Next Article in Journal
Losses and Energy Backflows of the Fundamental Core Mode in Solid Core Micro Structured Optical Fibers
Next Article in Special Issue
SVM-Based Optical Detection of Retinal Ganglion Cell Apoptosis
Previous Article in Journal
Room Temperature Terahertz and Frequency Combs Based on Intersubband Quantum Cascade Laser Diodes: History and Future
 
 
Font Type:
Arial Georgia Verdana
Font Size:
Aa Aa Aa
Line Spacing:
Column Width:
Background:
Article

Photodynamic Therapy Effects with Curcuma longa L. Active Ingredients in Gel and Blue LED on Acne: A Randomized, Controlled, and Double-Blind Clinical Study

by
Jaqueline de Souza Crusca
1,
Luis Henrique Oliveira de Moraes
1,
Thiago Gomes Figueira
2,
Nivaldo Antonio Parizotto
3 and
Gerson Jhonatan Rodrigues
1,*
1
Department of Physiological Sciences, Federal University of São Carlos, São Carlos 13565-905, SP, Brazil
2
Department of Physical Therapy, Universidade Brasil, UNORTE, São José do Rio Preto 15020-040, SP, Brazil
3
Department of Physical Therapy, Federal University of São Carlos, São Carlos 13565-905, SP, Brazil
*
Author to whom correspondence should be addressed.
Photonics 2025, 12(1), 80; https://doi.org/10.3390/photonics12010080
Submission received: 19 November 2024 / Revised: 9 January 2025 / Accepted: 13 January 2025 / Published: 17 January 2025
(This article belongs to the Special Issue Biomedical Optics:Imaging, Sensing and Therapy)

Abstract

Photodynamic therapy (PDT) using the photosensitizer curcumin and blue light has a relevant effect on bacteriological decontamination caused by C. acne. The aim is to verify PDT’s effectiveness with curcumin in individuals diagnosed with moderate to severe acne. This study was carried out on a total of 35 volunteers of both genders (12–32 years old), with moderate to severe acne vulgaris. The volunteers were randomized into five groups: L (LED), V (Vehicle), C (Curcumin), L + V (LED + Vehicle), and L + C (LED + Curcumin). The curcumin gel and LED with blue wavelength (450 nm ± 10 nm) were used. Qualitative and quantitative evaluations were used to verify the efficacy of the treatment by counting inflamed and non-inflamed lesions. The L + C group until day 30 showed a lower percentage of inflammatory lesions than the Vehicle group for the same period. On day 60, the L + C group showed lower inflammatory lesion values compared to the other groups. Intragroup analysis of hydration in the Vehicle group (V) showed a difference on days 30 and 60 compared to day zero. In an intragroup analysis, the L + C group showed a decrease in the mean scores on day 30, and day 60 compared to day zero, showing an improvement in the psychosocial status of these volunteers. Taken together, our results showed that the combination of blue LED therapy and curcumin proved to be an effective and safe treatment for reducing inflamed acne lesions in individuals with moderate to severe acne, while also enhancing their quality of life from a psychosocial perspective.

1. Introduction

Acne is a disorder that affects the pilosebaceous follicles, with acne vulgaris being the most common. A study conducted by the Global Burden of Disease estimated that acne affects approximately 10% of the global population, ranking it as the eighth most prevalent disease worldwide and the third most frequent dermatological condition [1]. Studies have shown that acne can be associated with psychosocial disturbances, including depression, suicide, anxiety, psychosomatic symptoms, embarrassment, and social inhibition [2].
Four processes are present in a central role in the formation of acne lesions: as inflammatory mediators, released on the skin; alteration of the keratinization process, leading to comedones; hypersecretion of the sebaceous gland; and follicular colonization by Cutibacterium acnes. Acne has several clinical presentations that include seborrhea (excess production of fatty secretion), non-inflammatory lesions (open and closed comedones), inflammatory lesions (papules and pustules), post-inflammatory hyperpigmentation, and varying degrees of disfiguring scars [3].
The diagnosis of acne is performed by visual inspection and photographic recording. According to the severity and type of lesion, acne is categorized into mild, moderate, and severe. Mild acne is typically limited to the face and is characterized by the presence of closed and open non-inflammatory comedones with few inflammatory lesions. Moderate acne is characterized by an increase in the number of inflammatory papules and pustules on the face and, often, mild lesions on the trunk. At last, acne is considered severe when costs and nodules are present. In such cases, facial injuries are often accompanied by generalized disease in the trunk [4].
Conventional therapies for acne include topical therapy, such as local antibiotics, benzoyl peroxide, retinoids, and systemic therapies, such as antibiotics, hormonal agents, and oral retinoids [5]. Both systemic and topical therapies can result in side effects ranging from mild to severe [6]. In addition to conventional therapies, optical treatments have been extensively researched and they include visible light of continuous wave (blue and red), intense pulsed light, pulsed dye laser, and photodynamic therapy [5].
As an alternative to conventional therapies, phytotherapeutics preparations such as Calendula officinalis, Cinnamomum zeylanicum, Ocimum sanctum, Azadirachta indica, and Curcuma longa play a significant role in controlling acne [7]. Several drugs are derived from Ayurvedic medicine (medicinal system characteristic of Ancient India) and curcumin is the most used natural product due to its digestive, antimicrobial, antiallergic, stimulating, anti-inflammatory, antioxidant, and healing actions. There are still reports of curcumin’s action in many respiratory diseases such as asthma, bronchitis, and allergies [8].
Curcumin can absorb blue light (wavelength: ~300–500 nm) from the visible spectrum [9]. It is important to emphasize that this light has less tissue penetration compared to red light, for example, because of the dispersion and absorption of biomolecules. Due to this significant interaction of curcumin with blue light, its use in photodynamic therapy (PDT) is indicated for topical uses, for example, the treatment of skin, acne, soft tissue infections, and oral infections [10,11]. The mechanism of action involved in PDT responses obtained to curcumin is related to the formation of reactive oxygen species, which can decrease the viability of Cutibacterium acnes [10,11,12]. In addition, in vitro experiments have shown that the combination of curcumin with blue light decreased MAPK and NF-κB in inflamed keratinocyte cells [12].
PDT is among the optical treatments extensively studied for acne which have been found to be effective [11]. However, alternatives to photosensitizers are sought, which promote less painful sessions and with fewer side effects in clinical applications. The work hypothesizes that photodynamic therapy associated with an herbal product such as curcumin may be an effective alternative for treating acne.
Thus, some studies in the literature suggest that curcumin has a relevant anti-inflammatory effect for several disorders. In in vitro studies, the use of curcumin with blue light proved to be effective in combating inflammation induced by Cutibacterium acnes [12]. However, studies with humans scarcely use this technique. Thus, the main objective of this study was to verify the effect of photodynamic therapy with curcumin in individuals diagnosed with moderate to severe acne, as well as to evaluate the effect of this therapy in isolation, with only curcumin, or with only LED therapy.

