Next Article in Journal
Cycloplegia Improves the Inter-Optometrist Repeatability of Subjective Refraction
Previous Article in Journal
A Modified Regular Perturbation Model for the Single-Span Fiber Transmission Using Learnable Methods
 
 
Font Type:
Arial Georgia Verdana
Font Size:
Aa Aa Aa
Line Spacing:
Column Width:
Background:
Article

Design Considerations for 1.6 Tbit/s Data Center Interconnects: Evaluating IM/DD and Coherent Transmission over O-Band Transmission Window

1
Corning Incorporated, 84 Science Center Dr, Painted Post, NY 14870, USA
2
Hisense Broadband Inc., 2580 North First Street, San Jose, CA 95131, USA
*
Authors to whom correspondence should be addressed.
Photonics 2024, 11(12), 1179; https://doi.org/10.3390/photonics11121179
Submission received: 13 November 2024 / Revised: 7 December 2024 / Accepted: 10 December 2024 / Published: 14 December 2024

Abstract

As data center interconnects surge towards a 1.6 Tbit/s data rate, achieving cost-effective and technically viable solutions present challenges. Intensity-modulation and direct-detection (IM/DD) transmission over O-Band using standard single-mode fiber has emerged as a promising low-cost option. However, understanding the limitations imposed by factors like chromatic dispersion (CD) and fiber non-linearity (FWM) is crucial, particularly in different scenarios, such as operating at 8 × 100 GBaud PAM4 in an LWDM-8 configuration. In this paper, we adopt a statistical approach to assess outage probability and consider practical fluctuations in link parameters. Numerical modeling suggests IM/DD can span distances up to 5 km with transmission power under 0 dBm using this architecture. In addition, we evaluate recently proposed architecture to achieve 800 Gbit/s and 1.6 Tbit/s using an LWDM4 configuration and assess the impact of FWM to understand the role of zero-dispersion wavelength (ZDW) of the fiber. Coherent transmission leverages more powerful signal processing capabilities which extends the transmission range. Yet, reducing coherent transmission complexity is desirable for cost-effective and power-efficient data center applications. By exploring dual wavelength transmission and DP-16 QAM transceivers, akin to IM/DD counterparts, the feasibility of streamlining this architecture is also studied. The analysis indicates that the complexity of the coherent approach can be reduced without significant penalties for distances up to 10 km.

1. Introduction

The rapid expansion of cloud services has driven higher data rate transmission in data centers and has led to the deployment of 200 GbE and 400 GbE transceivers for data center communications, while 800 GbE and 1.6 TbE transceivers are emerging on the horizon. IM/DD transmission is believed to offer better power efficiency and cost-effectiveness than coherent solutions in data center interconnects (DCIs) [1]. With the recent progress in 200 G/lane technology, there is an opportunity to further leverage IM/DD for higher data rate transmission using wavelength division multiplexing (WDM). For LAN WDM (LWDM) configurations, eight transmission wavelengths are required to achieve 1.6 Tbit/s. Using this architecture, new challenges that are not present in single-wavelength transmission appear, such as FWM. FWM can severely impact performance of WDM transmission in the O-Band as significant power is launched into the fiber and equally spaced wavelengths are used around the zero-dispersion wavelength [2,3,4,5,6]. FWM analysis using nominal link parameters can overestimate the FWM penalty because link parameters, such as laser wavelength, state of polarization and fiber zero-dispersion wavelengths (ZDWs), can fluctuate in practical systems. Understanding the FWM penalty on transmission performance is critical for system engineering.
In the first part of this paper, using the link architecture described in [7,8], a Monte Carlo analysis is carried out, similar to [9], to understand the likelihood of FWM occurring over a distance given the variability of the previously mentioned parameters. This statistical analysis determines the maximum distance of 5 km using the IM/DD technology. A low-cost coherent transmission is an attractive method for extending the maximum distance beyond what IM/DD can support. Coherent transmission over O-Band, on the other hand, is being considered to increase the capacity in DCI and has recently been demonstrated using analog coherent receivers [10], self-homodyne coherent architecture [11] and larger linewidth DFB lasers [12]. The objective of these approaches is to show the feasibility of coherent O-Band transmission for DCI at a lower cost. In the second part of this paper, the impact of removing the dedicated CD digital signal processing (DSP) block and the use of larger linewidth local oscillator (LO) lasers is investigated. This simplified coherent approach enables a transmission distance up to 10 km without significant receiver sensitivity penalty. Both the IM/DD transmission analyses and the simplified coherent transmission analysis use a numerical model set up in VPI Design suite 11.3.
This paper is an extension of the results we presented in [8] and is structured as follows: Section 2 delves into O-Band transmission utilizing IM/DD technology. It assesses the constraints imposed by CD and FWM. Here we have improved the readability and described the statistical methods used in more detail compared to [8]. Section 3 examines coherent transmission over the O-Band, highlighting the receiver sensitivity penalty resulting from the elimination of the dedicated CD DSP block and the increase in the LO linewidth. Section 4 provides a summary of the findings and discusses the merits and drawbacks of each technology, while also identifying limitations. In addition, two recent publications are discussed and numerically analyzed considering the impacts of ZDW. The analysis presented here is used to identify the limitations imposed by those system architectures and sheds light on the role of the ZDW in standard single-mode fibers. Finally, Section 5 presents the conclusion of the paper.

2. O-Band Transmission Using IM/DD Technology

IM/DD transmission is favored in DCI applications due to its low cost and low power consumption. DSP in these types of links is commonly limited to feed forward equalizers (FFEs) and therefore is less power hungry. However, IM/DD has limitations as the phase information is not available at the receiver. This limits the DSP’s capability to fully compensate for impairments induced by CD and polarization mode dispersion (PMD). In addition, the use of higher modulation formats requires higher transmit power to improve the detection of each symbol, which may increase the likelihood of inducing penalties by FWM. In this section, each of these topics will be addressed numerically to understand the limitation of IM/DD when aiming to achieve 1.6 Tbit/s using an LWDM-8 link architecture.

