Characterization of a Wide-Band Single-Photon Detector Based on Transition-Edge Sensor
Abstract
1. Introduction
2. Detector Configuration and Experimental Set-Up
3. Results
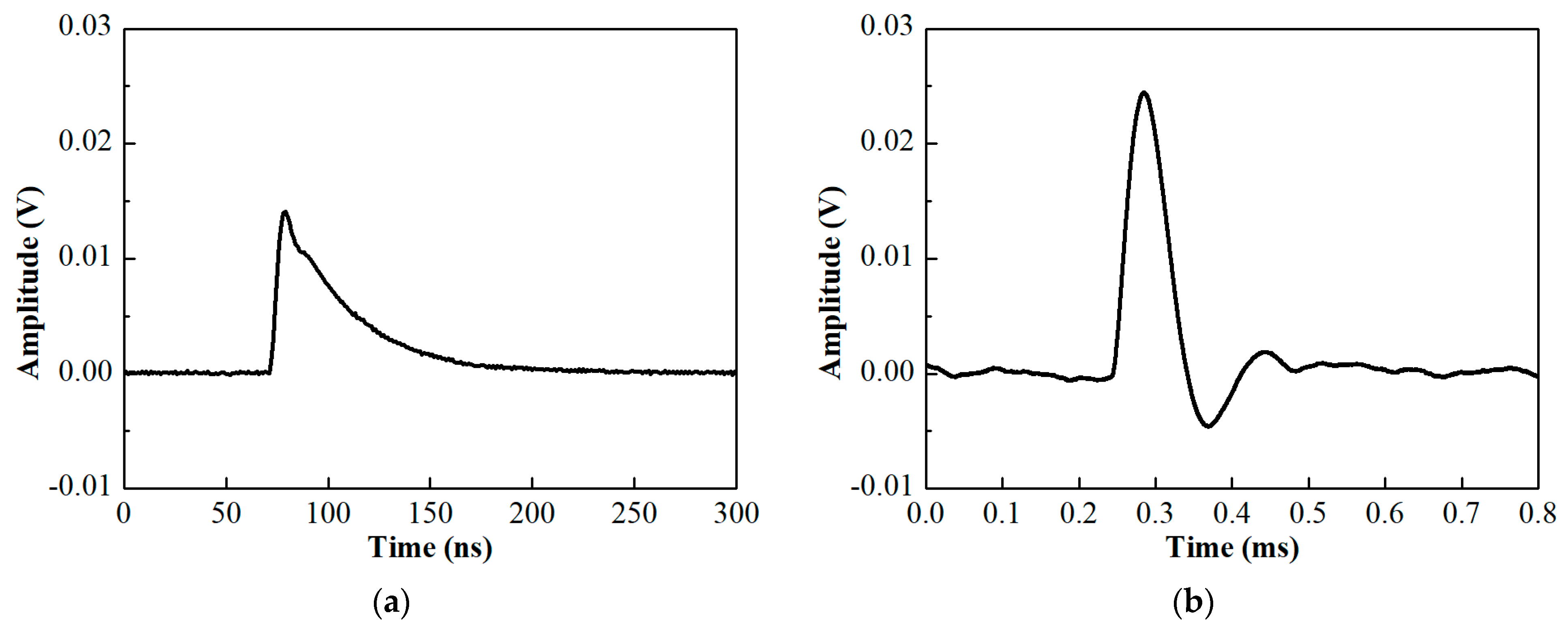
3.1. Single X-Ray Photon Detection
3.2. Single Visible Photon Detection
4. Discussion
5. Conclusions
Author Contributions
Funding
Data Availability Statement
Conflicts of Interest
References
- Hadfield, R. Single-photon detectors for optical quantum information applications. Nat. Photonics 2009, 3, 696–705. [Google Scholar] [CrossRef]
- Bartley, T.J. Superconducting detectors count more photons. Nat. Photonics 2023, 17, 8–9. [Google Scholar] [CrossRef]
- Charaev, I.; Bandurin, D.A.; Bollinger, A.T.; Phinney, I.Y.; Drozdov, I.; Colangelo, M.; Butters, B.A.; Taniguchi, T.; Watanabe, K.; He, X.; et al. Single-photon detection using high-temperature superconductors. Nat. Nanotechnol. 2023, 18, 343–349. [Google Scholar] [CrossRef] [PubMed]
- Ota, R. Photon counting detectors and their applications ranging from particle physics experiments to environmental radiation monitoring and medical imaging. Radiol. Phys. Technol. 2021, 14, 134–148. [Google Scholar] [CrossRef] [PubMed]
- Rosenberg, D.; Lita, A.E.; Miller, A.J.; Nam, S.W. Noise-free high-efficiency photon-number-resolving detectors. Phys. Rev. A 2005, 71, 061803. [Google Scholar] [CrossRef]
- Zwinkels, J.C.; Ikonen, E.; Fox, N.P.; Ulm, G.; Rastello, M.L. Photometry, radiometry and ‘the candela’: Evolution in the classical and quantum world. Metrologia 2010, 47, R15. [Google Scholar] [CrossRef]
- Doriese, W.B.; Abbamonte, P.; Alpert, B.K.; Bennett, D.A.; Denison, E.V.; Fang, Y.; Fischer, D.A.; Fitzgerald, C.P.; Fowler, J.W.; Gard, J.D.; et al. A practical superconducting-microcalorimeter X-ray spectrometer for beamline and laboratory science. Rev. Sci. Instrum. 2017, 88, 053108. [Google Scholar] [CrossRef] [PubMed]
- Rauscher, B.J.; Nagler, P.C.; Sadleir, J.E.; Moseley, S.H.; Greenhouse, M.A. Development of transition edge sensor detectors optimized for single-photon spectroscopy in the optical and near-infrared. Proc. SPIE 2018, 10709, 1070931. [Google Scholar] [CrossRef]
- Cabrera, B.; Clarke, R.M.; Colling, P.; Miller, A.J.; Nam, S.; Romani, R.W. Detection of single infrared, optical, and ultraviolet photons using superconducting transition edge sensors. Appl. Phys. Lett. 1998, 73, 735–737. [Google Scholar] [CrossRef]
