Vibration Control of Light Bridges Under Moving Loads Using Nonlinear Semi-Active Absorbers
Abstract
1. Introduction
2. Moving Load Bridge Interaction Model

3. Improving the DVA Parameters to Enhance Performance
4. Effect of Force Amplitude and Velocity on the Optimal Values of the DVA
4.1. Performance Analysis of Different Types of Vibration Absorbers Under Pedestrian Excitation
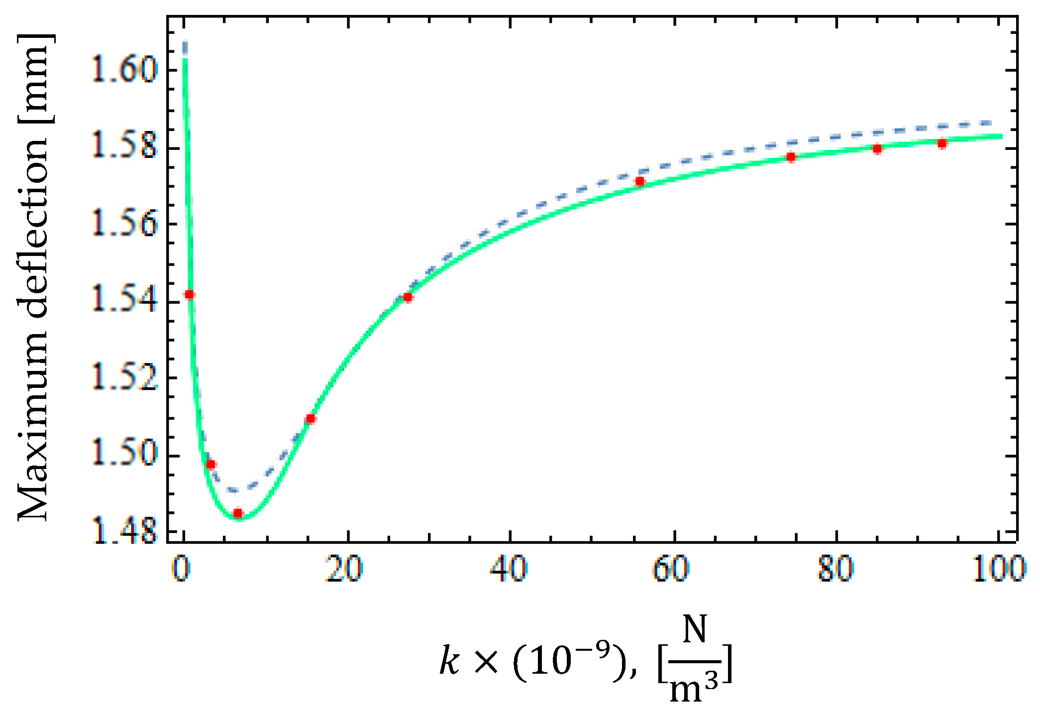
4.1.1. The Optimal Configuration for a Linear DVA
4.1.2. The Optimal Configuration for Nonlinear DVAs
4.2. The Impact of the Force Frequencies on the Optimization of the DVA Parameters
4.3. Review of Some Nonlinear DVAs
4.3.1. Geometry Nonlinearity of Cubic Type
4.3.2. New Nonlinear Damper of Quadratic Type
5. Results and Discussion
6. Conclusions
- The nonlinear DVAs, especially those with quadratic stiffness and linear damping, and DVA with both quadratic damping and stiffness elements, significantly reduce bridge deflections in a wider frequency range, compared to linear DVAs.
- The optimization of DVA parameters is pivotal for achieving the performant results in vibration reduction. In this study the two goal functions including, minimizing of the bridge displacement and maximizing of the amount of absorbed energy is considered.
- In the following, some of the challenges proposed for the future research, are listed:
- Exploring the design and implementation of active nonlinear dynamic vibration absorbers to enhance vibration control performance.
- Investigating the application of nonlinear quadratic stiffnesses to improve the effectiveness and responsiveness of vibration absorption systems.
- Investigating other types of nonlinear vibration absorbers attached to light footbridges, including piecewise linear stiffness or damping.
- Focus on developing semi-active or active control strategies that aim to minimize the damping time of vibrations and maximize the energy absorbed.
- The effects of various types of human activities specially the synchronized activities on the vibrations of the footbridges.
