Next Article in Journal
Multiclass Evaluation of Vision Transformers for Industrial Welding Defect Detection
Next Article in Special Issue
Characterization of the Appointment’s Reasons for “P—Psychological” on the ICPC-2 Scale in Primary Health Care Services
Previous Article in Journal / Special Issue
Predicting Red Blood Cell Transfusion in Elective Cardiac Surgery: A Machine Learning Approach
 
 
Font Type:
Arial Georgia Verdana
Font Size:
Aa Aa Aa
Line Spacing:
Column Width:
Background:
Article

Market Regime Identification and Variable Annuity Pricing: Analysis of COVID-19-Induced Regime Shifts in the Indian Stock Market

by
Mohammad Sarfraz
1,†,
Guglielmo D’Amico
2,*,† and
Dharmaraja Selvamuthu
1,†
1
Department of Mathematics, Indian Institute of Technology Delhi, Hauz Khas, New Delhi 110016, India
2
Department of Economics, University G. d’Annunzio of Chieti-Pescara, Viale Pindaro, 65127 Pescara, Italy
*
Author to whom correspondence should be addressed.
These authors contributed equally to this work.
Math. Comput. Appl. 2025, 30(2), 23; https://doi.org/10.3390/mca30020023
Submission received: 21 January 2025 / Revised: 23 February 2025 / Accepted: 25 February 2025 / Published: 27 February 2025
(This article belongs to the Special Issue Feature Papers in Mathematical and Computational Applications 2025)

Abstract

Understanding how crises like the COVID-19 pandemic affect variable annuity pricing is crucial, especially in emerging markets like India. The motivation is that financial stability and risk management in these markets depend heavily on accurate pricing models. While prior research has primarily focused on Western markets, there is a significant gap in analyzing the impact of extreme volatility and regime-dependent dynamics on variable annuities in emerging economies. This study investigates how regime shifts during the COVID-19 pandemic influence variable annuity pricing in the Indian stock market, specifically using the Nifty 50 Index data from 7 September 2017 until 7 September 2023. Advanced methodologies, including regime-switching hidden Markov models, artificial neural networks, and Monte Carlo simulations, were applied to analyze pre- and post-COVID-19 market behavior. The regime-switching hidden Markov models effectively capture latent market regimes and their transitions, which traditional models often overlook, while neural networks provide flexible functional approximations that enhance pricing accuracy in highly non-linear environments. The Expectation–Maximization (EM) algorithm was employed to achieve robust calibration and enhance pricing accuracy. The analysis showed significant pricing variations across market regimes, with heightened volatility observed during the pandemic. The findings highlight the effectiveness of regime-switching models in capturing market dynamics, particularly during periods of economic uncertainty and turbulence. This research contributes to the understanding of variable annuity pricing under regime-dependent dynamics in emerging markets and offers practical implications for improved risk management and policy formulation.

1. Introduction

Over the last ten years, the life insurance sector has been modifying its product designs to meet client demands more effectively. Traditional life insurance products, such as pure endowments, death-deferred capital, and unit-linked insurance, have transformed into more adaptable options known as variable annuities (VAs). These VA products are tax-deferred and provide customers the choice to deploy their funds to investing methods before or after retirement, ensuring a lifelong income or death capital while protecting against market downturns.
In recent years, VAs have witnessed substantial sales volumes, surpassing 20 billion per quarter. This surge in popularity is driven mainly by the inclusion of rider features, which offer enhanced benefits and customization options to policyholders. However, the incorporation of rider features in VAs introduces a spectrum of risks for issuers, spanning financial risks, mortality or longevity risks, and surrender risks. Additionally, navigating the complexities of a low- or negative-interest-rate environment, market interconnections, and risk interactions poses challenges in accurately valuing life insurance contracts with embedded guarantees (see [1]). GMxB is a common abbreviation for these guarantees, where x represents the kind of benefit. A few of the most common examples are the GMDB, GMAB, GMWB, and GMIB, which guarantee a minimum death benefit, minimum accumulation benefit, minimum withdrawal benefit, and minimum income benefit, respectively. As a result of intense competition, insurers have increased the scope of these guarantees.
Researchers have extensively studied life insurance contracts with embedded guarantees for many years.
Most VA issuers suffered significant losses during the credit crisis that lasted from October 2007 until March 2009. The sources of these losses were found to be rising guarantee values, decreased earnings from mutual fund fees, negative hedging results, and exceeding hedging expenses. To reduce the risk of financial losses for VA issuers, it is critical to incorporate economic regime variations into the valuation framework while also taking into account the benefits of VAs during periods of economic boom and recession.
Furthermore, understanding market behavior during different economic conditions is crucial for accurate valuation and risk management. For example Figure 1 represents the trajectory of the Nifty 50 Index price before and after the COVID-19 pandemic. The price movements display relatively stable behavior before COVID-19, with moderate levels of volatility. However, after COVID-19, the price processes exhibit a significantly higher level of volatility. Table 1 presents the descriptive statistics for Nifty 50 Index prices before COVID-19 and after the COVID-19 pandemic. Before COVID-19, the Nifty 50 Index exhibited relatively stable behavior, with a mean price of 7200 and a low degree of volatility (standard deviation of 2468.981 ). A higher mean price (15718) and standard deviation ( 2992.078 ) after COVID-19 show that there was a significant increase in volatility. The negative skewness before and after COVID-19 suggests a left-tailed distribution, indicating more frequent lower index values, whereas the full dataset’s slight positive skewness reflects a small rightward asymmetry. The negative kurtosis values across all cases indicate a platykurtic distribution, suggesting fewer extreme price fluctuations compared to a normal distribution. The properties of time series (spikes) render the widely used class of jump-diffusion models ineffective, as they cannot depict successive spikes with the regularity seen in market data.
The complexity and flexibility of these products can be solved by using a regime-switching model. Hardy [2] and Sui et al. [3] discussed how to value and hedge long-term investment guarantees within the context of regime-switching models. Elliott et al. [4] introduced a novel approach to option pricing by proposing a switching jump-diffusion process. Building upon this work, Boyarchenko and Levendorskii [5] extended Carr’s randomization procedure to evaluate American options in the context of regime-switching models. Lin et al. [6] examined the valuation of equity-indexed annuities (EIAs) and VAs by employing a regime-switching model that modeled the dynamics of the reference investment fund value as a geometric Brownian motion, modulated by a continuous-time, finite-state Markov chain. Ng and Li [7] were pioneers in exploring the valuation of VA guarantees using a multivariate regime-switching model. Fan et al. [8] studied the valuation of VAs with Guaranteed Minimum Death Benefits (GMDBs) using a Markov-modulated geometric Brownian motion for the investment fund. Mohammad et al. [9] applied a regime-switching local volatility model for pricing VAs with embedded GMABs. Bargos and Claro Romão [10] investigated the integration of machine learning techniques with risk and return performance measures, providing a data-driven framework for identifying investment opportunities in equity funds.
However, the majority of the current work on the valuation of financial assets using regime-switching models assumes that the model parameters vary with respect to the modulating observable Markov chain. There has been relatively less attention given to regime-switching hidden Markov models (HMMs). The main idea behind hidden Markov models (HMMs) is to characterize the observed stochastic behavior of a given time series using two or more different states or regimes with different underlying stochastic processes. HMMs have gained popularity in this domain due to their relative simplicity and ability to capture the distinguishing features of index pricing.
The econometric literature has devoted considerable attention to modeling economic cycles using hidden Markov chains. Our article directly aligns with this research line, drawing insights from previous studies. Guidolin and Timmermann [11] provide empirical evidence of enduring ‘bull’ and ‘bear’ periods in the returns of UK stocks and bonds. In Shahzad et al. [12], the daily return spillover of 18 cryptocurrencies is examined under low- and high-volatility regimes, with consideration given to three price parameters and the impact of the COVID-19 pandemic. It is shown that the regime-dependent spillover results provide better ways to manage portfolio diversification strategies. S.Y. Tchoumi et al. [13] formulated a mathematical model incorporating infective immigrants and vaccination to study the impact of imported infections on COVID-19 dynamics. De Blasis et al. [14] examined the impact of stablecoin design on market behavior during turbulent periods and found significant contagion effects from the TerraUSD collapse. Using an event study approach, Wu et al. [15] investigated how the COVID-19 outbreak affected stock price movements of China’s tourism industry. The findings indicated that the crisis had a negative impact on stocks in the tourism sector. Mazur et al. [16] investigates the US stock market performance during the crash of March 2020 triggered by COVID-19. MC Belili et al. [17] analyzed the dynamics of a discrete-time SIRS epidemic model, focusing on the stability of the endemic state and bifurcations. Using COVID-19 data from the USA, they applied optimal control strategies, demonstrating their effectiveness in mitigating the pandemic’s spread.
As Silva [18], who examined exchange rate and stock price behavior in developing nations using the Markov Switching Vector Autoregressive model, shows, the adoption of regime-switching models has been shown to be an efficient method in catching structural changes in financial markets. In order to assess the performance of sustainability-oriented indexes in India, Jasuja et al. [19] also used a Markov regime-switching technique, therefore underlining the need to include regime changes into financial modeling. Xie et al. [20] have pointed out that the COVID-19 epidemic emphasizes the need for including such models, as market discipline and risk management in developing nations were clearly disrupted. Reiterating the need for regime-dependent techniques in actuarial and financial modeling, Zhong et al. [21] showed, in the context of VA pricing, the efficacy of regime-switching jump-diffusion models in capturing mortality and surrender risks. This work uses regime-switching models and machine learning approaches to improve the accuracy of VA pricing in developing countries considering the higher volatility and structural changes brought about by crises such as COVID-19.
Building upon the framework established by prior researchers who have utilized regime-switching models, this study seeks to address critical questions regarding the impact of the COVID-19 pandemic on the pricing of VAs in emerging markets, focusing on the Indian stock market. Specifically, this research investigates how market volatility induced by the pandemic influenced VA pricing and assesses the suitability of regime-switching HMMs in capturing these dynamics. Key research questions include the following: How did the pandemic affect VA pricing in an emerging market?; Can regime-switching models effectively capture price variations under extreme market conditions? Previous studies have largely focused on VA pricing in developed markets or under stable economic conditions, leaving a gap in understanding how emerging markets respond to significant financial disruptions. By addressing this gap, this study aims to provide insights into VA pricing in volatile contexts, using the Nifty 50 Index to model market shifts and analyze pricing behavior pre- and post-COVID-19. This analysis contributes to a deeper understanding of how crisis-induced regime shifts affect VA pricing, offering valuable implications for financial risk management in similar contexts.
The NIFTY 50 Index was selected as the benchmark for this study due to its broad market representation, liquidity, and relevance in the Indian financial market. As India’s premier stock market index, NIFTY 50 comprises the 50 most liquid and large-cap stocks across various sectors, making it a strong indicator of overall market performance. Unlike broader indices such as NIFTY 500 or sector-specific indices, NIFTY 50 strikes a balance between comprehensive market coverage and efficient trading activity, ensuring that the findings remain both representative and practical. Additionally, it is widely used by institutional and retail investors as a benchmark for portfolio performance, derivatives trading, and economic analysis. Given its significance in capturing market sentiment and macroeconomic shifts, NIFTY 50 provides a robust framework for analyzing the impact of economic events, such as the COVID-19 pandemic, on the Indian stock market.
This research utilizes a mean-reverting model to examine the impact of COVID-19 on the evaluation of VA contracts. The primary objective of this research is to analyze how the VA contract price changed during the COVID-19 pandemic, specifically using Indian stock market data. We employ a well-known model to answer this question across different market conditions, which, to the best of our knowledge, has not been previously explored. By applying these methodologies, we aim to fill this gap and provide a comprehensive answer to how variable annuity pricing is affected during the pandemic. Our main purpose is not to develop a new methodology but to use existing ones to address this specific issue under varying market regimes.
The second contribution of our work is the application of the modeling technique proposed by Janczura and Weron [22] to a specific financial domain. We utilize Expectation–Maximization (EM) algorithm techniques to extract significant information and determine the regime-switching parameters from real-world data. By employing this regime-switching model, we are able to obtain a significant level of precision in our valuation methodology.
At present, India has one of the most rapidly developing emerging stock markets in the world, and although many scholars have shown strong interest in its market (see Selvamuthu et al. [23]), the impact of COVID-19 on variable annuity pricing in the Indian context has received scant attention. Therefore, analyzing Indian stock market data provides a unique opportunity to fill the gap in the extant literature on government policy responses to India’s stock markets and identify whether such responses had a mitigating effect on the relationship between COVID-19 and variable annuity pricing. In the context of the Indian stock market, these methodologies have not been implemented in VA market evaluation. The MRS model is applied to the pricing of variable annuities in India in our research, which has not been previously investigated. The potential of this model to capture regime shifts and their impact on VA pricing under the unique dynamics of the Indian market is demonstrated through its implementation. This innovative application expands the application of well-established methods, providing insights that can improve the accuracy of VA pricing models in emerging markets like India.
There is a noticeable difference in prices before and after the COVID-19 pandemic. Our findings demonstrate that the pandemic has significantly affected the fair prices of VA contracts across different guarantee frameworks and market regimes. Prior to the pandemic, fair prices were higher, but they dropped considerably afterward, indicating changes in investor sentiment and risk perception due to heightened market volatility and unpredictability. Furthermore, during the COVID-19 period, prices remained stable across regimes, suggesting that the pandemic had a uniform impact on the market, diminishing regime-specific variations.
The paper is structured as follows. Section 2 explains the model’s description. Next, Section 3 describes the model calibration methodology for Markov regime-switching models. Then, in Section 4, an application of the proposed approach to Nifty 50 Index data is discussed. In Section 5, the valuation of VAs with GMAB and GMDB riders is discussed. Section 6 discusses the numerical results and sensitivity analysis. Finally, in Section 7, we conclude and provide suggestions for future work.

