Structured Light Transmission under Free Space Jamming: An Enhanced Mode Identification and Signal-to-Jamming Ratio Estimation Using Machine Learning
Abstract
:1. Introduction
- A new method is proposed for augmenting the classification accuracy of light beam modes of LG, Mux-LG, and HG modulations. The proposed method is exploiting image processing techniques, which include image contrast enhancement using histogram equalization, followed by the histogram of oriented gradients (HOG) image descriptor to enhance the region of interest of the input images and to extract features. The HOG algorithm is heavily used in the field of computer vision as a preprocessing step. Furthermore, the proposed method uses the support vector machine (SVM), which is less complex compared to the CNN used in [14], to achieve the classification task. The proposed approach showed an excellent performance in the modes classification task, especially at low values of SJR (i.e., SJR dB).
- A new approach is proposed to estimate the value of SJR from the received mode, to determine the level of jamming. This problem was not tackled in [14]. The proposed estimation method utilizes an image projection technique to extract features to be inputted to an artificial neural network (ANN). The proposed ANN model achieved a result with a mean squared error (MSE) of value less than 0.19 dB for estimating the SJR in the presence of the three different modulation modes.
2. Dataset
3. Proposed Algorithm for Modes Classification
3.1. Preprocessing Operations
- Setting the intensity of background pixels to zero. The intensity of background pixels is obtained by computing the histogram of all images of the database, which is used for training the ML model. These images contain LG, Mux-LG, and HG modes at different SJR values. Fortunately, because of the homogeneity of background pixels of the generated images, it is found that the background intensities are of value 31 or less. Figure 4a,b depicts the histogram of an original image and the histogram after negating the background using a fixed threshold of value 32, respectively.
- Applying histogram equalization to the images after negating the background for the sake of improving the image’s contrast. Histogram equalization is a procedure intended to flatten the histogram of gray levels of a given image so that the contrast level can be enhanced [19]. It works as follows: for a given grayscale image, let the values of histogram be denoted by where their corresponding bins are . The parameter L is the number of possible intensity levels in the image (e.g., 256 for an 8-bit image). Then, the probability mass function is calculated by normalizing the histogram values by the total number of image pixels, M. That is,After that, the cumulative distribution function is calculated, which is a monotonic increasing function ranging from 0 to 1. The cumulative distribution function is computed as follows:Thereafter, each value of is multiplied by the maximum possible intensity level as follows [20]:where floor{} rounds down to the nearest integer, and is the mapped intensity value at histogram’s bin of value k. After obtaining the new levels of the histogram from Equation (5), the intensities of the original image are mapped such that each gray level in the original histogram is replaced by the corresponding value of , and the value of each pixel is mapped to the new gray level of as a consequence. Let and be the original and equalized pixels at the th row and th column. Therefore,
- Divide a given image into small regions or cells.
- Compute the gradient of a pixel in a given cell in terms of its magnitude and phase. For example, for a given pixel located in the th row and th column, the magnitude is given by:where,and,while the gradient’s orientation is defined by the angel :which ranges from 0 to .
- Compute the histogram of each cell such that the bins are defined in terms of the gradient phase (e.g., 0, 0.1, …, ) and the histogram values are obtained from the gradient magnitude.
- Compose the cells into blocks, where each block contains C cells. Let denote the histogram of the th cell in the th block, where k is the bin index ().
- Construct the vector , which combines the histograms of the cells of th block. That is,
- Compute the energy of the block combined histograms; i.e., the energy of .
- Use the resulting energy value of a block to normalize the histograms of its cells to diminish the effect of image illumination. That is,
- Combine the resulting normalized histograms of all blocks to construct HOG features V for the whole image, which is defined as:where is the number of blocks.