Author Contributions
Funding
Data Availability Statement
Conflicts of Interest
Nomenclature
| weight of the pedestrian, [N] | |
| pedestrian body mass, [kg] | |
| gravity acceleration, [N/kg] | |
| pedestrian pacing rate (pedestrian frequency), [Hz] | |
| pedestrian velocity, [m/s] | |
| step length of the pedestrian, [m] | |
| coefficient of Fourier series named as dynamic load factor | |
| harmonic phase angle | |
| the number of harmonics | |
| the mass of the dynamic vibration absorber (DVA), [kg] | |
| position of the DVA’s mass | |
| vertical displacement of the beam | |
| the relative displacement of the DVA’s mass and the footbridge mid-span | |
| passing pedestrian amplitude | |
| moving pedestrian-induced load | |
| the length of the footbridge, [m] | |
| modulus of elasticity of the footbridge, [GPa] | |
| the damping ratio of the footbridge | |
| the force exerted by the DVA’s spring, [N] | |
| viscous damping force, [N] | |
| cross-section area, [] | |
| the footbridge mass per unit length, [m/kg] | |
| moment of inertia, [] | |
| damping coefficient, [] | |
| stiffness coefficient, [] | |
| the location of the damper, [m] | |
| the density of the footbridge material, [kg/] | |
| modal coordinates | |
| normalized eigenfunctions | |
| the number of modes | |
| natural frequencies of the th mode of the footbridge, [rad/s] | |
| footbridge equivalent mass, [kg] | |
| mass ratio |
References
- Samani, F.S.; Pellicano, F. Vibration reduction on beams subjected to moving loads using linear and nonlinear dynamic absorbers. J. Sound Vib. 2009, 325, 742. [Google Scholar] [CrossRef]
- Samani, F.S.; Pellicano, F.; Masoumi, A. Performances of dynamic vibration absorbers for beams subjected to moving loads. Nonlinear Dyn. 2013, 73, 1065. [Google Scholar] [CrossRef]
- Gatti, G. Fundamental insight on the performance of a nonlinear tuned mass damper. Meccanica 2018, 53, 111. [Google Scholar] [CrossRef]
- Liu, P.; Zhu, H.-X.; Moaveni, B.; Yang, W.-G.; Huang, S.-Q. Vibration Monitoring of Two Long-Span Floors Equipped with Tuned Mass Dampers. Int. J. Struct. Stab. Dyn. 2019, 19, 1950101. Available online: https://worldscientific.com/doi/abs/10.1142/S0219455419501013 (accessed on 23 December 2024). [CrossRef]
- Samani, F.S.; Pellicano, F. Vibration reduction of beams under successive traveling loads by means of linear and nonlinear dynamic absorbers. J. Sound Vib. 2012, 331, 2272. [Google Scholar] [CrossRef]
- Saber, H.; Samani, F.S.; Pellicano, F. Vibration reduction of footbridges subjected to walking, running, and jumping pedestrian. J. Vib. Control 2023, 29, 3227. [Google Scholar] [CrossRef]
- Chen, Z.; Chen, Z.; Li, G.; Zhang, W.; Zhang, X.; Huang, S.; Chen, Z. Dynamic Response Analysis and Vibration Reduction of Steel Truss Corridor Pedestrian Bridge Under Pedestrian Load. Front. Mater. 2022, 9, 839265. [Google Scholar] [CrossRef]
- Bassoli, E.; Vincenzi, L. Parameter calibration of a social force model for the crowd-induced vibrations of footbridges. Front. Built Environ. 2021, 7, 656799. [Google Scholar] [CrossRef]
- Saber, H.; Samani, F.S.; Pellicano, F. Nonlinear vibration absorbers applied on footbridges. Meccanica 2021, 56, 23. [Google Scholar] [CrossRef]
- Caprani, C.C.; Ahmadi, E. Formulation of human–structure interaction system models for vertical vibration. J. Sound Vib. 2016, 377, 346. [Google Scholar] [CrossRef]
- Ao, W.K.; Reynolds, P. (Eds.) Analytical and experimental study of eddy current damper for vibration suppression in a footbridge structure. In Dynamics of Civil Structures; Springer: Berlin/Heidelberg, Germany, 2017; Volume 2. [Google Scholar] [CrossRef]
