Influence of Nanoscale Surface Arrangements on the Oxygen Transfer Ability of Ceria–Zirconia Mixed Oxide
Abstract
1. Introduction
2. Results and Discussion
2.1. Textural and Structural Characterization
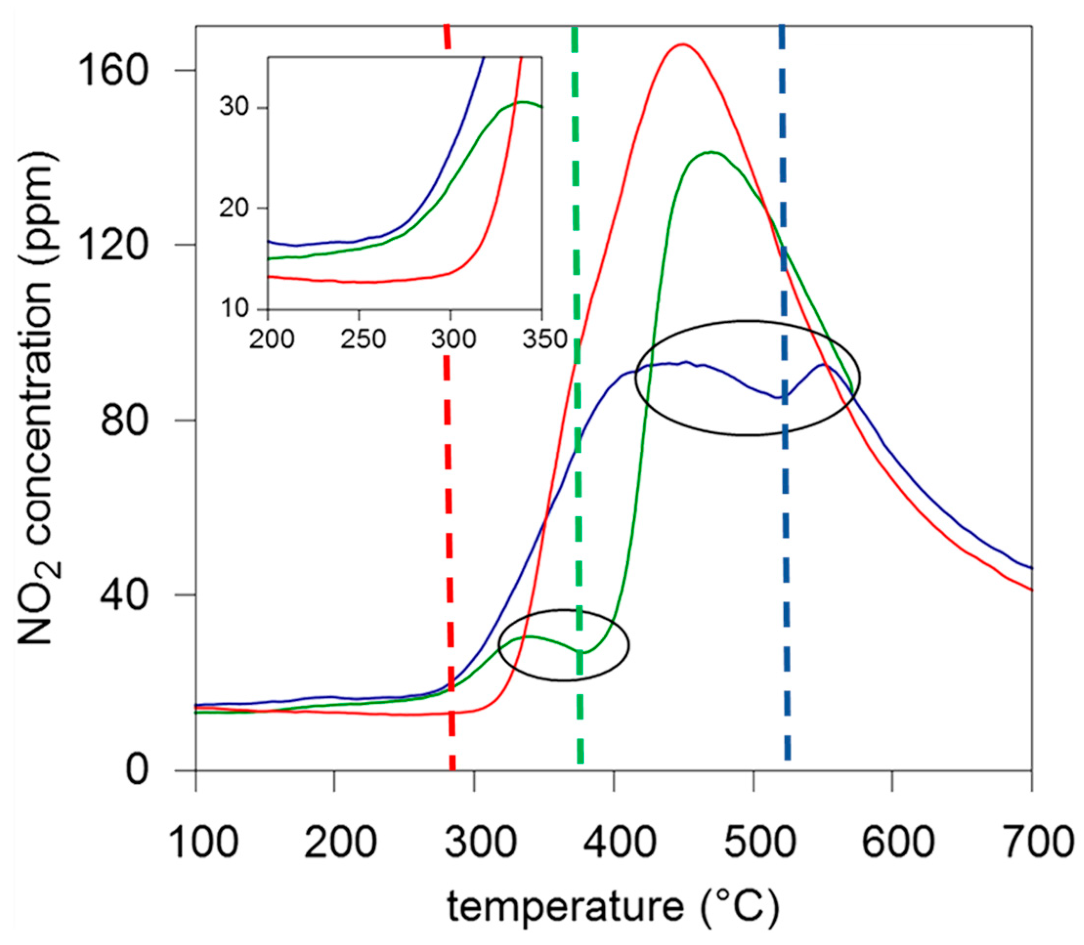
2.2. Catalytic Activity
3. Materials and Methods
4. Conclusions
Author Contributions
Funding
Conflicts of Interest
References
- Montini, T.; Melchionna, M.; Monai, M.; Fornasiero, P. Fundamentals and Catalytic Applications of CeO2-Based Materials. Chem. Rev. 2016, 116, 5987–6041. [Google Scholar] [CrossRef]
- Aneggi, E.; Boaro, M.; Colussi, S.; de Leitenburg, C.; Trovarelli, A. Ceria-Based Materials in Catalysis: Historical Perspective and Future Trends. In Handbook on the Physics and Chemistry of Rare Earths; Elsevier: Amsterdam, The Netherlands, 2016; Volume 50, pp. 209–242. [Google Scholar]
- Gorte, R.J. Ceria in Catalysis: From Automotive Applications to the Water Gas Shift Reaction. AIChE J. 2010, 56, 1126–1135. [Google Scholar] [CrossRef]
- Farrauto, R.J.; Heck, R.M. Catalytic converters: state of the art and perspectives. Catal. Today 1999, 51, 351–360. [Google Scholar] [CrossRef]
- Trovarelli, A. Catalytic properties of ceria and CeO2-containing materials. Catal. Rev. 1996, 38, 439–520. [Google Scholar] [CrossRef]
- Di Monte, R.; Kaspar, J. On the role of oxygen storage in three-way catalysis. Top Catal. 2004, 28, 47–57. [Google Scholar] [CrossRef]
- Garcia, X.; Soler, L.; Divins, N.J.; Vendrell, X.; Serrano, I.; Lucentini, I.; Prat, J.; Solano, E.; Tallarida, M.; Escudero, C.; et al. Ceria-Based Catalysts Studied by Near Ambient Pressure X-ray Photoelectron Spectroscopy: A Review. Catalysts 2020, 10, 286. [Google Scholar] [CrossRef]
- Aneggi, E.; Leitenburg, C.D.; Trovarelli, A. Ceria-based formulations for catalysts for diesel soot combustion. In Catalysis by Ceria and Related Materials, 2nd ed.; Alessandro, T., Paolo, F., Eds.; Imperial College Press: London, UK, 2013. [Google Scholar]
- Bueno-Lopez, A. Diesel soot combustion ceria catalysts. Appl. Catal. B Environ. 2014, 146, 1–11. [Google Scholar] [CrossRef]
- Krishna, K.; Bueno-Lopez, A.; Makkee, M.; Moulijn, J.A. Potential rare earth modified CeO2 catalysts for soot oxidation I. Characterisation and catalytic activity with O2. Appl. Catal. B Environ. 2007, 75, 189–200. [Google Scholar] [CrossRef]
- Konstandopoulos, A.G.; Pagkoura, C.; Lorentzou, S.; Kastrinaki, G. Catalytic Soot Oxidation: Effect of Ceria–Zirconia Catalyst Particle Size. SAE Int. J. Engines 2016, 9, 1709–1719. [Google Scholar] [CrossRef]