2.1. Simulation Environment of IM/DD Scenario

The link configuration is shown schematically in Figure 1. The LDWM-8 wavelengths fall within O-Band over eight wavelengths from 1291.1 nm to 1323 nm with an 800 GHz frequency grid. All signals are (de)multiplexed using a lossless (de)multiplexer with a second order Gaussian frequency response and a bandwidth of 400 GHz. The signals propagate along a standard single-mode fiber, without splices, with a dispersion slope of DS = 0.092 ps/(nm2·km), an effective modal area of A = 62 μm2 and attenuation of α = 0.3 dB/km. PMD has been considered assuming a value of 0.1 ps/km1/2 and a correlation length of Lcorr = 50 m. A non-linear refractive index value of 2.6 E-20 m2/W has been used.
The O/E conversion occurs with a photodiode (56 GHz bandwidth, responsivity of 0.7 A/W), and the signal is equalized with a symbol-spaced 15-tap FFE. The symbol error rate (SER) is estimated using a histogram approach. The transmitter details are shown in the inset of Figure 1, where a PRBS is mapped into a four-level PAM4 sequence using gray coding. A square-root raised-cosine filter with a roll-off value of 0.1 is applied to the signal to shape the pulse before a 6-bit digital to analog converter with a bandwidth of 56 GHz is used to transform the signal into the analog domain.
The bandwidth limitation of the electro-absorption modulator (EAM) is simulated using a fourth order Bessel filter with a bandwidth of 56 GHz. The modulation response of the EAM follows the parameters provided in [13]. The laser source used in conjunction with the modulator is assumed to be a single-mode laser with 10 MHz linewidth and a relative intensity noise (RIN) value of −145 dB/Hz at 1 mW output power. The EAM is operated in the linear regime using a bias voltage of −1.45 V. This ensures linear mapping between the electrical PAM4 signal and the optical PAM4 signals so that the PAM4 levels are of equal amplitude [13]. In the next subsection, the limitations imposed by various parameters based on this system architecture will be discussed.

2.2. Factors Considered for the IM/DD Scenario

When transmitted over the fiber, the transmission performance of PAM4 at 100 GBaud is impacted by several factors. These factors include PMD, CD, transmitter chirp and FWM. The impact of CD will be discussed in Section 2.3. PMD is inherently included in these simulations, but it is not treated separately, as it is assumed that it is not a dominant effect. Transmitter chirp is factored in for the simulated transmitter, which is an EAM. As discussed in [13], this type of transmitter has a chirp value that depends not only on the bias voltage applied but also on the modulation amplitude of the signal. Chirp has been analyzed in [13] for a coarse WDM system. Here the bias of the voltage is chosen to obtain a linear response. At the same time this reduces the influence of chirp. The impact of FWM in the O-Band has been studied in recent years due to the low CD values in the O-Band. Some studies related to optical fronthauling, which use a similar system architecture, suggest that FWM can be an issue and can be mitigated using different approaches [3,4,5]. The impact of FWM is studied in Section 2.4 to understand both the circumstances under which FWM is maximized and whether the random disturbances that occur in the link are large enough to mitigate the effect.

2.3. Impact of Chromatic Dispersion

The objective of the analysis in this subsection is to understand the reach limitation imposed by CD. For this purpose, all non-linear interactions occurring in the fiber will be turned off. Each transmitter will emit an output power of 0 dBm. Because the CD is different for each transmission wavelength due to its wavelength separation from the ZDW, the results will be shown as function of ZDW for each transmission wavelength. Figure 2a shows the transmission performance of each wavelength at a fixed distance of 10 km. As expected, the further away a transmission wavelength is from the ZDW, the higher the BER is due to its higher CD value. Figure 2a outlines the importance of the ZDW, as its value will affect transmission performance for all channels. Using this LWDM-8 system architecture and assuming a FEC BER threshold of log10(BER = 2.2 × 10−4) = −3.6 as a criterion to define whether a channel is usable for transmission, a ZDW range of 5 nm is found, as depicted in Figure 2a, in which all channels achieve good performance. This range, however, does not consider the probability distribution of the fiber’s ZDW. If the overlap between the ZDW range and the probability density distribution of the fiber’s ZDW is considered, the probability of achieving the desired transmission distance can be computed as:
1 2 π σ a b exp λ Z D W λ Z D W , 0 2 2 σ 2 d λ Z D W ,
where a and b are given by the boundaries imposed by the ZDW range. Furthermore, it has been assumed, as suggested in [5,14], that the probability density distribution of the fiber ZDW is Gaussian. Here the values λZDW,0 = 1312 nm and σ = 2 nm have been used.
A distance of 5 km is achieved with almost any fiber as the ZDW range overlaps well with the probability distribution function of the fiber. As the transmission distance extends to 6 km, the statistical data reveal that nearly 80% of the total fiber population can maintain the requisite transmission performance across all eight LWDM channels. However, for transmission distances of 10 km, only a fractional 10% of the overall fiber population can deliver the desired transmission result. These data underscore the need for careful selection of the fiber’s ZDW in instances where the link is constrained solely by chromatic dispersion (CD), which is the case for low-power transmission.
These results, however, only show part of the story, as non-linear impairments are not considered yet. This topic will be discussed next.

