You are currently viewing a new version of our website. To view the old version click .
Photonics
  • Communication
  • Open Access

20 January 2023

Broadband Microwave Photonic Channelizer with 18 Channels Based on Acousto-Optic Frequency Shifter

,
,
,
and
1
School of Physics and Electronic Engineering, Xianyang Normal University, Xianyang 712000, China
2
School of Electronics and Information, Northwestern Polytechnical University, Xi’an 710000, China
*
Author to whom correspondence should be addressed.
This article belongs to the Special Issue Microwave Photonic Techniques

Abstract

A microwave photonic channelizer can achieve instantaneous reception of ultra-wideband signals and effectively avoid electronic bottleneck; therefore, it can be perfectly applied to a wideband radar system and electronic warfare. In channelization schemes based on an optical frequency comb (OFC), the number of comb lines usually depends on that of the sub-channels. In order to improve the utilization rate of the comb lines of OFC, we propose a scheme to shift the frequency of OFC by using an acousto-optic frequency shifter (AOFS), which can obtain three times the number of sub-channels of the comb lines of an OFC. In order to simplify the experiment, only a three-line OFC is used in the experiment. A three-line local oscillator (LO) OFC is frequency-shifted up and down by two AOFSs, and nine optical LO signals with different frequencies are obtained, thereby realizing the simultaneous reception of eighteen sub-channels. The proposed scheme enjoys a large number of sub-channels and minimal channel crosstalk. Experimental results demonstrate that a 9-GHz bandwidth RF signal covering 10–19 GHz is divided into 18 sub-channels with a sub-bandwidth of 500 MHz. The image rejection ratio of the sub-channels is about 23 dB, and the spurious-free dynamic range (SFDR) of the receiver can reach 98 dB·Hz2/3.

1. Introduction

As the performance of radio frequency (RF) signal systems is increasing, the corresponding requirement of the reception capability for RF ultra-wideband signals in fields such as broadband wireless communications, navigation, radars, and electronic warfare is also increasing [1,2,3,4,5,6,7]. Compared with traditional microwave receivers, microwave photonic receivers have many advantages such as wide available frequency range, broad bandwidth, immunity to electromagnetic interference, small size, and light weight [8,9,10,11,12]. The schemes reported so far are mainly based on optical frequency combs (OFC) [13,14,15,16,17,18].
The scheme in ref. [13] uses an OFC and a Fabry-Perot (FP) filter to receive the common intermediate frequency (IF) on two adjacent sub-channels. It requires the use of multiple narrowband optical filters with consecutive frequencies. The disadvantage is that the implementation is difficult, and the working frequency band is fixed and cannot be adjusted. Ref. [16] uses two five-line OFCs with different free spectral ranges (FSR) to achieve the simultaneous reception of five sub-channels with a bandwidth of 1 GHz. In addition, an image-reject mixer (IRM) is used to suppress image interference to a certain extent. However, the number of channels is limited by the number of comb lines of an OFC, and it is not easy to expand. Although an OFC with ten lines or more than twenty lines can be generated by using cascaded Mach-Zehnder modulators (MZM), it usually requires a larger modulation index of the MZM and driving power, which increases the volume, power consumption, and complexity of the system and makes it difficult to implement in practical applications [19,20,21]. Kerr frequency combs with hundreds of comb lines can be generated by micro-ring resonator (MRR) and also have been used in a microwave photonic channelizer [17]. However, the stability of the Kerr comb is greatly affected by temperature, and the comb also suffers the disadvantages of high cost and inability to tune. The other category does not require an OFC. In ref. [14], a scheme for channelized reception by using chirp pulses is proposed. All in all, there are some other schemes that have to face the key problem of a small number of sub-channels [18].
By using an acousto-optic frequency shifter (AOFS), the scheme with one single LO signal to achieve six sub-channels reception has been verified in our previous work [22]. However, since there is only one LO signal, the number of sub-channels is difficult to expand. In order to get rid of the limitation of a sub-channel number, a microwave photonic RF channelizer based on an OFC and an AOFS is performed in this paper. Compared with other channelization schemes based on an OFC to realize the reception of 3n sub-channels, our scheme only needs to generate a n-line OFC, whereas others need to generate a 3n-line OFC, which greatly reduces the demand for the number of comb lines. In order to simplify the experiment, only a three-line OFC is generated in this manuscript. However, the OFC with more lines can be generated by cascaded modulators. Thus, to realize the reception of the same number of sub-channels, our scheme has a lower implementation difficulty than other schemes based on an OFC. In this scheme, two AOFSs are used to shift the frequency of a three-line local OFC up and down so that nine local oscillator (LO) signals can be obtained. In order to down-convert the broadband RF signal into the common IF, a dual-output IRM is used to overcome the in-band interference in IF signals and improve the channelization efficiency [23,24,25]. An experiment is carried out. The reception capability in 10–19 GHz has been demonstrated, the image rejection ratio is around 23 dB, and the spurious free dynamic range (SFDR) can reach 98 dB·Hz2/3.

