Electrochemical Performances of a Solid Oxide Electrolysis Short Stack Under Multiple Steady-State and Cycling Operating Conditions
Abstract
1. Introduction
2. Results
2.1. Parametric Study of Operating Conditions on SOEC Stack Performances
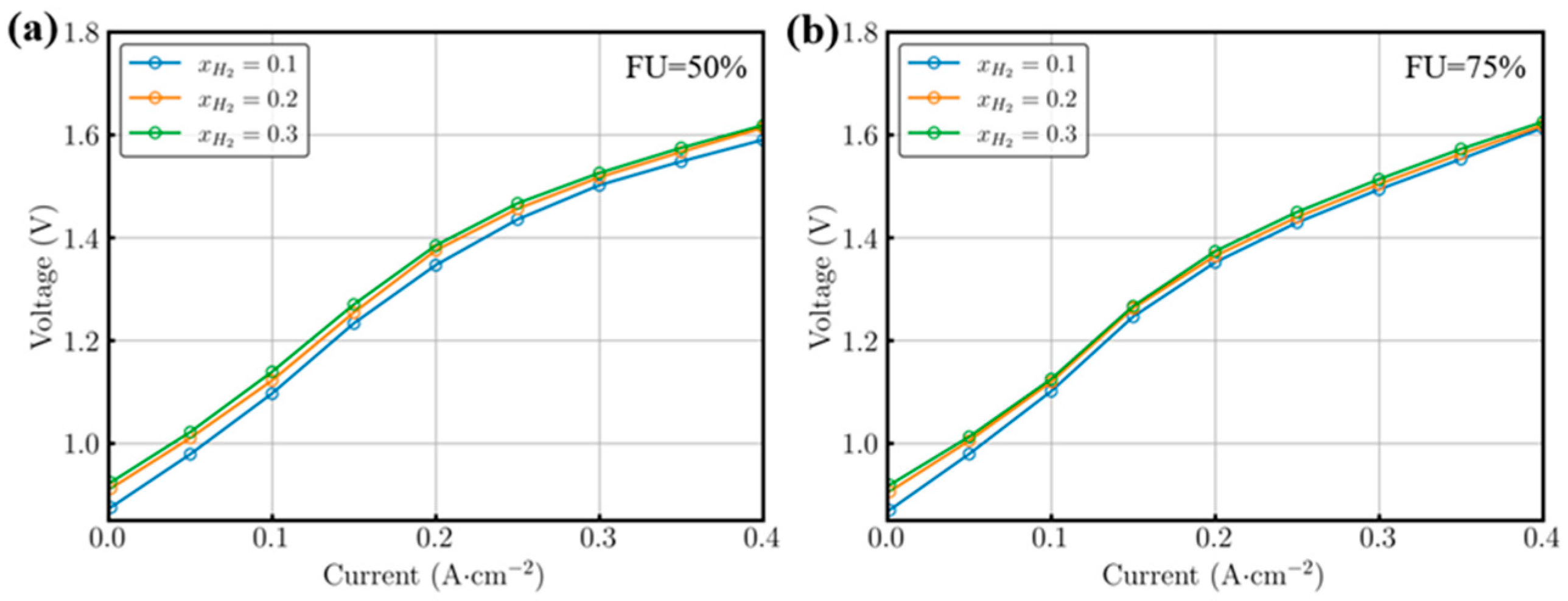
2.1.1. Parametric Study in the Steady-State Tests
2.1.2. Parametric Study in the Dynamic Operation
2.2. Performance Under Multiple Operating Conditions
2.2.1. Test Conditions and the Overall Performance
2.2.2. Performance Analysis in Each Test Set
2.2.3. Discussion on Voltage Fluctuations Under High-Current Cycling
2.3. Temperature Cycling of the SOEC Stack
2.3.1. Impact of Temperature Cycles on Stack Performances
2.3.2. Performance Change by Cooling with the Fuel Gas Mixture
2.3.3. Performance Change by Cooling with Pure Hydrogen
3. Experimental Setup
4. Conclusions
- (1)
- For the specific stack tested, a fuel composition of 10% H2-90% H2O yields the best performance. Due to the overshoot of voltage response, it is suggested that the steady-state I-V test current step should be 0.1 A/cm2. FU does not substantially enhance steady-state performance, while a lower FU can mitigate overshooting and fluctuations caused by mass transfer lag in dynamic processes.
- (2)
- The stack is capable of withstanding constant-current electrolysis within the range of 0–0.4 A/cm2, as well as cyclic currents of 0–0.2 A/cm2. A cyclic current of 0.4 A/cm2 results in larger fluctuations, which, according to impedance analysis, could be due to instability in the cathode’s activation impedance.
- (3)
- The SOEC short stack can withstand at least two temperature cycles. All impedances increase as the temperature decreases, with a dramatic performance drop between 650 and 600 °C, suggesting that 650 °C is the minimum operating temperature of the stack.