2.4. Impact of FWM Under Worst-Case Conditions

To understand the limitations imposed by FWM in a 1.6 Tb/s link, ideal conditions are assumed first, which maximize the FWM effect: all signals are polarized in the same direction, and the wavelength of each transmitter is perfectly stable and spaced equally at 800 GHz from each other. Here it is important to note that self-phase modulation (SPM), cross-phase modulation (XPM) and FWM, which all arise from the non-linear Kerr effect, are included in the simulation. However, the FWM effect is the dominant impairment for WDM transmission, which is studied in detail in this section. The link distance is fixed at 2 km for this analysis. The ZDW value is swept from 1290–1325 nm. Figure 3a shows a contour plot exhibiting the log10(BER) value with the presence of all eight transmission wavelengths as a function of ZDW. Here, a launch power of 4 dBm per channel is chosen to highlight the impact of FWM. The eight transmitter wavelengths are fixed in Figure 3a. In eleven different ZDW regions, the FWM penalty is so severe that the BER exceeds the KP4 BER threshold of log10(BER) = −3.6. Outside these regions, performance below the KP4 threshold is achieved. To understand the ZDW range at which a transmission wavelength is affected by FWM, three LWDM-8 carriers are picked and the log10(BER) is evaluated over a wavelength window relative to the carrier. This is defined as Δλ = |λc λZDW|, where λc is the carrier wavelength and λZDW is the ZDW. The results are shown in Figure 3b. The impact of FWM can extend up to a value of |Δλ| = 15 nm; however, it is oscillatory and does not affect each value of the ZDW equally. To understand the range of the ZDW within one oscillation, a high-resolution ZDW analysis is performed. This is shown in Figure 4a for a ZDW range of 1308–1315 nm. It can be observed that FWM (inter-channel non-linearity) penalty is maximized in the region where the ZDW is close to an LWDM wavelength.
For λtx,5 = 1309.14 nm, as depicted in Figure 4a with a light blue solid line, the interaction range within one oscillation is 1.4 nm if the KP4 FEC threshold of 2.2 × 10−4 is used. The interaction range is defined as the wavelength range where the BER is above the FEC threshold. Similar results are obtained for λtx,6 = 1313.73 nm, depicted with a green dash dot line, where the ZDW overlaps with the value of λtx,6. In addition, the FWM penalty can also increase near the middle of two LWDM wavelengths with narrower FWM interaction widths of 0.8 nm. As this behavior is launch power dependent, the width is evaluated as a function of launch power per channel as shown in Figure 4b. The blue curve shows the value for the FWM interaction range for λtx,5 = 1309.14 nm when the ZDW is tuned from 1308–1311 nm. The green curve corresponds to the FWM interaction range for λtx,5 = 1309.14 nm when the ZDW is tuned from 1311–1312 nm.
For the blue curve, a significant width increase can be observed once the launch power exceeds 3 dBm. The results provide insights on the requirements for wavelength detuning to mitigate FWM by either intentional detuning or deviation in actual lasers. If a wavelength detuning of ±0.8 nm can be tolerated in LWDM links [14], the wavelength detuning width is barely sufficient to mitigate FWM as shown in Figure 4b for higher launch power. However, if polarization and ZDW conditions are considered, FWM causes less impact as discussed in the next subsection.

2.5. Monte Carlo Analysis for Outage Probability

To understand if the fluctuations induced by random polarization change at the transmitter and if the wavelength variations given by the transmitter tolerances and the ZDW variations are sufficient to mitigate FWM and avoid outage, a Monte Carlo simulation is performed. It is assumed that the wavelength and polarization variations follow a uniform distribution, restricted to ±0.8 nm [15] and ±90 degrees, respectively. The ZDW is simulated using two different conditions:
i.
The ZDW is fixed at 1309.3 nm, for which the FWM interaction is at a maximum. This emulates the worst-case ZDW condition for a deployed fiber. Two hundred iterations of launch power are simulated where only the polarization and the carrier wavelength are randomized.
ii.
The ZDW is also random and follows a Gaussian distribution, centered around 1312 nm with a standard deviation of σ = 2 nm. Eight hundred iterations are simulated and can be interpreted as the probability of outage when 800 different fibers are deployed.
Figure 5a,b show the evaluation of the Monte Carlo simulation for cases one and two, respectively, for a power level of 2 dBm. Here the data have been smoothed with a Gaussian filter of length 2. As depicted in each case, 75% of all evaluations are below the FEC threshold. However, for case one, wavelengths 4, 5 and 6 exhibit values that exceed the FEC threshold and can cause an outage.
To analyze this further, the outage probability (OP) is computed. The OP, considering all transmission wavelengths, is computed for the log10(BER) values as:
O P = i = 1 8 1 C D F i ( 3.6 ) ,
where the cumulative distribution function (CDF) for each transmission wavelength i is evaluated at the value of log10(BER) = −3.6. It is important to note that for higher BER values, the empirical CDF is used. For lower BER values a distribution function is fitted to the data. An example of the probability distribution function (PDF) and the cumulative distribution (CDF) function fitted to a set of data is shown in Figure 6a,b, respectively, for channel 5 using a 2 km long fiber. To find the best fit distribution, a methodology is adopted that is used in wireless channel modeling [16], known as the goodness of fit test, which examines whether the data observed are accurately described by the assumed distribution function. The Cramer–von Mises method is used to evaluate the goodness of fit [17] by comparing the empirical CDF to the assumed CDF. The evaluation is performed using Mathematica’s function CramerVonMisesTest. A significance level p above 0.05 is used to decide whether the hypothesized CDF describes the data with high probability. The distribution functions describing the data most frequently are the Fréchet, Weibull or extreme value distributions, as they capture the long tail of the data the most accurately.
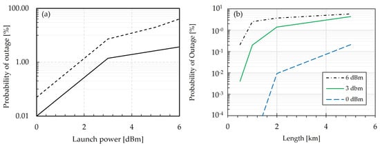
It is clear that the OP is significantly lower when the ZDW is not set to maximize the FWM as shown by the solid line in Figure 7a, even for high launch power. The probability of an outage induced by FWM at 6 dBm for a 2 km distance is 15% for a random fiber, while it reaches almost 40% if the worst-condition fiber is used for transmission. Reducing the optical launch power by 3 dB reduces the likelihood of an outage to about 10% for case one and below 3% for case two. Figure 7b shows the outage probability as a function of fiber distance for three different launch power levels for case 2: 6 dBm, 3 dBm and 0 dBm. The curves show a log-like behavior, saturating at longer fiber distances. Reducing the launch power significantly improves the transmission distance while maintaining a constant outage probability at the value of 0.2%. A tenfold distance increase is possible when reducing the launch power by 0 dBm, while a twofold distance increase is achievable if the power is reduced by 3 dBm.