2. Operation and Principle

The schematic diagram of the proposed microwave photonic channelizer is illustrated in Figure 1.
Figure 1. (a) Schematic diagram of the proposed microwave photonic RF channelizer and (be) illustrations of the optical spectra at different points of the channelizer and the dual-output channels of each IRM.
A continuous optical carrier is generated by a laser diode (LD) and split into two branches by a 50/50 optical coupler (OC). In the upper branch, an MZM is driven by a single-tone LO1 signal. When the modulation index of the MZM is 0.296, a three-line OFC can be generated and can be expressed as:
E O F C t = E i n t exp j 2 π f L O 1 t j π 2 + 1 + exp j 2 π f L O 1 t + j π 2
where E i n t is the electrical field of the input optical carrier, and f L O 1 is the frequency of the drive signal LO1. The frequencies of the three-line OFC are f c f L O 1 , f c , and f c + f L O 1 , respectively. The three-line OFC is injected into a dual-parallel Mach-Zehnder modulator (DPMZM) and modulated by the received wideband RF signal. The DPMZM works at carrier suppression single sideband (CS-SSB) modulation. The input wideband RF signal is modulated onto each comb line of the OFC and can be expressed as:
E O F C mod t = E O F C t exp j 2 π f R F t
The frequencies of the three +1st order sidebands are f c f L O 1 + f R F , f c + f R F and f c + f L O 1 + f R F , respectively. The modulated wideband RF signal is amplified by an erbium-doped fiber amplifier (EDFA1) and divided into nine optical signals by OC1.
In the lower branch, the optical carrier is first sent to an optical frequency shifter which consists of an intensity modulator (IM) and an optical bandpass filter (OBPF). The +1st order sideband of the intensity modulated optical signal is selected via the OBPF and can be expressed as:
E + 1 s t ( t ) = E i n ( t ) J 1 ( m 1 ) exp ( j 2 π f L O 2 t )
where f L O 2 is the frequency of the drive signal LO2, J 1 ( m 1 ) represents the first-order Bessel function, and m 1 is the modulation index of LO2. The +1st order sideband, as a new optical carrier, is then injected into the MZM2 and modulated by a LO3 signal. The MZM2 is operated similarly with the MZM1, and so a three-line local OFC is output from the MZM2. Then, it is amplified by EDFA2 and split into three branches through an optical splitter. The frequencies of the three lines in the local OFC signal are f c f L O 2 f L O 3 , f c f L O 2 , and f c f L O 2 + f L O 3 , respectively, where f L O 3 is the frequency of the drive signal LO3.