Author Contributions
Funding
Data Availability Statement
Conflicts of Interest
References
- Sun, J.; Guo, Z.; Pan, L.; Fan, X.; Wei, L.; Zhao, T. Redox flow batteries and their stack-scale flow fields. Carbon Neutrality 2023, 2, 30. [Google Scholar] [CrossRef]
- Xu, X.; Pan, Y.; Zhong, Y.; Ran, R.; Shao, Z. Ruddlesden–Popper perovskites in electrocatalysis. Mater. Horiz. 2020, 7, 2519–2565. [Google Scholar] [CrossRef]
- Wang, T.; Cao, X.; Jiao, L. PEM water electrolysis for hydrogen production: Fundamentals, advances, and prospects. Carbon Neutrality 2022, 1, 21. [Google Scholar] [CrossRef]
- Gao, Y.; Zhang, M.; Fu, M.; Hu, W.; Tong, H.; Tao, Z. A comprehensive review of recent progresses in cathode materials for Proton-conducting SOFCs. Energy Rev. 2023, 2, 100038. [Google Scholar] [CrossRef]
- Lahrichi, A. Advancements, strategies, and prospects of solid oxide electrolysis cells (SOECs): Towards enhanced performance and large-scale sustainable hydrogen production. J. Energy Chem. 2024, 94, 688–715. [Google Scholar] [CrossRef]
- Schefold, J.; Brisse, A.; Poepke, H. 23,000 h steam electrolysis with an electrolyte supported solid oxide cell. Int. J. Hydrogen Energy 2017, 42, 13415–13426. [Google Scholar] [CrossRef]
- Mogensen, M.B.; Chen, M.; Frandsen, H.L.; Graves, C.; Hansen, J.B.; Hansen, K.V.; Hauch, A.; Jacobsen, T.; Jensen, S.H.; Skafte, T.L.; et al. Reversible solid-oxide cells for clean and sustainable energy. Clean Energy 2019, 3, 175–201. [Google Scholar] [CrossRef]
- Yang, Y.; Tong, X.; Hauch, A.; Sun, X.; Yang, Z.; Peng, S.; Chen, M. Study of solid oxide electrolysis cells operated in potentiostatic mode: Effect of operating temperature on durability. Chem. Eng. J. 2021, 417, 129260. [Google Scholar] [CrossRef]
- Hauch, A.; Brodersen, K.; Chen, M.; Mogensen, M.B. Ni/YSZ electrodes structures optimized for increased electrolysis performance and durability. Solid State Ion. 2016, 293, 27–36. [Google Scholar] [CrossRef]
- Park, B.; Zhang, Q.; Voorhees, P.W.; Barnett, S.A. Conditions for stable operation of solid oxide electrolysis cells: Oxygen electrode effects. Energy Environ. Sci. 2019, 12, 3053–3062. [Google Scholar] [CrossRef]
- Shimada, H.; Yamaguchi, T.; Kishimoto, H.; Sumi, H.; Yamaguchi, Y.; Nomura, K.; Fujishiro, Y. Nanocomposite electrodes for high current density over 3 A cm−2 in solid oxide electrolysis cells. Nat. Commun. 2019, 10, 5432. [Google Scholar] [CrossRef] [PubMed]
- Zhang, B.W.; Zhu, M.N.; Gao, M.R.; Xi, X.; Duan, N.; Chen, Z.; Feng, R.F.; Zeng, H.; Luo, J.L. Boosting the stability of perovskites with exsolved nanoparticles by B-site supplement mechanism. Nat. Commun. 2022, 13, 4618. [Google Scholar] [CrossRef] [PubMed]
- Chen, M. Lessons Learned from Operating a Solid Oxide Electrolysis Cell at 1.25 A/cm2 for One Year. ECS Trans. 2021, 103, 475. [Google Scholar] [CrossRef]
- Wang, Y.; Banerjee, A.; Deutschmann, O. Dynamic behavior and control strategy study of CO2/H2O co-electrolysis in solid oxide electrolysis cells. J. Power Sources 2019, 412, 255–264. [Google Scholar] [CrossRef]
- Schefold, J.; Brisse, A.; Surrey, A.; Walter, C. 80,000 current on/off cycles in a one year long steam electrolysis test with a solid oxide cell. Int. J. Hydrogen Energy 2020, 45, 5143–5154. [Google Scholar] [CrossRef]
- Petipas, F.; Fu, Q.; Brisse, A.; Bouallou, C. Transient operation of a solid oxide electrolysis cell. Int. J. Hydrogen Energy 2013, 38, 2957–2964. [Google Scholar] [CrossRef]
- Xu, H.; Han, Y.; Zhu, J.; Ni, M.; Yao, Z. Status and progress of metal-supported solid oxide fuel cell: Towards large-scale manufactory and practical applications. Energy Rev. 2024, 3, 100051. [Google Scholar] [CrossRef]