3. Analysis of Coherent Optical Link for O-Band Transmission

Coherent optical links have been discussed and studied for O-Band transmission as they offer significant advantages over IM/DD technology in terms of reach and performance. Coherent transceivers aimed at short reach point-to-point applications are not likely to incorporate amplifiers due to the cost. Therefore, high output power is not likely to be observed in these links. Useful studies evaluating the performance degradation induced by FWM can be found in [18]; they will not be discussed here. The focus of this study is on quantifying the BER penalties when the DSP in the receiver is simplified and the typical laser linewidth requirements are relaxed. The link is based on using DP-16QAM transceivers similar to [19], as this link architecture shares similar components with the 100 GBaud PAM4 architecture discussed in Section 2.

3.1. Simulation Environment for Coherent Link Analysis

The simulation environment used for the coherent link is depicted in Figure 8. On the transmission side, two DP-16QAM transmitters using two LWDM wavelengths that are operated at 120 GBaud are used for transmission. The electrical signal generation follows a similar approach used in [19], where low-pass filters emulate the limitation imposed by the digital to analog converter (DAC—2nd order Bessel), Mach–Zehnder modulator (MZM—Gaussian filter of order 0.5), electrical driver (4th order Bessel) and analog to digital converter (ADC—2nd order Bessel). However, 60 GHz bandwidth components are used to accommodate the requirements of higher symbol rates. In addition, no digital pre-emphasis is used to compensate for transmitter bandwidth limitations. The electrical signal is shaped using a square-root raised-cosine pulse shaping filter with a roll-off factor of 0.1 and is then processed by a DAC with 6-bit resolution and 2nd order Bessel type low-pass filter characteristics. The electrical signal amplifier has a 2nd order Bessel filter low-pass response, and the MZM has a Gaussian frequency response of order one. Each transmitter emits a fixed optical power with a fixed optical signal to noise ratio (OSNR), which is then multiplexed into the G652.D compliant standard single-mode fiber with a ZDW centered around 1312 nm. At the output of the fiber, a demultiplexer with a 4th order Bessel filter response is used to demultiplex both signals with a bandwidth of 240 GHz.
A balanced coherent optical receiver is used, as depicted in the inset of Figure 8, to convert the optical signal into the electrical domain. The local oscillator (LO) laser has a zero-wavelength offset for simplicity. The signal is sampled down to two samples per symbol and is forwarded to the DSP block. As the transmission distance is short and the CD is expected to be low, a dedicated DSP block is not used. The resulting penalties are discussed in Section 3.2. After the 2 × 2 MIMO equalizer, which uses a data-aided MMA algorithm to compensate for distortion, the phase of the signal is recovered. A modified Viterbi and Viterbi algorithm is used as presented in [20].

3.2. Baseline Results

The analysis performed here is limited to the analysis of linear impairments. The reasoning behind this is twofold: the limited output power in many short reach commercial coherent transceivers and distance limitations. For data center applications, 2 km is the approximate maximum distance for intra-datacenter links while short reach inter-data center links are typically limited to a maximum of 10–15 km. For example, the typical output power for a 400 G coherent transceiver could be −10 dBm, and hence, no limitations imposed by FWM are expected as shown in [18] for a more idealized system. Two LWDM wavelengths are used to achieve an aggregate bit rate of 1.6 TBit/s. As the ZDW of the fiber is located at 1312 nm, 1291.14 nm and 1323 nm are chosen to maximize CD penalty.
Figure 9 shows the BTB performance of one of the transmission wavelengths, 1291.14 nm, which is in line with [21]. The transmission performance after 10 km and 15 km is also shown for comparison. In this case, the DSP block dedicated to compensating CD is turned on. This shows the high-level performance of coherent DSP technology when applied to shorter transmission links. The only difference between these curves is the maximal received optical power, which reflects the impact of fiber attenuation.

3.3. Removal of Dedicated CD DSP Block and Increase in LO Laser Linewidth

To simplify the coherent optical link and reduce the complexity, the dedicated CD compensation block is removed at the receiver. Therefore, it is assumed that the MIMO DSP block can compensate the effect of CD. As the receiver sensitivity is one of the most important factors, the MIMO filter taps are optimized with respect to the receiver sensitivity. Eleven to thirteen MIMO filter taps are used for this analysis, depending on the transmission length. This number optimizes the receiver sensitivity (RS) to −24.4 dBm. Figure 10a shows an example of the performance degradation induced by removing the dedicated DSP block to compensate for CD at 10 km. Here four iterations have been simulated per ROP and used to fit the exponential curve shown, when a dedicated CD compensation DSP block is used (dashed) and not used (dotted). An RS penalty of 0.41 dB can be observed in Figure 10a for 10 km at the transmission wavelength of 1291.14 nm. Figure 10b shows the RS as a function of transmission length. Here no CD compensation block has been used. The performance degradation increases linearly with length as the transmission distances exceed 10 km. For the 15 km transmission distance, the receiver sensitivity reduces to about −22.5 dBm at the 1291.14 nm wavelength, but to only −23.9 dBm for the 1323 nm wavelength. This is mainly because the transmission wavelength of 1323 nm suffers less from accumulated CD as it is closer to the ZDW.
Hence, it is expected that LWDM wavelengths closer to the ZDW suffer less impact by removing the dedicated DSP block that combats CD. The LO laser, which is commonly an external cavity laser with a linewidth of roughly 100 kHz, was changed to a distributed feedback laser with larger linewidth, similar to [10], to further reduce the cost.
The objective is to understand how much the linewidth can be increased before reaching a 1.0 dB sensitivity penalty. Figure 11a shows the impact of increasing the LO laser linewidth from 0.1 MHz to 4 MHz for a 10 km link, while maintaining the linewidth of the laser at the transmitter side fixed at 100 kHz. An RS penalty of 0.7 dB is observed for the transmission wavelength of 1291.14 nm. Figure 11b shows RS penalty as a function of LO laser linewidth for both transmission wavelengths. The increment for both wavelengths is similar and, hence, are independent of the aggregated CD suffered by the channels. A 1 dB penalty is observed roughly for a linewidth of 6 MHz. This significant increase in LO laser linewidth could be a potential cost-saving measure to simplify coherent transmission for DCI.