- Saab, E.; Abi-Aad, E.; Bokova, M.N.; Zhilinskaya, E.A.; Aboukais, A. EPR characterisation of carbon black in loose and tight contact with Al2O3 and CeO2 catalysts. Carbon 2007, 45, 561–567. [Google Scholar] [CrossRef]
- Aneggi, E.; de Leitenburg, C.; Dolcetti, G.; Trovarelli, A. Promotional effect of rare earths and transition metals in the combustion of diesel soot over CeO2 and CeO2–ZrO2. Catal. Today 2006, 114, 40–47. [Google Scholar] [CrossRef]
- Mukherjee, D.; Reddy, B.M. Noble metal-free CeO2-based mixed oxides for CO and soot oxidation. Catal. Today 2018, 309, 227–235. [Google Scholar] [CrossRef]
- Simonsen, S.B.; Dahl, S.; Johnson, E.; Helveg, S. Ceria-catalyzed soot oxidation studied by environmental transmission electron microscopy. J. Catal. 2008, 255, 1–5. [Google Scholar] [CrossRef]
- Liu, S.; Wu, X.D.; Weng, D.; Ran, R. Ceria-based catalysts for soot oxidation: A review. J. Rare Earth. 2015, 33, 567–590. [Google Scholar] [CrossRef]
- Yang, Z.; Hu, W.; Zhang, N.; Li, Y.; Liao, Y. Facile synthesis of ceria–zirconia solid solutions with cubic–tetragonal interfaces and their enhanced catalytic performance in diesel soot oxidation. J. Catal. 2019, 377, 98–109. [Google Scholar] [CrossRef]
- Andana, T.; Piumetti, M.; Bensaid, S.; Russo, N.; Fino, D. Heterogeneous mechanism of NOx-assisted soot oxidation in the passive regeneration of a bench-scale diesel particulate filter catalyzed with nanostructured equimolar ceria-praseodymia. Appl. Catal. A Gen. 2019, 583, 117136. [Google Scholar] [CrossRef]
- Andana, T.; Piumetti, M.; Bensaid, S.; Veyre, L.; Thieuleux, C.; Russo, N.; Fino, D.; Quadrelli, E.A.; Pirone, R. Nanostructured equimolar ceria-praseodymia for NOx-assisted soot oxidation: Insight into Pr dominance over Pt nanoparticles and metal–support interaction. Appl. Catal. B Environ. 2018, 226, 147–161. [Google Scholar] [CrossRef]
- Matarrese, R.; Morandi, S.; Castoldi, L.; Villa, P.; Lietti, L. Removal of NOx and soot over Ce/Zr/K/Me (Me = Fe, Pt, Ru, Au) oxide catalysts. Appl. Catal. B Environ. 2017, 201, 318–330. [Google Scholar] [CrossRef]
- Aneggi, E.; de Leitenburg, C.; Trovarelli, A. On the role of lattice/surface oxygen in ceria–zirconia catalysts for diesel soot combustion. Catal. Today 2012, 181, 108–115. [Google Scholar] [CrossRef]
- Bueno-Lopez, A.; Krishna, K.; Makkee, M.; Moulijn, J.A. Enhanced soot oxidation by lattice oxygen via La3+-doped CeO2. J. Catal. 2005, 230, 237–248. [Google Scholar] [CrossRef]
- Setiabudi, A.; Chen, J.L.; Mul, G.; Makkee, M.; Moulijn, J.A. CeO2 catalysed soot oxidation—The role of active oxygen to accelerate the oxidation conversion. Appl. Catal. B Environ. 2004, 51, 9–19. [Google Scholar] [CrossRef]
