The Evaluation of Spectral Resolution in the Optical Design of a Czerny-Turner Spectrometer
Abstract
:1. Introduction
2. Theoretical and Method
3. Experiment
3.1. Experiment Setup
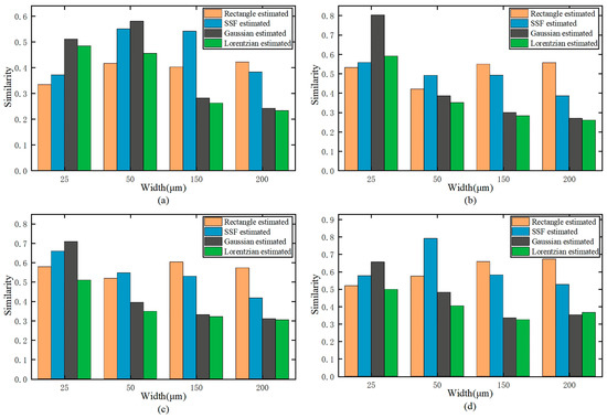
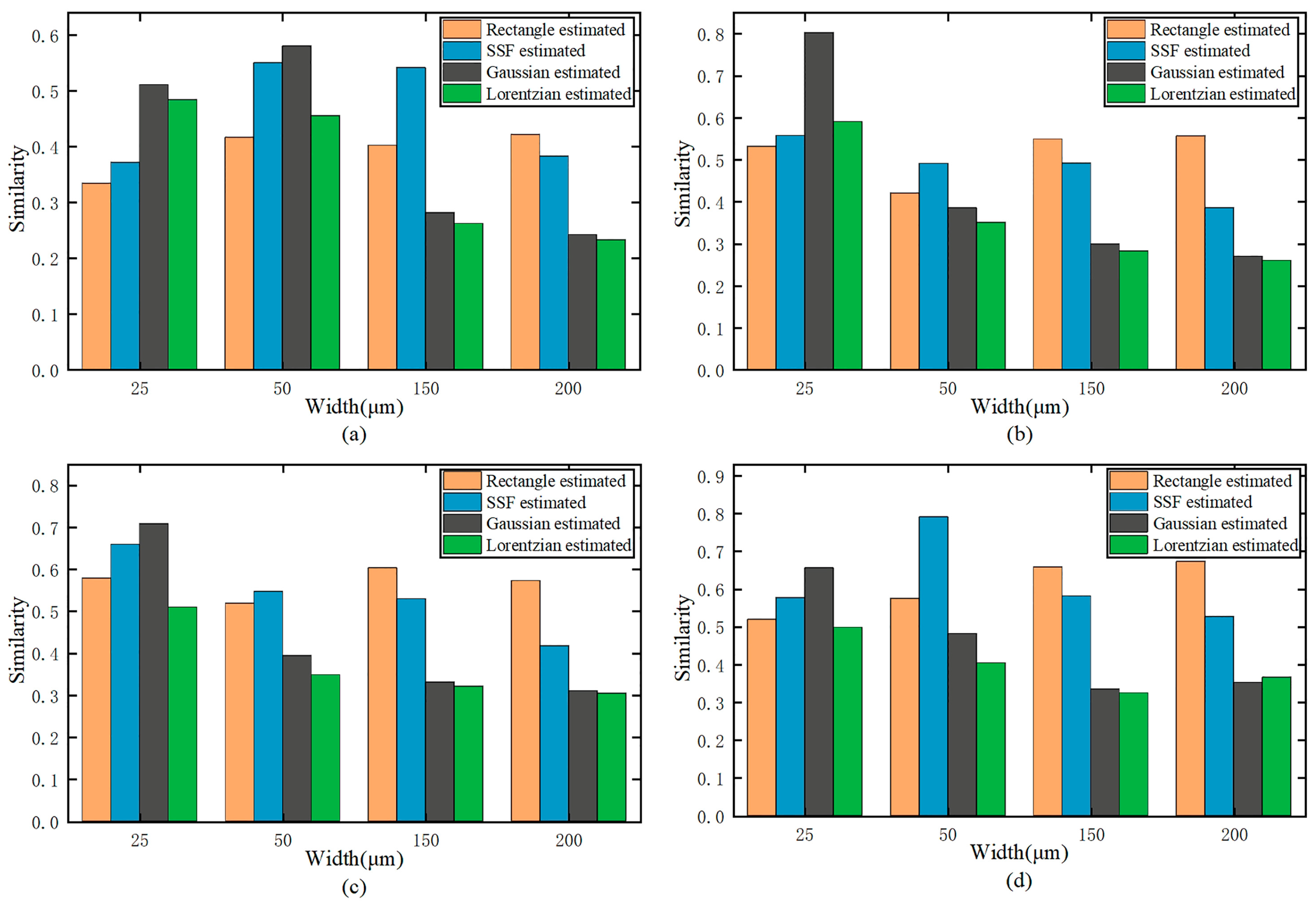
3.2. Comparative Experiments and Discussion
3.3. Discussion
4. Conclusions
Author Contributions
Funding
Conflicts of Interest
References
- Chen, L.; Gao, Z.; Ye, J.; Cao, X.; Xu, N.; Yuan, Q. Construction method through multiple off-axis parabolic surfaces expansion and mixing to design an easy-aligned freeform spectrometer. Opt. Express 2019, 27, 25994–26013. [Google Scholar] [CrossRef] [PubMed]
- Wang, X.; Zhang, Z.; Wang, S.; Huang, Y.; Lin, G.; Li, Z.; Yang, X. Atmospheric Aerosol Multiband Synthesis Imaging Spectrometer. Appl. Spectrosc. 2019, 73, 221–228. [Google Scholar] [CrossRef] [PubMed]
- Jiang, A.Q.; Zang, K.Y.; Tu, H.T.; Chen, J.K.; Lu, W.J.; Yoshie, O.; Wang, X.P.; Xiang, X.D.; Lee, Y.P.; Chen, B.; et al. Ultrahigh-resolution spectrometer based on 19 integrated gratings. Sci. Rep. 2019, 9, 10211. [Google Scholar] [CrossRef] [PubMed]
- Lu, Q.; Yan, C.L.; Fu, N.; Yang, Y.; Chen, C.Y.; Xiao, J.; Wang, K.; Zou, Y. Measurement and identification of visible lines from W10+. J. Quant. Spectrosc. Radiat. Transf. 2021, 262, 107533. [Google Scholar] [CrossRef]
- Boschetti, A.; Taschin, A.; Bartolini, P.; Tiwari, A.K.; Pattelli, L.; Torre, R.; Wiersma, D.S. Spectral super-resolution spectroscopy using a random laser. Nat. Photonics 2020, 14, 177–182. [Google Scholar] [CrossRef]
- Tang, M.; Fan, X.; Wang, X.; Xu, Y.; Que, J.; He, J. General study of asymmetrical crossed Czerny-Turner spectrometer. Appl. Opt. 2015, 54, 9966–9975. [Google Scholar] [CrossRef] [PubMed]
- Martínez, R.; Mejía, J.; Aguilar, M.; Moreno, C. Spectral resolution measurement technique for Czerny-Turner spectrometers based on spectral interferometry. In Proceedings of the Interferometry XVIII, San Diego, CA, USA, 30 August–1 September 2016; International Society for Optics and Photonics: San Diego, CA, USA, 2016. [Google Scholar]