2. Model Description

A Markov regime-switching model (MRS) represents the observed stochastic behavior of a time series by two separate states or regimes, each characterized by different underlying stochastic processes. The transition process between states is intended to be a hidden Markov chain. These models have attracted significant attention in recent years, not only in the field of econometrics but also in several other scientific domains, such as option pricing (Elliott et al. [24,25]), life insurance policies (Siu [26]), and electricity spot pricing (Janczura and Weron [22]).
Let ( Ω , F , F t t 0 , P ) be a filtered probability space satisfying the standard filtration conditions of completeness and right-continuity, with F 0 = { , Ω } . An MRS model is based on an unobservable continuous-time homogeneous Markov chain X ( t ) = { X ( t ) , t T } , defined for t T with a time horizon T [ 0 , ) . This chain enables transitions between distinct states or regimes, governed by a transition probability matrix P . The entries of P , denoted as p i j = P ( X ( t + 1 ) = j X ( t ) = i ) , specify the likelihood of moving from regime i at time t to regime j at time t + 1 . For a two-state model, where i , j { 1 , 2 } , the transition matrix is structured as
P = p 11 p 12 p 21 p 22 = 1 p 12 p 12 p 21 1 p 21 .
The Markov property ensures that the current state X ( t ) relies solely on the immediately preceding state X ( t 1 ) , simplifying the complexity of state dependencies over time.
This study focuses on two widely used MRS models in economics, both based on a discretized version of mean-reverting heteroskedastic processes, originally proposed by Janczura and Weron [22] to model electricity spot price processes, for modeling investment risk or the underlying processes S ( t ) . These processes are described by the following stochastic differential equation:
d S ( t ) = α β S ( t ) d t + σ | S ( t ) | γ d W ( t ) ,
where γ is a constant. In this model, volatility is influenced by the current stock price level, denoted as S ( t ) . When γ is positive, higher stock prices are associated with larger price fluctuations, meaning that volatility increases as the stock price rises. Conversely, when γ is negative, lower stock prices correspond to greater price fluctuations, implying that volatility is higher when the stock price declines. This relationship highlights how the magnitude of price changes varies depending on the price level and the sign of γ . In the context of financial data, γ can be interpreted as a parameter representing the ‘degree of inverse leverage’. The inverse leverage effect captures the observation that positive shocks to asset prices tend to increase volatility more than negative shocks, which contrasts with the traditional leverage effect observed in financial markets.
The absolute value is required to manage cases where the process may take negative values, e.g., the return series of underlying stock. The first model configuration involves parameter switching, where the model parameters switch depending on the regime. The second configuration separates the regimes into distinct processes, each governed independently.
In the first case, i.e., the parameter-switching setup, the process S ( t ) evolves as
S ( t ) = α X ( t ) + 1 β X ( t ) S ( t 1 ) + σ X ( t ) | S ( t 1 ) | γ X ( t ) ϵ ( t ) ,
with ϵ ( t ) representing random shocks drawn from a standard normal distribution. The same random innovations apply across all regimes in this formulation.
For the second case, the process S ( t ) is explicitly defined for each regime as
S ( t ) = S ( t , 1 ) if X ( t ) = 1 , S ( t , 2 ) if X ( t ) = 2 ,
where at least one of the regimes is characterized as
S ( t , i ) = α i + 1 β i S ( t 1 , i ) + σ i | S ( t 1 , i ) | γ i ϵ ( t , i ) , i = 1 i = 2 .
While this study specifically examines a two-regime model, the framework can be easily extended to include additional regimes, allowing for a more comprehensive representation of complex processes. This flexibility makes MRS models a robust tool for capturing dynamic behavior across various regimes. The adoption of a two-regime model is well supported by empirical evidence, as highlighted in [27,28], where regime-switching techniques effectively capture shifts in market behavior.
Although MRS models have shown success in reflecting changes in financial regimes, they are not without limitations. Especially with a small sample size, problems like state misclassification and overfitting may develop. Under such conditions, inadequate data might cause the model to overfit to noise, instead of accurately identifying real structural changes, and assign observations to inappropriate regimes. But in our analysis, we gain from an enormous dataset that greatly allays these issues. Having enough data helps to reduce overfitting and misclassification risks, therefore guaranteeing a stronger and more consistent estimate of regime shifts.

3. Calibration Methodology of MRS Models

Calibrating MRS models is challenging since the regimes are hidden and hence not easily identifiable. Hamilton [29] offered an application of the Expectation–Maximization method initially proposed by Dempster et al. [30]. This application involves a two-step iterative approach starting from the initial set of parameters, denoted as Θ . To initiate the EM algorithm, an appropriate initial set of parameters must be selected. A reasonable approach is to use estimates obtained through alternative estimation methods, such as the method of moments, to define the initial values for the parameter vector. This section gives a general description of the estimate technique and offers explicit estimators for the model parameters provided by Equation (2). We apply the calibration process as used by Janczura and Weron [22], which serves as a basis for estimating the parameters in this model.

3.1. Parameter-Switching Variant

To start the estimation procedure, first an initial parameter vector is needed. We assume the following initial parameter vector:
Θ ( 0 ) = α i ( 0 ) , β i ( 0 ) , σ i ( 0 ) , γ i ( 0 ) , P ( 0 ) , ρ i ( 0 ) ,
for i = 1 , 2 , where ρ i ( 0 ) = P X ( 1 ) = i and the remaining parameters are defined by Equations (1), (2) and (5).
At the beginning of the iterative procedure, i.e., the E-step, estimates about the hidden-state process are calculated. Since X ( t ) is unobservable, only the expected values of the state process, conditioned on the observed data, E I X ( t ) = j s ( 1 ) , s ( 2 ) , , s ( T ) ; Θ , can be determined. Where s ( 1 ) , s ( 2 ) , , s ( T ) are the realizations of the processes S ( t ) for t = 1 , 2 , T . These expectations provide smoothed inferences, which are the conditional probabilities P X ( t ) = j s ( 1 ) , s ( 2 ) , , s ( T ) ; Θ , indicating the probability of the system being in regime j at time t. In the following step, i.e., the M-step, new estimates for the parameter vector Θ are computed using the maximum likelihood approach, based on the smoothed inferences derived in the E-step. These two steps are repeated iteratively until the likelihood function converges to its local maximum. A detailed explanation of this algorithm is provided below.