3.2. Classification Using Support Vector Machine
3.3. Results
4. SJR Estimation
4.1. Algorithm Development
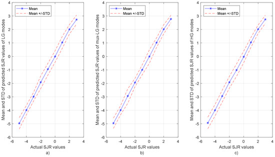
4.2. Results
5. Discussion
6. Conclusions
Author Contributions
Funding
Institutional Review Board Statement
Informed Consent Statement
Conflicts of Interest
References
- Malik, A.; Singh, P. Free space optics: Current applications and future challenges. Int. J. Opt. 2015, 2015, 945483. [Google Scholar] [CrossRef] [Green Version]
- Trichili, A.; Park, K.; Zghal, M.; Ooi, B.S.; Alouini, M. Communicating Using Spatial Mode Multiplexing: Potentials, Challenges, and Perspectives. IEEE Commun. Surv. Tutor. 2019, 21, 3175–3203. [Google Scholar] [CrossRef] [Green Version]
- Vigneshwaran, S.; Muthumani, I.; Raja, A.S. Investigations on free space optics communication system. In Proceedings of the 2013 International Conference on Information Communication and Embedded Systems (ICICES), Chennai, India, 21–22 February 2013; pp. 819–824. [Google Scholar]
- Singh, J.; Kumar, N. Performance analysis of different modulation format on free space optical communication system. Optik 2013, 124, 4651–4654. [Google Scholar] [CrossRef]
- Ren, Y.; Xie, G.; Huang, H.; Ahmed, N.; Yan, Y.; Li, L.; Bao, C.; Lavery, M.P.; Tur, M.; Neifeld, M.A.; et al. Adaptive-optics-based simultaneous pre-and post-turbulence compensation of multiple orbital-angular-momentum beams in a bidirectional free-space optical link. Optica 2014, 1, 376–382. [Google Scholar] [CrossRef]
- Huang, H.; Xie, G.; Ren, Y.; Yan, Y.; Bao, C.; Ahmed, N.; Ziyadi, M.; Chitgarha, M.; Neifeld, M.; Dolinar, S.; et al. 4 × 4 MIMO equalization to mitigate crosstalk degradation in a four-channel free-space orbital-angular-momentum-multiplexed system using heterodyne detection. In Proceedings of the IET 39th European Conference and Exhibition on Optical Communication (ECOC 2013), London, UK, 22–26 September 2013; pp. 1–3. [Google Scholar]
- Huang, H.; Cao, Y.; Xie, G.; Ren, Y.; Yan, Y.; Bao, C.; Ahmed, N.; Neifeld, M.A.; Dolinar, S.J.; Willner, A.E. Crosstalk mitigation in a free-space orbital angular momentum multiplexed communication link using 4 × 4 MIMO equalization. Opt. Lett. 2014, 39, 4360–4363. [Google Scholar] [CrossRef] [PubMed]
- Krenn, M.; Fickler, R.; Fink, M.; Handsteiner, J.; Malik, M.; Scheidl, T.; Ursin, R.; Zeilinger, A. Communication with spatially modulated light through turbulent air across Vienna. New J. Phys. 2014, 16, 113028. [Google Scholar] [CrossRef]
- Wang, Z.; Dedo, M.I.; Guo, K.; Zhou, K.; Shen, F.; Sun, Y.; Liu, S.; Guo, Z. Efficient recognition of the propagated orbital angular momentum modes in turbulences with the convolutional neural network. IEEE Photonics J. 2019, 11, 1–14. [Google Scholar] [CrossRef]
- Rostami, S.; Saad, W.; Hong, C.S. Deep learning with persistent homology for orbital angular momentum (OAM) decoding. IEEE Commun. Lett. 2019, 24, 117–121. [Google Scholar] [CrossRef] [Green Version]
- Freitas, B.S.; Runge, C.J.; Portugheis, J.; de Oliveira, I.; Dias, U. Optimized OAM Laguerre-Gauss Alphabets for Demodulation using Machine Learning. In Proceedings of the IEEE 2020 IEEE 8th International Conference on Photonics (ICP), Kota Bharu, Malaysia, 12 May–30 June 2020; pp. 24–25. [Google Scholar]
- Li, J.; Zhang, M.; Wang, D.; Wu, S.; Zhan, Y. Joint atmospheric turbulence detection and adaptive demodulation technique using the CNN for the OAM-FSO communication. Opt. Express 2018, 26, 10494–10508. [Google Scholar] [CrossRef]