2. Methodology

For this study, 35 healthy volunteers of both genders were selected, with ages between 12 and 32 years old, diagnosed with moderate or severe acne, according to acne severity classification [13,14,15]. This study was conducted at ‘Clinica Corporis’, a private clinic located in São Carlos, São Paulo, Brazil. Volunteers were recruited through social networks, such as Facebook. The evaluation was carried out through visual inspection by the research evaluator. The sample was calculated by using the G-Power software (version 3.1.9.7) with a statistical power of 0.80 (1-β), 95% reliability, 5% error (α), and effect size of d = 0.6 (Cohen’s d), with reference to previous studies that determined differences in the number of acne lesions between the experimental and control groups [16].
Exclusion criteria: use of any topical treatment or systemic antibiotics in the two weeks before the assessment; photosensitivity history; use of systemic retinoids in the three months before the study; any other skin disease that could interfere with the acne assessment or other systemic diseases that could affect the severity of acne; any change in the use of oral contraceptive or anti-inflammatory drugs in the three months before the study; history of use of systemic steroids; pregnant or breastfeeding women. It was also recommended that volunteers not use any nutritional supplements such as collagen, vitamin C, zinc, vitamin D, and biotin.
All participants in this study gave their consent to use the protocol approved by the Federal University of São Carlos (UFSCar) Human Research Ethics Committee (CAAE: 89509018.1.0000.5504) and signed a consent form for both treatments.
The principal investigator assessed each volunteer and performed the experimental treatment. Study collaborators counted injuries and compiled the collected data. The research volunteers did not know to which experimental group they belonged. However, for those who were allocated to sham groups (control group), the main treatment was offered after the research finished. This procedure guaranteed a double-blind study.

2.1. LED

For this study, the PhotonDerm® equipment from the company DMC Equipamentos Ltd. (São Carlos, SP, Brazil) was used and calibrated by the same company before starting the treatments. The blue light-emitting diode (LED) was used, wavelength 450 nm ± 10 nm, with maximum LED emission, 500 mW ± 20%, irradiance 104 mW/cm2, with a cluster scanning on each side with the face 1 cm from the skin, always observing the greatest possible proximity to the 90° angle in relation to the skin surface in each of the 4 quadrants. As parameters for the study, a fluency of 75 J/cm2 was used for 12 min. The irradiation was applied in scanning mode, without contact with the skin and the beam, at a distance of 1 cm (concerning the light source and the skin of the face).
The blue LED light supply system is transmitted by a handpiece that has three LEDs. The optical power emitted is controlled through the electric current in the LEDs.

2.2. Photosensitizer and Placebo Gel

The Bio Serum® gel from Aqua Química Industrial, a commercial oil-free gel, was used as a base for the formulation of the photosensitizer with curcumin and also as a placebo gel. Bio Serum®, with curcumin (1% w/w) [1,7-bis- (4-hydroxy-3-methoxyphenyl) -1,6-heptadiene-3,5-dione], was handled at KALMIA® Manipulation pharmacy. Standardized Curcuma longa extract, with 95% curcumoids, was used. The maximum storage time indicated by the pharmacy was 6 months after handling, according to the guidance of the Collegiate Board Resolution (RDC) of the National Health Surveillance Agency (Anvisa).

2.3. Experimental Draw

The 35 volunteers selected were randomly assigned to 5 groups: L (LED), V (Vehicle), C (Curcumin), L + V (LED + Vehicle), and L + C (LED + Curcumin). The volunteers were randomized according to the list received from the website www.randomization.com (accessed on 8 August 2018) and distributed in 5 groups described below:
L (n = 7): The volunteers received the previous cleaning of the face with specific exfoliating soap, then saline was applied, stimulating the gel’s application, but without the possible effects that it could have. The volunteers remained for 20 min with the serum. After this time, the volunteers and the researcher put on the goggles, and the blue LED was applied, with parameters previously described.
V (n = 7): The volunteers received the previous cleaning of the face, then the placebo gel was applied (without the presence of the active ingredient), which remained for 20 min. After this time, the volunteers and the researcher put on the goggles and a blue LED application simulation was performed.
C (n = 7): The curcumin gel (1%) was applied for 20 min. After this time, the volunteers and the researcher put on the goggles, and a blue LED application simulation was performed.
L + V (n = 7): The volunteers received the previous cleaning of the face, then the placebo gel was applied, which remained for 20 min. After this time, the volunteers and the researcher put on the goggles, and the light was applied. The form and time of application were described previously.
L + C (n = 7): The volunteers received the previous cleaning of the face, then curcumin gel (1%) was applied, which remained for 20 min. After this time, the volunteers and the researcher put on the goggles, and the light was applied. The form and time of application were described previously.