- Zeng, C.; Han, Y.; Liu, B.; Sun, P.; Li, X.J.; Chen, P. Optical design of a high-resolution spectrometer with a wide field of view. Opt. Lasers Eng. 2021, 140, 106547. [Google Scholar] [CrossRef]
- Li, S.; Zhao, W.; Xu, H.; Qiu, L.; Wang, Y. Optical system design of aberration-corrected Czerny-Turner imaging spectrometer with high resolution. Opt. Commun. 2020, 459, 125015. [Google Scholar] [CrossRef]
- Wang, C.; Chen, H.; Zhang, Y.; Chen, S.; Guo, P.; Wang, L. Optical design of a crossed Czerny-Turner spectrometer with a linear array photomultiplier tube. Appl. Opt. 2019, 58, 7789–7794. [Google Scholar] [CrossRef] [PubMed]
- Zhang, G.; Lin, H. Analysis of spectral resolution of a portable cross Czerny-Turner spectrometer. In Applied Mechanics and Materials; Trans Tech Publications Ltd.: Zurich, Switzerland, 2013; Volume 241–244, pp. 449–456. [Google Scholar]
- Xia, G.; Wu, S.; Wang, G.; Hu, M.; Xing, J. Astigmatism-free Czerny-Turner compact spectrometer with cylindrical mirrors. Appl. Opt. 2017, 56, 9069–9073. [Google Scholar] [CrossRef] [PubMed]
- Yang, H.; Chen, K.; Huang, X.; He, Q.; Jin, G. Global Modeling and Analyzing of Grating Spectrometers. Spectrosc. Spectr. Anal. 2009, 29, 281–284. [Google Scholar]
- Mouroulis, P.; Green, R.O.; Chrien, T.G. Design of pushbroom imaging spectrometers for optimum recovery of spectroscopic and spatial information. Appl. Opt. 2000, 39, 2210–2220. [Google Scholar] [CrossRef] [PubMed]
- Mouroulis, P.; Green, R.O. Review of high fidelity imaging spectrometer design for remote sensing. Opt. Eng. 2018, 57, 040901. [Google Scholar] [CrossRef]
- Lee, K.-S.; Thompson, K.P.; Rolland, J.P. Broadband astigmatism-corrected Czerny-Turner spectrometer. Opt. Express 2010, 18, 23378–23384. [Google Scholar] [CrossRef] [PubMed]