- Zhao, Z.; Wang, D.; Gu, Q.; Yin, L.; Gu, M.; Leng, Y.; Liu, B. Status of the SXFEL Facility. Appl. Sci. 2017, 7, 607. [Google Scholar] [CrossRef]
- Smith, S.J.; Adams, J.S.; Bailey, C.N.; Bandler, S.R.; Chervenak, J.A.; Eckart, M.E.; Finkbeiner, F.M.; Kelley, R.L.; Kilbourne, C.A.; Porter, F.S.; et al. Small Pitch Transition-Edge Sensors with Broadband High Spectral Resolution for Solar Physics. J. Low. Temp. Phys. 2012, 167, 168–175. [Google Scholar] [CrossRef]
- Available online: http://www.hamamatsu.com (accessed on 23 April 2025).
- Lee, S.-J.; Titus, C.J.; Mori, R.A.; Baker, M.L.; Bennett, D.A.; Cho, H.-M.; Doriese, W.B.; Fowler, J.W.; Gaffney, K.J.; Gallo, A.; et al. Soft X-ray spectroscopy with transition-edge sensors at Stanford Synchrotron Radiation Lightsource beamline 10-1. Rev. Sci. Instrum. 2019, 90, 113101. [Google Scholar] [CrossRef] [PubMed]







Disclaimer/Publisher’s Note: The statements, opinions and data contained in all publications are solely those of the individual author(s) and contributor(s) and not of MDPI and/or the editor(s). MDPI and/or the editor(s) disclaim responsibility for any injury to people or property resulting from any ideas, methods, instructions or products referred to in the content. |
© 2025 by the authors. Licensee MDPI, Basel, Switzerland. This article is an open access article distributed under the terms and conditions of the Creative Commons Attribution (CC BY) license (https://creativecommons.org/licenses/by/4.0/).
Share and Cite
Xia, J.; Zhang, S.; Wu, B. Characterization of a Wide-Band Single-Photon Detector Based on Transition-Edge Sensor. Photonics 2025, 12, 609. https://doi.org/10.3390/photonics12060609
Xia J, Zhang S, Wu B. Characterization of a Wide-Band Single-Photon Detector Based on Transition-Edge Sensor. Photonics. 2025; 12(6):609. https://doi.org/10.3390/photonics12060609
Chicago/Turabian StyleXia, Jingkai, Shuo Zhang, and Bingjun Wu. 2025. "Characterization of a Wide-Band Single-Photon Detector Based on Transition-Edge Sensor" Photonics 12, no. 6: 609. https://doi.org/10.3390/photonics12060609
APA StyleXia, J., Zhang, S., & Wu, B. (2025). Characterization of a Wide-Band Single-Photon Detector Based on Transition-Edge Sensor. Photonics, 12(6), 609. https://doi.org/10.3390/photonics12060609