2.4. Treatment Procedures

After the photographic records, the volunteers were positioned on the stretcher, and a gel layer (curcumin or placebo) with a thickness of 1 mm or saline was applied over the entire face, excluding the periorbital area, and maintained by 20 min, under occlusive plastic dressing. About the plastic dressing, luminous protection with laminated paper was applied, so there was no interference from ambient light during the photosensitizer incubation time. The exposure to light was made on the gel or serum in the form of a scan dividing the face into 4 quadrants, the forehead, right hemiface, left hemiface, and chin/mouth, for 3 min per area [17]. In the groups with the simulation of the application of light, the tip was inverted with the light pointing to the opposite side of the skin. The gel or serum from the face was removed and then sunscreen was applied.
For the treatment of acne vulgaris, a protocol was performed in a total of 8 sessions, the last being for photographic recording, with intervals of 3 to 4 days (twice a week), as previously described [17]. All volunteers—after the treatment period—were reassessed weekly to monitor the durability of the treatment.

2.5. Collection of Oil and Moisture Percentage

For oiliness and skin hydration analysis, the skin analyzer, by electrical bioimpedance, was used (SkinUp®—Digital Facial Skin Analyzer and Body Analyzer Skin) [18]. This equipment quantifies the oil and hydration percentages which are present in the right hemiface, left hemiface, and forehead. The measurements were in triplicate in each chosen region, and the value used was the average of the three measures. The analyses were at day 0, day 30, and day 60.

2.6. Psychosocial Assessment

For psychosocial assessment, the Cardiff Acne Disability Index (CADI) was applied, which is a validated, brief, and specific questionnaire for acne. It is self-explanatory, usually completed in a minute, and is designed specifically for use in teenagers and young adults with acne. There are four issues related to the previous month that cover feelings, symptoms, social life, and perceived severity. Each question has four possible answers with a maximum of three points (0, 1, 2, 3) and a maximum total score of 15. Higher scores indicate a more severely affected quality of life [19].

2.7. Photographic Record and Quantification of Injuries

The photographic records were made on the first day, before any therapeutic procedure, only after the previous washing of the area to be photographed was foreseen. Then a new record was performed on the thirtieth day, following the same pattern as the first day, and a last record on the sixtieth day.
Three different profiles selected for the study were photographed: frontal region, right hemiface, and left hemiface.
For the photographic record, a Sony CyberShot® camera model DSC-TX10 was used, with a resolution capacity of 16.2 megapixels, supported by tripod-type support, and it framed the upper edge of the forehead and the lower edge of the chin on the machine’s display.
To quantify the lesions, the software ImageJ v. 1.36 b was used, from the National Institute of Health (Bethesda, MD, USA), which is in the public domain. For proceeding with counting injuries, the program was first opened and File was clicked on; then Open was clicked on, and the image was selected and opened. With the image open, plugins were clicked and the Cell Counters were selected. After that, a window was opened with the option to record counts, up to eight different types of specific content. After the count clicked on Results, the results obtained with the count were exported to an Excel spreadsheet, for later storage.

2.8. Statistical Analysis

The number of lesions inflamed was counted as 100% on the first day, as previously described [20], and we evaluated if there was an augment or decrease in the number of lesions after 30 and 60 days. After quantification in each volunteer, the mean and standard deviations in the individuals in each group were calculated. Oil and hydration were measured in triplicate for each area, and an average per area was established. The average was added, and a new average was calculated, being the percentage of the individual in the group. The oiliness and hydration of day zero were relativized as 100% and the rest were related to it. For the analysis of the psychosocial questionnaire, the score obtained of each volunteer on the respective evaluation days was raised, and then, the average and standard deviation in each group were calculated for each of the periods of analysis.
Statistical analysis was performed for each group concerning time (0, 30, and 60) and between groups in each time evaluated (30 and 60 days). ANOVA One-Way test with post hoc Newman–Keuls was applied. For the conclusions of the statistical analysis, a significance level of 5% (p < 0.05) was adopted. The data were analyzed using software (Graph Pad Prism, version 3.0).