In the first branch, the local OFC signal is frequency down-shifted by Δ f through the AOFS1, as shown in Figure 1c, and then sent to the corresponding IRMs by wavelength division multiplexing (WDM1). The frequencies of the optical LO signals, marked as 1,1–1,3, are f c f L O 2 f L O 3 Δ f , f c f L O 2 Δ f , and f c f L O 2 + f L O 3 Δ f , respectively. In the second branch, the local OFC signal is directly injected into the corresponding IRMs by WDM2 without the AOFS, as shown in Figure 1d. The frequencies of the optical LO signals, marked as 2,1–2,3, are f c f L O 2 f L O 3 , f c f L O 2 , and f c f L O 2 + f L O 3 , respectively. In the third branch, the local OFC signal is frequency up-shifted by Δ f through the AOFS2, as shown in Figure 1e, and then sent to the corresponding IRMs by WDM3. The frequencies of the optical LO signals, marked as 3,1–3,3, are f c f L O 2 f L O 3 + Δ f , f c f L O 2 + Δ f , and f c f L O 2 + f L O 3 + Δ f , respectively. The output optical LO signals at points Figure 1c–e can be written as:
E c ( t ) = E i n ( t ) J 1 ( m 1 ) exp j 2 π ( f L O 2 Δ f ) t exp j 2 π f L O 3 t j π 2 + 1 + exp j 2 π f L O 3 t + j π 2 E d ( t ) = E i n ( t ) J 1 ( m 1 ) exp j 2 π f L O 2 t exp j 2 π f L O 3 t j π 2 + 1 + exp j 2 π f L O 3 t + j π 2 E e ( t ) = E i n ( t ) J 1 ( m 1 ) exp j 2 π ( f L O 2 + Δ f ) t exp j 2 π f L O 3 t j π 2 + 1 + exp j 2 π f L O 3 t + j π 2
The structure of IRM is shown in Figure 1a, which is made up of an optical hybrid coupler (OHC), balanced photodetector (BPD), electrical hybrid coupler (EHC), and electrical band pass filter (EBPF).
In the IRMs, the RF-modulated optical signals are sent to the signal port of the nine IRMs, and the nine optical LO signals are sent to the local port of the nine IRMs. The optical signals output from OHC can be written as:
I 1 = E O F C mod t + E l o c a l s i g ( t ) I 2 = E O F C mod t E l o c a l s i g ( t ) Q 1 = E O F C mod t + j E l o c a l s i g ( t ) Q 2 = E O F C mod t j E l o c a l s i g ( t )
After photovoltaic conversion, the signals of I and Q can be written as:
i I ( t ) cos 2 π ( f R F f L O ) t i Q ( t ) sin 2 π ( f R F f L O ) t
When i I ( t ) and i Q ( t ) are combined by an EHC, the desired IF signal and the image interference could be separated. Finally, the EBPF with a passband of 0.5–1 GHz can capture the desired electrical signal.
It is important to note that if the start frequency of the broadband RF signal is f 0 and bandwidth is 18 B , where B represents the bandwidth of sub-channel, the frequency of f R F t ranges from f 0 to f 0 + 18 B . The following frequency configuration in the scheme must be satisfied:
f L O 2 = f 0 + 9 B f L O 3 = f L O 1 ± 6 B Δ f = B
The broadband RF signal with a bandwidth of 18B is regarded as three RF signals with a bandwidth of 6B and continuous spectrum, which are labeled RF1, RF2, and RF3, respectively. f L O 2 = f 0 + 9 B is satisfied so that the center frequency of the three-line OFC is exactly aligned with the center frequency of the RF2 signal. f L O 3 = f L O 1 ± 6 B means the frequency of the other two lines are aligned with the center frequency of the RF1 and RF3, so as to achieve the dual output of image suppression.
Furthermore, for the separation of the RF-modulated optical signals and the three-line local OFC, the frequency interval of the WDM must be larger than the bandwidth of the RF signal.

