen, S.; Chatterjee, S. Bibliographic scattering and time: An empirical study through temporal partitioning of bibliographies. Scientometrics 1998, 41, 135–154. [Google Scholar] [CrossRef]
- Oluić-Vuković, V. Bradford’s distribution: From the classical bibliometric “law” to the more general stochastic models. J. Am. Soc. Inf. Sci. 1997, 48, 833–842. [Google Scholar] [CrossRef]
- Simon, H.A. On a class of skew distribution functions. Biometrika 1955, 42, 425–440. [Google Scholar] [CrossRef]
- Simon, H.A.; Van Wormer, T.A. Some Monte Carlo estimates of the Yule distribution. Behav. Sci. 1963, 8, 203–210. [Google Scholar] [CrossRef]
- Ijiri, Y.; Simon, H.A. Skew Distributions and the Sizes of Business Firms; North-Holland: Amsterdam, The Netherlands, 1977; Volume 24. [Google Scholar]
- Chen, Y.-S.; Chong, P.P.; Tong, M.Y. The Simon-Yule approach to bibliometric modeling. Inf. Process. Manag. 1994, 30, 535–556. [Google Scholar] [CrossRef]
- Chen, Y.S.; Chong, P.P.; Tong, M.Y. Dynamic behavior of Bradford’s law. J. Am. Soc. Inf. Sci. 1995, 46, 370–383. [Google Scholar] [CrossRef]
- Chen, Y.-S. Analysis of Lotka’s law: The Simon-Yule approach. Inf. Process. Manag. 1989, 25, 527–544. [Google Scholar] [CrossRef]
- Glänzel, W. High-end performance or outlier? Evaluating the tail of scientometric distributions. Scientometrics 2013, 97, 13–23. [Google Scholar] [CrossRef]
- Glänzel, W. The role of the h-index and the characteristic scores and scales in testing the tail properties of scientometric distributions. Scientometrics 2010, 83, 697–709. [Google Scholar] [CrossRef]
- Gumbel, E.J. Statistics of Extremes; Echo Point Books & Media: Brattleboro, VT, USA, 1958. [Google Scholar]
- Verhulst, P. Notice on the law that the population follows in its growth. Corresp. Math. Phys. 1838, 10, 113–126. [Google Scholar]
- Gilbert, N. A simulation of the structure of academic science. Sociol. Res. Online 1997, 2, 91–105. [Google Scholar] [CrossRef]
- Scharnhorst, A.; Börner, K.; Van den Besselaar, P. Models of Science Dynamics: Encounters between Complexity Theory and Information Sciences; Springer Science & Business Media: Berlin/Heidelberg, Germany, 2012. [Google Scholar]
- Egghe, L. Power Laws in the Information Production Process: Lotkaian Infometrics; Academic Press: Cambridge, MA, USA, 2005. [Google Scholar]
- Burrell, Q.L. Extending Lotkaian informetrics. Inf. Process. Manag. 2008, 44, 1794–1807. [Google Scholar] [CrossRef]
- Goffman, W.; Morris, T.G. Bradford’s law and library acquisitions. Nature 1970, 226, 922–923. [Google Scholar] [CrossRef]
- Alabi, G. Bradford’s law and its application. Int. Libr. Rev. 1979, 11, 151–158. [Google Scholar] [CrossRef]
- Drott, M.C.; Mancall, J.C.; Griffith, B.C. Bradford’s law and libraries: Present applications—Potential promise. Aslib Proc. 1979, 31, 296–304. [Google Scholar] [CrossRef]
- Tague, J. What’s the Use of Bibliometrics? 1988. Available online: https://documentserver.uhasselt.be/bitstream/1942/846/1/tague271.pdf (accessed on 12 October 2024).
- Xu, F. A standard procedure for Bradford analysis and its application to the periodical literature in systems librarianship. Libr. Hi Tech 2011, 29, 751–763. [Google Scholar] [CrossRef]
- Cline, G.S. Application of Bradford’s Law to citation data. Coll. Res. Libr. 1981, 42, 53–61. [Google Scholar] [CrossRef][Green Version]
- Bornmann, L. How are excellent (highly cited) papers defined in bibliometrics? A quantitative analysis of the literature. Res. Eval. 2014, 23, 166–173. [Google Scholar] [CrossRef]











Disclaimer/Publisher’s Note: The statements, opinions and data contained in all publications are solely those of the individual author(s) and contributor(s) and not of MDPI and/or the editor(s). MDPI and/or the editor(s) disclaim responsibility for any injury to people or property resulting from any ideas, methods, instructions or products referred to in the content. |
© 2024 by the author. Licensee MDPI, Basel, Switzerland. This article is an open access article distributed under the terms and conditions of the Creative Commons Attribution (CC BY) license (https://creativecommons.org/licenses/by/4.0/).
Share and Cite
Xue, H. Temporal Evolution of Bradford Curves in Academic Library Contexts. Publications 2024, 12, 36. https://doi.org/10.3390/publications12040036
Xue H. Temporal Evolution of Bradford Curves in Academic Library Contexts. Publications. 2024; 12(4):36. https://doi.org/10.3390/publications12040036
Chicago/Turabian StyleXue, Haobai. 2024. "Temporal Evolution of Bradford Curves in Academic Library Contexts" Publications 12, no. 4: 36. https://doi.org/10.3390/publications12040036
APA StyleXue, H. (2024). Temporal Evolution of Bradford Curves in Academic Library Contexts. Publications, 12(4), 36. https://doi.org/10.3390/publications12040036