3. Results

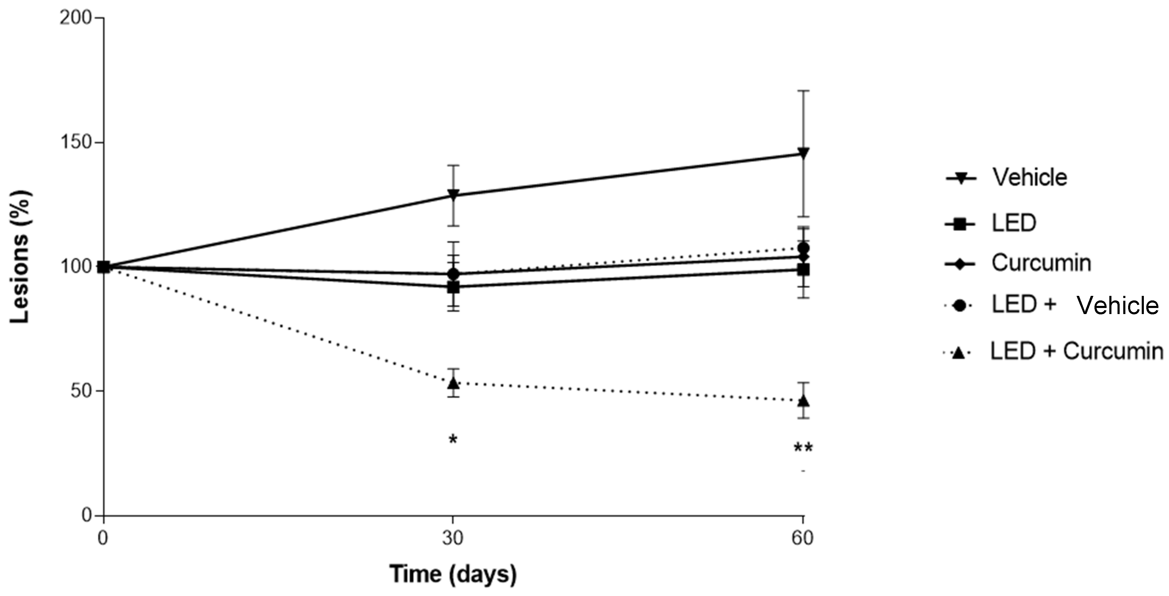
Our results indicate a decrease in the number of inflamed lesions, which can be observed in Figure 1. A decrease in the number of inflamed lesions can be observed, by treatment L + C, after 30 and 60 days of treatment. The LED, Curcumin, and LED + Vehicle groups showed a small fluctuation in the values compared to the zero-day. It is noteworthy that none of the participants of this study presented an adverse effect as a result of the therapy or discomfort during treatment. Comparing the number of injuries between the groups, we found that after 30 days of treatment (7 sessions), the treatment with LED + Curcumin (53.41 ± 15.05%, n = 7) was effective in decreasing the percentage of injuries, compared with the Vehicle group (128.71 ± 32.22%, n = 7) (p < 0.05). After 60 days of treatment, treatment with LED + Curcumin (46.35 ± 18.63%, n = 7) was effective in decreasing the percentage of injuries, compared with all groups evaluated V (145.49 ± 67.05%, n = 7), C (104.15 ± 31.93%, n = 7), L (98.98 ± 30.24%, n = 7), L + V (107.71 ± 20.36%, n = 7) (p < 0.05) (Figure 1).
The results of oil values and skin hydration are expressed in percentages, where the values obtained on day 0 are considered 100% and the values on days 30 and 60 are those measured on those days, respectively, and related to the value of day 0.
The L + C group had an average oil percentage of 95.01 ± 11.18% on day 30 and 94.15 ± 9.46% on day 60. On the other hand, group L presented 106.35 ± 17.60% on day 30 and 95.86 ± 18.58% on day 60. Group V presented 98.34 ± 14.80% on day 30 and 96.94 ± 12.25% on day 60. Group C presented 110.73 ± 14.01% on day 30 and 101.62 ± 23.62% on day 60. Group L + V presented 99.24 ± 26.62% on day 30 and 102.78 ± 24.11% on day 60. These results showed that there was no difference between groups L, C, L + C, L + V, and V (Figure 2).
Regarding the values obtained for skin hydration, the L + C group went from 100% on day 0 to 106.24 ± 10.42% on day 30 and 98.96 ± 14.17% on day 60. Group V showed 118.81 ± 24.76% on day 30 and 124.64 ± 27.95% on day 60. Group L presented 112.37 ± 21.08% on day 30 and 113.56 ± 19.81% on day 60. Group C presented 89.93 ± 13.27% on day 30 and 105.64 ± 46.67% on day 60. Group L + V presented 113.67 ± 37.95% on day 30 and 103.88 ± 35.73% on day 60. The results showed no difference between the groups L + C, V, L, C, and L + V (Figure 3).
Although there was no difference in the percentage of oil and skin hydration between the treatment groups, the Vehicle group showed a difference in skin hydration (p = 0.04) when compared to day 0 and day 30 of treatment, which shows that using the vehicle kept the skin hydrated. Still, in the same group in question, there was also an improvement in hydration between days 0 and 60 (p = 0.03). Still, in the intra-group comparison, there was no difference in skin oiliness when comparing the treatment days.
When evaluating the CADI questionnaire answers applied to research participants, no difference was found in the volunteers’ scores between the treated groups. Nevertheless, in an intragroup analysis, it was noted that the LED + Curcumin group presented a decrease in volunteers’ mean scores from 6.71 ± 3.09 on day 0 to 2.28 ± 2.05 on day 30 (p = 0.008), showing an improvement in the psychosocial status of these volunteers. Also, in the LED + Curcumin group, there was an improvement between days 0 and 60, going from 6.71 ± 3.09 on day 0 to 3.57 ± 2.07 on day 60 (p = 0.045) as seen in Figure 4.
The other groups, when compared in isolation, had no difference between the treatment days. These results show that photodynamic therapy with blue LED and curcumin has good potential for treating acne.