- Bueno - Lopez, A.; Krishna, K.; Makkee, M.; Moulijn, J. Active oxygen from CeO2 and its role in catalysed soot oxidation. Catal. Lett. 2005, 99, 203–205. [Google Scholar] [CrossRef]
- Zhu, L.; Yu, J.J.; Wang, X.Z. Oxidation treatment of diesel soot particulate on CexZr1−xO2. J. Hazard. Mater. 2007, 140, 205–210. [Google Scholar] [CrossRef] [PubMed]
- Sartoretti, E.; Martini, F.; Piumetti, M.; Bensaid, S.; Russo, N.; Fino, D. Nanostructured Equimolar Ceria-Praseodymia for Total Oxidations in Low-O2 Conditions. Catalysts 2020, 10, 165. [Google Scholar] [CrossRef]
- Machida, M.; Murata, Y.; Kishikawa, K.; Zhang, D.J.; Ikeue, K. On the reasons for high activity of CeO2 catalyst for soot oxidation. Chem. Mater. 2008, 20, 4489–4494. [Google Scholar] [CrossRef]
- Aneggi, E.; Rico-Perez, V.; de Leitenburg, C.; Maschio, S.; Soler, L.; Llorca, J.; Trovarelli, A. Ceria-Zirconia Particles Wrapped in a 2D Carbon Envelope: Improved Low-Temperature Oxygen Transfer and Oxidation Activity. Angew. Chem. Int. Edit. 2015, 54, 14040–14043. [Google Scholar] [CrossRef]
- Aneggi, E.; Llorca, J.; Trovarelli, A.; Aouine, M.; Vernoux, P. In situ environmental HRTEM discloses low temperature carbon soot oxidation by ceria-zirconia at the nanoscale. Chem. Commun. 2019, 55, 3876–3878. [Google Scholar] [CrossRef]
- Soler, L.; Casanovas, A.; Escudero, C.; Perez-Dieste, V.; Aneggi, E.; Trovarelli, A.; Llorca, J. Ambient Pressure Photoemission Spectroscopy Reveals the Mechanism of Carbon Soot Oxidation in Ceria-Based Catalysts. Chemcatchem 2016, 8, 2748–2751. [Google Scholar] [CrossRef]
- Balaz, P.; Achimovicova, M.; Balaz, M.; Billik, P.; Cherkezova-Zheleva, Z.; Criado, J.M.; Delogu, F.; Dutkova, E.; Gaffet, E.; Gotor, F.J.; et al. Hallmarks of mechanochemistry: From nanoparticles to technology. Chem. Soc. Rev. 2013, 42, 7571–7637. [Google Scholar] [CrossRef]
- Jenkins, R.; Snyder, R.L. Introduction to X-ray Powder Diffractometry; Wiley: New York, NY, USA, 1996. [Google Scholar]
- Giménez-Mañogil, J.; García-García, A. Opportunities for ceria-based mixed oxides versus commercial platinum-based catalysts in the soot combustion reaction. Mechanistic implications. Fuel Process. Technol. 2015, 129, 227–235. [Google Scholar] [CrossRef]
- Guillén-Hurtado, N.; López-Suárez, F.E.; Bueno-López, A.; García-García, A. Behavior of different soot combustion catalysts under NOx/O2. Importance of the catalyst–soot contact. React. Kinet. Mech. Catal. 2013, 111, 167–182. [Google Scholar] [CrossRef]
- Zhang, W.; Niu, X.Y.; Chen, L.Q.; Yuan, F.L.; Zhu, Y.J. Soot Combustion over Nanostructured Ceria with Different Morphologies. Sci. Rep. Uk 2016, 6, 29062. [Google Scholar] [CrossRef] [PubMed]