3.1.1. The E-Step

Assume the vector of parameters at the n t h iteration Θ ( n ) , calculated in the M-step during the previous iteration, is known. Now, the first part of the E-step is called filtering.
  • Filtering: Compute regime probabilities using the Bayes formula. Let s ( t ) = s ( 1 ) , s ( 2 ) , , s ( t ) . Therefore, we have
    P X ( t ) = i s ( t ) ; Θ ( n ) = P X ( t ) = i s ( t 1 ) ; Θ ( n ) f s ( t ) X ( t ) = i ; s ( t 1 ) ; Θ ( n ) i = 1 2 P X ( t ) = i s ( t 1 ) ; Θ ( n ) f s ( t ) X ( t ) = i ; s ( t 1 ) ; Θ ( n ) , where f s ( t ) X ( t ) = i ; s ( t 1 ) ; Θ ( n ) is the density of the S ( t ) process conditional on the i t h regime. Observe that
    f s ( t ) X ( t ) = i ; s ( t 1 ) ; Θ ( n ) N ( α i + 1 β i S ( t 1 ) , σ i 2 | S ( t 1 ) | 2 γ i ) .
    P X ( t + 1 ) = i s ( t ) ; Θ ( n ) = j = 1 2 p j i ( n ) P X ( t ) = j s ( t ) ; Θ ( n ) ,
    until P X ( t ) = i s ( T ) ; Θ ( n ) is calculated. The starting point for the iteration is chosen as P E 1 = i s 0 ; Θ ( n ) = ρ i ( n ) .
  • Smoothing: Starting from t = T 1 and moving backward to t = 1 , perform iterations on the following steps:
    P X ( t ) = i s ( T ) ; Θ ( n ) = j = 1 2 P X ( t ) = i s ( t ) ; Θ ( n ) P X ( t + 1 ) = j s ( T ) ; Θ ( n ) p i j ( n ) P X ( t + 1 ) = j s ( t ) ; Θ ( n ) .
    The procedure mentioned above requires the derivation of the conditional probability distribution function (pdf),
    f s ( t ) X ( t ) = i ; s ( t 1 ) ; Θ ( n ) ,
    which is used in the filtering. The model definition Equation (3) states that S ( t ) , given S ( t 1 ) , follows a conditional Gaussian distribution with a mean of α i + 1 β i S ( t 1 ) and a standard deviation of σ i | S ( t 1 ) | γ i . This distribution is described by the following probability distribution function:
    f s ( t ) X ( t ) = i ; s ( t 1 ) ; Θ ( n ) = 1 2 π σ i ( n ) | s ( t 1 ) | i γ i ( n ) · exp s ( t ) 1 β i ( n ) s ( t 1 ) α i ( n ) 2 2 σ i ( n ) 2 | s ( t 1 ) | 2 γ i ( n ) .

3.1.2. The M-Step

In the second step of the EM algorithm, updated maximum likelihood estimates, Θ ( n + 1 ) , are computed for all model parameters with greater precision. Unlike standard maximum likelihood estimation, which maximizes the log-likelihood function for a given probability density function (pdf) f, this approach incorporates weights based on smoothed inferences. These weights account for the fact that each observation is associated with a specific regime, determined probabilistically. The model defined in Equation (3) allows explicit parameter estimates to be derived by solving the system of equations obtained by setting the partial derivatives of the log-likelihood function to zero. This results in the following system of equations:
α ^ i = t = 2 T P X ( t ) = i s ( T ) ; Θ ( n ) | s ( t 1 ) | 2 γ i s ( t ) 1 β ^ i s ( t 1 ) t = 2 T P X ( t ) = i s ( T ) ; Θ ( n ) | s ( t 1 ) | 2 γ i , β ^ i = t = 2 T P X ( t ) = i s ( T ) ; Θ ( n ) s ( t 1 ) | s ( t 1 ) | 2 γ i B 1 t = 2 T P X ( t ) = i s ( T ) ; Θ ( n ) s ( t 1 ) | s ( t 1 ) | 2 γ i B 2 , B 1 = s ( t ) s ( t 1 ) t = 2 T P X ( t ) = i s ( T ) ; Θ ( n ) | s ( t 1 ) | 2 γ i s ( t ) s ( t 1 ) t = 2 T P X ( t ) = i s ( T ) ; Θ ( n ) | s ( t 1 ) | 2 γ i , B 2 = t = 2 T P X ( t ) = i s ( T ) ; Θ ( n ) s ( t 1 ) | s ( t 1 ) | 2 γ i t = 2 T P X ( t ) = i s ( T ) ; Θ ( n ) | s ( t 1 ) | 2 γ i s ( t 1 ) , σ ^ i 2 = t = 2 T P X ( t ) = i s ( T ) ; Θ ( n ) | s ( t 1 ) | 2 γ i s ( t ) α i ^ 1 β ^ i s ( t 1 ) 2 t = 2 T P X ( t ) = i s ( T ) ; Θ ( n ) .
The parameter γ i is determined through the numerical maximization of the log-likelihood function.
Following the approach outlined by [29], the updated estimate for ρ i ( n + 1 ) is given by ρ i ( n + 1 ) = P X ( 1 ) = i s ( T ) ; Θ ( n ) . Additionally, the transition probabilities are calculated using the formula proposed by [31].
p i j ( n + 1 ) = t = 2 T P X ( t ) = j , X ( t 1 ) = i s ( T ) ; Θ ( n ) t = 2 T P X ( t 1 ) = i s ( T ) ; Θ ( n ) = t = 2 T P X ( t ) = j s ( T ) ; Θ ( n ) p i j ( n ) P X ( t 1 ) = i s ( t 1 ) ; Θ ( n ) P X ( t ) = j s ( t 1 ) ; Θ ( n ) t = 2 T P X ( t 1 ) = i s ( T ) ; Θ ( n ) ,
where p i j ( n ) is the transition probability from the previous iteration.
All values obtained in the M-step are then used as a new parameter vector Θ ( n + 1 ) = α ^ i , β ^ i , σ ^ i , γ ^ i , P ( n + 1 ) , ρ i ( n + 1 ) , i = 1 , 2 , in the next iteration of the E-step. Although the latent states rely on the whole history of the process, which makes the standard EM algorithm computationally demanding, we use a computationally effective method to solve this problem. Specifically, we approximately estimate the latent state expectations depending on the available information at every time step instead of considering all feasible paths of the state process. Inspired by Gray [32], this approach substitutes the unobserved past-state values with their expected values, hence lowering the E-step’s computational complexity. This improves practicality for big datasets by significantly reducing the memory needs from an exponential dependency on sample size to a more reasonable form. It has been demonstrated that this type of approximation can enhance computational efficiency while simultaneously maintaining estimation accuracy.
Remark 1. 
The standard EM algorithm was utilized in this study without the application of any acceleration techniques. To ensure convergence and avoid premature termination, a stringent stopping criterion was adopted, terminating the iterative process only when the relative change in log-likelihood fell below 10 12 , ensuring high precision. To address challenges associated with multi-factor optimization, the initial parameter values were determined using alternative estimation methods, such as the method of moments, to improve stability and convergence. Additionally, multiple initializations were tested to mitigate local optima issues, and numerical stability was maintained by constraining transition probabilities and applying regularization where necessary. The robustness of the estimated parameters was further verified through multiple calibration trials and consistency checks.