- Ao, W.K.; Reynolds, P. Analysis and numerical evaluation of H∞ and H2 optimal design schemes for an electromagnetic shunt damper. J. Vib. Acoust. 2020, 142, 021003. [Google Scholar] [CrossRef]
- Pedersen, L.; Frier, C. Stochastic Load Models and Footbridge Response. Dyn. Civ. Struct. 2015, 2, 75. [Google Scholar] [CrossRef]
- Lievens, K.; Lombaert, G.; De Roeck, G.; Van den Broeck, P. Robust design of a TMD for the vibration serviceability of a footbridge. Eng. Struct. 2016, 123, 408. [Google Scholar] [CrossRef]
- Van Nimmen, K.; Lombaert, G.; De Roeck, G.; Van den Broeck, P. Vibration serviceability of footbridges: Evaluation of the current codes of practice. Eng. Struct. 2014, 59, 448. [Google Scholar] [CrossRef]
- Ding, H.; Chen, L.-Q. Designs, analysis, and applications of nonlinear energy sinks. Nonlinear Dyn. 2020, 100, 3061. [Google Scholar] [CrossRef]
- Gourdon, E.; Lamarque, C.-H.; Pernot, S. Contribution to efficiency of irreversible passive energy pumping with a strong nonlinear attachment. Nonlinear Dyn. 2007, 50, 793. [Google Scholar] [CrossRef]
- Ferreira, F.; Moutinho, C.; Cunha, Á.; Caetano, E. Use of semi-active tuned mass dampers to control footbridges subjected to synchronous lateral excitation. J. Sound Vib. 2019, 446, 176. [Google Scholar] [CrossRef]
- Maślanka, M. Optimised semi-active tuned mass damper with acceleration and relative motion feedbacks. Mech. Syst. Signal Process. 2019, 130, 707. [Google Scholar] [CrossRef]
- Saber, H.; Samani, F.S.; Pellicano, F. A novel nonlinear variable damping device and its application for the systems with uncertain parameters. Proc. Inst. Mech. Eng. Part K J. Multi-Body Dyn. 2022, 236, 660. [Google Scholar] [CrossRef]
- Chen, J.; Han, Z.; Xu, R. Effects of human-induced load models on tuned mass damper in reducing floor vibration. Adv. Struct. Eng. 2019, 22, 2449. [Google Scholar] [CrossRef]
- Nguyen, K.; Soria, J.M.; Díaz, I.M.; Goicolea, J.M. Exploring the potential of the semi-active inertial absorber in control resonant effects for short-to-medium span high-speed railway bridges. Struct. Infrastruct. Eng. 2023, 1–16. [Google Scholar] [CrossRef]
- Kumar, J.; Bhushan, G. Modelling of a semi-active vibration absorber featuring variable stiffness and variable damping using magnetorheological materials. Mater. Today Proc. 2023, in press. [Google Scholar] [CrossRef]
- Barrera-Vargas, C.A.; Naranjo-Pérez, J.; Díaz, I.M.; García-Palacios, J.H. Design of a Semiactive TMD for Lightweight Pedestrian Structures Considering Human–Structure–Actuator Interaction. Actuators 2022, 11, 101. [Google Scholar] [CrossRef]
- Wang, J.; Zhang, X.; Liu, Y.; Qin, Z.; Ma, L.; Hong, F.; Chu, F. Dynamic analysis of magnetorheological damper incorporating elastic ring in coupled multi-physical fields. Mech. Syst. Signal Process. 2024, 208, 111040. [Google Scholar] [CrossRef]
- Javani, M.; Eslami, M.R.; Kiani, Y. Active control of thermally induced vibrations of temperature-dependent FGM circular plate with piezoelectric sensor/actuator layers. Aerosp. Sci. Technol. 2024, 146, 108997. [Google Scholar] [CrossRef]
- Jiang, X.; McFarland, D.M.; Bergman, L.A.; Vakakis, A.F. Steady state passive nonlinear energy pumping in coupled oscillators: Theoretical and experimental results. Nonlinear Dyn. 2003, 33, 87. [Google Scholar] [CrossRef]
- Yang, Y.; Wang, X. Investigation into the linear velocity response of cantilever beam embedded with impact damper. J. Vib. Control 2019, 25, 1365. [Google Scholar] [CrossRef]
