Computation of the Multi-Spheres Scattering Coefficient Using the Prime Index Method
Abstract
1. Introduction
2. The Prime Index Method
- the dimension of the index vector must be increased to match the dimension of vector by inserting elements.
- the new elements appended to vector are all null.
- we compute the index vectors , , , and …, corresponding to the arguments of the factorial functions , , , and …, respectively;
- supposing that , we increase the dimension of vectors () in order to match the dimension of vector , obtaining vectors , , , …, ,…, as previously described;
- we define a matrix , whose rows are formed by the vectors , , , …, ,…;
- we define a vector whose elements are the exponents , , …, , , …, thus .
3. Results and Discussion
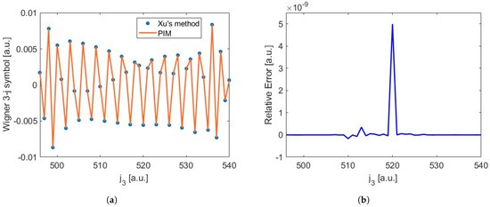
3.1. The Wigner 3-j Symbols
3.2. Winger D-Function
3.3. Gaunt Coefficient
3.4. Vector Translation Coefficients
4. Conclusions
Supplementary Materials
Author Contributions
Funding
Data Availability Statement
Conflicts of Interest
Abbreviations
| PIM | Prime Index Method |
References
- Xiang, S.; Wang, L.; Yan, Z.C.; Qiao, H. A program for simplifying summation of Wigner 3j-symbols. Comput. Phys. Commun. 2021, 264, 107880. [Google Scholar] [CrossRef]
- Aquilanti, V.; Haggard, H.M.; Littlejohn, R.G.; Yu, L. Semiclassical analysis of Wigner 3j-symbol. J. Phys. A Math. Theor. 2007, 40, 5637. [Google Scholar] [CrossRef]
- Rasch, J.; Yu, A.C.H. Efficient storage scheme for precalculated Wigner 3 j, 6 j and Gaunt coefficients. SIAM J. Sci. Comput. 2004, 25, 1416–1428. [Google Scholar] [CrossRef]
- Wei, L. Unified approach for exact calculation of angular momentum coupling and recoupling coefficients. Comput. Phys. Commun. 1999, 120, 222–230. [Google Scholar] [CrossRef]
- Luscombe, J.H.; Luban, M. Simplified recursive algorithm for wigner 3 j and 6 j symbols. Phys. Rev. E 1998, 57, 7274. [Google Scholar] [CrossRef]
- Tuzun, R.E.; Burkhardt, P.; Secrest, D. Accurate computation of individual and tables of 3-j and 6-j symbols. Comput. Phys. Commun. 1998, 112, 112–148. [Google Scholar] [CrossRef]
- Xu, Y.L. Efficient evaluation of vector translation coefficients in multiparticle light-scattering theories. J. Comput. Phys. 1998, 139, 137–165. [Google Scholar] [CrossRef]
- Xu, Y.L. Fast evaluation of the Gaunt coefficients. Math. Comput. 1996, 65, 1601–1612. [Google Scholar] [CrossRef]
- Xu, Y.L. Calculation of the addition coefficients in electromagnetic multisphere-scattering theory. J. Comput. Phys. 1996, 127, 285–298. [Google Scholar] [CrossRef]
- Schulten, K.; Gordon, R.G. Exact recursive evaluation of 3j-and 6j-coefficients for quantum-mechanical coupling of angular momenta. J. Math. Phys. 1975, 16, 1961–1970. [Google Scholar] [CrossRef]
- Aigner, M.; Ziegler, G.M. Proofs from the Book, 3rd ed.; Springer: Berlin, Germany, 2000. [Google Scholar]
- Fazely, A.R. Prime–index parametrization for total neutrino-nucleon cross sections and pp cross sections. J. Phys. G Nucl. Part. Phys. 2019, 46, 125003. [Google Scholar] [CrossRef]
- Wigner, E. Group Theory: And Its Application to the Quantum Mechanics of Atomic Spectra; Elsevier: Amsterdam, The Netherlands, 2012; Volume 5. [Google Scholar]