4. Application to Nifty 50 Index Data

In this study, we demonstrate how the methods outlined in Section 3 are able to effectively calibrate the MRS models to the Nifty 50 Index data. We use the daily returns of the Nifty 50 Index data from September 2017 to September 2023. To enable accurate comparisons of market behavior before and after COVID-19, daily price data for the Nifty 50 Index were divided into two sets: pre-pandemic (September 2017 to February 2020) and post-pandemic (February 2020 to September 2023). Each dataset was standardized to ensure comparability, equalizing factors such as mean and variance to allow for meaningful analysis of regime shifts induced by the pandemic. Calibration of the regime-switching HMM was achieved using the Expectation–Maximization algorithm, which iteratively optimizes model parameters for hidden regimes within the data. However, calibration presented challenges due to the increased volatility in post-COVID-19 data, which affected the convergence and stability of parameter estimates. To address these issues, we carefully selected initial values and performed multiple runs to ensure robustness. This expanded methodological approach provides greater transparency on data handling and calibration, ensuring that the model reliably captures shifts in VA pricing across different market regimes.
In order to achieve consistency and make meaningful comparisons in statistical analysis, it is crucial to standardize both datasets. This uniformity allows for a fair assessment of market behavior and allows researchers to accurately distinguish the distinct impacts of the COVID-19 epidemic on the performance of the Nifty 50 Index. By equalizing the datasets, we ensure that statistical methods can be consistently applied to both time periods, which improves the reliability and validity of the research. It is crucial to ensure parity between the datasets in order to derive significant conclusions about the influence of the pandemic on financial markets.
While the World Health Organization (WHO) officially declared COVID-19 a pandemic in March 2020, financial markets and economic activity in India started reacting to the outbreak much earlier. By February 2020, global supply chain disruptions had already begun affecting the Indian economy, particularly due to India’s trade dependence on China, which imposed lockdown measures in January 2020. The Indian stock market also showed early signs of distress, with the benchmark indices (SENSEX and NIFTY 50) experiencing increased volatility and declines in February 2020, reflecting global uncertainties. Additionally, the first confirmed COVID-19 case in India was reported on 30 January 2020, leading to heightened concerns and precautionary measures by businesses and investors. Hence, February 2020 is chosen as the cut-off date, as it marks the initial financial market reactions and economic disruptions in India, making it a more relevant point for distinguishing the pre- and post-pandemic periods.
In what follows, the returns series of the underlying stock prices has been considered for the analysis. Returns series tend to be easier to model with the models discussed in this article rather than the prices themselves.
Let us consider the stochastic process S ( t ) a return series of the underlying prices, which is determined by a Markov regime-switching model consisting of two independent states:
S ( t ) = S t , 1 if X ( t ) = 1 S t , 2 if X ( t ) = 2
The mean-reverting, heteroskedastic process with Equation (7) represents the base regime, i.e., regime 1, which defines the normal pricing behavior:
S ( t , 1 ) = α 1 + 1 β 1 S ( t 1 , 1 ) + σ 1 | S ( t 1 , 1 ) | γ 1 ϵ ( t ) ,
where ϵ ( t ) is the standard normally distributed random variable. Regime 2, or the spike regime, which is represented by independent and identically distributed random variables from the shifted log-normal distribution, is characterized by sudden price surges (spikes) due to unexpected changes in the market:
l o g S ( t , 2 ) S ( q 2 ) N α 2 , σ 2 2 , S ( t , 2 ) S ( q 2 )
In the above Equation (8), S ( q 2 ) represents the third quantile of the dataset. In general, the choice for q 2 is arbitrary, but in this section, we assume q 2 is 0.75 , i.e., the third quartile. The reason for this is the statistical nature of the model, where the base regime’s dynamics drive small deviations, and only large deviations are driven by the spike regime’s dynamics.
Our approach categorizes prices as spikes based on certain criteria related to the probabilities of market regimes. More precisely, we define a spike as an event where the likelihood of being in regime 2, represented by P ( X ( t ) = 2 s ( 1 ) , s ( 2 ) , , s ( T ) ) , is greater than 0.5 . When analyzing the historical data till time t, if the probability of the market being in regime 2 is more than 50%, we categorize the observed price at time t as a spike.
This classification technique enables us to identify cases in which the market exhibits evident support for regime 2, indicating a substantial departure from its usual pattern. Regime 2 may indicate periods characterized by high volatility, intense market sentiment, or sudden shifts in economic conditions.
Table 2 and Table 3 show the calibrated model parameters. For instance, β 1 = 0.3784 suggests a relatively fast mean-reversion rate in the base regime’s pre-COVID-19 data as compared to β 1 = 0.2548 in the base regime’s post-COVID-19 data. A negative value of γ is responsible for the positive leverage effect, meaning that as the value of the asset declines, volatility increases. Finally, by evaluating the probability p i i of remaining in the same regime, relatively high values are observed for each of the base regimes, ranging from 0.8469 for pre-COVID-19 data to 0.9083 for the post-COVID-19 data in Nifty 50 returns series. As a result, there are numerous successive observations from the same regime on average. Based on the findings presented in Table 4, it is evident that the Akaike information criterion (AIC) and Bayesian information criterion (BIC) values for the two-regime model are lower in comparison to those without the regime model. This implies that the two-regime model provides a better fit.

Regime Classification Measure

Traditional specification tests for regime-switching (RS) models have predominantly focused on examining the properties of residuals or utilizing score-based approaches. However, these methods do not directly assess the precision of regime classification. To address this gap, Ang and Bekaert [33] introduce a summary statistic that quantifies the effectiveness of regime classification in RS models.
In an RS framework, the underlying state of the system at any given time is assumed to follow a latent regime structure, where the regime is observable to economic agents but remains unobserved by the econometrician. The inference about the prevailing regime is typically based on smoothed (ex-post) regime probabilities, denoted as p t . When an RS model is well specified, it should assign high confidence to specific regimes, implying that p t should be close to either 0 or 1. If, instead, the probabilities hover around 0.5, the model struggles to distinguish between regimes, suggesting weak regime identification and potential misspecification.
To formally evaluate the accuracy of regime classification, we use the Regime Classification Measure (RCM), which quantifies the extent to which the estimated probabilities provide clear separation between regimes. For a two-state model, the RCM is defined as
RCM = 400 × 1 T t = 1 T p t ( 1 p t ) ,
where the constant ensures that the measure is normalized to the range [ 0 , 100 ] . A lower RCM value indicates a higher degree of confidence in regime classification. Since the true regime follows a Bernoulli distribution, the RCM statistic serves as an empirical estimate of its variance.
For models incorporating multiple regimes (K), the generalized form of the RCM is expressed as
RCM ( K ) = 100 K 2 1 T t = 1 T i = 1 K p i , t 2 ,
where p i , t = P ( X ( t ) = i F T ) represents the smoothed probability of being in regime i at time t. The measure extends naturally to higher-order regime-switching models and provides a direct assessment of how well the model differentiates between regimes.
The regime classification measure analysis reveals a shift in regime dynamics when comparing pre- and post-COVID-19 periods. Prior to the COVID-19 pandemic, the RCM was estimated at 49.301, indicating a moderate level of information revealed about the regimes under consideration and a degree of uncertainty in their classification. In contrast, the RCM post-COVID-19 was calculated to be 33.314, a notable decrease. This lower RCM value suggests a more distinct regime classification following the pandemic, implying that the factors influencing the regimes have become more pronounced or that the regimes themselves have become more clearly differentiated. This could be attributed to the significant disruptions and shifts in various sectors caused by the pandemic, leading to more defined patterns and behaviors within the data

5. Variable Annuity Pricing

This section explores the pricing of variable annuity contracts, focusing on a detailed description of the contracts’ features including their guarantees and terms, and methodologies for valuation.

5.1. Contract Description

The Guaranteed Minimum Death Benefit (GMDB) and Guaranteed Minimum Accumulation Benefit (GMAB) represent two key features of the VA contract analyzed in this research work. Under this contract, policyholders make a single premium payment of h 0 > 0 in exchange for benefits tied to the performance of the investment portfolio. The insurance policy incurs fees to cover management expenses, including mortality fees, management fees, and other fees related to contract riders. An annual proportion of m > 0 is charged to the account value of the VA contract by the insurer. Consequently, the insured’s fund value F ( t ) at time t [ 0 , T ] is determined by the following equation:
F ( t ) F ( 0 ) = e m t S ( t ) S ( 0 ) ,
where the initial values are F ( 0 ) = S ( 0 ) = h 0 .
Furthermore, let ω 0 represent the guaranteed roll-up rate utilized to reset the premium throughout the duration of the VA contract. This contract provides a lump sum payout upon its expiration date and a minimum guaranteed benefit in the event of death. It is assumed that withdrawals and surrenders are prohibited during the contract’s lifetime. Accordingly, the benefits are defined as follows.
GMDB: In the event of death before the maturity time T, the insurer pays out the higher of the fund value and a guaranteed amount. At the time of death t d , t < t d T , the death benefit is calculated as D b ( t d ) = max ( F ( t d ) , G ( t d ) ) , where G ( 0 ) ( 0 , h 0 ] and the common guaranteed amount G ( t d ) in the market is either of the following:
  • The roll-up of the premium at the guaranteed roll-up rate ω :
    G t d = G ( t ) e ω t d t
  • The highest account value recorded every year before death, known as the ratchet guarantee:
    G t d = max k 1 , , t d ( G ( t ) , F ( t + k ) ) .
GMAB: If the policyholder is still alive on the expiration date T, they receive the maximum of the policy fund value and the guaranteed amount. Therefore, the living benefit is given by
L b ( T ) = max { F ( T ) , G ( T ) } ,
where the guaranteed amount G ( T ) is defined similarly as in the case of death (see Equations (12) and (13)).

5.2. Valuation of VAs

Assume P ( S ( 0 ) , G , T ) as the present value of the embedded guarantee in the VA contract written on S, with an initial value S ( 0 ) , with guaranteed amount G, and time to maturity T. In this article, we rely on the no-arbitrage principle and thus consider a risk-adjusted measure P ˜ . As we concentrate on market risk, it is assumed that mortality risk may be diversified away. Hence, P and P ˜ coincide on occurrences relating to mortality. It is also assumed that the financial and mortality risks are independent under P ˜ . Hence, the present values of the death benefit and the living benefit at time t = 0 are as follows:
P ( S ( 0 ) , G , T ) = E P ˜ e r t I τ d < T D b τ d + e r T I τ d > T L b ( T ) .
In the preceding expression, the indicator function I { t d > T } ensures that the insured is still alive at time T and E P ˜ denotes an expectation under the risk-neutral Esscher measure P ˜ (refer [34]). It is assumed that the policyholder dies at the end of the year. Therefore, the death payment is paid out at the end of the year of death. Hence, the present value of the death benefit is then given by
P D ( t ) = E P ˜ e r t I τ d < T D b τ d F t = k = 0 T t 1 p x + t k q x + t + k E P ˜ e r ( t + k + 1 ) D b ( t + k + 1 ) F t ,
where t + 1 , t + 2 , , T represent the potential payment dates for death benefits up to the maturity date T, while the present value of the living benefit is determined by
P L ( T ) = E P ˜ e r T I τ d > T L b ( T ) F t = p x + t T E P ˜ e r T L b ( T ) F t .
The living benefit L b ( T ) = max { F ( T ) , G ( T ) } is valued based on the two kinds of guarantees considered. Equation (12) describes the guaranteed amount G ( T ) , which takes into account the roll-up guarantee. The maximum value of a random variable and a fixed constant can determine the living benefit. Thus, the present value of living benefits may be calculated as
P L ( T ) = p x + t T E P ˜ e r T max { F ( T ) , G ( t ) e ω T t } F t = p x + t T E P ˜ ( e r ( T t ) F t e m T t S ( T ) S ( t ) + G t e ω T t F t e m T t S ( T ) S ( t ) + F t ) = p x + t T E P ˜ e r T S T e m T + G 0 e ω T S T e m T + F t = p x + t T e m T E P ˜ e r T S ( T ) F t + E P ˜ e r T G 0 e m + ω T S ( T ) + F t = p x + t T e m T S ( 0 ) e r T + p T t ,
where the last step is due to the discounted process ( e r t S ( t ) ) being a martingale, p T t represents the price of a European put option having maturity T and strike price G 0 e m + ω T , and for any real number ( x , x ) + = m a x ( x , 0 ) .
In the case of a ratchet guarantee, the living benefit is calculated using the maximum value of account F observed each year till maturity T. The martingale property does not apply since the account value at any point in time is determined by the state of the chain. Hence, a closed-form expression cannot be deduced in this scenario. Thus, the present value of the living benefits in this case will be
P L ( T ) = p x + t T E P ˜ e r T max { F ( T ) , max k 1 , , T t 1 ( G ( t ) , F ( t + k ) ) } F t .
The Monte Carlo (MC) technique is used to evaluate Equation (16).