3. Experiment and Results

An experiment for the scheme is carried out, as shown in Figure 1; the main experimental parameters are shown in Table 1.
Table 1. The main parameters of the components used in the experiment.
A continuous light wave with a frequency of 193.515 THz and a power of 20 dBm is generated from an LD (RIO, 01075-0.2-004) and split into two equal branches. In the upper branch, the optical carrier is sent to the MZM1 (Sumitomo, T. MXH1.5-40) with a half-wave voltage of 3.5 V and an insertion loss of 6 dB. The MZM1 is driven by a single-tone signal with a frequency of 40 GHz to generate the signal OFC, as Figure 2a shows. The generated signal OFC is injected into a DPMZM (Fujistu FTM7962) with a half-wave voltage of 3.5 V. A wideband RF signal generated from a vector signal source (Agilent, E8267C) is applied to drive the DPMZM and to realize the CS-SSB modulation. The proposed channelizer is expected to achieve the full reception of RF signals with a bandwidth of 9 GHz. However, due to the limitation of the facilities of our laboratory, it is difficult to generate RF signals with such a large bandwidth. Therefore, we use multiple two-tone signals with various frequencies in the 9 GHz bandwidth to carry out the channelization experiments. The modulated RF signals are power compensated to 17 dBm by EDFA1 (Keopsys, KPS-STD-BT-C-19-HG) and then split into nine branches by OC1 before being sent to OHCs (Kylia COH24).
Figure 2. Measured optical spectra of (a) the signal OFC, (b) the CS−DSB signal, (c) the +1st order sideband, and (d) the local OFC.
In the lower branch, the optical carrier is first sent to an IM (Eospace AZ-DV5-65) which is driven by a 14.5-GHz signal generated by a microwave signal source (Agilent E8257D). The CS-DSB signal generated from the IM is shown in Figure 2b. The +1st order optical sideband is selected by an OBPF (Yenista XTM-50) to achieve an optical frequency up-shift, as shown in Figure 2c. The new optical carrier after the frequency shift is sent to the MZM2 (Eospace AZ-DV5-65-PFA) to generate a three-line local OFC, as shown in Figure 2d. The MZM2 is driven by a single-tone signal generated by a vector signal source (Agilent E82550) with a frequency of 43 GHz and a power of 20 dBm. The local OFC is amplified to 20 dBm by an EDFA2 (Keopsys, CEFA-C-HG-PM-60) and then split into three paths by OC2.
In the first path, the AOFS1 (IPF-500-1550-2FP) is driven by a single-tone RF signal with a frequency of 500 MHz and a power of 30 dBm. Therefore, the local OFC is frequency down-shifted by 500 MHz after the AOFS1. Each comb line of the local OFC is selected by the followed WDM1 (Kylia, MICS) and then injected into the corresponding IRMs. In the second path, the local OFC is directly separated by the WDM2 and injected into the corresponding IRMs without a frequency shift. In the third path, a single-tone RF signal with a frequency of 500 MHz and a power of 30 dBm is applied to the AOFS2 to achieve the frequency up-shift of the local OFC. After the frequency shift, the three-line OFC is separated by the WDM3 and injected into the corresponding IRMs. For a sub-octave wideband RF signal, its second-order intermodulation distortion (IMD2) falls far away from the wideband RF signal and can be filtered out by an OBPF. The spurious-free dynamic range (SFDR) is mainly limited by the third-order intermodulation distortion (IMD3). However, for a multi-octave wideband RF signal, its IMD2 will fall within the spectrum range of the wideband signal and can be hardly filtered out by OBPF, resulting in a low SFDR of the system.
The balanced detection technology can effectively suppress the IMD2. The SFDR is measured by using two-tone RF signals with frequencies of 15.2 and 15.21 GHz. The frequency of the LO signal used for down-conversion is 14.5 GHz and the power is 10 dBm. After down-conversion, frequencies of the two fundamental terms are 0.7 GHz and 0.71 GHz, the IMD3 frequencies are 0.69 GHz and 0.72 GHz, and the frequency of IMD2 is 10 MHz. When the power of input RF signal is increased from −20 to 25 dBm, the power of the output fundamental term, IMD2, and IMD3 are measured, respectively, and the solid points in Figure 3 are the measured experimental data. Figure 3a shows the result without balanced detection. Although the third-order SFDR (SFDR3) can reach 93 dB·Hz2/3, the overall SFDR of the system can only reach 64 dB·Hz1/2, which is limited by the second-order SFDR (SFDR2). When the balanced detection is performed, the SFDR3 increases from 93 dB·Hz2/3 to 98 dB·Hz2/3, with 5 dB improvement. More importantly, the SFDR2 increases from 64 dB·Hz1/2 to 92 dB·Hz1/2, which means the overall SFDR of the system is improved by 28 dB. Although many IMD3-suppression schemes have been reported [26,27,28,29], few are applicable to channelized reception. How to combine IMD3 suppression with channelized reception is our future research. Furthermore, the SFDR can also be improved by optimizing the link power and using a laser with narrow linewidth and high-power.
