Abstract
A survey of the experimental equilibrium constants in solution for the mixed complexes of 4f ions with acidic (chelating) and O-donor organophosphorus ligands published in the period between 1954 and 2022 is presented. These data are widely used in both analytical and solvent extraction chemistry. Important data evaluation criteria involved the specification of the essential reactions, process conditions and the correctness of techniques and calculations used, as well as appropriate equilibrium analysis of experimental data. Higher-quality data have been evaluated, compiled and presented herein, providing a synoptic view of the unifying theme in this area of research, i.e., synergism.
1. Introduction
According to the IUPAC Red Book Nomenclature of Inorganic Chemistry, the 15 elements from La (atomic number Z = 57) to Lu (Z = 71) should be named the 4f elements or lanthanoids (collective abbreviation, Ln). However, this term has not been widely adopted by the scientific community, which still favors “lanthanides” or “rare earths” (REs: Sc, Y and the lanthanoids). In fact, the rare earth elements are the lifeblood of many of today’s high-tech industries owing to their outstanding chemical properties and they are widely regarded as a critical resource for the 21st century. For a long time, rare earths remained laboratory curiosities, although Carl Auer von Welsbach (1858–1929) initiated some important applications when he took out patents for the famous Auer mantle for gas lamps (1891) and for flint stones (1903), subsequently founding two companies (1898) that are still active today [1,2]. There is no doubt that the properties of these metals and their compounds have been understood more quantitatively with the improvement of research tools and technologies today.
Research investigations of the coordination complexes of the 4f metal ions have been stimulated by their exceptional properties and their applications in solvent extraction, which were widely applied in the 20th century to meet the needs of the pure metals. Liquid-liquid extraction (LLE) is a key process in metal refining and stands at the frontiers between organic synthesis and analytical, physical, coordination and green chemistry. It is the only industrial technology for intra-group separation of the rare earth elements [3,4,5,6,7,8,9]. In the LLE of metal-containing species, the two liquids should be sufficiently immiscible in order to produce two distinct phases when mixed in any proportion. In practice, one of the phases is almost invariably aqueous, whereas the other one is an organic diluent containing more than one substance (“solvent” = diluent + extractant + modifier…) [10]. Thus, the organic phase is usually a complicated solution of one or more organic liquids containing one or more extractants and possibly modifiers of various kinds, as well as a diluent. Modern extraction chemistry focuses on supramolecules with organophosphorus ligating groups and, from the other side, the chemical engineering aspect pertaining to design new extractants, which are mainly used in organic (volatile) molecular diluents [11]. During the years, many IUPAC technical reports have been published concerning the equilibrium data of the metal complexes formed in solution using only one complexation reagent, but not those of synergic systems, i.e., combinations of two organic molecules. Although these tabulated forms of presenting the stability constants for metal complexes are useful generally, the number of combinations of metals, various ligands, different ionic media and temperatures are so large that very often even for simple systems, data for specific sets of experimental conditions are frequently absent [12].
This report aims to analyze the stability constants of 4f-metal-ion complexes in solution, relevant to proposed mixtures of acidic (chelating) molecules and O-donor organophosphorus ligands. These constants have wide potential applications in materials science, extractive metallurgy, metal recycling, industrial wastewater treatment, radioactive waste storage, etc. Reliable quantitative knowledge of these constants is especially important for optimizing the operation of new LLE systems at pilot and industrial scales. The report focuses on LLE systems that have been successfully employed for lanthanoid separations, which will help researchers to select the best options from among the many possibilities. Furthermore, collection and analyses of these data may facilitate the development of general rules that will assist in the intelligent design of the next generation of solvent systems, for example, incorporating ionic-liquid compounds as diluents or extractants. On the other hand, sustained interest in improving nuclear fuel reprocessing procedures and growing concern regarding the effects of actinoids in nuclear wastes have provided continuing motivation for studying the complexation and separation behavior of the f-family elements. In addition, safety and pollution concerns about the large volumes of contaminated diluents produced by means of traditional liquid-liquid separation processes have driven improvements in extraction efficiency and the development of innovative chemical technologies. The replacement of molecular diluents with ionic liquids (ILs), for example, is a particularly interesting direction of research [13,14,15,16,17,18,19,20,21]. The main contribution to date has likely been the improvement of the state of the art concerning concepts of classical solvent extraction through the transfer of knowledge with regard to the use of ionic liquids as innovative diluents in a separation field of 4f and 5f ions. The design of more efficient macrocyclic ligands containing chelating/phosphinoyl moieties also appears to be a promising objective. In other words, stereo-chemical features, reaction kinetics, conformational changes, and ligand field stabilization have also been shown to be relevant factors in specific cases. As the complexation of acidic ligands relies on their deprotonation form, a few classes of organic compounds have been included in this context in order to clarify the impact of their operational pH window, i.e., β-diketones, 4-acylpyrazolones, 4-acylisoxazolones and a few organic acids. To exploit the chelation effect and to enhance significantly the solvent extraction of 4f ions, multicoordinate compounds such as calixarenes are compared here to some well-known and widely usable organophosphorus ligands in the role of synergistic agents.
This report provides an exhaustive overview of the relevant literature for the period 1954–2022, although some Chinese and Japanese papers have been omitted due to difficulties in obtaining translations.
2. Synergism in the Liquid-Liquid Extraction of Metal Ions
An important milestone in the improvement of the solvent extraction processes was the discovery of the synergistic effect. Synergism occurs when two ligands used in conjunction display a better extraction efficiency than would be expected from the simple addition of their individual effects [22,23,24,25,26,27]. The adjective recommended in the IUPAC Golden Book is “synergic” but most scientists prefer “synergistic”. The first thorough study of this phenomenon was carried out by Blake et al., who found that UO22+ can be extracted synergistically with a mixture of dialkylphosphoric acid and a neutral organophosphorus reagent, with the extraction being ten to one hundred times greater than that obtained with either extractant alone [28,29,30]. Over the years, a thorough investigation of this phenomenon has shown that synergism is most effective when an acidic (HL) and a neutral (S) ligand are used together, although other combinations are also possible. Owing to the diversity of extractants, a classification proposed by Healy has been widely adopted. This scheme groups synergistic extractant systems as follows: acidic (anionic) plus neutral ligands; two acidic extractants; cationic plus neutral molecules; cationic plus anionic compounds; and two cationic reagents. Generally, the acidic/neutral duo is the simplest and best understood to date and is often very effective. For example, the synergistic enhancement of the extraction of trivalent actinoids and lanthanoids is up to 108 and this is one of the reasons for the great interest shown in synergistic research on this particular class of metals, i.e., f-elements. The nature of the metal cation always plays an important role in solvent extraction processes. Metal ions involved in synergistic solvent extraction processes, such as the 4f and 5f ions, typically have coordination numbers at least twice their charge. In general, the solution chemistry of the trivalent transplutonium elements strongly resembles that of the trivalent lanthanoids [31]. However, the actinoids tend to interact more strongly with soft donor atoms (sulfur, chloride, nitrogen) than the analogous lanthanoids. In order to separate individual actinoids lighter than Am from each other, or from the lanthanoids, separation systems sensitive to the oxidation state of the metal ion are sufficient [32]. Furthermore, if the ionic radius of the central metal ion is too small, the attachment of a new additional second ligand may become impossible for the formation of mixed species.