5.3. Pricing with Neural Networks: An Efficient Approach

The neural network methodology has proven its validity in making predictions in several research fields; see, e.g., Atomsa and Zhou [35]. Finance is not an exception, and the use of neural network pricing methodology provides an efficient way to assess liabilities without requiring repeated MC simulations. This approach involves training a neural network model to make predictions on liability using only a certain set of input factors. In contrast to the extensive data inputs needed for MC simulations, the neural network specifically targets the parameters that are pertinent to the calculation of liabilities.
The process commences by choosing suitable input factors that have a substantial impact on the liability. The inputs are utilized to train the neural network model, which acquires the ability to comprehend the intricate connections between the inputs and the related liabilities. The training data usually comprise historical data that include pairings of inputs and outputs, where the inputs represent the chosen parameters and the outputs reflect the related liabilities.
During the training process, the neural network continuously modifies its internal parameters in order to minimize the discrepancy between the predicted and real liabilities. This optimization process persists until the model attains adequate performance on the training dataset, as assessed by suitable metrics such as loss functions.
After undergoing training, the neural network model is capable of accurately forecasting liabilities using novel sets of input variables. This enables quick and precise evaluations of liabilities without the computing effort associated with MC simulations. Furthermore, the pricing approach of the neural network can be adjusted and optimized to accommodate variations in input variables or include other elements as required, offering flexibility and scalability in the calculation of liabilities. Inputs for neural network pricing:
  • Time until contract maturity (T).
  • Interest rate (r).
  • Nifty 50 Index returns.
  • Fund value ( F ( T ) ).
  • Nifty 50 volatility ( σ ).
  • Guaranteed amount ( G ( T ) ).
  • The calibrated model’s parameter values.
  • Regime probabilities.
The neural network used in this study is designed to predict the present value of the VA contract, with one hidden layer consisting of 10 neurons. This architecture, denoted as 10-10-1, was chosen based on a heuristic approach that matches the hidden layer neurons to the neurons in the input layer. Moller [36] employed this approach with successful outcomes and without encountering issues of overfitting. While experimenting with alternative architectures, we observed that expanding the number of hidden-layer nodes resulted in only slight improvements in performance, but with the drawback of longer training durations.

Training Neural Networks: Optimization Algorithms and Data Partitioning

An essential component of training neural networks consists of modifying the weights that separate nodes in order to improve the network’s comprehension of the correlation between inputs and outcomes. Commonly, the gradient descent algorithm computes, with respect to each weight, the derivative of an error function (typically the sum of squares for regression or cross-entropy for classification). Scaled by the learning rate, the weights are subsequently revised by repositioning them in the opposite direction to their gradients. Nevertheless, determining an optimal learning rate is a difficult task; if the rate is too high, the network might fail to converge and fail to detect minima, whereas if it is too low, training could be considerably prolonged.
Resilient backpropagation (RPROP)-scaled conjugate gradient descent (SCGD), and the Broyden–Fletcher–Goldfarb–Shanno (BFGS) algorithm are alternative gradient descent optimization algorithms. RPROP updates weights based solely on gradient signs, adjusting step sizes dynamically. SCGD employs second-order approximations to determine optimal learning rates, while BFGS offers a more comprehensive second-order approach, with line searches for step size determination (see [36]).
For this analysis, we utilized the BFGS algorithm, implemented in the nnet package in R.
The dataset was partitioned into training and testing sets, with 80% allocated for training and 20% for testing, randomly selecting data points for each set. This split is a common practice in neural network applications for data partitioning. Table 5 summarizes the neural network training time, resource utilization, and hardware specifications, highlighting key metrics such as total training time, GPU usage, and memory consumption.

6. Numerical Results and Sensitivity Analysis

This section provides a description of the data used in the numerical calculation and the corresponding numerical results for the proposed model.