Figure 3. The SFDR measurement results (a) without balanced detection and (b) with balanced detection.
Two-tone RF signals are used to demonstrate the dual-output image rejection frequency down-conversion in this scheme. After the frequency down-shift by 500 MHz through the AOFS1, the local OFC is divided into three optical LO signals marked as 1,1–1,3 by WDM1. After the three IRMs, three pairs of IF channels are generated, marked as Ch-1 & Ch-4, Ch-7 & Ch-10, and Ch-13 & Ch-16, which are image signals of each other. In the experiment, we choose Ch-7 & Ch-10 for testing. Two-tone signals located at CH-7 with the frequencies of 13.2 and 13.21 GHz and two-tone signals located at CH-10 with the frequencies of 14.8 and 14.81 GHz are used as the RF signals (modulated RF signal 2). The optical LO signals output from WDM1 (optical LO signal 2) are sent to the IRM2 for down-conversion, and, finally, Ch-7 and Ch-10 are output from the two ports of the EHC.
After down-conversion, the electrical spectra of the two IF signals output from EHC are shown in Figure 4a,b. It can be seen that when Ch-7 is the desired channel, the image signal (Ch-10) is suppressed by 23 dB. In turn, when Ch-10 is the desired channel, the image signal (Ch-7) is suppressed by 24 dB.
Figure 4. Electrical spectra of (a) Ch−7 as the desired channel and (b) Ch−10 as the desired channel.
The optical LO signals marked as 2,1–2,3 are split by the WDM2 and injected into the corresponding three IRMs without a frequency shift. The three IRMs are connected to the WDM2 and output three pairs of IF channels, which are Ch-2 & Ch-5, Ch-8 & Ch-11, and Ch-14 & Ch-17. Two pairs of two-tone RF signals with frequencies of 13.8 and 13.81 GHz in Ch-8 and 15.2 and 15.21 GHz in Ch-11 are used as the RF signal (modulated RF signal 5). The optical LO signals output from the WDM2 (optical LO signal 2) are sent to IRM5 for down-conversion. Ch-8 and Ch-11 are the outputs from the two ports of the EHC. The measured spectra of the frequency down-converted IF signals are shown in Figure 5. It can be seen that when Ch-8 is the desired channel, the image signal (Ch-11) is suppressed by 24 dB. When Ch-11 is the desired channel, the image signal (Ch-8) is suppressed by 23 dB.
Figure 5. Electrical spectra of (a) Ch−8 as the desired channel and (b) Ch−11 as the desired channel.
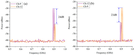
After the frequency down-shift by 500 MHz through the AOFS2, the local OFC signal is divided into three optical LO signals marked as 3,1–3,3 by WDM3. The three IRMs are connected to WDM3 and output three pairs of IF channels that are Ch-3 & Ch-6, Ch-9 & Ch-12, and Ch-15 & Ch-18. Two-tone RF signals with frequencies of 14.1 and 14.11 GHz in Ch-9 and 15.9 and 15.91 GHz in Ch-12 are used as the RF signal (modulated RF signal 8). The optical LO signals output from WDM3 (optical LO signal 8) are sent to IRM8 for down-conversion. Ch−9 and Ch-12 are the outputs from the two ports of the EHC. The electrical spectra of the frequency down-converted IF signals are shown in Figure 6. It can be seen that when Ch-9 is the desired channel, the image signal (Ch-12) is suppressed by 24 dB. When Ch-12 is the desired channel, the image signal (Ch-9) is suppressed by 23 dB. Similar results with the image rejection ratio of 23–25 dB are obtained in other sub-channels.
Figure 6. Electrical spectra of (a) Ch−9 as the desired channel and (b) Ch−12 as the desired channel.
The power response of Ch-8 is measured as an example to show the power flatness of the sub-channel in the channelizer. The input power of the RF signal is constant, whereas its frequency is tuned from 13.5 GHz to 14 GHz with a step of 25 MHz. The output power of the frequency down-converted IF signal as a function of its frequency is measured and shown in Figure 7. It can be seen that the power jitter of the output IF signal is less than 1 dB, which means that the output sub-channel exhibits a flat power response. Similar results of other sub-channels are also observed in the experiment.
Figure 7. Measured power response of Ch−8.
In order to demonstrate that the proposed channelizer not only can receive the broadband RF signal but also restore the modulated RF signal, an experiment is carried out. A broadband RF signal with a center frequency of 13.75 GHz is modulated by QPSK with the symbol rate of 50 MSym/s. After channelization, the IF signal is demodulated by the vector signal analyzer, and the constellation diagram is shown in Figure 8. When the power of input RF signal changes from −25 dBm to −2 dBm, the EVM gradually decreases and reaches the minimum value of 6.8%, which is the best point of communication. When the power of RF signal changes from −2 dBm to 5 dBm, the EVM begins increasing, which is caused by high-order intermodulation distortion.
Figure 8. Measured EVM and constellation diagram.