- Mishchenko, M.I. Electromagnetic Scattering by Particles and Particle Groups: An Introduction; Cambridge University Press: Cambridge, UK, 2014. [Google Scholar]
- Batool, S.; Frezza, F.; Mangini, F.; Yu-Lin, X. Scattering from multiple PEC sphere using translation addition theorems for spherical vector wave function. J. Quant. Spectrosc. Radiat. Transf. 2020, 248, 106905. [Google Scholar] [CrossRef]



| XU | PIM | ||||||
|---|---|---|---|---|---|---|---|
| m | n | Real | Imag | Real | Imag | ||
| 8 | 10 | −9 | 12 | 3.663964990 × 1034 | −2.762412192 × 1034 | 3.663965099 × 1034 | −2.762412274 × 1034 |
| 0 | 10 | 0 | 10 | 2.969682019 × 10−1 | −1.928601440 × 1017 | 2.969682108 × 10−1 | −1.928601498 × 1017 |
| −2 | 11 | 3 | 9 | 7.726121583 × 1011 | 1.034255820 × 1012 | 7.726121813 × 1011 | 1.034255850 × 1012 |
| 10 | 18 | 15 | 22 | −6.206840651 × 1035 | −8.308775621 × 1035 | −6.206840836 × 1035 | −8.308775868 × 1035 |
| 36 | 36 | −38 | 38 | 4.146334728 × 10190 | −4.931584782 × 10190 | 4.146334852 × 10190 | −4.931584929 × 10190 |
| XU | PIM | ||||||
| m | n | Real | Imag | Real | Imag | ||
| 8 | 10 | −9 | 12 | −8.370892023 × 1031 | −1.110285257 × 1031 | −8.370892272 × 1031 | −1.110285290 × 1032 |
| 0 | 10 | 0 | 10 | 0.000000000 × 100 | 0.000000000 × 100 | −7.341232630 × 10−4 | −1.492552121 × 10−18 |
| −2 | 11 | 3 | 9 | 1.222239141 × 1010 | 9.130398908 × 109 | 1.222239177 × 1010 | −9.130399180 × 109 |
| 10 | 18 | 15 | 22 | −3.610252125 × 1034 | 2.696938836 × 1034 | −3.610252233 × 1034 | 2.696938917 × 1034 |
| 36 | 36 | −38 | 38 | 0.000000000 × 100 | 0.000000000 × 100 | 0.000000000 × 100 | 0.000000000 × 100 |
Disclaimer/Publisher’s Note: The statements, opinions and data contained in all publications are solely those of the individual author(s) and contributor(s) and not of MDPI and/or the editor(s). MDPI and/or the editor(s) disclaim responsibility for any injury to people or property resulting from any ideas, methods, instructions or products referred to in the content. |
© 2024 by the authors. Licensee MDPI, Basel, Switzerland. This article is an open access article distributed under the terms and conditions of the Creative Commons Attribution (CC BY) license (https://creativecommons.org/licenses/by/4.0/).
Share and Cite
Huang, F.; Santini, C.; Mangini, F.; Frezza, F. Computation of the Multi-Spheres Scattering Coefficient Using the Prime Index Method. Photonics 2024, 11, 1155. https://doi.org/10.3390/photonics11121155
Huang F, Santini C, Mangini F, Frezza F. Computation of the Multi-Spheres Scattering Coefficient Using the Prime Index Method. Photonics. 2024; 11(12):1155. https://doi.org/10.3390/photonics11121155
Chicago/Turabian StyleHuang, Fangcheng, Carlo Santini, Fabio Mangini, and Fabrizio Frezza. 2024. "Computation of the Multi-Spheres Scattering Coefficient Using the Prime Index Method" Photonics 11, no. 12: 1155. https://doi.org/10.3390/photonics11121155
APA StyleHuang, F., Santini, C., Mangini, F., & Frezza, F. (2024). Computation of the Multi-Spheres Scattering Coefficient Using the Prime Index Method. Photonics, 11(12), 1155. https://doi.org/10.3390/photonics11121155