Data Description

This paper considers Nifty 50 Index daily returns data from the Indian market for numerical analysis. The index was selected on the basis of available data. We considered information from 7 September 2017 until 7 September 2023. The data for the Nifty 50 Index is taken from Bloomberg Terminal.
The Gompertz–Makeham distribution is used to model the mortality rate (see Makeham [37]). With this setting, a closed-form expression of the survival probability can be derived. The mortality rate ν ( x ) is given by the following equation for an individual age x at time zero:
ν x = A ν + B ν C ν x , with B > 0 , A B , C > 1 and x 0 .
The mortality rate due to accidents is denoted as A ν , while the term related to aging is represented by B ν C ν x . The survival probability of an individual aged x at time zero is determined by the death time, denoted as t d , given as follows:
p x t = P t d > t = e 0 t ν ( x + u ) d u , t 0 ,
where ν is the mortality intensity. We use the following mortality parameters obtained by Melnikov and Romaniuk [38]:
A = 9.5666 × 10 4 , B = 5.162 × 10 5 , C = 1.09369 .
The Gompertz–Makeham mortality model is selected due to its extensive use in actuarial studies and VA pricing. Although we do not apply it to a specific dataset, its parameters serve as a benchmark for numerical analysis, ensuring that the results are consistent with the existing literature. This model is an appropriate choice for our pricing framework because it effectively depicts mortality dynamics that are pertinent to VA contracts. The financial parameters are derived through the process of calibrating the model using the Nifty 50 Index data. This is performed to demonstrate how two different economic conditions, namely, a spike regime characterized by high volatility and low returns and a base regime characterized by low volatility and high returns, impact pricing performance.
Specifically, the equity components (funds) of the VA guarantees being evaluated are based on the Nifty 50 Index data (India) from September 2017 to September 2023. Unless otherwise stated, the values for the model parameters are given in Table 2 and Table 3. The management fee is m = 0.2 percent (see Sun et al. [39]). The insured age is x = 50 years (see Mamon et al. [40]) at the beginning of the contract. An INR 100 premium is invested in the referenced portfolio, which has an initial fund value of F ( 0 ) = 100 . The interest rate is r = 3 percent. The initial guarantee G ( 0 ) is assumed to be 100 percent of the initial fund value (see Mamon et al. [40]).
Table 6 and Table 7 display the fair pricing of VAs with embedded Guaranteed Minimum Accumulation Benefits (GMABs) during two different market regimes before the COVID-19 outbreak. It assumes a roll-up rate ( ω = 0 ) and the guaranteed benefit G = F ( 0 ) . The prices are classified into three distinct regimes: the base regime, the spike regime, and without any particular regime.
In the base regime, which represents a relatively stable market environment with lower volatility, the fair prices of GMAB are generally the lowest across all time horizons (5, 10, and 15 years) compared to the spike regime. For instance, with a roll-up rate ω = 0 and initial guarantee G = F ( 0 ) , the fair price at a 5-year maturity is INR 139.27, which then decreases to INR 113.67 and INR 90.62 at 10 and 15 years, respectively, as shown in Table 6. This pattern aligns with the expectations in a stable market, where investors may perceive lower risk and therefore demand a smaller premium for guaranteed accumulation benefits. In stable market conditions, investors place relatively less importance on the need for guarantees since the likelihood of adverse market movements is lower, which results in lower fair prices for GMAB.
In contrast, the spike regime, which is characterized by increased market volatility and sudden price surges, produces significantly higher GMAB prices. For instance, under the same roll-up and guarantee conditions, the 5-year fair price in the spike regime is INR 163.53, considerably higher than the INR 139.27 seen in the base regime (Table 6). This pattern remains consistent across longer time horizons. The increased prices reflect the increased risk premium associated with volatile markets, where investors are willing to pay more for GMABs to secure their returns against sudden market downturns. The literature on regime-switching models (see [3,6]) suggests that in times of elevated volatility, the valuation of guarantees increases as investors seek protection from potential losses, thereby driving up the fair price of these products.
In the without regime scenario, which serves as a baseline for GMAB pricing without accounting for specific market dynamics, the prices fall between those observed in the base and spike regimes. For example, the 5-year fair price is INR 152.07 (Table 6). This intermediate pricing level suggests that without clear regime patterns, the model reflects a balanced valuation that partially accounts for the average risk level but lacks the specificity of regime-dependent adjustments. In Table 7, which considers the ratchet guarantee, the fair prices similarly show an increase under the spike regime compared to the base regime, with the without regime scenario yielding intermediate prices. This scenario aligns with findings in the literature indicating that fair prices calculated without accounting for regime-specific volatility are typically higher than those in stable conditions but lower than in high-volatility scenarios (see [7]).
The pricing behavior across these regimes underscores the importance of incorporating regime-switching mechanisms in VA pricing models, as different market conditions significantly influence investor demand for guarantees and consequently the fair price of GMABs. This insight supports the theoretical and empirical conclusions from prior studies, which emphasize that regime-dependent pricing better captures the risk–return trade-off perceived by investors under varying market conditions (see [8,24]).
Moreover, in order to compare the price for the roll-up guarantee with the ratchet guarantee, using the MC technique, the prices of the GMAB contract for different maturities, specifically T = 5 , 10 , 15 years, are calculated. The results, shown in Table 6, demonstrate that the prices for the roll-up guarantee are less compared to the yearly ratchet guarantee (Table 7). The extra cost associated with ratchet options is the reason for this variation in prices.
Upon conducting a comparative analysis of the fair prices of GMABs prior to and subsequent to the COVID-19 pandemic, it becomes apparent that the occurrence had a substantial influence on the pricing dynamics within various guarantee frameworks and market regimes. As shown in Table 6 and Table 7, fair prices appear to have been higher prior to COVID-19, irrespective of the guarantee framework. Conversely, fair prices witnessed a significant drop after the commencement of the pandemic, as illustrated in Table 8 and Table 9. This implies that investor sentiment and risk perceptions underwent a transformation, possibly impacted by the increased market volatility and unpredictability instigated by the pandemic. The substantial price fluctuations after the epidemic may be primarily ascribed to increased market volatility, influenced by economic uncertainty, policy changes, and investor state of mind. The disruptions caused by the pandemic resulted in significant swings in asset values, characterized by phases of severe volatility followed by stabilization as markets adapted to new circumstances. Heightened risk perception among investors led to elevated implied volatility, impacting asset values and pricing models.
These modifications underscore the criticality for insurers and financial institutions to consistently assess and adjust pricing strategies in order to efficiently mitigate risk and satisfy investor requirements in ever-changing financial landscapes, especially in times of crisis. More study is necessary to thoroughly examine the fundamental elements that are causing these price patterns and to formulate adaptable risk management approaches customized to the financial environment following the pandemic. It is worth mentioning that these computed prices appear to be rational and typically align with the prices derived from earlier research on comparable VA guarantees. However, because of the diverse range of product structures, methodologies, and assumptions used, making direct comparisons is challenging.
The main objective of this study was to perform a comprehensive analysis of the fair prices of variable annuity contracts with embedded GMABs under different market regimes to see the impact of the COVID-19 pandemic, and also to examine the effectiveness of using a neural network technique for valuation and to compare with the prices calculated by MC simulations. Convincing evidence has been found that the neural network performs better and faster than the usual MC simulation methods. The neural network predictions are examined using the R 2 measure, which is a measure regularly used by researchers (refer to N. Hattab [41]) to determine the performance of neural networks. Table 10 displays the R 2 values obtained by comparing the neural network’s outcomes with those produced by the MC simulations. For both the pre- and post-COVID-19 data, across the base and spike regimes, one can see that the neural network performs well using the R 2 metric. However, the spike regime performs significantly worse than the base regime in both datasets, owing to the existence of a few outliers. The primary benefit of using the neural network approach instead of the MC method is in the possible time efficiency during computations. On the specific computer used in this analysis, the computation of the pricing of VAs with embedded GMABs over 5-, 10-, and 15-year durations using MC simulations takes around six hours. Conversely, the neural network technique performs the same computation in little more than one minute. To train a neural network, each training input is fed in sequentially, the gradients of the network weights throughout the whole dataset are evaluated, and the weights are modified accordingly. As a consequence, when networks and datasets are bigger, the time required for training is often greater. However, once the neural network has been trained, evaluating the outcomes of the entire set of data occurs very fast and is proportional to its magnitude rather than to the quantity of data used for training. This is in contrast to approaches like kriging, which need distance computations and hence become more challenging as the quantity of the training data rises. Although the neural network approach may have somewhat lower accuracy compared to methods like kriging, its substantial time savings make it attractive.
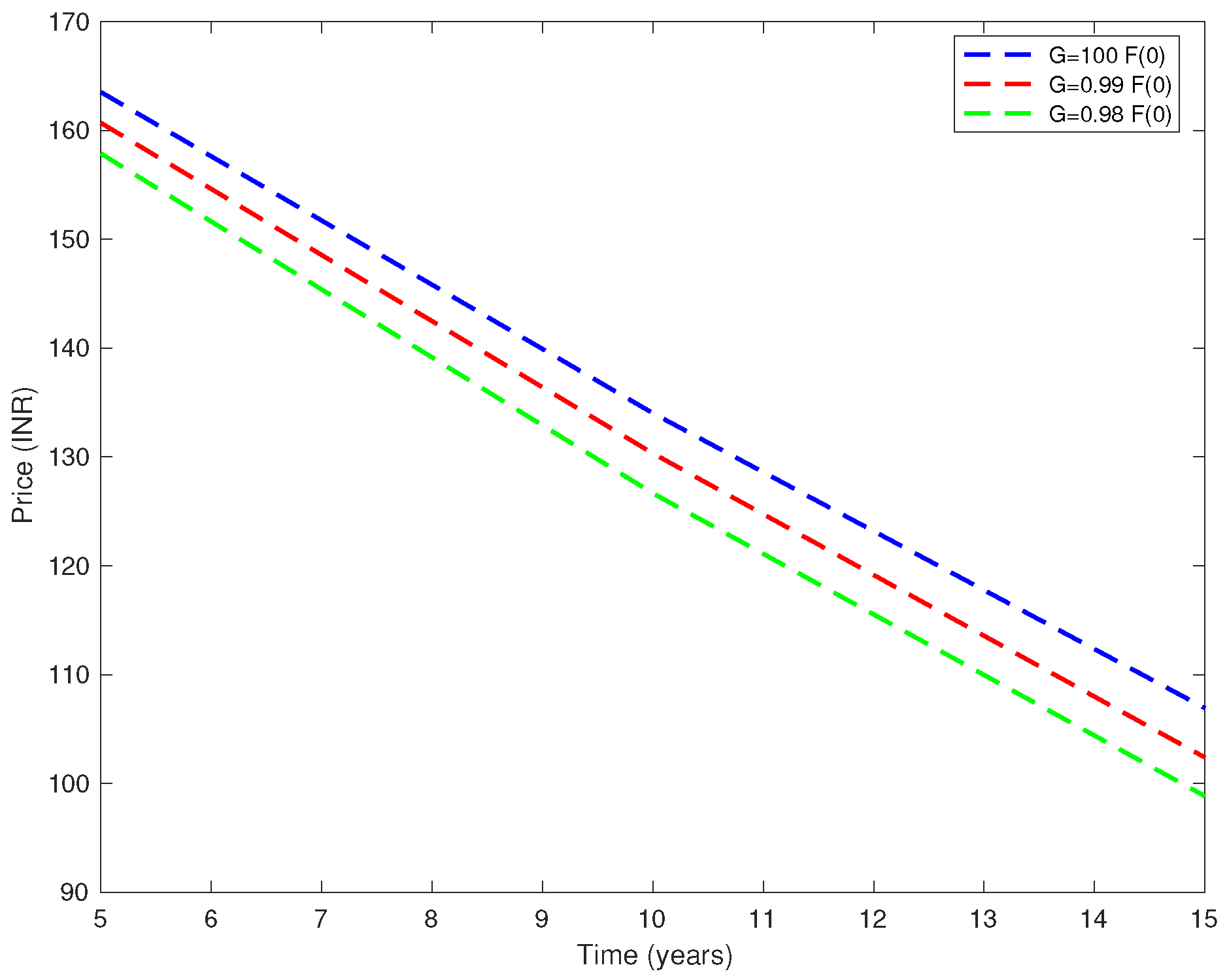
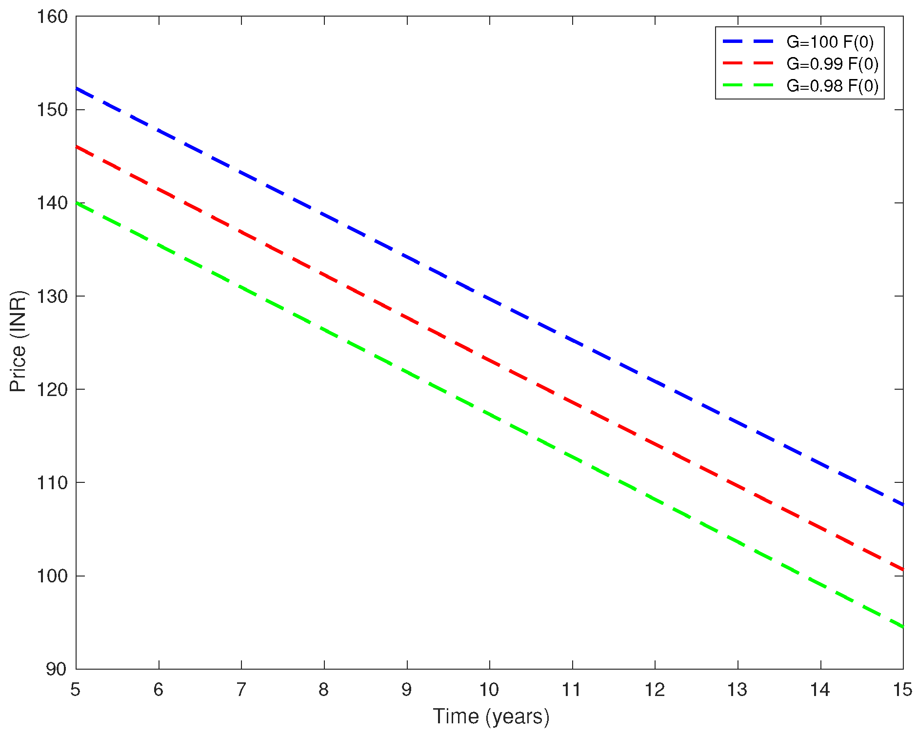
Figure 2 and Figure 3 illustrate that when the initial guarantee amount G ( 0 ) decreases, the fair price also decreases. The inverse relationship between the fair price and the initial guaranteed amount suggests that lower guaranteed amounts are associated with lower fair prices. Nevertheless, it is crucial to acknowledge that when there are positive returns in the market, the relationship may be reduced, leading to prices that may not perfectly follow this inverse trend. However, contracts with higher guaranteed amounts generally have higher fair prices, which are impacted by positive market yields. Especially for contracts of short duration, the decrease in the initial guaranteed payment significantly reduces the fair price because of the increased uncertainty over the contract’s duration.