In synergistic systems, the acidic (chelating) compound (HL) typically deprotonates to form an anionic ligand L− that can chelate with the metal ion, Mn+, whereas the neutral ligand or, in other words, the synergistic agent S, replaces any remaining water molecules from the coordination shell of the neutral complex, enhancing its solubility in the organic phase. This process can be expressed as:
Mn+ + nHL + xS ⇌ MLn·Sx + nH+
The main differences between weaker chelating agents and those containing phosphoric acid units are: (i) the much larger synergistic affect potentially possible with the latter; (ii) the higher values of their association constants, and (iii) the fact that their complexes are mostly monomeric in the organic (extracting) solution [28]. The most fruitful development in this field stemmed from a publication by Irving and Edgington [33], who indicated the following conditions required for the synergistic extraction of metal ions:
One of the extractants must be capable of neutralizing the charge of the metal ion, preferably by forming a chelate complex.
The second molecule (synergist) must be capable of displacing any residual coordinated water from this formally neutral complex, thereby rendering it less hydrophilic (Figure 1).
Figure 1.
Neutral complex formed by the Eu (III) ion with 3-methyl-1-phenyl-4-(4-phenylbenzoyl)-pyrazol-5-one.
The second agent is not hydrophilic and is coordinated less strongly than the first (chelating) extractant.
The maximum coordination numbers of the metal and the geometry of the ligands must be favorable.
No standard method for quantification of the phenomenon has been agreed upon and any approach should be clearly defined in a given situation (IUPAC Gold Book [34]). The synergistic effect can be represented by the synergistic coefficient (SC), defined by Taube and Siekierski as SC = log [(D1,2/D1 + D2)] (1), where D1, D2 and D1,2 denote the distribution ratios of a metal ion between the organic and aqueous phase, containing one of the extractants and their mixture [35]. By definition, the distribution ratio (D) in liquid-liquid distribution, according to IUPAC Golden Book, is the ratio of the total analytical concentration of a solute in the extract (regardless of its chemical form) to its total analytical concentration in the other phase. In equations relating to aqueous/organic systems, the organic phase concentration is, by convention, the numerator and the aqueous phase concentration the denominator. In the case of the stripping ratio, the opposite convention is sometimes used but should then be clearly specified. In other words, the extraction is synergistic when SC > 0 and antagonistic when SC < 0 [22,23]. For instance, some researchers, mainly from Asia, have used different expressions [36].
Synergism, as a phenomenon in solvent extraction chemistry, has been interpreted as being due either to the replacement of water molecules bound to the metal ion by a more strongly binding ligand (S) or to the expansion of the metal-ion coordination shell to include such ligands [37]. For example, the addition of the first molecule of S completely dehydrates the chelated complex [Nd(TTA)3(H2O)2] (where TTA− is the anion of thenoyltrifluoroacetone) established in the dry benzene diluent. In both models, the adduct increases the interaction of the complexed metal ion with the organic diluent. Many values of logK, ΔH and ΔS have been reported for the reaction:
where S = tributylphosphate (TBP) or trioctylphosphine oxide (TOPO) with the coordinated water, if any, omitted. However, only the Nd(TTA)3 system gives evidence for the addition of more than one molecule of S (TBP or TOPO) in comparison to UO22+ and Th4+. For all the reactions studied in [37], ΔH was negative. However, ΔS ranged from −60 to +127 J·mol−1·K−1. Negative entropy changes are associated with dry diluent systems involving the addition of a ligand (adduct) to the chelated complexes Th(TTA)4 and Nd(TTA)3·S. Synergism was also found to result primarily from the large positive entropies caused by the dehydration resulting from the addition of an adduct to 4-benzoyl-3-mehyl-1-phenyl-pyrazolin-5-one (HPMBP) f-complexes [38]. Both the enthalpy and entropy changes suggest little or no dehydration in the reaction for Th(PMBP)4 with TOPO molecules in the organic phase, whereas it is probably the major factor in these two values for other studied f-ions such as UO22+, Y, Gd and Nd. Water determinations indicate that the metal-ion/PMBP complexes are less hydrated than the corresponding TTA complexes, which is probably due to increased solvation by the diluent in use, nitrobenzene. The larger dielectric constant (34.8) of nitrobenzene (cf. 2.3 for benzene) seems to decrease the synergistic reaction, in agreement with the interpretation of synergism as being related largely to the increased non-polar character of the metal-extractant-adduct complex [38]. The following species were found to be formed in nitrobenzene used to extract f-ions from aqueous solutions with I = 0.1 mol dm−3 NH4NO3: UO2(PMBP)2·TOPO, Th(PMBP)4·TOPO, Y(PMBP)3·TOPO·H2O, Gd(PMBP)3·2TOPO, Nd(PMBP)3·xTOPO, x = 1, 2 [38]. Synergism is found to result primarily from the large, positive entropies caused by the dehydration resulting from the addition of adducts to the PMBP complexes:
M(TTA)n + S ⇌ M(TTA)n·S
M(PMBP)n + xS ⇌ M(PMBP)n·xS
3. General Physicochemical Properties of Chelating and O-Donor Organo-Phosphorus Ligands
Nowadays, molecular design has produced likely multicenter ligands possessing higher extraction efficiencies with various structural backbones. For instance, powerful and selective extractants are essential components for efficient metal ion recovery and separation processes. Many types of acidic chelating compounds, mainly those with fluorinated or O-donor organophosphorus substituents, have been used successfully for the solvent extraction of metal ions from aqueous solution, including separation of the 4f and 5f ions. Such lipophilic reagents must have certain physicochemical properties. These include [39,40] (i) the formation of stable (preferably chelated) complexes with the target metal ion(s); (ii) discrimination against competing species present in the aqueous phase; (iii) maintaining good phase compatibility (sparing mutual solubility) with the organic diluent; (iv) easy partitioning from the aqueous medium; (v) the smooth release of the target metal under suitable conditions (essential for stripping procedures); and (vi) good integrity, i.e., resistance to degradation under realistic technological conditions. Additionally, the ideal ligand should be inexpensive and conform to the twelve principles of green chemistry with regard to sustainability [41,42]. Furthermore, it should consist only of C, H, O and N atoms (the “CHON principle”) [40], making it fully combustible to gaseous products after use. To this, one should add somehow the ideal of specificity, as noted in [43]. The hope of achieving this goal was temptingly proffered after the introduction of Tschugaeff’s dimethylglyoxime as a reagent for nickel by Brunck in 1907 [44]. Nonetheless, such a goal is rarely attained through a lucky chance, despite the progress in the field of analytical chemistry, nowadays. Unfortunately, as noted above, molecules containing F and P usually have better coordination abilities, especially towards the f-block ions [45]. On the other hand, the acid dissociation constant of the chelating agent is an important physicochemical parameter that is needed to estimate its application as an extractant [46]. The so-called S-criteria required for this process consist of selectivity, strength, speed, separation, solubility, stability, safety, synthesis, and a system [47,48].