4. Discussion

Photodynamic therapy is effective in the treatment of acne and these protocols include aminolevulinic acid (ALA) combined with blue light, red light, pulsed dye laser, or intense pulsed light, or methyl aminolevulinic acid (MAL) combined with red light [21]. However, the use of substances such as ALA or MAL can promote adverse reactions, which leads to the search for natural substances for use as a photosensitizer. Among the substances studied is curcumin, due to its anti-inflammatory potential. Curcuma has been widely used topically on the skin for wounds, skin diseases like pemphigus and herpes zoster, infections by skin parasites, and acne [22].
In this study, the group with the best percentage of improvement was LED + Curcumin, showing that the association of blue light with the anti-inflammatory properties of curcumin had the best effects. For this study, a curcumin gel with a concentration of 1% (m/m) was used, following standards found in the literature. As recommended, the dose of curcumin for topical use is in the range of 0.5 to 5% [23]. Curcumin absorbs blue wavelength light (~300–500 nm) from the visible spectrum, peaking at 430 nm [9]. Blue light has less penetration into the tissue in comparison to the red light because of the dispersion and absorption of biomolecules, as a result of which the use of curcumin in PDT is indicated for topical use, for example, in the treatment of skin, soft tissues, and oral infections.
A study to evaluate PDT with curcumin and blue LED, in a culture of gram-positive bacteria, evaluated different doses of LED (24, 48, and 72 J/cm2) and curcumin concentrations (2000, 4000, and 8000 µM), and found a significant reduction in the viability of the bacteria in the association of 4000 µM of curcumin and exposure to 48 to 72 J/cm2 [11]. Based on the findings of Paschoal et al. [11], the present study opted to use the curcumin gel at 1% (m/m) associated with irradiation with blue LED (470 nm) at a dose of 75 J/cm2 per 12 min.
Studies with Cutibacterium acnes, a gram-positive bacterium involved in the pathogenesis of acne, have shown that blue light is effective in treating this bacterium. It is possible because the light produces the greatest photoactivation of endogenous porphyrins through a process known as endogenous photodynamic therapy. This photoactivation results in the formation of free radicals and consequently the destruction of the P. acnes cell membrane. This was demonstrated through studies that evaluated the efficacy of blue light in inflammatory and non-inflammatory acne lesions, with a peak wavelength of 409–419 nm and fluency of 48 J/cm2 resulting in an improvement of 25% to 60% in inflammatory lesions and with little effect on non-inflammatory lesions [24].
The photosensitizer can be activated at different wavelengths, corresponding to its maximum absorption in its absorption spectrum. However, the selection of the wavelength of light controls the depth of penetration into the skin. The red light penetrates deeper into the dermis, which allows it to be directed to the sebaceous glands that play a fundamental role in the pathogenesis of acne. Blue light has a not-so-deep penetration due to its longer wavelength. However, it corresponds to the maximum absorption peak of protoporphyrin IX (410 nm) [25].
In a previous study, the analysis of the photodynamic action was made for a curcumin formulation, comparing the light spectra in the range of 405 nm (violet), 450 nm, and 470 nm for excitation of the formulation. The authors concluded that the compound is better excited in the blue-green spectrum and that it has excellent potential for treating infections, which allows applications in photodynamic therapy [26].
However, only the use of blue light was not effective in reducing inflammatory lesions. Tzung, Wu, and Huang (2004) performed an acne treatment with blue light (420 ± 20 nm) and found an improvement of 52% in the acne profile of their volunteers [27]. However, for these authors to reach this result, they took into account not only the decrease in the number of inflammatory lesions but also the improvement in the appearance of nodular-cystic acnes, which in this study was due to the subjective evaluation of the researcher [27].
The response of acne to phototherapy in the 420 nm range is about 80%, with a significant reduction of 59–67% in inflammatory acne lesions after eight 15-min treatments. There were no reports of adverse effects or discomfort to patients undergoing phototherapy. Phototherapy in the narrow band of 405–420 nm of light proved to be an attractive, fast, effective, and non-invasive alternative to parenteral anti-acne medications [28].
In the present study, curcumin, a natural substance, was used as an anti-inflammatory property and generated significant improvement in the inflammatory acne lesions without providing any type of side effect.
The percentage of oiliness did not differ, possibly due to the severity of the volunteers’ acne. This is because four central factors contribute to the pathophysiology of acne: inflammatory response, colonization with Cutibacterium acnes, increased sebum production, and hypercornification of the pilosebaceous duct [26].
It is believed that in the process of formation of inflammatory acne lesions, there is an increase in the production of sebum (increased oiliness), hypercornification of the pilosebaceous duct, that is, an obstruction of the ducts, bacterial colonization, and local inflammatory response [26]. However, the exact sequence of events and how they are interconnected is still unknown, due to the complexity inherent to this disease [26].
During the treatment period, the L + C group proved to be effective in reducing inflammatory lesions; however, for the reduction in oiliness, a long time applying LED therapy associated with curcumin may be necessary because in the time established in this study, there was a decrease in inflammatory lesions; however, there was no difference between groups in the percentage of oiliness.
Sufficient hydration and oiliness of the skin make it appear smooth, soft, and supple, while a lack of moisture can make the skin appear opaque and cracked, looking aged. Reduced efficiency of the skin’s moisture barrier and maintenance functions results in dry, rough skin, which can potentially be more vulnerable to the risk of infections [29,30].
The present study found no difference in the skin’s hydration levels between the different treatment groups; however, Cotelessa et al. (2004) also did not obtain changes in the hydration levels of the skin when treating acne with peeling of pyruvic acid, which was understood as beneficial, since the treatment did not reduce the hydration levels [31].
A study that aimed to use two topical botanical products for acne treatment found, as part of its results, that skin hydration levels were maintained, showing no difference between treatments or when compared with the control [32]. These findings corroborate the present study, which also had hydration levels maintained.
Skin health is associated with the stability of the cutaneous barrier, which depends on a balance between oil and hydration. The behavior of the lipid phase in the stratum corneum is considered crucial for the barrier function of the skin. Surface skin lipids were found to act as water modulators in the stratum corneum. Thus, the water–sebum system determines the condition of the skin and can be used as an indicator of skin health [30].
In this study, there was no improvement between the groups in volunteers’ psychosocial profile, although the L + C group showed an improvement between days 0 and 30. These findings corroborate the study by Ammad et al. (2008), who observed an improvement in the psychosocial profile of their volunteers after four weeks of treatment for acne with blue light [33].
The present study also showed a relationship between the improvement in inflammatory lesions percentage and the improvement in CADI questionnaire scores of the L + C group. These findings may infer that the inflammatory lesions cause discomfort in volunteers. Ammad et al. (2008) reached the same conclusion in their study [34].