- Léon, A.; Micero, A.; Ludwig, B.; Brisse, A. Effect of scaling-up on the performance and degradation of long-term operated electrolyte supported solid oxide cell, stack and module in electrolysis mode. J. Power Sources 2021, 510, 230346. [Google Scholar] [CrossRef]
- Yan, Y.; Fang, Q.; Blum, L.; Lehnert, W. Performance and degradation of an SOEC stack with different cell components. Electrochim. Acta 2017, 258, 1254–1261. [Google Scholar] [CrossRef]
- Fang, Q.; Blum, L.; Menzler, N.H. Performance and Degradation of Solid Oxide Electrolysis Cells in Stack. J. Electrochem. Soc. 2015, 162, F907. [Google Scholar] [CrossRef]
- Mougin, J.; Chatroux, A.; Couturier, K.; Petitjean, M.; Reytier, M.; Gousseau, G.; Lefebvre-Joud, F. High Temperature Steam Electrolysis Stack with Enhanced Performance and Durability. Energy Procedia 2012, 29, 445–454. [Google Scholar] [CrossRef]
- Rao, M.; Sun, X.; Hagen, A. Durability of solid oxide electrolysis stack under dynamic load cycling for syngas production. J. Power Sources 2020, 451, 227781. [Google Scholar] [CrossRef]
- Königshofer, B.; Pongratz, G.; Nusev, G.; Boškoski, P.; Höber, M.; Juričić, Đ.; Kusnezoff, M.; Trofimenko, N.; Schröttner, H.; Hochenauer, C.; et al. Development of test protocols for solid oxide electrolysis cells operated under accelerated degradation conditions. J. Power Sources 2021, 497, 229875. [Google Scholar] [CrossRef]
- Lang, M.; Raab, S.; Lemcke, M.S.; Bohn, C.; Pysik, M. Long-Term Behavior of a Solid Oxide Electrolyzer (SOEC) Stack. Fuel Cells 2020, 20, 690–700. [Google Scholar] [CrossRef]















| Set | Segment | Current Density (A/cm2) | Operation | Fuel Utilization | Duration (h) |
|---|---|---|---|---|---|
| 01 | 1–8 | 0–0.2 | Cycling (a) | 50% | 40 |
| 10–12 | 0.2 | Galvanostatic | 50% | 20 | |
| 02 | 15–17 | 0–0.4 | Cycling (a) | 50% | 60 |
| 18 | 0–0.5 | Cycling (a) | 50% | 20 | |
| 22–23 | 0.4 | Galvanostatic | 50% | 30 | |
| 03 | 26–30 | 0–0.2 | Cycling (a) | 75% | 40 |
| 32–34 | 0.2 | Galvanostatic | 75% | 25 | |
| 04 | 37–42 | 0–0.4 | Cycling (a) | 75% | 60 |
| 45–47 | 0.4 | Galvanostatic | 75% | 50 |
Disclaimer/Publisher’s Note: The statements, opinions and data contained in all publications are solely those of the individual author(s) and contributor(s) and not of MDPI and/or the editor(s). MDPI and/or the editor(s) disclaim responsibility for any injury to people or property resulting from any ideas, methods, instructions or products referred to in the content. |
© 2024 by the authors. Licensee MDPI, Basel, Switzerland. This article is an open access article distributed under the terms and conditions of the Creative Commons Attribution (CC BY) license (https://creativecommons.org/licenses/by/4.0/).
Share and Cite
Ma, Q.; Zuo, Y.; Lu, K.; Rong, Y.; Su, W.; Chen, H.; Xu, X. Electrochemical Performances of a Solid Oxide Electrolysis Short Stack Under Multiple Steady-State and Cycling Operating Conditions. Inorganics 2024, 12, 288. https://doi.org/10.3390/inorganics12110288
Ma Q, Zuo Y, Lu K, Rong Y, Su W, Chen H, Xu X. Electrochemical Performances of a Solid Oxide Electrolysis Short Stack Under Multiple Steady-State and Cycling Operating Conditions. Inorganics. 2024; 12(11):288. https://doi.org/10.3390/inorganics12110288
Chicago/Turabian StyleMa, Qinhui, Yuhang Zuo, Kaifeng Lu, Yangyiming Rong, Wei Su, Hanming Chen, and Xinhai Xu. 2024. "Electrochemical Performances of a Solid Oxide Electrolysis Short Stack Under Multiple Steady-State and Cycling Operating Conditions" Inorganics 12, no. 11: 288. https://doi.org/10.3390/inorganics12110288
APA StyleMa, Q., Zuo, Y., Lu, K., Rong, Y., Su, W., Chen, H., & Xu, X. (2024). Electrochemical Performances of a Solid Oxide Electrolysis Short Stack Under Multiple Steady-State and Cycling Operating Conditions. Inorganics, 12(11), 288. https://doi.org/10.3390/inorganics12110288