In fact, many β-diketones are commercially available at high purity [49]. A β-diketone molecule behaves as a monobasic acid, as the hydrogen on the α-carbon in its β-diketone form or the enol proton of the β-keto-enol form (Figure 2), and can readily dissociate over an appropriate pH range. The simplest of the β-diketones, acetylacetone, forms neutral chelates with about 60 metal ions [50]. Its solubility in neutral aqueous solution at 25 °C is 1.92 mol dm−3 [51], and this increases with increasing ionic strength and acidity of the aqueous phase, probably due to a shift of the enol-keto equilibrium. However, the purity of the used organic compounds must be sufficient for accurate determination of the equilibrium constant, as they are much less soluble in aqueous solutions. An example of the keto-enol tautomerism of a typical β-diketone is shown in Figure 2 [52].
Figure 2.
Tautomeric forms of benzoylacetone (HBA) in CDCl3 in equilibrium at room temperature.
Thenoyltrifluoroacetone (HTTA), an unusual coordination compound, was introduced by Calvin and Reid in 1947 and has been extensively exploited as an extractant, particularly for lanthanoid elements [17,25]. Its most striking feature is the fact that the trifluoromethyl group gives it a high acidity in the enol form, which is very useful for extracting various metal ions at relatively low pH. In addition to acting as “scavengers” for a whole range of cations in Periodic Table, it is possible to devise solvent systems which are particularly efficient for target metals. There have been innumerable papers describing the application of this preferable molecule during the years [53].
Acylpyrazolones have been known since the end of the 19th century. The acylpyrazoles are α-substituted β-dicarbonyl compounds with acid dissociation constants (pKa = 2.5 to 4) that are much lower than 2-thenoyltrifluoroacetone [54,55,56,57]. The 4-acylpyrazol-5-ones, first studied by Jensen [56], are among the most widely exploited O-donors. An advantageous, fast and efficient protocol was developed in 1959 by Jensen [58], which has practically no concurrence and has been intensively exploited up to the present day (Figure 3). They have attracted attention because of their lower pKa values (cf., conventional β-diketones), good extracting and separating abilities, and the intense colors of their complexes. Aroyl pyrazolones have displayed great complexing and extracting abilities towards the 4f and 5f elements and other metal ions. These abilities were found to be strongly dependent on the location and nature of the substituent(s) in the aromatic ring of the acyl group, which influence the electronic, steric and solubility parameters of the ligand.
Figure 3.
Selective C-acylation of 3-methyl-1-phenyl-pyrazol-5-one.
The very low pKa value (1.23) makes 4-acyl-5-isoxazolones an interesting class of β-diketones for the extraction and separation of metal ions from strong acid media [59,60]; see Figure 3 in [53].
Tri-n-butyl phosphate (TBP, (CH3CH2CH2CH2O)3PO, Figure 4) is an inexpensive ester of phosphoric acid and n-butanol. It is an excellent solvent extractant for various metal ions and has a good chemical stability and high selectivity. It has high boiling (289 °C) and melting points (−80 °C), a density of 0.977 g·cm−3 and a viscosity of ~3 cP at 25 °C. Its solubility in water or in 1 mol dm−3 nitric acid is low, ~400 ppm. As a matter of fact, the potential of TBP as a metal extractant was demonstrated in the 1940s as part of the Manhattan Project in the USA [61]. A 15–40 wt.% solution of TBP in kerosene or dodecane is widely used in the liquid-liquid extraction of uranium, plutonium and thorium from spent uranium nuclear fuel rods, following dissolution in nitric acid, as a part of a nuclear reprocessing process known as PUREX [62,63].
Figure 4.
Chemical structure of tri-n-butyl phosphate (TBP) and trioctylphosphine oxide (TOPO).
Compared with other ligands, such as β-diketones, TBP is moderately powerful when used alone. Its affinity for metal ions is derived from its phosphoryl group, forming O-bonded coordinate links: (C4H9O)3P=O → M.
Another interesting organophosphorus extractant is trioctylphosphine oxide (a PIN trioctyl-λ5-phosphanone) ((C8H17)3PO, TOPO; see Figure 4). Phosphine oxides (designation σ4λ5) have the general structure R3P=O, with formal oxidation state V. The coordination number is designated by σ. The valency, or total number of bonds attached to phosphorus, is described by λ. The high lipophilicity and the strongly electron-donating character of the oxygen moiety are the key properties of this ligand [64,65]. In the latest item of a long series of papers accumulating over several years, the simple replacement of O by S or N by P, and other attempts to exploit steric hindrance in various ways, have not met with much success.
Calixarenes are supramolecules, first produced in the laboratory of Adolf von Baeyer in Berlin in the year 1872 [66]. Their oligomeric nature was delineated in the 1970s by Gutshe [66], who gave the compounds their currently accepted name (Gr: calyx meaning vase or chalice, and arene indicating the presence of aryl moieties) [22]. Calixarenes generally have high melting points, high chemical and thermal stability, low solubility and low toxicity. The introduction of substituents and functional groups on both the lower or “wide” hydrophilic (OH) and upper or “narrow” hydrophobic (hydrocarbon) rims allows almost unlimited structural modification, which can be used to create neutral host molecules that can selectively bind guest substrates, Figure 5 [67,68,69]. The chemical structures of some calixarenes are presented in Figure 6. In general, calixarenes containing phosphorus pendant arms on the lower rim have substantially improved extraction efficiencies and selectivity with regard to lanthanoids and actinoids [6], whereas other variants have shown good selectivity for separating alkali and alkaline-earth ions and various heavy metals.