5. Limitations

As a limitation of this study, we had difficulty obtaining volunteers for the research.

6. Conclusions

Based on the results of this work, we are able to conclude that the association of blue LED therapy with curcumin was an effective treatment for reducing the inflamed lesions in volunteers with moderate to severe acne, without causing any adverse effects. In addition, this treatment tends to improve the volunteers’ quality of life in relation to the psychosocial approach.

Author Contributions

J.d.S.C.: Methodology, Formal Analysis, Investigation, Writing—Original Draft Preparation, Resources, Data Curation; L.H.O.d.M.: Formal Analysis, Writing—Original Draft Preparation, Writing—Review and Editing, Visualization T.G.F. Methodology, Formal Analysis, Validation, Data Curation; N.A.P.: Conceptualization, Writing—Review and Editing, Project Administration; G.J.R.: Conceptualization, Funding Acquisition, Writing—Review and Editing, Supervision, Project Administration, Visualization. All authors have read and agreed to the published version of the manuscript.

Funding

This work was supported by grants from São Paulo Research Foundation (FAPESP grants: 2018/10588-9, 2022/01093-1) and by the Coordenação de Aperfeiçoamento de Pessoal de Nível Superior—Brazil (CAPES).

Institutional Review Board Statement

All participants in this study gave their consent to use the protocol approved by the Federal University of São Carlos (UFSCar) Human Research Ethics Committee (CAAE: 89509018.1.0000.5504) and signed a consent form for both treatments.

Informed Consent Statement

Informed consent was obtained from all subjects involved in the study.

Data Availability Statement

Data is unavailable due to privacy and ethical restriction.

Conflicts of Interest

The authors declare that there are no conflicts of interest.