- Larson, A.C.; Von Dreele, R.B. General Structure Analysis System (GSAS); Los Alamos National Laboratory Report LAUR 86-748: Los Almos, NM, USA, 2000. [Google Scholar]
- Toby, B.H. EXPGUI, a graphical user interface for GSAS. J. Appl. Crystallogr. 2001, 34, 210–213. [Google Scholar] [CrossRef]
- Young, R.A. The Rietveld Method; IUCr Oxford University Press: New York, NY, USA, 1993. [Google Scholar]






| Sample | Name | SA (m2/g) | Apparent Density (g/mL) | Crystallite Size (nm) a | Cell Parameter b (nm) | Molar Composition b | Free ZrO2 c (%) |
|---|---|---|---|---|---|---|---|
| Ce0.8Zr0.2O2 | CZ | 79 | 1.45 | 6 | 5.3590(4) | Ce0.82Zr0.18O2 | / |
| Ce0.8Zr0.2O2/C loose | CZ(l) | 79 | 1.44 | 6 | 5.3586(4) | Ce0.82Zr0.18O2 | / |
| Ce0.8Zr0.2O2/C tight | CZ(t) | 78 | 1.45 | 6 | 5.3588(4) | Ce0.82Zr0.18O2 | / |
| Ce0.8Zr0.2O2/C milled | CZ(m) | 29 | 1.65 | 14 | 5.3487(2) | Ce0.78Zr0.22O2 | 10 |
| Sample | Total Weight Loss a (%) | Selectivity from TP Experiment b CO/CO2 | Calculated Weight Loss % (Carbon) c | Calculated Weight Loss % (Oxygen) c |
|---|---|---|---|---|
| CZ(l) | 2.4 | 5/95 | 0.67 | 1.73 |
| CZ(t) | 4.6 | 10/90 | 1.32 | 3.28 |
| CZ(m) | 5.6 | 14/86 | 1.65 | 3.95 |
| O2/N2 a | NO/O2/N2 | NO2/O2/N2 | |||||
|---|---|---|---|---|---|---|---|
| Sample | T50 (°C) | Tp (°C) | SCO2 (%) | Tp (°C) | SCO2 (%) | Tp (°C) | SCO2 (%) |
| CZ(l) | 534 | 554 | 97 | 515 | 91 | 516 | 92 |
| CZ(t) | 364 | 383 | 99 | 378 | 95 | 377 | 96 |
| CZ(m) | 268 | 285 | 97 | 294 | 95 | 293 | 94 |
© 2020 by the authors. Licensee MDPI, Basel, Switzerland. This article is an open access article distributed under the terms and conditions of the Creative Commons Attribution (CC BY) license (http://creativecommons.org/licenses/by/4.0/).
Share and Cite
Aneggi, E.; de Leitenburg, C.; Trovarelli, A. Influence of Nanoscale Surface Arrangements on the Oxygen Transfer Ability of Ceria–Zirconia Mixed Oxide. Inorganics 2020, 8, 34. https://doi.org/10.3390/inorganics8050034
Aneggi E, de Leitenburg C, Trovarelli A. Influence of Nanoscale Surface Arrangements on the Oxygen Transfer Ability of Ceria–Zirconia Mixed Oxide. Inorganics. 2020; 8(5):34. https://doi.org/10.3390/inorganics8050034
Chicago/Turabian StyleAneggi, Eleonora, Carla de Leitenburg, and Alessandro Trovarelli. 2020. "Influence of Nanoscale Surface Arrangements on the Oxygen Transfer Ability of Ceria–Zirconia Mixed Oxide" Inorganics 8, no. 5: 34. https://doi.org/10.3390/inorganics8050034
APA StyleAneggi, E., de Leitenburg, C., & Trovarelli, A. (2020). Influence of Nanoscale Surface Arrangements on the Oxygen Transfer Ability of Ceria–Zirconia Mixed Oxide. Inorganics, 8(5), 34. https://doi.org/10.3390/inorganics8050034