4. Discussion

In the current work, the transmission performances of IM/DD, operated at 8 × 200 Gbit/s using a PAM4 modulation format, and coherent technology, operated at 2 × 120 GBaud using DP-16QAM modulation, have been studied. The objective of this study is to understand the limitations imposed by each technology while achieving an aggregate transmission rate of 1.6 Tbit/s over the O-Band transmission window. This study shows that IM/DD transmission capability is limited by the penalties from CD and, at higher power levels, penalties from FWM. The findings for IM/DD can be summarized as follows:
  • The transmission distance of IM/DD using 8 × 200 Gbit/s PAM4 is limited to 5 km. This limitation is mainly driven by the CD penalty induced by the single-mode fiber. This penalty depends heavily on the location of the ZDW and the wavelengths used for transmission.
  • FWM can cause limitations in the links, even if wavelength, polarization and ZDW variabilities are considered. For an outage probability of 0.2%, the reach limitation imposed by FWM can be as low as 1 km at an optical launch power of 3 dBm per channel. A launch power reduction to 0 dBm per channel increases the range to 5 km while maintaining the outage probability of 0.2%.
On the other hand, the effects of FWM in O-band transmission using IM/DD have been studied in two recent publications [22,23]. The demonstration exhibited in [22] shows an aggregate transmission rate of 800 Gbit/s over the four LWDM wavelengths, while [23] exhibits an aggregate transmission rate of 1.6 Tbit/s over four LWDM wavelengths without FWM penalties being observed. One aspect of our work is to consider the role of ZDW as discussed in Section 2.4 and Section 2.5. Here, we generalize our work to the configurations in [22,23] to understand the role of the ZDW. The link is set up and analyzed numerically. Figure 12a,b show the transmission performance in terms of BER of all four LWDM wavelengths as the ZDW of the fiber is swept for 2 km at a bitrate per wavelength of 200 Gbit/s and 400 Gbit/s, respectively, using a launch power per channel of 10 dBm. When the ZDW is positioned within the range of 1300–1305 nm, the typical FWM characteristics as laid out in Section 2.5 and Figure 3a can be observed, maximizing its impact when the ZDW overlaps one of the transmission wavelengths or is in the middle of two transmission wavelengths. The width of the FWM interaction observed in Figure 12b is wider, which happens when there is a higher data rate being transmitted.
However, as the ZDW of the fiber is swept beyond 1306 nm, the impact of FWM disappears, and the BER values for all transmission wavelengths are well below the KP4 FEC threshold used here. Since the probability of the ZDW being located in the range below 1306 nm is very low, as the ZDW follows a Gaussian distribution centered around 1312 nm with a standard deviation value of about σ = 2 nm as discussed in [5,14], the probability of observing an FWM event is also very low. A Gaussian function overlay in Figure 12a is shown there to highlight the overlap. As reported in [23], the ZDW of the fiber used for the experiment is 1310 nm, which is consistent with our study here. According to the simulation depicted in Figure 12b, no signal degradation is induced by FWM at this ZDW. This discussion highlights the importance of ZDW of the fiber and its proper design to avoid any FWM-induced penalty when transmitting over the O-Band.
Full coherent transmission does not have limitations imposed by CD as it can be perfectly compensated with a dedicated DSP block. However, the full coherent transmission is too expensive for DCI and simplifications are desired. Here two simplifications are proposed and studied: the removal of the dedicated CD DSP block and the increase in the LO laser linewidth using more cost-effective laser sources. The results can be summarized as follows:
  • Removing the dedicated DSP that compensates for CD causes a distance-dependent penalty. The penalty depends on the amount of accumulated CD by the channel. For this reason, the highest penalty is observed for the channel transmitted at 1291.14 nm, which has the larger wavelength separation from the ZDW. At 10 km, the penalty for the channel transmitted at 1291.14 nm is like the penalty at 14 km for the channel transmitted at 1323 nm. A receiver sensitivity penalty of 1 dB is observed roughly at a 12 km distance for the channel transmitted at 1291.14 nm, which translates to an accumulated CD of −23.18 ps/nm.
  • Increasing the LO laser linewidth to 6 MHz affects the receiver sensitivity by 1 dB. If a low-cost DFB laser has a laser linewidth of 2 MHz, it could limit the penalty to 0.5 dB. The opportunity to relax the laser linewidth is an important aspect of the lite implementation for future short reach coherent transceivers.
This study clearly shows that IM/DD can be used up to 5 km using the LWDM-8 system architecture if the launch power is maintained below 0 dBm to avoid penalties induced by FWM. For distances greater than 5 km and up to 10 km, a simplified coherent approach is feasible. Removing the dedicated CD compensation block and using lower-cost LO lasers can simplify coherent transceivers while adding only a small amount of performance penalty when an LWDM wavelength grid is used.

5. Conclusions

This study delves into two methodologies aimed at achieving a transmission rate of 1.6 Tb/s across distances spanning up to 10 km. The initial approach involves leveraging standard single-mode fiber for data center interconnects, employing IM/DD technology via 8 × 100 GBaud PAM4 transceivers within an LWDM-8 grid. Alternatively, the second approach harnesses coherent technology operating at 120 Gbaud, utilizing DP-16QAM modulation across dual polarizations and wavelengths within the LWDM spectrum. Comprehensive examination of each methodology’s efficacy and constraints reveals critical insights.
Effects of fiber CD and FWM pose notable challenges towards achieving the desired 1.6 Tb/s transmission rate via IM/DD methodology, thereby restricting transmission distances to a maximum of 5 km. In contrast, using a simplified coherent-lite transmission system by removing the dedicated CD compensation block and relaxing the laser linewidth, founded on 120 GBaud DP-16QAM modulation, still appears to offer remarkable performance potential, facilitating 1.6 Tb/s transmission capabilities over distances reaching 10 km. Our future work will continue to investigate and compare the evolution of coherent lite systems with IM/DD approaches, in terms of performance and cost.