References

  1. Williams, H.C.; Dellavalle, R.P.; Garner, S. Acne vulgaris. Lancet 2012, 379, 361–372. [Google Scholar] [CrossRef]
  2. Halvorsen, J.A.; Stern, R.S.; Dalgard, F.; Thoresen, M.; Bjertness, E.; Lien, L. Suicidal ideation, mental health problems, and social impairment are increased in adolescents with acne: A population-based study. J. Investig. Dermatol. 2011, 131, 363–370. [Google Scholar] [CrossRef] [PubMed]
  3. Sakamoto, F.H.; Lopes, J.D.; Anderson, R.R. Photodynamic therapy for acne vulgaris: A critical review from basics to clinical practice: Part I. Acne vulgaris: When and why consider photodynamic therapy? J. Am. Acad. Dermatol. 2010, 63, 183–193. [Google Scholar] [CrossRef] [PubMed]
  4. Dawson, A.L.; Dellavalle, R.P. Acne vulgaris. BMJ 2013, 346, f2634. [Google Scholar] [CrossRef] [PubMed]
  5. Simonart, T. Newer approaches to the treatment of acne vulgaris. Am. J. Clin. Dermatol. 2012, 13, 357–364. [Google Scholar] [CrossRef] [PubMed]
  6. Chetana, P.; Karadi, R.; Lokesh, B.; Amit, S. Screening of selected herbal plants for anti acne properties. Int. J. Drug Dev. Res. 2012, 4, 216–222. [Google Scholar]
  7. Aruna, M.S.; Sravani, A.; Resshma, V.; Priya, N.S.; Prabha, M.S.; Rao, N.R. Formulation and evaluation of herbal acne gel. World J. Pharm. Res. 2015, 4, 2324–2330. [Google Scholar]
  8. Sueth-Santiago, V.; Mendes-Silva, G.P.; Decoté-Ricardo, D.; Lima, M.E. Curcumin, the golden powder from turmeric: Insights into chemical and biological activities. Química Nova 2015, 38, 538–552. [Google Scholar] [CrossRef]
  9. Araújo, N.C.; Fontana, C.R.; Gerbi, M.E.; Bagnato, V.S. Overall-mouth disinfection by photodynamic therapy using curcumin. Photomed. Laser Surg. 2012, 30, 96–101. [Google Scholar] [CrossRef] [PubMed]
  10. Haukvik, T.; Bruzell, E.; Kristensen, S.; Tønnesen, H.H. Photokilling of bacteria by curcumin in different aqueous preparations. Studies on curcumin and curcuminoids XXXVII. Die Pharm.-Int. J. Pharm. Sci. 2009, 64, 666–673. [Google Scholar]
  11. Zhang, Y.; Wang, D.; Liao, C.; Liu, X.; Zhang, L.; Wang, P.; Wang, X. Curcumin-mediated photodynamic therapy for mild to moderate Acne: A self-controlled split-face randomized study. Photodiagnosis Photodyn. Ther. 2024, 45, 103887. [Google Scholar] [CrossRef]
  12. Zheng, N.; Zhou, M.; He, Y.; Xu, H.; Chen, X.; Duan, Z.; Yang, L.; Zeng, R.; Liu, Y.; Li, M. Low curcumin concentrations combined with blue light inhibits cutibacterium acnes biofilm-induced inflammatory response through suppressing MAPK and NF-κB in keratinocytes. Photodiagnosis Photodyn. Ther. 2022, 40, 103204. [Google Scholar] [CrossRef]
  13. Holmes, H.S. Acne, Rosácea e Distúrbios Relacionados. In Dermatologia Clínica (Lange); Soutor, C., Hordinksy, M., Eds.; AMGH: Porto Alegre, Brazil, 2014; pp. 138–144. [Google Scholar]
  14. Rivitti, E.A. Manual de Dermatologia Clínica de Sampaio e Rivitti; Artes Médicas Editora: Porto Alegre, Brazil, 2014. [Google Scholar]
  15. Pimentel, A.D. Peeling, Máscara e Acne: Seus Tipos e Passo a Passo do Tratamento Estético; LMP: São Paulo, Brazil, 2008; 336p. [Google Scholar]
  16. McLeod, L.D.; Fehnel, S.E.; Brandman, J.; Symonds, T. Evaluating minimal clinically important differences for the acne-specific quality of life questionnaire. Pharmacoeconomics 2003, 21, 1069–1079. [Google Scholar] [CrossRef] [PubMed]
  17. Lee, S.Y.; You, C.E.; Park, M.Y. Blue and red light combination LED phototherapy for acne vulgaris in patients with skin phototype IV. Lasers Surg. Med. 2007, 39, 180–188. [Google Scholar] [CrossRef]
  18. Santos, A. A Importância da Hidratação da Pele na Resposta ao Tratamento da Flacidez Cutânea Utilizando a Radiofrequência; Revista de Produção Acadêmico-Científica: Manaus, Brazil, 2019; Volume 6. [Google Scholar]
  19. Walker, N.; Lewis-Jones, M.S. Quality of life and acne in Scottish adolescent schoolchildren: Use of the Children’s Dermatology Life Quality Index©(CDLQI) and the Cardiff Acne Disability Index©(CADI). J. Eur. Acad. Dermatol. Venereol. 2006, 20, 45–50. [Google Scholar] [CrossRef] [PubMed]
  20. Tan, A.U.; Schlosser, B.J.; Paller, A.S. A review of diagnosis and treatment of acne in adult female patients. Int. J. Women’s Dermatol. 2018, 4, 56–71. [Google Scholar]
  21. Alexiades, M. Laser and light-based treatments of acne and acne scarring. Clin. Dermatol. 2017, 35, 183–189. [Google Scholar]
  22. Chainani-Wu, N. Safety and anti-inflammatory activity of curcumin: A component of tumeric (Curcuma longa). J. Altern. Complement. Med. 2003, 9, 161–168. [Google Scholar] [CrossRef]
  23. de Camargos, V.R.; Gonçalves, G.M. Estudo de Penetração Cutânea in Vitro de Curcumina, a Partir de Formulações de USO Tópico. Available online: https://www.researchgate.net/profile/Gisele-Goncalves-2/publication/282294371_ESTUDO_DE_PENETRACAO_CUTANEA_IN_VITRO_DE_CURCUMINA_A_PARTIR_DE_FORMULACOES_DE_USO_TOPICO/links/560af66f08ae840a08d67df8/ESTUDO-DE-PENETRACAO-CUTANEA-IN-VITRO-DE-CURCUMINA-A-PARTIR-DE-FORMULACOES-DE-USO-TOPICO.pdf (accessed on 10 July 2024).
  24. Ablon, G. Phototherapy with Light Emitting Diodes: Treating a Broad Range of Medical and Aesthetic Conditions in Dermatology. J. Clin. Aesthet. Dermatol. 2018, 11, 21–27. [Google Scholar] [PubMed]
  25. Boen, M.; Brownell, J.; Patel, P.; Tsoukas, M.M. The role of photodynamic therapy in acne: An evidence-based review. Am. J. Clin. Dermatol. 2017, 18, 311–321. [Google Scholar] [CrossRef] [PubMed]
  26. Rego-Filho, F.G.; de Araujo, M.T.; de Oliveira, K.T.; Bagnato, V.S. Validation of photodynamic action via photobleaching of a new curcumin-based composite with enhanced water solubility. J. Fluoresc. 2014, 24, 1407–1413. [Google Scholar] [CrossRef] [PubMed]
  27. Tzung, T.Y.; Wu, K.H.; Huang, M.L. Blue light phototherapy in the treatment of acne. Photodermatol. Photoimmunol. Photomed. 2004, 20, 266–269. [Google Scholar] [CrossRef] [PubMed]
  28. Elman, M.; Slatkine, M.; Harth, Y. The effective treatment of acne vulgaris by a high-intensity, narrow band 405–420 nm light source. J. Cosmet. Laser Ther. 2003, 5, 111–117. [Google Scholar] [CrossRef]
  29. Suh, D.H.; Kwon, H.H. What’s new in the physiopathology of acne? Br. J. Dermatol. 2015, 172, 13–19. [Google Scholar] [CrossRef] [PubMed]
  30. Ezerskaia, A.; Pereira, S.F.; Urbach, H.P.; Verhagen, R.; Varghese, B. Quantitative and simultaneous non-invasive measurement of skin hydration and sebum levels. Biomed. Opt. Express 2016, 7, 2311–2320. [Google Scholar] [CrossRef]
  31. Cotellessa, C.; Manunta, T.; Ghersetich, I.; Brazzini, B.; Peris, K. The use of pyruvic acid in the treatment of acne. J. Eur. Acad. Dermatol. Venereol. 2004, 18, 275–278. [Google Scholar] [PubMed]
  32. Gajjar, T.; Patel, N. Safety and efficacy of two botanical based topical anti-acne products in treatment of mild to moderate acne subjects. J. Dermat. Cosmetol. 2020, 4, 99–107. [Google Scholar]
  33. Farista, A.; Manangi, S. Assessment of Dermatological Life Quality Index and Cardiff Acne Disability Index in Patients Attending Our College Opd. Int. J. Sci. Res. 2020, 9, 29–30. [Google Scholar] [CrossRef]
  34. Ammad, S.; Gonzales, M.; Edwards, C.; Finlay, A.Y.; Mills, C. An assessment of the efficacy of blue light phototherapy in the treatment of acne vulgaris. J. Cosmet. Dermatol. 2008, 7, 180–188. [Google Scholar] [CrossRef] [PubMed]
Figure 1. Graph representing experimental groups LED (L), Vehicle (V), Curcumin (C), LED + Vehicle (L + V), and LED + Curcumin (L + C) shows the comparison of inflammatory lesions percentage on days 0, 30, and 60 of treatment and follow-up. * p < 0.05 V vs. L + C and ** p < 0.05 L + C vs. V, C, L, L + V.
Figure 1. Graph representing experimental groups LED (L), Vehicle (V), Curcumin (C), LED + Vehicle (L + V), and LED + Curcumin (L + C) shows the comparison of inflammatory lesions percentage on days 0, 30, and 60 of treatment and follow-up. * p < 0.05 V vs. L + C and ** p < 0.05 L + C vs. V, C, L, L + V.
Photonics 12 00080 g001
Figure 2. Graph representing the experimental groups LED (L), Vehicle (V), Curcumin (C), LED + Vehicle (L + V), and LED + Curcumin (L + C) shows the comparison of skin oiliness in percentage.
Figure 2. Graph representing the experimental groups LED (L), Vehicle (V), Curcumin (C), LED + Vehicle (L + V), and LED + Curcumin (L + C) shows the comparison of skin oiliness in percentage.
Photonics 12 00080 g002
Figure 3. The graph representing the experimental groups LED (L), Vehicle (V), Curcumin (C), LED + Vehicle (L + V), and LED + Curcumin (L + C) shows the comparison of skin hydration in percentage.
Figure 3. The graph representing the experimental groups LED (L), Vehicle (V), Curcumin (C), LED + Vehicle (L + V), and LED + Curcumin (L + C) shows the comparison of skin hydration in percentage.
Photonics 12 00080 g003
Figure 4. Figure representing the experimental groups LED (L), Vehicle (V), Curcumin (C), LED + Vehicle (L + V), and LED + Curcumin (L + C) shows the comparison of follow-up scores of volunteers’ responses to Cardiff questionnaire, on days 0, 30, and 60 of treatment. * and ** shows the difference between LED + Curcumin (day 0) and LED + Curcumin (day 30); and LED + Curcumin (day 0) and LED + Curcumin (Day 60), respectively.
Figure 4. Figure representing the experimental groups LED (L), Vehicle (V), Curcumin (C), LED + Vehicle (L + V), and LED + Curcumin (L + C) shows the comparison of follow-up scores of volunteers’ responses to Cardiff questionnaire, on days 0, 30, and 60 of treatment. * and ** shows the difference between LED + Curcumin (day 0) and LED + Curcumin (day 30); and LED + Curcumin (day 0) and LED + Curcumin (Day 60), respectively.
Photonics 12 00080 g004
Disclaimer/Publisher’s Note: The statements, opinions and data contained in all publications are solely those of the individual author(s) and contributor(s) and not of MDPI and/or the editor(s). MDPI and/or the editor(s) disclaim responsibility for any injury to people or property resulting from any ideas, methods, instructions or products referred to in the content.