- Ragheb, A.; Saif, W.; Trichili, A.; Ashry, I.; Esmail, M.A.; Altamimi, M.; Almaiman, A.; Altubaishi, E.; Ooi, B.S.; Alouini, M.S.; et al. Identifying structured light modes in a desert environment using machine learning algorithms. Opt. Express 2020, 28, 9753–9763. [Google Scholar] [CrossRef] [PubMed] [Green Version]
- Ragheb, A.M.; Saif, W.S.; Alshebeili, S.A. ML-Based Identification of Structured Light Schemes under Free Space Jamming Threats for Secure FSO-Based Applications. Photonics 2021, 8, 129. [Google Scholar] [CrossRef]
- El-Meadawy, S.A.; Shalaby, H.M.; Ismail, N.A.; Abd El-Samie, F.E.; Farghal, A.E. Free-space 16-ary orbital angular momentum coded optical communication system based on chaotic interleaving and convolutional neural networks. Appl. Opt. 2020, 59, 6966–6976. [Google Scholar] [CrossRef] [PubMed]
- Trichili, A.; Issaid, C.B.; Ooi, B.S.; Alouini, M.S. A CNN-based structured light communication scheme for internet of underwater things applications. IEEE Internet Things J. 2020, 7, 10038–10047. [Google Scholar] [CrossRef] [Green Version]
- Siegman, A.E. Lasers; University Science Books: Mill Valley, CA, USA, 1986. [Google Scholar]
- Luan, H.; Lin, D.; Li, K.; Meng, W.; Gu, M.; Fang, X. 768-ary Laguerre-Gaussian-mode shift keying free-space optical communication based on convolutional neural networks. Opt. Express 2021, 29, 19807–19818. [Google Scholar] [CrossRef] [PubMed]
- Dhal, K.G.; Das, A.; Ray, S.; Gálvez, J.; Das, S. Histogram equalization variants as optimization problems: A review. Arch. Comput. Methods Eng. 2021, 28, 1471–1496. [Google Scholar] [CrossRef]
- Gonzalez, R.C. Digital Image Processing, 4th ed.; Pearson education India: Chennai, India, 2017. [Google Scholar]
- Ma, J.; Jiang, X.; Fan, A.; Jiang, J.; Yan, J. Image matching from handcrafted to deep features: A survey. Int. J. Comput. Vis. 2021, 129, 23–79. [Google Scholar] [CrossRef]
- Wang, Y.; Zhu, X.; Wu, B. Automatic detection of individual oil palm trees from UAV images using HOG features and an SVM classifier. Int. J. Remote Sens. 2019, 40, 7356–7370. [Google Scholar] [CrossRef]
- Seemanthini, K.; Manjunath, S. Human detection and tracking using HOG for action recognition. Procedia Comput. Sci. 2018, 132, 1317–1326. [Google Scholar]
- Ouerhani, Y.; Alfalou, A.; Brosseau, C. Road mark recognition using HOG-SVM and correlation. In Proceedings of the Optics and Photonics for Information Processing XI, San Diego, CA, USA, 7–8 August 2017; Volume 10395, pp. 119–126. [Google Scholar]
- Altowaijri, A.H.; Alfaifi, M.S.; Alshawi, T.A.; Ibrahim, A.B.; Alshebeili, S.A. A Privacy-Preserving Iot-Based Fire Detector. IEEE Access 2021, 9, 51393–51402. [Google Scholar] [CrossRef]
- Firuzi, K.; Vakilian, M.; Phung, B.T.; Blackburn, T.R. Partial discharges pattern recognition of transformer defect model by LBP & HOG features. IEEE Trans. Power Deliv. 2018, 34, 542–550. [Google Scholar]
- Dalal, N.; Triggs, B. Histograms of oriented gradients for human detection. In Proceedings of the IEEE 2005 IEEE Computer Society Conference on Computer Vision and Pattern Recognition (CVPR’05), San Diego, CA, USA, 20–25 June 2005; Volume 1, pp. 886–893. [Google Scholar]
- Zhou, Z.H. Support vector machine. In Machine Learning; Springer: New York, NY, USA, 2021; pp. 129–153. [Google Scholar]
- Battineni, G.; Chintalapudi, N.; Amenta, F. Machine learning in medicine: Performance calculation of dementia prediction by support vector machines (SVM). Inform. Med. Unlocked 2019, 16, 100200. [Google Scholar] [CrossRef]