Figure 5.
Molecular structure of calix[4]arenes.
Figure 6.
Chemical structures of several selected calixarenes.
Several commonly used compounds in solvent extraction chemistry and their abbreviations are provided in Table 1.
Table 1.
Several ligands considered in this study.
4. Presentation of Equilibrium Data and Some Abbreviations Used
First, it must be stressed that organic extractants facilitate the transfer of the metal ions from the aqueous to organic phase in solvent extraction chemistry. Since its discovery, a great deal of interest has been focused on the synergism in the extraction of metal ions by β-diketones [30]. Usually, they dissociate at low pH to form anionic ligands that form strong metallic complexes. Consequently, it is essential that an extractant and its metal complex have a very low solubility in water and a high solubility in the water-immiscible phase, i.e., the organic phase. In aqueous solutions, acetylacetone is a weak acid in equilibrium with hydrogen ions and with enolate ions:
C5H8O2 ⇌ C5H7O2− + H+
The dissociation constant of the acid HA can be defined as:
but for convenience is usually presented in logarithmic form: pKa = −log10Ka. For instance, IUPAC has recommended that the pKa values for acetylacetone in aqueous solution at 25 °C are 8.99 ± 0.04 (I = 0), 8.83 ± 0.02 (I = 0.1 mol dm−3 NaClO4) and 9.00 ± 0.03 (I = 1.0 mol dm−3 NaClO4) [50]. It is desirable that internationally agreed-upon nomenclature, symbols, and units be used.
The distribution of acetylacetone between an organic diluent and an aqueous phase can be described as
where KD(HA) = [HA]o/[HA] and “o” indicates the organic phase species.
DHA = [HA]o/[HA] + [A−] = KD(HA)/(1 + Ka[H+]−1),
Distribution constants decrease with an increase in the ionic strength and the acidity of the aqueous phase in accordance with the increasing solubility of molecules in aqueous electrolyte solutions, e.g., logKD(HA) between water and chloroform at 25 °C at cHA ≤ 0.1 mol dm−3: 1.38 ± 0.02 (I = 0.001 mol dm−3), 1.37 ± 0.01 (I = 0.1 mol dm−3) and 1.25 ± 0.03 (I = 1.0 mol dm−3) [50].
For instance, the solvent extraction process of trivalent lanthanoid ions (Ln3+) with the chelating ligand (HL) alone and with an additional ligand, i.e., a synergist (S), can be represented by Equilibria 1–5 presented in [53]. The equilibrium constants KL, KL,S and βL,S are usually given by the expressions described in [53] (6–10). The equilibrium constants KL, KL,S and βL,S are concentration constants and are based on the assumption that the activity coefficients of the species do not change significantly under the experimental conditions employed. This means that the activity coefficients were kept (approximately) constant during measurements. Such constants are strictly valid only in the chosen electrolyte at the stated ionic strength. In other words, I symbolizes the ionic strength. A variety of ionic strengths, most ranging from 0.1 (the most widely used) to 1.0 mol dm−3 of mainly background 1:1 electrolytes (e.g., NaCl, NaClO4, NaNO3), have been utilized. Ideally, the electrolyte used should not introduce any impurities to the solutions and should not react with the species under study [70]. Thus, the medium should keep the activity coefficients effectively constant.
The analyte (metal species, M) distributes itself between the two liquids according to its hydrophobic/hydrophilic character:
where Vaq and Vo are the volumes of the two liquid phases. The ratio expresses the total (analytical) concentration of a solute in the extract (regardless of its chemical form) to its total (analytical) concentration in the other phase (aqueous). It is usually difficult under analytical conditions to work outside the range of phase ratios from 0.2 to 5.0, and a procedure that requires exceptionally small or large phase ratios is to be questioned. Of course, with a phase ratio of unity, the completeness of extraction should be 99.9%, at an error of less than 0.1%. This means a distribution ratio of ≥103 [71].
Generally speaking, the synergistic solvent extraction of lanthanoids has usually been studied using ”slope analysis”, a traditional and effective method of obtaining both stoichiometric and equilibrium constant information about the extraction process [53,59,72,73]. Some limitations of slope analysis arise from side reactions in the aqueous [74,75,76,77,78] or organic phases and to the interaction between extractants (Figure 7).
Figure 7.
Process of solvent extraction.
Based on a study by Sekine [75,76,77,78], we may conclude that some chelate complexes in the aqueous phase (e.g., HTTA, dioctylhydrogenophosphate/CHCl3, CCl4) or the extraction of any mixed chelate complexes (examples: HTTA-TBP, HTTA-methylisobutylketone) are negligible under the applied experimental conditions. Metal ions in the aqueous phase of course also form complexes with the extracting chelating ligand, HL, which has been distributed between the organic phase into the aqueous phase, and thus the aqueous chelate complexes my cause a systematic error in the calculated stability constants [79]. This deviation would be decreased with the use of the synergistic solvent extraction system because the adduct formation of the chelate complexes in the organic phase makes metal extraction several times higher, and so one can obtain a certain distribution ratio of the metal at a lower [HL](o)/[H+] [79]. The slope analysis method will also not give good results if some impurities are presented in the organic phase that are likely to form addition compounds with extractants. As it is well known that the chelating agents are weak acids and neutral donors are bases, there is a possibility of interaction between them, which will reduce the concentrations of free ligands and was found to result in a particularly antagonistic effect [23,80]. It can be assumed that this type of association between the reagents would decrease both of their concentrations in the organic phase and thus their availability for chelate extraction and further for adduct formation, and this should decrease the overall synergistic enhancement [81].
In this context, the distribution of six β-diketone compounds (acetylacetone, benzoylacetone, trifluoroacetylacetone, benzoyltrifluoroacetone, thenoyltrifluoroacetone, hexafluoroacetylacetone) between hexane, benzene, carbontetrachloride or chloroform and 0.1 mol dm−3 aqueous perchlorate solutions has been measured in the presence of TOPO [82]. The distribution ratio was, in many cases, enhanced by the presence of TOPO in the organic phase; this was explained in terms of the association of β-diketone and TOPO:
HL(o) + S(o) ⇌ HL·S(o) or HL(o) + 2S(o) ⇌ HL·2S(o)
The association constants were greater when the β-diketone was stronger as an acid and also in the following order of diluents: CHCl3 < CCl4 < C6H6 < C6H14 [82]. When the diluent is chloroform, the association is observed only between hexafluoroacetylacetone and TOPO. With the other tested β-diketones, a slight decrease in the distribution ratio with an increase in the TOPO concentration has been distinguished.