Share and Cite

MDPI and ACS Style

Crusca, J.d.S.; de Moraes, L.H.O.; Figueira, T.G.; Parizotto, N.A.; Rodrigues, G.J. Photodynamic Therapy Effects with Curcuma longa L. Active Ingredients in Gel and Blue LED on Acne: A Randomized, Controlled, and Double-Blind Clinical Study. Photonics 2025, 12, 80. https://doi.org/10.3390/photonics12010080

AMA Style

Crusca JdS, de Moraes LHO, Figueira TG, Parizotto NA, Rodrigues GJ. Photodynamic Therapy Effects with Curcuma longa L. Active Ingredients in Gel and Blue LED on Acne: A Randomized, Controlled, and Double-Blind Clinical Study. Photonics. 2025; 12(1):80. https://doi.org/10.3390/photonics12010080

Chicago/Turabian Style

Crusca, Jaqueline de Souza, Luis Henrique Oliveira de Moraes, Thiago Gomes Figueira, Nivaldo Antonio Parizotto, and Gerson Jhonatan Rodrigues. 2025. "Photodynamic Therapy Effects with Curcuma longa L. Active Ingredients in Gel and Blue LED on Acne: A Randomized, Controlled, and Double-Blind Clinical Study" Photonics 12, no. 1: 80. https://doi.org/10.3390/photonics12010080

APA Style

Crusca, J. d. S., de Moraes, L. H. O., Figueira, T. G., Parizotto, N. A., & Rodrigues, G. J. (2025). Photodynamic Therapy Effects with Curcuma longa L. Active Ingredients in Gel and Blue LED on Acne: A Randomized, Controlled, and Double-Blind Clinical Study. Photonics, 12(1), 80. https://doi.org/10.3390/photonics12010080

Note that from the first issue of 2016, this journal uses article numbers instead of page numbers. See further details here.

Article Metrics

Back to TopTop