4. Conclusions

A microwave photonic channelizer with 18 channels based on an AOFS has been proposed. The novelty is that our scheme greatly reduces the demand for the number of comb lines when realizing the reception of 3n sub-channels, since our scheme only needs to generate n-line OFCs, whereas other schemes need to generate 3n-line OFCs. All in all, to realize the reception of the same number of sub-channels, our scheme has lower implementation difficulty. It is worth mentioning that frequency shifting using an AOFS does not generate extra optical sidebands, so the crosstalk between subchannels is minimal. Experiment shows that a broadband RF signal covering 10–19 GHz is completely received by 18 sub-channels with a bandwidth of 500 MHz. The in-band interference suppression ratio is 23–25 dB for all sub-channels and the SFDR is about 98 dB·Hz2/3.

Author Contributions

This article was jointly written by and proof-read by all authors. All authors contributed in various degrees to the review. All authors have read and agreed to the published version of the manuscript.

Funding

This work are supported in part by Key Research and Development Program of Shaanxi under Grant 2021NY-213, 2023-JC-QN-0732 and 2021GY-096, National Nature Science Foundation of China under Grant 62171374, Natural Science Basic Research Plan in Shaanxi Province of China under Grant 2021JM-517, Xianyang Normal University Research Program XSYK19049 and XSYBJ201903, Special Scientific Research Program of Shaanxi Provincial Department of Education 22JK0598.

Institutional Review Board Statement

Not applicable.

Data Availability Statement

Data underlying the results presented in this paper are not publicly available at this time but may be obtained from the authors upon reasonable request.

Conflicts of Interest

The authors declare no conflict of interest.