It should be noted that there are quite a few new ideas that have appeared in the literature recently, with a significant impact in the field of metal solvent extraction [83,84,85,86,87,88,89,90], but here the classic scientific developments are considered.
5. Data Evaluation Criteria
As a whole, the reliability of published equilibrium constants for the formation of complexes by various ligand combinations with 4f metal ions has been evaluated here using the criteria adopted in previous IUPAC publications in this area [91,92,93,94,95,96,97] and also summarized in [53]. Thus, recommended values are normally based on a comparison of at least two independent high-quality publications that meet these established requirements. These are the usual criteria for the selection of published data that are used for the grouping of “recommended” and “provisional” values. Nevertheless, experimental data were examined initially on the basis of these criteria and grouped first into two categories: “accepted” and “rejected”. Of the data that passed the preliminary acceptance criteria, those that exhibited the best agreement normally were averaged, rounded and, depending on the standard deviations (s.d.), their mean values were regarded as recommended (R): s.d. ≤ 0.05 log units for metal complexes (M + L, H + ML, or M + HL) or provisional (P): 0.05 < s.d. ≤ 0.2 log units. Unfortunately, for most of the metal + ligand(s) combinations that are the focus of this study, comparison of results from two or more independent research groups under the same experimental conditions was rarely possible. A good example is the two more or less independent publications concerning solvent extraction studies applying 4-benzoyl-3-phenyl-5-isoxazolone (HPBI) in CHCl3, but using different electrolytes—0.1 mol dm−3 NaClO4 [98] and 0.1 mol dm−3 2-morpholinoethanesulfonic acid (MES) buffer [60]—and with different determined logK values for La3+ (−1.33 ± 0.05; −11.34 ± 0.1) and Lu3+ (0.70 ± 0.05; 0.73 ± 0.1), respectively. However, such a comparison was possible only for frequently used extractants, such as chelating compounds, and was also limited to some 4f ions, so strictly following the above criterion would leave a large number of equilibrium constants unassessed. Therefore, an attempt was made to extend the assessment to equilibrium constants published by one author/research team that were not determined independently by other different scientists [99,100].
In consequence, data from a single study have also been recommended (R, s.d. ≤ 0.05 log units) if (i) there was no doubt concerning the adequacy of the experimental and calculation procedures or (ii) the results were in R-level agreement with either the recommended values for similar cations (e.g., the trivalent lanthanoid ions) or with values for the same constant for the same cation, but under slightly different experimental conditions (e.g., temperature, ionic strength). The reliability of the data was normally revealed through careful examination and even the recommended values cannot be regarded as “final” ones, but rather as a data source that is helpful for providing practical guidelines because there is no guarantee of a lack of misprints and errors. Therefore, even the critically evaluated data have to be treated routinely with care and prudence because after all, errors cannot be excluded a priori.
In a similar way, a provisional (P) ranking was given to some results from single papers if they showed P-level agreement with other researchers for at least one different 4f cation. A provisional designation was also assigned to those data in good agreement with independent studies, even if the evaluators noted some deviations from the necessary rigor. In a few cases, values from a single publication that fit the general trend within P-level results have also been treated as provisional. For this reason, “P” can be assigned for good quality papers of which the results have not been confirmed: 0.05 < s.d. ≤ 0.2 log units. For instance, most of the uncertainties reported in the literature reflect analytical and numerical precision, but do not include systematic errors.
In this work equilibrium constants were in all cases simply taken from the original source. Our primary aim was to choose and recommend of the best value of each constant, taking into account the precision and care with which experiments have been performed [100].
The criteria for assigning equilibrium data as “recommended” or “provisional”, based partly on those used in previous IUPAC critical reviews [91,92,93,94,95,97], will be left to be categorized by the reader. The term “indicative” (I) implies a value that the present authors consider to be reasonable, somehow below provisional but above rejected, or at least the best available, but which has not been substantiated by independent studies under the same experimental conditions and therefore has a level of uncertainty. For a more explicit discussion and definition of terms, see [97,98,99,100,101].
It should be stressed that the formulation of uniform criteria for ligands of different chemical natures and denticities is not possible. The same treatments have been used in some scientific papers that do not have evident errors but which contain gaps in the description of some important experimental details, and hence the data are to be regarded as informatory. Some research papers with data that were rejected contained important Supplementary Information (normally spectroscopic) that could be helpful in future research investigations. Thus, all the references, including some with doubtful or partial data, are listed in the notes below tables in each section devoted to the particular ligand(s), and the metal cations under study. It is advisable for the reader to use provisional constants obtained under well-identified experimental conditions because, in spite of the numerous studies recommended values could be offered in only a few cases, taking into account the diversity of ligands. However, data that were unacceptable at first glance have not been listed in the Tables. References that are cited (see Supplemental Material) but not included in the Tables also include:
- Communications with possibly correct data, but inadequate or poor descriptions of experimental conditions;
- Communications that reviewers could not access in the original version;
- Publications from the same research group as that of a cited study with stability constant data that completely duplicate the data in the cited study;
- Publications that need further independent evaluation (this situation includes the cases where two independent research groups offer data that formally met the requirements stated above, but owing to some hidden systematic errors exhibit very large numerical discrepancies);
- Publications that provide data for conditions that contrast with those used to obtain other data (e.g., high or low temperatures, “unusual” ionic strengths, mixed diluents, overly complicated metal mixed ligand complexes, effective or conditional stability constants, etc.). Another obvious reason for this is associated with an inadequate description of chemical equilibria in a particular solvent extraction system, especially implementing ionic liquids compounds;
- Publications that present only enthalpy values (e.g., [102]); and
- Publications that present only D values (e.g., [103]).