- Silny, J.F. Resolution modeling of dispersive imaging spectrometers. In Proceedings of the SPIE Imaging Spectrometry XXI, San Diego, CA, USA, 29–30 August 2016; Volume 9976, p. 99760A. [Google Scholar]
- Rossmann, K. Point spread-function, line spread-function, and modulation transfer function: Tools for the study of imaging systems. Radiology 1969, 93, 257–272. [Google Scholar] [CrossRef]
- Nicodemus, F.E. (Ed.) Self-Study Manual on Optical Radiation Measurements: Part I—Concepts; National Bureau of Standards; U.S. Department of Commerce: Washington, DC, USA, 1979; Chapters 7–9. [Google Scholar]





Publisher’s Note: MDPI stays neutral with regard to jurisdictional claims in published maps and institutional affiliations. |
© 2022 by the authors. Licensee MDPI, Basel, Switzerland. This article is an open access article distributed under the terms and conditions of the Creative Commons Attribution (CC BY) license (https://creativecommons.org/licenses/by/4.0/).
Share and Cite
Shi, W.; Gao, L.; Zhang, L.; Feng, Z.; Fang, F.; Xia, G. The Evaluation of Spectral Resolution in the Optical Design of a Czerny-Turner Spectrometer. Photonics 2022, 9, 678. https://doi.org/10.3390/photonics9100678
Shi W, Gao L, Zhang L, Feng Z, Fang F, Xia G. The Evaluation of Spectral Resolution in the Optical Design of a Czerny-Turner Spectrometer. Photonics. 2022; 9(10):678. https://doi.org/10.3390/photonics9100678
Chicago/Turabian StyleShi, Wenjie, Lin Gao, Long Zhang, Zhiwei Feng, Fan Fang, and Guo Xia. 2022. "The Evaluation of Spectral Resolution in the Optical Design of a Czerny-Turner Spectrometer" Photonics 9, no. 10: 678. https://doi.org/10.3390/photonics9100678
APA StyleShi, W., Gao, L., Zhang, L., Feng, Z., Fang, F., & Xia, G. (2022). The Evaluation of Spectral Resolution in the Optical Design of a Czerny-Turner Spectrometer. Photonics, 9(10), 678. https://doi.org/10.3390/photonics9100678