7. Conclusions and Future Work

This study investigates the impact of the COVID-19 pandemic on the pricing of variable annuities (VAs) within the Indian stock market, using a regime-switching HMM framework combined with artificial neural networks and Monte Carlo simulations. By focusing on the Nifty 50 Index data split into pre- and post-COVID-19 periods, this study sheds light on how extreme market conditions can influence VA pricing. The results highlight that the pandemic had a significant effect on the pricing of VA products, with increased volatility leading to notable price shifts across market regimes. Fair prices of VAs dropped significantly after COVID-19, reflecting changes in investor sentiment and risk perceptions due to the heightened unpredictability during this period.
The findings underscore the utility of regime-switching models in capturing market regime dynamics, especially under conditions of economic turbulence. In stable market conditions, regime-switching models show significant variation in pricing dynamics, while during catastrophic events like the COVID-19 pandemic, the models show less variation across regimes. This observation suggests that crisis conditions might dampen regime-specific influences, with overall volatility overshadowing differences in pricing behavior. This insight is crucial for insurers and financial institutions, as it emphasizes the need for adaptable pricing models that can effectively manage risks in times of crisis and better align with changing market dynamics.
This study also demonstrates the efficiency of neural network pricing approaches in the VA context, offering a faster alternative to Monte Carlo simulations. The comparison shows that neural networks can provide accurate VA pricing with significant computational advantages, particularly when applied across portfolios. These findings reinforce the importance of integrating advanced computational techniques into VA pricing models, as they can enhance accuracy and efficiency under varying market conditions. Furthermore, the best-fitted model was compared using well-known methods based on the AIC and BIC, suggesting that the model with two regimes was best fitted. These findings may assist regulators and insurers in enhancing risk management methods, modifying capital reserves, and formulating more robust pricing frameworks to mitigate future market disruptions.
Despite these contributions, the study has limitations. It focuses exclusively on the Indian stock market, which may limit the generalization of the findings to other emerging markets. Additionally, the reliance on historical data restricts the ability to capture longer-term pandemic-related market behaviors. Future research could extend this analysis to other emerging markets and explore alternative modeling techniques, such as semi-Markov processes or ensemble machine learning approaches, to better capture regime-dependent dynamics with more complexity. Moreover, expanding the scope to analyze VA pricing under various macroeconomic shocks could provide deeper insights into managing financial risks in highly volatile markets.

Author Contributions

They equally contributed to this research paper. All authors have read and agreed to the published version of the manuscript.

Funding

This research received no external funding.

Data Availability Statement

The data that support the findings of this study are available from Bloomberg but restrictions apply to the availability of these data, which were used under license for the current study, and so are not publicly available.

Conflicts of Interest

The authors declare that they have no known competing financial interests or personal relationships that could have appeared to influence the work reported in this paper.

Abbreviations

VAsVariable annuities
GMxBGuaranteed Minimum Benefit
GMDBGuaranteed Minimum Death Benefit
GMABGuaranteed Minimum Accumulation Benefit
GMWBGuaranteed Minimum Withdrawal Benefit
GMIBGuaranteed Minimum Income Benefit
EIAsEquity-indexed annuities
HMMsHidden Markov models
MRSMarkov regime-switching model
NNNeural network
RPROPResilient backpropagation
SCGDScaled conjugate gradient descent
BFGSBroyden-Fletcher-Goldfarb-Shanno algorithm
AICAkaike information criterion
BICBayesian information criterion
MCMonte Carlo