- Wang, J.; Wang, B.; Liu, Z.; Zhang, C.; Li, H. Experimental and numerical studies of a novel asymmetric nonlinear mass damper for seismic response mitigation. Struct. Control Health Monit. 2020, 27, e2513. [Google Scholar] [CrossRef]
- Wang, L.; Zhou, Y.; Shi, W. Random crowd-induced vibration in footbridge and adaptive control using semi-active TMD including crowd-structure interaction. Eng. Struct. 2024, 306, 117839. [Google Scholar] [CrossRef]
- Wu, J.-J. Study on the inertia effect of helical spring of the absorber on suppressing the dynamic responses of a beam subjected to a moving load. J. Sound Vib. 2006, 297, 981. [Google Scholar] [CrossRef]
- Zienkiewicz, O.C. RLTaJZZ. In The Finite Element Method: Its Basis and Fundamentals; Elsevier: Amsterdam, The Netherlands, 2013. [Google Scholar]
- Reddy, J.N. An Introduction to the Finite Element Method; McGraw-Hill: New York, NY, USA, 2005. [Google Scholar]
- Khurshudyan, A.; Ohanyan, S. (Eds.) Vibrations of geometrically nonlinear beam subjected to two oppositely moving loads and supported by three equidistant visco-elastic dampers. J. Phys. Conf. Ser. 2018, 991, 012046. [Google Scholar] [CrossRef]
- Szafrański, M. Vibration of the bridge under moving singular loads-theoretical formulation and numerical solution. J. Appl. Math. Comput. Mech. 2016, 15, 169. [Google Scholar] [CrossRef]
- Vakakis, A.F.; Manevitch, L.; Gendelman, O.; Bergman, L. Dynamics of linear discrete systems connected to local, essentially non-linear attachments. J. Sound Vib. 2003, 264, 559. [Google Scholar] [CrossRef]
- Sayyad, F.; Gadhave, N. Variable stiffness type magnetic vibration absorber to control the vibration of beam structure. J. Vib. Control 2014, 20, 1960. [Google Scholar] [CrossRef]
- Pedersen, L.; Frier, C. Sensitivity of footbridge vibrations to stochastic walking parameters. J. Sound Vib. 2010, 329, 2683. [Google Scholar] [CrossRef]
- Fujino, Y.; Siringoringo, D.M. A conceptual review of pedestrian-induced lateral vibration and crowd synchronization problem on footbridges. J. Bridge Eng. 2016, 21, C4015001. [Google Scholar] [CrossRef]
- Racic, V.; Brownjohn, J.M.W. Stochastic model of near-periodic vertical loads due to humans walking. Adv. Eng. Inform. 2011, 25, 259. [Google Scholar] [CrossRef]
- Young, P. Improved floor vibration prediction methodologies. In Proceedings of the Arup Vibration Seminar on Engineering for Structural Vibration—Current Developments in Research and Practice, London, UK, 1 October 2001. [Google Scholar]
- Kim, S.-H.; Cho, K.-I.; Choi, M.-S.; Lim, J.-Y. Development of human body model for the dynamic analysis of footbridges under pedestrian induced excitation. Steel Struct. 2008, 8, 333. [Google Scholar]
- Wu, Q.; Kitahara, Y.; Takahashi, K.; Chen, B. Dynamic characteristics of Megami cable-stayed bridge: A comparison of experimental and analytical results. Int. J. Steel Struct. 2008, 8, 1–9. [Google Scholar]
- Rainer, J.; Pernica, G.; Allen, D.E. Dynamic loading and response of footbridges. Can. J. Civ. Eng. 1988, 15, 66. [Google Scholar] [CrossRef]
- Živanović, S.; Pavic, A.; Reynolds, P. Vibration serviceability of footbridges under human-induced excitation: A literature review. J. Sound Vib. 2005, 279, 1–74. [Google Scholar] [CrossRef]
- Starosvetsky, Y.; Gendelman, O. Vibration absorption in systems with a nonlinear energy sink: Nonlinear damping. J. Sound Vib. 2009, 324, 916. [Google Scholar] [CrossRef]
- Minaei, A.; Ghorbani-Tanha, A. Optimal step-by-step tuning method for variable stiffness semiactive tuned mass dampers. J. Eng. Mech. 2019, 145, 04019037. [Google Scholar] [CrossRef]