The purity of reagents and diluents and the procedures for purification should be given in all papers. The ligand combinations were considered in order of increasing complexity. Information on the experimental conditions used in papers selected for evaluation is provided after each table. The averaged equilibrium constants (with standard deviations in parentheses) and their evaluation categories are tabulated, together with the most important experimental information (medium, temperature) and the references that contributed to the mean value listed in the table. When the average value was derived from data obtained in different media, symbols such as Na/KCl or KCl/NO3 are used. The evaluators did not adjust stability constants to a uniform ionic strength or medium. When buffer solutions are used, complex formation may occur between the metal ions of interest and the buffer components. The data listed represent an average (mean) of those reported in the accepted publications. Critically evaluated data are presented in Tables 2–8. Based on this conjecture, in Tables 2–8, the assigned uncertainty for each “accepted” datum of log10K reported originally by the authors represents a 95% confidence level. The tables summarize data up to the end of July 2022. For each extractant combination and its established 4f complexes, distribution equilibrium constants, as well as appropriate extraction constants, are recorded. Note that all outlined metal complexes (placed in the columns titled equilibrium in Tables 2–8) obtained due to the reactions described in this document refer to those established in the organic solutions. For each synergistic solvent extraction system, information is provided for the chemical reaction, the equilibrium constant, the temperature (°C or “rt”—room temperature, which is assumed to fall within the range from ca. 20 °C to 35 °C), the composition of the aqueous and the organic phases, the homogeneous equilibria involving the acid dissociation of the main extractant in the aqueous phase, and of course the reference to the original published source. The organic diluent used must be specified [104]. Concentrations are expressed in mol dm−3. It is important that the total concentrations of the metal ion(s), ligand(s) and hydrogen ions should be within ranges that are relevant to the particular equilibria. In other words, beyond certain concentration ranges, additional equilibria may need to be taken into consideration [60]. All stability constants are reported in terms of concentrations. This means that activity coefficients were assumed to be constant throughout the measurements. As noted above, this means that the reported constants are valid only at the stated ionic strength in the medium selected. The specific analytical technique (spectrophotometric, inductively coupled plasma atomic emission spectrometry, etc.) used for measurements are not included [50,105].
6. Combination of β-Diketone and Organophosphorus Ligands
As a matter of fact, the synergistic enhancement of metal-ion extraction has been studied most extensively using thenoyltrifluoroacetone (HTTA) ligands and various organic phosphate esters. Some important findings, valid for organic molecular diluents [106,107] as well as for ILs [53], have been summarized already.
In the data compilation tables, the calculated references obtained in an ionic liquid environment can also been seen. The very limited set of equilibrium constant data concerning metal extraction in ILs raise the hope of obtaining much greater extraction efficiencies of metals and increased selectivity at the same time. In order to highlight the ionic character of such compounds, the ILs are noted as [Cat+][Ani−]. As regards the most typical IL family, imidazolium cations are denoted as [CnCmim+] for n-alkyl-m-alkylimidazolium, whereas the anion [(CF3SO2)2N−] (bis(trifluoromethylsulfonyl) imide, [Tf2N−]) has been by far the most frequently investigated one (see Figure S2 in the Supplementary Material). For instance, the ionic character of IL compounds has an essential influence on the extraction process of metallic species from the aqueous phase and the reaction mechanisms are often quite different, without analogs in volatile organic compound (VOC)-based systems. Although metals generally exist in the form of neutral hydrophobic complexes in molecular liquids (Equation (8)), charged metallic entities that are highly soluble in an IL phase may pertain to this ionic solvation environment (Equation (10)). In contrast, electroneutrality is an important principle as only neutral complexes may enter the hydrophobic molecular organic layer. Therefore, an ion exchange mechanism is perhaps one of the most relevant metal extraction models in which ILs are used as diluents. Furthermore, component ions of the ILs—cations or anions—can be transferred to the aqueous phase, permitting ion exchange mechanisms and including them in the chemical equilibrium reactions [16,17]. Thus, the extraction equilibria in the two liquid phases—molecular or ionic—and the extraction constants of the neutral and anionic complexes of 4f ions formed with the sole use of HTTA can be expressed as follows:
whereas in an IL media [C1Cnim+][Tf2N−],
Ln3+(aq) + 3HTTA(o) ⇌ Ln(TTA)3(o) + 3H+(aq)
Ln3+(aq) + 4HTTA(o) + [Tf2N−](o) ⇌ Ln(TTA)4−(o) + 4H+(aq) + [Tf2N−](aq)
To avoid overweight and to assist the reader, the expression of the extraction constants (logK) for most of the cited cases (Tables 2–8) can be found in [53].
It is important at present to point out the efforts undertaken to exploit the most favorable features of this liquid media, especially for the combined used of two ligands for metal complexation in solution. The complexity of the multiple possible mechanisms occurring during synergistic solvent extraction is the key factor to consider here [17,108,109]. Although still less explored as a scientific topic, several valuable examples can be found in the open literature. Unfortunately, an attempt to calculate equilibrium constants has been made for the cases of two molecular ligands dissolved in ILs, among the infinite possible combinations, as shown in Figure 8.
Figure 8.
Evolution of the solvent extraction chemistry of 4f ions.
A survey of the data is presented in Table 2. Data in the tables are first ordered according to the target 4f ion, followed by the applied ionic strength (I) and the type of metal complex extracted in the organic phase, and within each category the data are sequenced in line with the applied diluents. Water of solvation in some metal chelates is omitted for the sake of simplicity.
Table 2.
Recommended and provisional (noted as “P”) data for synergistic systems of thenoyltrifluoroacetone with an organophosphorus ligand for the solvent extraction of trivalent lanthanoids.
At four different concentrations of TBP (3, 10, 30 and 80 mmol dm−3) and 0.2 mol dm−3 HTTA the distribution ratios (D) vs. Z have been plotted, showing a gradual change and the tetrad effect involved in the synergistic extraction process [112]. When the complex Ln(TTA)3·TBP [112] is formed, the corresponding K value is roughly six orders of magnitude larger than the extraction constant without a synergist in the solvent system. It can be seen that the value for Lu(TTA)3 chelate (−1.62) obtained in CCl4 at 1 M NaClO4 differs very much from the value of −7.43 published in [114] and thus it can be regarded as strongly doubtful and can be used only as informative additional data. On the other hand, the choice of a molecular diluent is very important not only for synergistic enhancement, but also for the effective separation of complexes with different compositions [116]. The tris-TTA chelate EuL3 forms two types of synergistic adducts, EuL3·TOPO and EuL3·2TOPO. The adduct formation constants determined in approximately thirteen diluents are strongly diluent-dependent, e.g., logβS2 = 15.08 in pentane, compared to 7.68 obtained in chloroform.
Furthermore, Aly et al. have found that almost all lanthanoids can be synergistically extracted usng a HTTA-TOPO mixture in benzene under comparable conditions and it has been reported that the separation factors as well as the synergistic coefficients change periodically in a manner directly related to the tetrad effect, the double-double effect and the so-called inclined-W effect [118]. That contribution was an extensive study on the solvent extraction of the whole 4f series, except two ions, Pm and Lu. In that work [118], the lanthanoid chelate, Ln(TTA)3, gave an adduct of a general formula Ln(TTA)3·2TPPO across the whole series:
Ln3+(aq) + 3HTTA(o) + 2TPPO(o) ⇌ Ln(TTA)3·2TPPO(o) + 3H+(aq)
To date, no studies are available concerning the coordination of water molecules to the chelate or the mixed adduct. In many cases, it was suggested that the lighter members, i.e., La-Nd are mainly 9-coordinated, whereby the heavier representatives Gd-Lu are 8-coordinated in solutions.