References

  1. Capmany, J.; Novak, D. Microwave photonics combines two worlds. Nat. Photon. 2007, 1, 319–330. [Google Scholar] [CrossRef]
  2. Yao, J. Microwave photonics. J. Lightwave Technol. 2009, 27, 314–335. [Google Scholar] [CrossRef]
  3. Marpaung, D.; Pagani, M.; Morrison, B.; Eggleton, B.J. Nonlinear Integrated Microwave Photonics. J. Lightwave Technol. 2014, 32, 3421–3427. [Google Scholar] [CrossRef]
  4. Minasian, R.A. Ultra-Wideband and Adaptive Photonic Signal Processing of Microwave Signals. IEEE J. Quantum Electron. 2016, 52, 0600813. [Google Scholar] [CrossRef]
  5. Xie, X.; Dai, Y.; Xu, K.; Niu, J.; Wang, R.; Yan, L.; Lin, J. Broadband Photonic RF Channelization Based on Coherent Optical Frequency Combs and I/Q Demodulators. IEEE Photon. J. 2012, 4, 1196–1202. [Google Scholar] [CrossRef]
  6. Pan, S.; Zhu, D.; Liu, S.; Xu, K.; Dai, Y.; Wang, T.; Liu, J.; Zhu, N.; Xue, Y.; Liu, N. Satellite Payloads Pay Off. IEEE Microw. Mag. 2015, 16, 61–73. [Google Scholar] [CrossRef]
  7. Chen, H.; Li, R.; Lei, C.; Yu, Y.; Chen, M.; Yang, S.; Xie, S. Photonics-Assisted Serial Channelized Radio-Frequency Measurement System With Nyquist-Bandwidth Detection. IEEE Photon. J. 2014, 6, 7903707. [Google Scholar] [CrossRef]
  8. Gao, Y.; Wen, A.; Zhang, W.; Jiang, W.; Ge, J.; Fan, Y. Ultra-Wideband Photonic Microwave I/Q Mixer for Zero-IF Receiver. IEEE Trans. Microw. Theory Tech. 2017, 65, 4513–4525. [Google Scholar] [CrossRef]
  9. Gao, Y.; Wen, A.; Jiang, W.; Fan, Y.; He, Y. All-optical and broadband microwave fundamental/sub-harmonic I/Q down-converters. Opt. Express 2018, 26, 7336–7350. [Google Scholar] [CrossRef]
  10. Wang, Y.; Li, J.; Zhou, T.; Wang, D.; Xu, J.; Zhong, X.; Yang, D.; Rong, L. All-optical microwave photonic downconverter with tunable phase shift. IEEE Photonics J. 2016, 9, 5503408. [Google Scholar] [CrossRef]
  11. Zhou, P.; Li, N.; Pan, S. Photonic microwave harmonic down-converter based on stabilized period-one nonlinear dynamics of semiconductor lasers. Opt. Lett. 2019, 44, 4869–4872. [Google Scholar] [CrossRef] [PubMed]
  12. Cao, Z.; Wang, Q.; Lu, R.; Boom, H.P.A.V.D.; Tangdiongga, E.; Koonen, A.M.J. Phase modulation parallel optical delay detector for microwave angle-of-arrival measurement with accuracy monitored. Opt. Lett. 2014, 39, 1497–1500. [Google Scholar] [CrossRef] [PubMed]
  13. Tang, Z.; Zhu, D.; Pan, S. Coherent Optical RF Channelizer With Large Instantaneous Bandwidth and Large In-Band Inter-ference Suppression. J. Lightwave Technol. 2018, 36, 4219–4226. [Google Scholar] [CrossRef]
  14. Hao, W.; Dai, Y.; Yin, F.; Zhou, Y.; Li, J.; Dai, J.; Li, W.; Xu, K. Chirped-pulse-based broadband RF channelization implemented by a mode-locked laser and dispersion. Opt. Lett. 2017, 42, 5234–5237. [Google Scholar] [CrossRef]
  15. Wang, L.X.; Zhu, N.H.; Li, W.; Wang, H.; Zheng, J.Y.; Liu, J.G. Polarization division multiplexed photonic radio-frequency channelizer using an optical comb. Opt. Commun. 2013, 286, 282–287. [Google Scholar] [CrossRef]
  16. Chong, Y.; Yang, C.; Li, X. A microwave photonic channelization device with common intermediate frequency. J. Optoelectron. Laser. 2014, 25, 2294–2299. [Google Scholar]