- Nayfeh, A.H.; Mook, D.T. Nonlinear Oscillations; John Wiley & Sons: Hoboken, NJ, USA, 2024. [Google Scholar]
- Vakakis, A.F.; Gendelman, O.V.; Bergman, L.A.; McFarland, D.M.; Kerschen, G.; Lee, Y.S. Nonlinear Targeted Energy Transfer in Mechanical and Structural Systems; Springer Science & Business Media: Berlin/Heidelberg, Germany, 2008. [Google Scholar]
- Ye, X.; Ni, Y.-Q.; Ao, W.K.; Yuan, L. Modeling of the hysteretic behavior of nonlinear particle damping by Fourier neural network with transfer learning. Mech. Syst. Signal Process. 2024, 208, 111006. [Google Scholar] [CrossRef]
- Den Hartog, J.P. Mechanical Vibrations; Courier Corporation: Chelmsford, MA, USA, 1985. [Google Scholar]
- Tigli, O.F. Optimum vibration absorber (tuned mass damper) design for linear damped systems subjected to random loads. J. Sound Vib. 2012, 331, 3035. [Google Scholar] [CrossRef]
- Asami, T.; Nishihara, O. Closed-form exact solution to H∞ optimization of dynamic vibration absorbers (application to different transfer functions and damping systems). J. Vib. Acoust. 2003, 125, 398. [Google Scholar] [CrossRef]
- Cantero, D.; McGetrick, P.; Kim, C.-W.; OBrien, E. Experimental monitoring of bridge frequency evolution during the passage of vehicles with different suspension properties. Eng. Struct. 2019, 187, 209. [Google Scholar] [CrossRef]
- Wahab, M.A.; De Roeck, G. Effect of temperature on dynamic system parameters of a highway bridge. Struct. Eng. Int. 1997, 7, 266. [Google Scholar] [CrossRef]
- Zhang, L.; Hong, L.; Dhupia, J.S.; Johnson, S.; Qaiser, Z.; Zhou, Z. (Eds.) A novel semi-active tuned mass damper with tunable stiffness. In Proceedings of the IEEE/ASME International Conference on Advanced Intelligent Mechatronics (AIM), Auckland, New Zealand, 9–12 July 2018; IEEE: Piscataway, NJ, USA, 2018. [Google Scholar] [CrossRef]
- Ledbetter, H. Stainless-steel elastic constants at low temperatures. J. Appl. Phys. 1981, 52, 1587. [Google Scholar] [CrossRef]
- Wagner, D.; Cavalieri, F.J.; Bathias, C.; Ranc, N. Ultrasonic fatigue tests at high temperature on an austenitic steel. Propuls. Power Res. 2012, 1, 29. [Google Scholar] [CrossRef]
- Munson, B.R.; Young, D.F.; Okiishi, T.H.; Huebsch, W.W. Fundamentals of Fluid Mechanics; John Wiley & Sons, Inc.: Hoboken, NJ, USA, 2006. [Google Scholar]
- Rao, S.S. Mechanical Vibrations; Pearson Education: Singapore, 2011. [Google Scholar]
- Caprani, C.C.; Keogh, J.; Archbold, P.; Fanning, P. Enhancement factors for the vertical response of footbridges subjected to stochastic crowd loading. Comput. Struct. 2012, 102, 87. [Google Scholar] [CrossRef]
- Fujino, Y.; Pacheco, B.M.; Nakamura, S.I.; Warnitchai, P. Synchronization of human walking observed during lateral vibration of a congested pedestrian bridge. Earthq. Eng. Struct. Dyn. 1993, 22, 741. [Google Scholar] [CrossRef]












| Unit Mass | Length | Cross-Section Area | Area Moment of Inertia | Fundamental Frequency | Damping Ratio | Modulus of Elasticity |
|---|---|---|---|---|---|---|
| 50 m | 0.004 |
| Footbridge and Type of DVA | Optimization Approach | Maximum Deflection [mm] | Minimum Value of Dissipated Energy [%] | Optimized k | Optimized λ | The Integers of Equations (11)–(13) |
|---|---|---|---|---|---|---|
| Bare footbridge | — | — | — | — | — | |
| Linear DVA | Den Hartog values | — | ||||
| Linear DVA | Energy | |||||
| Linear DVA | Deflection | |||||
| Quadratic damping and linear stiffness | Energy | |||||
| Quadratic damping and linear stiffness | Deflection | |||||
| Quadratic stiffness and linear damping | Energy | |||||