Only ion exchange reactions of the extraction process of 4f ions are assessed in this work. The exact composition of complexes formed by ligand(s) is represented regularly in column four. No attempt was made here to form an opinion of the equilibrium constants for 5f ions, but some published results are presented in section Supplementary Material, as additional notes to Tables. A survey of the data using various β-diketones is presented in Table 3.
Table 3.
Recommended and provisional data (noted as “P”) for synergistic systems containing β-diketone and organophosphorus ligands used for the solvent extraction of trivalent lanthanoids.
Overall, it has been reported that the synergistic effect is different when different inert organic diluents are applied and is usually larger when water has a smaller solubility in the organic diluent. The pH of 50% extraction increases in the following order of applied β-diketones [106]: TTA ≈ FTA < BFA < TAA < BZA < AA. Therefore, acetylacetone showed the lowest extraction of Eu(III), at less than 10%. The metal chelates with CH3-group β-diketones did not form the second adduct, ML3·2TBP, but the metal chelates with CF3-group β-diketones formed this second adducts in solution. The substitution of a methyl group in acetylacetone or trifluoroacetone with a benzoyl, froyl or thenoyl group increases the possibility of good metal extraction, because the substitution increases the organophilic tendency of the molecules and prevents the formation of metal chelates in the aqueous phase. Moreover, β-diketones with one trifluoromethyl group extract metal ions from aqueous solutions at a lower pH than those without the CF3-group.
The stability of rare earth benzoyltrifluoroacetone complexes decreases, but that of adducts increases, as the ionic radius increases in 4f series [120]. The maximum number of base synergistic molecules bonding to one molecule of the metal chelate is two, except in the case of lutetium adducts with TOPO ligands, in which the formation of secondary adducts is not observed. The logK values for the synergistic mixture including n-hexyl alcohol with the formation of the species ML3·S are listed herein as well—La: 1.95; Eu: 1.85; Tb: 1.85; Lu: 1.65. Thus, the studied organic bases form stable adducts with rare earth benzoyltrifluoroacetonates in the following order: 4-hexyl alcohol < TBP < TOPO. The value of pH1/2 rises as the ionic radius of the central rare earth metal increases [120].
A great increase in the equilibrium constant value (approximately 11 orders of magnitude) was found with the addition of the synergist calixarene S7 molecule (see Figure 6 and Table 4) to the system Ln3+–HTTA. In order to compare the solvent extraction efficiency of the HTTA-S7 system to that of the chelating extractant HTTA used alone, the pH50 values (values of pH where logD = 0, i.e., 50% of the solute was extracted; pH0.5 or pH1/2) were obtained, corresponding to the extraction of the studied lanthanoids in the absence and in the presence of calix[4]arene, with a difference between the pH50 values of 1.7–1.3 pH units detected [22]. Outstanding SC results for the HTTA˗S7/CCl4 system (up to 105) were obtained [124], but the synergism drastically decreased upon a change in the synergistic agent with S8 [125]. The calculated SCs of Ln(III) ions of the HTTA˗S8 combination [125] were in most cases approximately five times smaller than those in which the co-extractant was S1 [123]. As a whole, the interaction of adduct molecules with metallic ions depends strongly on the organic function in which the donor atom resides (i.e., on the charge density of the donor) [127]. In this sense, the influence of the synergistic agent used in the systems HTTA-S8 and HTTA-S7 on the degree of solvent extraction is clearly shown in Figure 9.
Figure 9.
SC data visualization of the two solvent systems HTTA-S7 and HTTA-S8 with a Nightingale rose diagram.
On the other hand, it may be important to investigate various solvent systems in order to compare phosphorus-containing ligands with other synergistic agents (Figure 10). The superiority of the system involving calixarenes can be clearly seen, followed by crown ethers and the very popular ionic liquid Aliqut 336 [128,129]. Nonetheless, a large number of rare earths bearing phosphate minerals have been found in nature, thus indicating that 4f ions have a strong natural affinity towards phosphates.
Figure 10.
Comparison of synergistic solvent extraction systems for lanthanoids: logKT,S vs. Z.
Table 4.
Recommended data for the synergistic system of thenoyltrifluoroacetone and organophosphorus ligands when different temperatures were applied.
Table 4.
Recommended data for the synergistic system of thenoyltrifluoroacetone and organophosphorus ligands when different temperatures were applied.
| Cation | I (M) | Diluents/T °C | Equilibrium | logK | Refs. |
|---|---|---|---|---|---|
| Eu | 0.1 NaClO4 and pH = 3.4 | C6H6 | Eu(TTA)3 | −7.22 ± 0.05 | [130] |
| Eu(TTA)3·TOPO | −0.63 ± 0.02 | ||||
| Eu(TTA)3·2TOPO | 4.74 ± 0.02 | ||||
| 10 °C | Eu(TTA)3·2TOPO | 4.74 ± 0.02 | |||
| 25 °C | 4.74 ± 0.02 | ||||
| 35 °C | 4.74 ± 0.02 | ||||
| 45 °C | 4.75 ± 0.03 | ||||
| Tb | Tb(TTA)3 | −7.25 ± 0.05 | |||
| Tb(TTA)3·TOPO | −0.93 ± 0.03 | ||||
| Tb(TTA)3·2TOPO | 4.32 ± 0.02 | ||||
| 152,154Eu a | 0.1 chloroacetate buffer, pH 2.77 | C6H6, 30 °C | Eu(TTA)3·2TBP | 2.85 ± 0.07 | [131] |
| 40 °C | 2.67 ± 0.04 | ||||
| 50 °C | 2.54 ± 0.04 | ||||
| 60 °C | 2.27 ± 0.04 | ||||
| 30 °C | Eu(TTA)3·2TOPO | 3.30 ± 0.04 | |||
| 40 °C | 2.95 ± 0.05 | ||||
| 50 °C | 2.89 ± 0.03 | ||||
| 60 °C | 2.77 ± 0.06 |
Note: a Equilibrium constants for the organic-phase synergistic reactions are presented in Table 3, increasing in the following order: DPSO < TBP < TOPO (diphenyl sulfoxide) [131]. The obtained results indicate that the synergistic species extracted into the organic phase were of the type Eu(TTA)3·S and Eu(TTA)3·2S. In addition, thermodynamic parameters for the organic phase synergistic reactions of the Eu(III)−HTTA chelate with neutral oxo-donors were also given: Eu(TTA)3(o) + x S(o) ⇌ Eu(TTA)3·xS(o), x = 1,2.