References

  1. Fontana, C.; Rotondi, F. Valuation of general GMWB annuities in a low interest rate environment. Insur. Math. Econ. 2023, 112, 142–167. [Google Scholar] [CrossRef]
  2. Hardy, M.R. A regime-switching model of long-term stock returns. N. Am. Actuar. J. 2001, 5, 41–53. [Google Scholar] [CrossRef]
  3. Siu, T.K.; Lau, J.W.; Yang, H. Pricing participating products under a generalized jump-diffusion model. J. Appl. Math. Stoch. Anal. 2008, 2008, 474623. [Google Scholar] [CrossRef]
  4. Elliott, R.J.; Kuen Siu, T.; Chan, L. Pricing volatility swaps under Heston’s stochastic volatility model with regime switching. Appl. Math. Financ. 2007, 14, 41–62. [Google Scholar] [CrossRef]
  5. Boyarchenko, S.; Levendorskii, S. American options in regime-switching models. SIAM J. Control Optim. 2009, 48, 1353–1376. [Google Scholar] [CrossRef]
  6. Lin, X.S.; Tan, K.S.; Yang, H. Pricing annuity guarantees under a regime-switching model. N. Am. Actuar. J. 2009, 13, 316–332. [Google Scholar] [CrossRef]
  7. Ng, A.C.Y.; Li, J.S.H. Valuing variable annuity guarantees with the multivariate Esscher transform. Insur. Math. Econ. 2011, 49, 393–400. [Google Scholar] [CrossRef]
  8. Fan, K.; Shen, Y.; Siu, T.K.; Wang, R. Pricing annuity guarantees under a double regime-switching model. Insur. Math. Econ. 2015, 62, 62–78. [Google Scholar] [CrossRef]
  9. Mohammad, S.; Arunachalam, V.; Selvamuthu, D. Pricing Variable Annuity Contract with GMAB Guarantee Under a Regime Switching Local Volatility Model. Comput. Econ. 2024, 1–22. [Google Scholar] [CrossRef]
  10. Bargos, F.F.; Claro Romão, E. Enhanced Forecasting of Equity Fund Returns Using Machine Learning. Math. Comput. Appl. 2025, 30, 9. [Google Scholar] [CrossRef]
  11. Guidolin, M.; Timmermann, A. Economic implications of bull and bear regimes in UK stock and bond returns. Econ. J. 2005, 115, 111–143. [Google Scholar] [CrossRef]
  12. Shahzad, S.J.H.; Bouri, E.; Kang, S.H.; Saeed, T. Regime specific spillover across cryptocurrencies and the role of COVID-19. Financ. Innov. 2021, 7, 5. [Google Scholar] [CrossRef] [PubMed]
  13. Tchoumi, S.Y.; Rwezaura, H.; Diagne, M.L.; González-Parra, G.; Tchuenche, J. Impact of infective immigrants on COVID-19 dynamics. Math. Comput. Appl. 2022, 27, 11. [Google Scholar] [CrossRef]
  14. De Blasis, R.; Galati, L.; Webb, A.; Webb, R.I. Intelligent design: Stablecoins (in) stability and collateral during market turbulence. Financ. Innov. 2023, 9, 85. [Google Scholar] [CrossRef]
  15. Wu, W.; Lee, C.C.; Xing, W.; Ho, S.J. The impact of the COVID-19 outbreak on Chinese-listed tourism stocks. Financ. Innov. 2021, 7, 22. [Google Scholar] [CrossRef]
  16. Mazur, M.; Dang, M.; Vega, M. COVID-19 and the march 2020 stock market crash. Evidence from S&P500. Financ. Res. Lett. 2021, 38, 101690. [Google Scholar]
  17. Belili, M.C.; Sahari, M.L.; Kebiri, O.; Zeghdoudi, H. Analyzing bifurcations and optimal control strategies in SIRS epidemic models: Insights from theory and COVID-19 data. Math. Comput. Appl. 2024, 29, 69. [Google Scholar] [CrossRef]
  18. da Silva, C.A.G. The Regime Changing Behavior of Exchange Rates and Stock Market Prices of Selected Emerging Countries: An application of the Markov Switching Vector Autoregressive model (MS-VAR). Am. J. Econ. Bus. Innov. 2023, 2, 2832–4862. [Google Scholar] [CrossRef]
  19. Jasuja, D.; Prosad, J.M.; Nautiyal, N. A Comparative Performance Analysis of Sustainability Themed Indices in India: Markov Regime Switching Approach. FIIB Bus. Rev. 2021. [Google Scholar] [CrossRef]
  20. Xie, X.; Mirza, N.; Umar, M.; Ji, X. COVID-19 and market discipline: Evidence from the banking sector in emerging markets. Int. Rev. Econ. Financ. 2024, 89, 612–621. [Google Scholar] [CrossRef]
  21. Zhong, W.; Zhang, Z.; Cui, Z. Efficient valuation of variable annuities under regime-switching jump diffusion models with surrender risk and mortality risk. Commun. Nonlinear Sci. Numer. Simul. 2024, 138, 108246. [Google Scholar] [CrossRef]
  22. Janczura, J.; Weron, R. Efficient estimation of Markov regime-switching models: An application to electricity spot prices. AStA Adv. Stat. Anal. 2012, 96, 385–407. [Google Scholar] [CrossRef]
  23. Selvamuthu, D.; Kumar, V.; Mishra, A. Indian stock market prediction using artificial neural networks on tick data. Financ. Innov. 2019, 5, 16. [Google Scholar] [CrossRef]
  24. Elliott, R.J.; Chan, L.; Siu, T.K. Option pricing and Esscher transform under regime switching. Ann. Financ. 2005, 1, 423–432. [Google Scholar] [CrossRef]
  25. Elliott, R.J.; Aggoun, L.; Moore, J.B. Hidden Markov Models: Estimation and Control; Springer Science & Business Media: Berlin/Heidelberg, Germany, 2008; Volume 29. [Google Scholar]
  26. Siu, T.K. Fair valuation of participating policies with surrender options and regime switching. Insur. Math. Econ. 2005, 37, 533–552. [Google Scholar] [CrossRef]
  27. Chkili, W.; Nguyen, D.K. Exchange rate movements and stock market returns in a regime-switching environment: Evidence for BRICS countries. Res. Int. Bus. Financ. 2014, 31, 46–56. [Google Scholar] [CrossRef]
  28. Naik, N.; Mohan, B.R. Stock Price Volatility Estimation Using Regime Switching Technique-Empirical Study on the Indian Stock Market. Mathematics 2021, 9, 1595. [Google Scholar] [CrossRef]
  29. Hamilton, J.D. Analysis of time series subject to changes in regime. J. Econom. 1990, 45, 39–70. [Google Scholar] [CrossRef]
  30. Dempster, A.P.; Laird, N.M.; Rubin, D.B. Maximum likelihood from incomplete data via the EM algorithm. J. R. Stat. Soc. Ser. B (Methodol.) 1977, 39, 1–22. [Google Scholar] [CrossRef]
  31. Kim, C.J. Dynamic linear models with Markov-switching. J. Econom. 1994, 60, 1–22. [Google Scholar] [CrossRef]
  32. Gray, S.F. Modeling the conditional distribution of interest rates as a regime-switching process. J. Financ. Econ. 1996, 42, 27–62. [Google Scholar] [CrossRef]
  33. Ang, A.; Bekaert, G. Regime switches in interest rates. J. Bus. Econ. Stat. 2002, 20, 163–182. [Google Scholar] [CrossRef]
  34. Yang, H. Esscher Transform. In Encyclopedia of Actuarial Science; John Wiley & Sons: Hoboken, NJ, USA, 2006. [Google Scholar]
  35. Atomsa, G.A.; Zhou, Y. Application of neural network to model rainfall pattern of Ethiopia. Stat. Theory Relat. Fields 2023, 7, 69–84. [Google Scholar] [CrossRef]
  36. Møller, M.F. A scaled conjugate gradient algorithm for fast supervised learning. Neural Netw. 1993, 6, 525–533. [Google Scholar] [CrossRef]
  37. Makeham, W.M. On the law of mortality and the construction of annuity tables. J. Inst. Actuar. 1860, 8, 301–310. [Google Scholar] [CrossRef]
  38. Melnikov, A.; Romaniuk, Y. Evaluating the performance of Gompertz, Makeham and Lee–Carter mortality models for risk management with unit-linked contracts. Insur. Math. Econ. 2006, 39, 310–329. [Google Scholar] [CrossRef]
  39. Sun, J.; Shevchenko, P.V.; Fung, M.C. The impact of management fees on the pricing of variable annuity guarantees. Risks 2018, 6, 103. [Google Scholar] [CrossRef]
  40. Mamon, R.; Xiong, H.; Zhao, Y. The valuation of a guaranteed minimum maturity benefit under a regime-switching framework. N. Am. Actuar. J. 2021, 25, 334–359. [Google Scholar] [CrossRef]
  41. Hattab, N.; Hambli, R.; Motelica-Heino, M.; Mench, M. Neural network and Monte Carlo simulation approach to investigate variability of copper concentration in phytoremediated contaminated soils. J. Environ. Manag. 2013, 129, 134–142. [Google Scholar] [CrossRef]
Figure 1. Nifty 50 Index price (INR) from September 2007 to September 2023. (a) Before COVID-19 pandemic. (b) After COVID-19 pandemic.
Figure 1. Nifty 50 Index price (INR) from September 2007 to September 2023. (a) Before COVID-19 pandemic. (b) After COVID-19 pandemic.
Mca 30 00023 g001
Figure 2. Sensitivity of GMAB price with respect to time to maturity for different guaranteed values in spike regime.
Figure 2. Sensitivity of GMAB price with respect to time to maturity for different guaranteed values in spike regime.
Mca 30 00023 g002
Figure 3. Sensitivity of GMAB price with respect to time to maturity for different guaranteed values in the base regime.
Figure 3. Sensitivity of GMAB price with respect to time to maturity for different guaranteed values in the base regime.
Mca 30 00023 g003
Table 1. Descriptive statistics for Nifty 50 Index prices.
Table 1. Descriptive statistics for Nifty 50 Index prices.
MeanStd. Dev.KurtosisSkewness
Before COVID-1972002468.981−0.86−0.35
After COVID-1915,7182992.078−0.29−0.88
Full Data13,043.613503.70−1.280.43
Table 2. Calibration results for MRS models with (two) independent regimes fitted to the Nifty 50 Index returns before COVID-19.
Table 2. Calibration results for MRS models with (two) independent regimes fitted to the Nifty 50 Index returns before COVID-19.
ParametersProbabilities
α 1 ^ β 1 ^ σ ^ 1 2 γ 1 ^ α 2 ^ γ 2 ^ σ ^ 2 2 p ^ 11 p ^ 22
−0.22270.37840.0158−0.1468−5.38800.00051.65260.84690.1440
Table 3. Calibration results for MRS models with (two) independent regimes fitted to the Nifty 50 Index returns after COVID-19.
Table 3. Calibration results for MRS models with (two) independent regimes fitted to the Nifty 50 Index returns after COVID-19.
ParametersProbabilities
α 1 ^ β 1 ^ σ ^ 1 2 γ 1 ^ α 2 ^ γ 2 ^ σ ^ 2 2 p ^ 11 p ^ 22
0.1037 0.2548 0.0336 0.1690 6.0557 0.0014 2.2115 0.9083 0.2492
Table 4. Comparing best-fit model: AIC and BIC values without regime and with two regimes.
Table 4. Comparing best-fit model: AIC and BIC values without regime and with two regimes.
Without RegimeWith Two Regimes
AIC25.9919.74
BIC42.0035.74
Table 5. Neural network training time and resource utilization.
Table 5. Neural network training time and resource utilization.
MetricValueRemarks
Total Training Time3.0 hConvergence achieved via early stopping
Average Time per Epoch3.6 minEstimated over ∼50 epochs
Number of Epochs∼50Training iterations until convergence
GPU Utilization85%Peak utilization during training
Maximum GPU Memory Usage8 GBMonitored during training
Hardware SpecificationsMacBook Air M2 with 8 GB RAM, running macOS Sonoma 14.6.1.System details
Table 6. Fair price of GMAB with two regimes before COVID-19, considering roll-up rate ω = 0 and G = F(0).
Table 6. Fair price of GMAB with two regimes before COVID-19, considering roll-up rate ω = 0 and G = F(0).
Base Regime Spike Regime Without Regime
T (Years) Price (INR) T (Years) Price (INR) T (Years) Price (INR)
5139.26585163.53375152.068
10113.670110129.023710118.554
1590.615015107.925915106.343
Table 7. Fair price of GMAB with two regimes before COVID-19, considering ratchet guarantee.
Table 7. Fair price of GMAB with two regimes before COVID-19, considering ratchet guarantee.
Base Regime Spike Regime Without Regime
T (Years) Price (INR) T (Years) Price (INR) T (Years) Price (INR)
5147.36955164.95425153.250
10133.242510141.467010140.4530
15128.462415140.076115139.5820
Table 8. Fair price of GMAB with two regimes after COVID-19, considering roll-up rate ω = 0 and G = F ( 0 ) .
Table 8. Fair price of GMAB with two regimes after COVID-19, considering roll-up rate ω = 0 and G = F ( 0 ) .
Base Regime Spike Regime Without Regime
T (Years) Price (INR) T (Years) Price (INR) T (Years) Price (INR)
5137.53205145.47345141.2034
10110.176810114.478410111.4890
1589.420715106.906015103.0897
Table 9. Fair price of GMAB with two regimes after COVID-19, considering ratchet guarantee.
Table 9. Fair price of GMAB with two regimes after COVID-19, considering ratchet guarantee.
Base Regime Spike Regime Without Regime
T (Years) Price (INR) T (Years) Price (INR) T (Years) Price (INR)
5146.0035150.42955148.3564
10131.589310137.705610134.3098
15113.043015116.408015112.5052
Table 10. Values of R 2 for GMAB with two regimes before and after COVID-19.
Table 10. Values of R 2 for GMAB with two regimes before and after COVID-19.
Before COVID-19After COVID-19
Base Regime Spike Regime Base Regime Spike Regime
GMAB0.9960.9880.9930.985
Disclaimer/Publisher’s Note: The statements, opinions and data contained in all publications are solely those of the individual author(s) and contributor(s) and not of MDPI and/or the editor(s). MDPI and/or the editor(s) disclaim responsibility for any injury to people or property resulting from any ideas, methods, instructions or products referred to in the content.

Share and Cite

MDPI and ACS Style

Sarfraz, M.; D’Amico, G.; Selvamuthu, D. Market Regime Identification and Variable Annuity Pricing: Analysis of COVID-19-Induced Regime Shifts in the Indian Stock Market. Math. Comput. Appl. 2025, 30, 23. https://doi.org/10.3390/mca30020023

AMA Style

Sarfraz M, D’Amico G, Selvamuthu D. Market Regime Identification and Variable Annuity Pricing: Analysis of COVID-19-Induced Regime Shifts in the Indian Stock Market. Mathematical and Computational Applications. 2025; 30(2):23. https://doi.org/10.3390/mca30020023

Chicago/Turabian Style

Sarfraz, Mohammad, Guglielmo D’Amico, and Dharmaraja Selvamuthu. 2025. "Market Regime Identification and Variable Annuity Pricing: Analysis of COVID-19-Induced Regime Shifts in the Indian Stock Market" Mathematical and Computational Applications 30, no. 2: 23. https://doi.org/10.3390/mca30020023

APA Style

Sarfraz, M., D’Amico, G., & Selvamuthu, D. (2025). Market Regime Identification and Variable Annuity Pricing: Analysis of COVID-19-Induced Regime Shifts in the Indian Stock Market. Mathematical and Computational Applications, 30(2), 23. https://doi.org/10.3390/mca30020023

Article Metrics

Back to TopTop