| Quadratic stiffness and linear damping | Deflection | |||||
| Quadratic stiffness and damping | Energy | |||||
| Quadratic stiffness and damping | Deflection | |||||
| Cubic damping and linear stiffness | Energy | |||||
| Cubic damping and linear stiffness | Deflection | |||||
| Cubic stiffness and Linear damping | Energy | |||||
| Cubic stiffness and Linear damping | Deflection | |||||
| Cubic damping and Cubic stiffness | Energy | |||||
| Cubic damping and Cubic stiffness | Deflection |
| Case | Attached DVA | Optimization Approach | Type of Excitation | Maximum Deflection [mm] | Deflection Reduction vs. a Bare Footbridge % | Deflection Reduction Concerning Tigli’s % | Deflection Reduction Concerning Den Hartog’s % | Optimized Stiffness ] | Optimized Damping λ] |
|---|---|---|---|---|---|---|---|---|---|
| 1 | ✕ | – | Walking | 10.30 | – | – | – | – | – |
| 2 | ✓ | Numerical * | Walking | 0.96 | 91 | 9 | 11 | 180 | 5.60 |
| 3 | ✓ | Tigli | Walking | 1.05 | 90 | – | – | 4.80 | |
| 4 | ✓ | Asami | Walking | 1.07 | 90 | – | – | 172 | 4.47 |
| 5 | ✓ | Asami | Walking | 1.09 | 90 | – | – | 163 | 5.30 |
| 6 | ✓ | Den Hartog | Walking | 1.08 | 90 | – | – | 164 | 5.29 |
| 7 | ✕ | – | Running | 27.87 | – | – | – | – | – |
| 8 | ✓ | Numerical * | Running | 1.39 | 95 | 34 | 38 | 240 | 3.80 |
| 9 | ✓ | Tigli | Running | 2.11 | 92 | – | – | 4.80 | |
| 10 | ✓ | Asami | Running | 2.16 | 92 | – | – | 172 | 4.47 |
| 11 | ✓ | Asami | Running | 2.25 | 92 | – | – | 163 | 5.30 |
| 12 | ✓ | Den Hartog | Running | 2.24 | 92 | – | – | 164 | 5.29 |
| 13 | ✕ | – | Jumping | 43.99 | – | – | – | – | – |
| 14 | ✓ | Numerical * | Jumping | 1.86 | 96 | 37 | 42 | 235 | 3.40 |
| 15 | ✓ | Tigli | Jumping | 2.95 | 93 | – | – | 4.80 | |
| 16 | ✓ | Asami | Jumping | 3.00 | 93 | – | – | 172 | 4.47 |
| 17 | ✓ | Asami | Jumping | 3.20 | 93 | – | – | 163 | 5.30 |
| 18 | ✓ | Den Hartog | Jumping | 3.18 | 93 | – | – | 164 | 5.29 |
Disclaimer/Publisher’s Note: The statements, opinions and data contained in all publications are solely those of the individual author(s) and contributor(s) and not of MDPI and/or the editor(s). MDPI and/or the editor(s) disclaim responsibility for any injury to people or property resulting from any ideas, methods, instructions or products referred to in the content. |
© 2025 by the authors. Licensee MDPI, Basel, Switzerland. This article is an open access article distributed under the terms and conditions of the Creative Commons Attribution (CC BY) license (https://creativecommons.org/licenses/by/4.0/).
Share and Cite
Saber, H.; Samani, F.S.; Pellicano, F.; Molaie, M.; Zippo, A. Vibration Control of Light Bridges Under Moving Loads Using Nonlinear Semi-Active Absorbers. Math. Comput. Appl. 2025, 30, 19. https://doi.org/10.3390/mca30010019
Saber H, Samani FS, Pellicano F, Molaie M, Zippo A. Vibration Control of Light Bridges Under Moving Loads Using Nonlinear Semi-Active Absorbers. Mathematical and Computational Applications. 2025; 30(1):19. https://doi.org/10.3390/mca30010019
Chicago/Turabian StyleSaber, Hamed, Farhad S. Samani, Francesco Pellicano, Moslem Molaie, and Antonio Zippo. 2025. "Vibration Control of Light Bridges Under Moving Loads Using Nonlinear Semi-Active Absorbers" Mathematical and Computational Applications 30, no. 1: 19. https://doi.org/10.3390/mca30010019
APA StyleSaber, H., Samani, F. S., Pellicano, F., Molaie, M., & Zippo, A. (2025). Vibration Control of Light Bridges Under Moving Loads Using Nonlinear Semi-Active Absorbers. Mathematical and Computational Applications, 30(1), 19. https://doi.org/10.3390/mca30010019