- Zendehboudi, A.; Baseer, M.A.; Saidur, R. Application of support vector machine models for forecasting solar and wind energy resources: A review. J. Clean. Prod. 2018, 199, 272–285. [Google Scholar] [CrossRef]
- Yang, R.; Yu, L.; Zhao, Y.; Yu, H.; Xu, G.; Wu, Y.; Liu, Z. Big data analytics for financial Market volatility forecast based on support vector machine. Int. J. Inf. Manag. 2020, 50, 452–462. [Google Scholar] [CrossRef]
- Chen, Y.; Wu, Z.; Zhao, B.; Fan, C.; Shi, S. Weed and corn seedling detection in field based on multi feature fusion and support vector machine. Sensors 2021, 21, 212. [Google Scholar] [CrossRef] [PubMed]
- Saif, W.S.; Esmail, M.A.; Ragheb, A.M.; Alshawi, T.A.; Alshebeili, S.A. Machine learning techniques for optical performance monitoring and modulation format identification: A survey. IEEE Commun. Surv. Tutor. 2020, 22, 2839–2882. [Google Scholar] [CrossRef]
- Bhavsar, H.; Panchal, M.H. A review on support vector machine for data classification. Int. J. Adv. Res. Comput. Eng. Technol. (IJARCET) 2012, 1, 185–189. [Google Scholar]
- Mayoraz, E.; Alpaydin, E. Support vector machines for multi-class classification. In International Work-Conference on Artificial Neural Networks; Springer: New York, NY, USA, 1999; pp. 833–842. [Google Scholar]
- Esmail, M.A.; Saif, W.S.; Ragheb, A.M.; Alshebeili, S.A. Free space optic channel monitoring using machine learning. Opt. Express 2021, 29, 10967–10981. [Google Scholar] [CrossRef] [PubMed]
- Wang, C.; Fu, S.; Wu, H.; Luo, M.; Li, X.; Tang, M.; Liu, D. Joint OSNR and CD monitoring in digital coherent receiver using long short-term memory neural network. Opt. Express 2019, 27, 6936–6945. [Google Scholar] [CrossRef]
- Dietterich, T.G.; Bakiri, G. Solving multiclass learning problems via error-correcting output codes. J. Artif. Intell. Res. 1994, 2, 263–286. [Google Scholar] [CrossRef] [Green Version]

















Publisher’s Note: MDPI stays neutral with regard to jurisdictional claims in published maps and institutional affiliations. |
© 2022 by the authors. Licensee MDPI, Basel, Switzerland. This article is an open access article distributed under the terms and conditions of the Creative Commons Attribution (CC BY) license (https://creativecommons.org/licenses/by/4.0/).
Share and Cite
Ibrahim, A.B.; Ragheb, A.M.; Saif, W.S.; Alshebeili, S.A. Structured Light Transmission under Free Space Jamming: An Enhanced Mode Identification and Signal-to-Jamming Ratio Estimation Using Machine Learning. Photonics 2022, 9, 200. https://doi.org/10.3390/photonics9030200
Ibrahim AB, Ragheb AM, Saif WS, Alshebeili SA. Structured Light Transmission under Free Space Jamming: An Enhanced Mode Identification and Signal-to-Jamming Ratio Estimation Using Machine Learning. Photonics. 2022; 9(3):200. https://doi.org/10.3390/photonics9030200
Chicago/Turabian StyleIbrahim, Ahmed B., Amr M. Ragheb, Waddah S. Saif, and Saleh A. Alshebeili. 2022. "Structured Light Transmission under Free Space Jamming: An Enhanced Mode Identification and Signal-to-Jamming Ratio Estimation Using Machine Learning" Photonics 9, no. 3: 200. https://doi.org/10.3390/photonics9030200
APA StyleIbrahim, A. B., Ragheb, A. M., Saif, W. S., & Alshebeili, S. A. (2022). Structured Light Transmission under Free Space Jamming: An Enhanced Mode Identification and Signal-to-Jamming Ratio Estimation Using Machine Learning. Photonics, 9(3), 200. https://doi.org/10.3390/photonics9030200