Author Contributions

Conceptualization: A.A.J., Y.Z., X.C. and M.-J.L.; methodology, A.A.J., Y.Z., X.C. and M.-J.L.; software, A.A.J.; validation, A.A.J., Y.Z., X.C. and M.-J.L.; formal analysis, A.A.J.; investigation, A.A.J., Y.Z., X.C. and M.-J.L.; resources, A.A.J., Y.Z., X.C. and M.-J.L.; data curation, A.A.J.; writing—original draft preparation, A.A.J.; writing—review and editing, A.A.J., Y.Z., X.C. and M.-J.L.; visualization, A.A.J.; supervision, X.C. and M.-J.L.; project administration, X.C.; funding acquisition, X.C. All authors have read and agreed to the published version of the manuscript.

Funding

This research received no external funding.

Institutional Review Board Statement

Not applicable.

Informed Consent Statement

Not Applicable.

Data Availability Statement

No data available online.

Conflicts of Interest

Author Yanjun Zhu was employed by the company Hisense Broadband Inc. Authors Adrian A. Juarez, Xin Chen and Ming-Jun Li were employed by the company Corning Incorporated. Authors declare that the research was conducted in the absence of any commercial or financial relationships that could be construed as a potential conflict of interest The authors declare no conflict of interest.

References

  1. Zhou, X.; Lam, C.F.; Urata, R.; Liu, H. State-of-the-Art 800G/1.6T Datacom Interconnects and Outlook for 3.2T. In Proceedings of the 2023 Optical Fiber Communications Conference and Exhibition (OFC), San Diego, CA, USA, 5–9 March 2023; p. W3D.1. [Google Scholar]
  2. Johnson, J. FWM Analysis of PAM-4 LR/ER PMDs. Contribution johnson_3df_optx_01_220414. In Proceedings of the IEEE 802.3df Meeting, San Jose, CA, USA, 2–28 April 2022. [Google Scholar]
  3. Liu, X.; Fan, Q. Inter-Channel FWM Mitigation Techniques for O-band WDM Based 800G/ 1.6T LR and 5G Fronthaul applications. In Proceedings of the 2023 Optical Fiber Communications Conference and Exhibition (OFC), San Diego, CA, USA, 5–9 March 2023; p. W4F.1. [Google Scholar]
  4. Yanagihara, A.; Chen, M.; Kanazawa, S.; Nakanishi, Y.; Nada, M.; Taniguchi, H.; Suzuki, K. Four-wave mixing mitigation by using waveguide-based 4λ-WDM filters for 800 and 400 GbE. In Proceedings of the 2023 Optical Fiber Communications Conference and Exhibition (OFC), San Diego, CA, USA, 5–9 March 2023; p. Th1E.7. [Google Scholar]
  5. Liu, X.; Fan, Q. Inter-channel FWM Mitigation Techniques for 800G-LR4, 1.6T-LR8, 400G-ER4 and 5G Fronthaul Applications Based on O-Band WDM. J. Light. Technol. 2024, 42, 1085–1094. [Google Scholar] [CrossRef]
  6. Johnson, J. Four-Wave mixing considerations of G.OWDM wavelength plans. In Proceedings of the ITU-WD06-05, E-Meeting, Online, 31 August—2 September 2021. [Google Scholar]
  7. Juarez, A.A.; Zhu, Y.; Chen, X.; Li, M.J. Numerical study of 1.6 T IM/DD transmission based on LWDM Grid using 200G/lane over 2-5 km of Standard Single Mode Fibers. In Proceedings of the 2023 Asia Communications and Photonics Conference/2023 International Photonics and Optoelectronics Meetings (ACP/POEM), Wuhan, China, 4–7 November 2023; pp. 1–5. [Google Scholar] [CrossRef]
  8. Juarez, A.A.; Zhu, Y.; Chen, X.; Li, M.J. Design considerations and trade-offs for 1.6 Tb/s IM/DD- and coherent transmission over O-Band. In Proceedings of the Next-Generation Optical Communication: Components, Sub-Systems, and Systems XIII, San Francisco, CA, USA, 8 March 2024; Volume 12894, p. 1289405. [Google Scholar] [CrossRef]
  9. Chen, X.; Abbott, J.; Powers, D.; Coleman, D.; Li, M.J. Statistical treatment of IEEE spreadsheet model for VCSEL-multimode fiber transmissions. In Proceedings of the 21st OptoElectronics and Communication Conference (OECC), Niigata, Japan, 3–7 July 2016. [Google Scholar]
  10. Maharry, A.; Liu, J.; Misak, S.; Andrade, H.; Valenzuela, L.A.; Gilardi, G.; Liao, S.; Liu, A.; Akulova, Y.; Coldren, L.; et al. First Demonstration of an O-Band Coherent Link for Intra-Data Center Applications. J. Light. Technol. 2023, 41, 6643–6650. [Google Scholar] [CrossRef]
  11. Zhang, R.; Kuzmin, K.; Chen, Y.W.; Way, W.I. 800G/s Self-Homodyne Coherent Links with Simplified DSP for Next-Generation Intra-Data Centers. J. Light. Technol. 2023, 41, 1216–1222. [Google Scholar] [CrossRef]
  12. Berikaa, E.; Alam, M.S.; Bernal, S.; Li, W.; Krueger, B.; Pittalà, F.; Plant, D.V. Net 1.6 Tbps O-band Coherent Transmission over 10 km Using a TFLN IQM and DFB Lasers for Carrier and LO. In Proceedings of the 2023 Optical Fiber Communications Conference and Exhibition (OFC), San Diego, CA, USA, 5–9 March 2023; p. Th4B.1. [Google Scholar]
  13. Johnson, J. Chirp characteristics and chromatic dispersion tolerance of 200 G EML transmitters. IEEE 802.3df 200 Gb/s—1.6 Tb/s Ethernet Task Force 2022. [Google Scholar]
  14. Parsons, E. Statistical Approach to Chromatic Dispersion. In Proceedings of the IEEE P802.3df Ethernet Task Force, Bangkok, Thailand, 16 November 2022; Available online: https://www.ieee802.org/3/df/public/22_11/parsons_3df_01a_2211.pdf (accessed on 1 October 2023).
  15. Cole, C.; Huebner, B. Common LAN WM Grid Proposal for al 100GE SMF reaches. In Proceedings of the IEEE 802.3 Higher Speed Study Group, Seoul, Republic of Korea, 11–13 September 2007. [Google Scholar]
  16. Mahler, K.; Keusgen, W.; Tufvesson, F.; Zemen, T.; Caire, G. Measurement-Based Wideband Analysis of Dynamic Multipath Propagation in Vehicular Communication Scenarios. IEEE Trans. Veh. Technol. 2017, 66, 4657–4667. [Google Scholar] [CrossRef]
  17. Laio, F. Cramer- von Mises and Anderson-Darling goodness of fit test for extreme value distributions with unknown parameters. Water Resour. Res. 2004, 40, W09308. [Google Scholar] [CrossRef]
  18. Juarez, A.A.; Chen, X.; Dong, H.; Li, M.J.; Zhu, Y.; Mu, J. Numerical Study on Coherent O-Band Transmission for Data Center Campus Interconnects. In Proceedings of the 2022 Asia Communications and Photonics Conference (ACP), Shenzhen, China, 5–8 November 2022; pp. 1022–1025. [Google Scholar]
  19. Rafique, D.; Eiselt, N.; Griesser, H.; Wohlfeil, B.; Eiselt, M.; Elbers, J.P. Digital Pre-Emphasis based System Design Trade-offs for 64 Gbaud coherent Data Center Interconnects. In Proceedings of the 19th International Conference on Transparent Optical Networks (ICTON), Girona, Spain, 2–6 July 2017. [Google Scholar]
  20. Rice, F.; Rice, M.; Cowley, B. A New Algorithm for 16QAM Carrier Phase Estimation Using QPSK Partitioning. Digit. Signal Process. 2002, 12, 77–86. [Google Scholar] [CrossRef]
  21. Chen, Y.W.; Kuzmin, K.; Poirier, M.; Tomimoto, T.; Zarris, G.; Moore, R.; Chen, C.; Wu, W.; Huang, J.; Boudreau, M.; et al. Over 60GHz InP CDM and ICR Enabling 800Gbps LR/ER/ZR/ZR+ Transmission Links With 120Gbaud/DP-16QAM Modulation. In OSA Technical Digest, Proceedings of the 26th Optoelectronics and Communications Conference, Hong Kong, China, 3–7 July 2021; Wai, P.A., Tam, H., Yu, C., Eds.; Optica Publishing Group: Washington, DC, USA, 2021; p. T5A.9. [Google Scholar]
  22. Chang, F.; Cheminant, G.L.; Liu, X.; Rodes, R. Considering Technical Feasibility Study of Various 200G/L PMDs—November 2023 Update. In Proceedings of the IEEE Plenary Meeting, Honolulu, HI, USA, 13–17 November 2023. [Google Scholar]