  17. Xu, X.; Tan, M.; Wu, J.; Boes, A.; Nguyen, T.G.; Chu, S.T.; Little, B.E.; Morandotti, R.; Mitchell, A.; Moss, D.J. Broadband Photonic RF Channelizer With 92 Channels Based on a Soliton Crystal Microcomb. J. Lightwave Technol. 2020, 38, 5116–5121. [Google Scholar] [CrossRef]
  18. Yang, B.; Chi, H.; Yang, S.; Cao, Z.; Ou, J.; Zhai, Y. Broadband Microwave Spectrum Sensing Based on Photonic RF Channelization and Compressive Sampling. IEEE Photon. J. 2020, 12, 5500109. [Google Scholar] [CrossRef]
  19. Gaeta, A.L.; Lipson, M.; Kippenberg, T.J. Photonic-chip-based frequency combs. Nat. Photon. 2019, 13, 158–169. [Google Scholar] [CrossRef]
  20. Wang, Q.; Huo, L.; Xing, Y.; Zhou, B. Ultra-flat optical frequency comb generator using a single-driven dual-parallel Mach–Zehnder modulator. Opt. Lett. 2014, 39, 3050–3053. [Google Scholar] [CrossRef]
  21. Xu, X.; Tan, M.; Wu, J.; Morandotti, R.; Mitchell, A.; Moss, D.J. Microcomb-Based Photonic RF Signal Processing. IEEE Photon. Technol. Lett. 2019, 31, 1854–1857. [Google Scholar] [CrossRef]
  22. Xue, X.; Zhang, Y.; Chen, B.; Zhang, Y. Microwave photonic channelizer with large instantaneous bandwidth based on AOFS. IEEE Photonics J. 2021, 13, 5500107. [Google Scholar] [CrossRef]
  23. Tang, Z.; Pan, S. Image-Reject Mixer With Large Suppression of Mixing Spurs Based on a Photonic Microwave Phase Shifter. J. Lightwave Technol. 2016, 34, 4729–4735. [Google Scholar] [CrossRef]
  24. Tang, Z.; Pan, S. A Reconfigurable Photonic Microwave Mixer Using a 90° Optical Hybrid. IEEE Trans. Microw. Theory Tech. 2016, 64, 3017–3025. [Google Scholar] [CrossRef]
  25. Chen, W.; Zhu, D.; Xie, C.; Liu, J.; Pan, S. Microwave channelizer based on a photonic dual-output image-reject mixer. Opt. Lett. 2019, 44, 4052–4055. [Google Scholar] [CrossRef]
  26. Zhai, W.; Wen, A.; Zhang, H.; Zhang, W.; Liang, D. Improvement of Linearity and Mitigation of Dispersion-Induced Power Fading in Multi-Channel Phase-Modulated Analog Photonic Link Based on a Polarization Modulator. J. Lightwave Technol. 2018, 36, 3976–3987. [Google Scholar] [CrossRef]
  27. Zhu, D.; Chen, J.; Pan, S. Linearized phase-modulated analog photonic link with the dispersion-induced power fading effect suppressed based on optical carrier band processing. Opt. Express 2017, 25, 10397–10404. [Google Scholar] [CrossRef]
  28. Chen, Z.; Yan, L.; Pan, W.; Luo, B.; Zou, X.; Guo, Y.; Jiang, H.; Zhou, T. SFDR enhancement in analog photonic links by simultaneous compensation for dispersion and nonlinearity. Opt. Express 2013, 21, 20999–21009. [Google Scholar] [CrossRef]
  29. Li, N.; Yao, J. High dynamic range and wavelength-reused bidirectional radio-over-fiber link. Opt. Lett. 2019, 44, 1331–1334. [Google Scholar] [CrossRef]
Disclaimer/Publisher’s Note: The statements, opinions and data contained in all publications are solely those of the individual author(s) and contributor(s) and not of MDPI and/or the editor(s). MDPI and/or the editor(s) disclaim responsibility for any injury to people or property resulting from any ideas, methods, instructions or products referred to in the content.

Article Metrics

Citations

Article Access Statistics

Multiple requests from the same IP address are counted as one view.