  23. St-Arnault, C.; Bernal, S.; Berikaa, E.; Wei, Z.; Gutiérrez-Castrejón, R.; Zhang, J.; Alam, M.S.; Nikic, A.; Krueger, B.; Pittalà, F.; et al. Net 1.6 Tbps (4x400Gbps/l) O-Band IM/DD Transmission over 2km Using Uncooled DFB Lasers on the LAN-WDM Grid and Sub-1V Drive TFLN Modulators. In Proceedings of the Optical Fiber Conference (OFC), San Diego, CA, USA, 24–28 March 2024; p. Th4C.6. [Google Scholar]
Figure 1. Overview of simulation environment; Acronyms: PRBS: Pseudo random bit sequence; PS: Pulse shaping; DAC: Digital to analog converter; LF: Low-pass filter; EAM: Electro-absorption modulator; PD: Photodiode; FFE: feed forward equalizer with 15 taps.
Figure 1. Overview of simulation environment; Acronyms: PRBS: Pseudo random bit sequence; PS: Pulse shaping; DAC: Digital to analog converter; LF: Low-pass filter; EAM: Electro-absorption modulator; PD: Photodiode; FFE: feed forward equalizer with 15 taps.
Photonics 11 01179 g001
Figure 2. (a) Transmission performance of all LWDM channels as a function of ZDW for a 10 km distance. A white arrow marks the acceptable ZDW range for all channels to operate below the FEC threshold; (b) Probability of achieving desired distance using ZDW distribution of fiber population.
Figure 2. (a) Transmission performance of all LWDM channels as a function of ZDW for a 10 km distance. A white arrow marks the acceptable ZDW range for all channels to operate below the FEC threshold; (b) Probability of achieving desired distance using ZDW distribution of fiber population.
Photonics 11 01179 g002
Figure 3. (a) log10(BER) as function of ZDW and LWDM carrier for 2 km distance; (b) log10(BER) as function of relative distance to the ZDW defined as Δλ = λ1\5\7λZDW for three different transmission wavelengths.
Figure 3. (a) log10(BER) as function of ZDW and LWDM carrier for 2 km distance; (b) log10(BER) as function of relative distance to the ZDW defined as Δλ = λ1\5\7λZDW for three different transmission wavelengths.
Photonics 11 01179 g003
Figure 4. (a) Evaluation of BER performance for all transmission wavelengths as a function of zero-dispersion wavelength. Wavelength resolution is 0.08 nm; Width of FWM impact evaluated for 1309.14 nm. (b) Interaction range of the FWM effect as a function of launch power evaluated at KP4 threshold.
Figure 4. (a) Evaluation of BER performance for all transmission wavelengths as a function of zero-dispersion wavelength. Wavelength resolution is 0.08 nm; Width of FWM impact evaluated for 1309.14 nm. (b) Interaction range of the FWM effect as a function of launch power evaluated at KP4 threshold.
Photonics 11 01179 g004
Figure 5. Box–whisker plots exhibiting performance of each transmission wavelength considering (a) wavelength variability and polarization variation and (b) wavelength variability, polarization and ZDW variation.
Figure 5. Box–whisker plots exhibiting performance of each transmission wavelength considering (a) wavelength variability and polarization variation and (b) wavelength variability, polarization and ZDW variation.
Photonics 11 01179 g005
Figure 6. (a) Histogram evaluated using 800 different data points for the logarithmic BER performance of channel 5. The blue solid line shows the Fréchet PDF, which has the highest p value for this simulation case, according to the Cramer–von Mises method; (b) empirical CDF for the data (blue line) and best fit CDF (orange) which is the Fréchet CDF.
Figure 6. (a) Histogram evaluated using 800 different data points for the logarithmic BER performance of channel 5. The blue solid line shows the Fréchet PDF, which has the highest p value for this simulation case, according to the Cramer–von Mises method; (b) empirical CDF for the data (blue line) and best fit CDF (orange) which is the Fréchet CDF.
Photonics 11 01179 g006
Figure 7. (a) Outage probability as a function of launch power per channel for case one (dashed line) and case two (solid line) using a fixed distance of 2 km; (b) Outage probability as function of fiber length using case 2 assumptions for 6 dBm launch power (dot dashed), 3 dBm (solid) and 0 dBm (dashed).
Figure 7. (a) Outage probability as a function of launch power per channel for case one (dashed line) and case two (solid line) using a fixed distance of 2 km; (b) Outage probability as function of fiber length using case 2 assumptions for 6 dBm launch power (dot dashed), 3 dBm (solid) and 0 dBm (dashed).
Photonics 11 01179 g007
Figure 8. Simulation environment. Acronyms: MZM: Mach–Zehnder Modulator, PBC: Polarization Beam Splitter, LO: Local Oscillator, PD: Photodiode, LPF: Low-Pass Filter, ADC: Analog to Digital Converter.
Figure 8. Simulation environment. Acronyms: MZM: Mach–Zehnder Modulator, PBC: Polarization Beam Splitter, LO: Local Oscillator, PD: Photodiode, LPF: Low-Pass Filter, ADC: Analog to Digital Converter.
Photonics 11 01179 g008
Figure 9. Transmission performance of DP-16QAM coherent transceiver for different fiber distances. This simulation is used as baseline results to compare when simplifying DSP.
Figure 9. Transmission performance of DP-16QAM coherent transceiver for different fiber distances. This simulation is used as baseline results to compare when simplifying DSP.
Photonics 11 01179 g009
Figure 10. (a) BER as function of ROP for receiver with (dashed line) and without (dotted line) dedicated DSP block used to combat CD; lines represent fit, dots actual simulation (b) receiver sensitivity as function of fiber length for the two wavelengths studied without CD DSP block.
Figure 10. (a) BER as function of ROP for receiver with (dashed line) and without (dotted line) dedicated DSP block used to combat CD; lines represent fit, dots actual simulation (b) receiver sensitivity as function of fiber length for the two wavelengths studied without CD DSP block.
Photonics 11 01179 g010
Figure 11. (a) BER without dedicated DSP Block for an LO laser with a linewidth of 0.1 MHz (dashed) and 4 MHz (dotted); (b) Receiver sensitivity penalty for the transmission wavelengths of 1323 and 1291.14 nm.
Figure 11. (a) BER without dedicated DSP Block for an LO laser with a linewidth of 0.1 MHz (dashed) and 4 MHz (dotted); (b) Receiver sensitivity penalty for the transmission wavelengths of 1323 and 1291.14 nm.
Photonics 11 01179 g011
Figure 12. Contour plot exhibiting log10(BER) as a function of ZDW and four LWDM transmission wavelengths achieving a total of (a) 800 Gbit/s and (b) 1.6 Tbit/s aggregate transmission rate.
Figure 12. Contour plot exhibiting log10(BER) as a function of ZDW and four LWDM transmission wavelengths achieving a total of (a) 800 Gbit/s and (b) 1.6 Tbit/s aggregate transmission rate.
Photonics 11 01179 g012
Disclaimer/Publisher’s Note: The statements, opinions and data contained in all publications are solely those of the individual author(s) and contributor(s) and not of MDPI and/or the editor(s). MDPI and/or the editor(s) disclaim responsibility for any injury to people or property resulting from any ideas, methods, instructions or products referred to in the content.

Share and Cite

MDPI and ACS Style

Juarez, A.A.; Zhu, Y.; Chen, X.; Li, M.-J. Design Considerations for 1.6 Tbit/s Data Center Interconnects: Evaluating IM/DD and Coherent Transmission over O-Band Transmission Window. Photonics 2024, 11, 1179. https://doi.org/10.3390/photonics11121179

AMA Style

Juarez AA, Zhu Y, Chen X, Li M-J. Design Considerations for 1.6 Tbit/s Data Center Interconnects: Evaluating IM/DD and Coherent Transmission over O-Band Transmission Window. Photonics. 2024; 11(12):1179. https://doi.org/10.3390/photonics11121179

Chicago/Turabian Style

Juarez, Adrian A., Yanjun Zhu, Xin Chen, and Ming-Jun Li. 2024. "Design Considerations for 1.6 Tbit/s Data Center Interconnects: Evaluating IM/DD and Coherent Transmission over O-Band Transmission Window" Photonics 11, no. 12: 1179. https://doi.org/10.3390/photonics11121179

APA Style

Juarez, A. A., Zhu, Y., Chen, X., & Li, M.-J. (2024). Design Considerations for 1.6 Tbit/s Data Center Interconnects: Evaluating IM/DD and Coherent Transmission over O-Band Transmission Window. Photonics, 11(12), 1179. https://doi.org/10.3390/photonics11121179

Note that from the first issue of 2016, this journal uses article numbers instead of page numbers. See further details here.

Article Metrics

Back to TopTop