7. Combination of 4-Acyl-Pyrazolones and Organophosphorus Ligand
A survey of the data is presented in Table 5.
Table 5.
Recommended and provisional (noted as “P”) data for the synergistic system of 4-acyl-pyrazolone and organophosphorus ligands for the solvent extraction of trivalent lanthanoids.
The substituent effect of several 1-phenyl-3-methyl-4-acylpyrazol-5-ones on the adduct formation between their europium and scandium chelates and TOPO ligands in C6H6 was studied [132]. It was found that europium acylpyrazolonates react with TOPO to form an adduct of the type EuL3·S for an aliphatic group and the EuL3·2S type for aromatic and trifluoromethyl groups. The stability of adducts increases in the following order: aliphatic < aromatic < trifluoromethyl. A steric effect of the terminal group on adduct formation was observed for 2-, 3- and 4-methyl-substituted benzoylpyrazolonates of europium, and especially scandium. In the typical β-diketonate system, the stability of adducts formed increases in the following order: aliphatic groups (e.g., acetylacetonate, dipivaloymethane) < aromatic groups (e.g, benzoylacetone, dibenzoylmethane), trifluoromethyl groups (e.g., trifluoroacetylacetone, thenoyltrifluoroacetone). Similarly, the adducts formed with unfluorinated 4-aliphatic-substituted pyrazolones are expected to be less stable than those formed with 4-aryl- or 4-trifluoromethyl-substituted pyrazolones. This is reflected by the reaction of one mole of TOPO with one mole of europium chelate to form an EuL3·S adduct for the aliphatic-substituted pyrazolone system. The general trend indicating that the synergistic effect increases in the order described above can also be applied to the present system, i.e., the trifluoromethyl group strongly withdraws electrons between the metal ion and acylpyrazolone, whereas an aromatic group gives a resonance effect to π-electrons of the chelate ring. Accordingly, when an alkyl group replaces the aromatic or trifluoromethyl group, the interaction between the metal and the ligand may weaken, and the residual coordinating power of the metal may increase. Thus, such a situation would be favorable for adduct metal formation [132].
Moreover, the calculated values of logKL for 3-methyl-1-phenyl-4-(4-trifluoromethylbenzoyl)-pyrazol-5-one are approximately 1.50, 1.20 and 0.9 logarithmic units higher than those obtained with 3-methyl-4-(4-methylbenzoyl)-1-phenyl-pyrazol-5-one (HPMMBP), 3-methyl-4-benzoyl-1-phenyl-pyrazol-5-one (HP) and 3-methyl-1-phenyl-4-(4-trifluoromethylbenzoyl)-pyrazol-5-one (HPMFBP), respectively (Table 6). This difference is due to the fact that this HL reagent is a slightly stronger acid (pKa = 3.40) than HPMMBP (pKa = 4.02), HP (pKa = 3.92) and HPMFBP (pKa = 3.52). Therefore, the acidity of the extracting agent is increased by the electron-withdrawing effect of the fluorinated group, and the extracting agent can be used to extract metal ions from more acidic aqueous solutions, so the equilibrium values increase as the pKa value decreases, as shown in Figure 11.
Table 6.
Recommended data for the synergistic solvent systems of 4-acyl-pyrazolone and calixarenes.
Figure 11.
LogKL of various 4-acylpyrazolones (diluent CHCl3) vs. atomic number Z of La, Nd, Eu, Ho and Lu.
It is necessary to point out the peculiar behaviour of the principal extractant in use (HL) and its essential role in establishing synergism. This fact stands out clearly when different reagents from the family of pyrazolones are considered. The obtained values of the equilibrium constants decrease approximately in the following order: HPMFBP−S1 > HP−S1 > HPPMBP−S1 > HPMMBP−S1, as shown in Figure 12. Moreover, the comparison of the logKL,S values for Eu3+ with those of the other four studied 4f ions shows that log-log plots describing their behavior in five mixtures are nevertheless parallel to one another (Figure 12). Nonetheless, it is necessary to clarify here that CHCl3 is the diluent used for the system HPMFBP−S1, whereas in the cases with monofunctional synergistic agents the diluent is C6H6. In other words, we cannot underestimate the exceptional benefits of calixarene molecules in any way.
Figure 12.
Comparison of logKL,S (La, Nd, Ho and Lu) vs. logKL,S (Eu) values obtained using several synergistic mixtures.
It may be worthwhile to compare the selectivity of 4f ions, applying various 4-arylpyrazolones in combination with one synergistic agent, i.e., calix[4]arene (S1), for example, in the molecular diluent CHCl3. The impact of para-substitution with –F, 4-aroyl-3-methyl-1-phenyl-pyrazol-5-one, on the selectivity of the lighter lanthanoid pair Nd/La can be easily detected, as illustrated in Figure 13. At the same time, the calculated SFs for middle and heavier 4f representatives obtained with the 4-fluorophenyl terminal group are approximately identical compared with other substituents in the para-position of the 4-acylpyrazolones. The jump, however, is more than drastic, based on the pillars of the graph, when moving from Nd/La to Eu/Nd as the investigated pair.
Figure 13.
Comparison of the SFs calculated for synergistic mixtures of HL−S1, applying a different chelating agent, HL, in CHCl3: 1-Nd/La; 2-Eu/Nd; 3-Ho/Eu and 4-Lu/Ho.
In addition, with regard to the factors affecting the stability of the synergistic adduct, the following generalizations can be made [147]. (i) In general, with organophosphorus compounds as the neutral ligands, the order of synergistic enhancement is that of increasing base strength. Of course, with considerable restrictions as to steric factors, the stability increases with increased donor properties of the molecule. (ii) Though the composition of the adduct remains unaffected, a change in the diluent employed frequently affects the synergistic enhancement. In some extreme cases, the diluent may have an effect on the established synergism greater than the initial synergistic effect. (iii) Sometimes, there is a small but finite decrease in the synergistic enhancement with a decreasing ionic radius of the metal, as shown in Figure 14. The phenomenon can be attributed, at least partially, to the lower energy needed to accommodate the neutral ligand with the increased ionic radius of the central metal atom. (iv) As a whole, stronger chelating agents, which form strong metal complexes, have a lower tendency to facilitate the binding of the neutral ligand to the metal than weaker chelating agents. On the other hand, Irving wrote, “Can we generalize and say that the stronger the complex, the smaller the tendency to form an adduct… and the smaller the synergistic effect in solvent extraction?”.
Figure 14.
SCs vs. Z for several solvent mixtures.
8. Combination of 4-Acyl-5-Isoxazolones and Organophosphorus Ligands
A survey of the data is presented in Table 7.
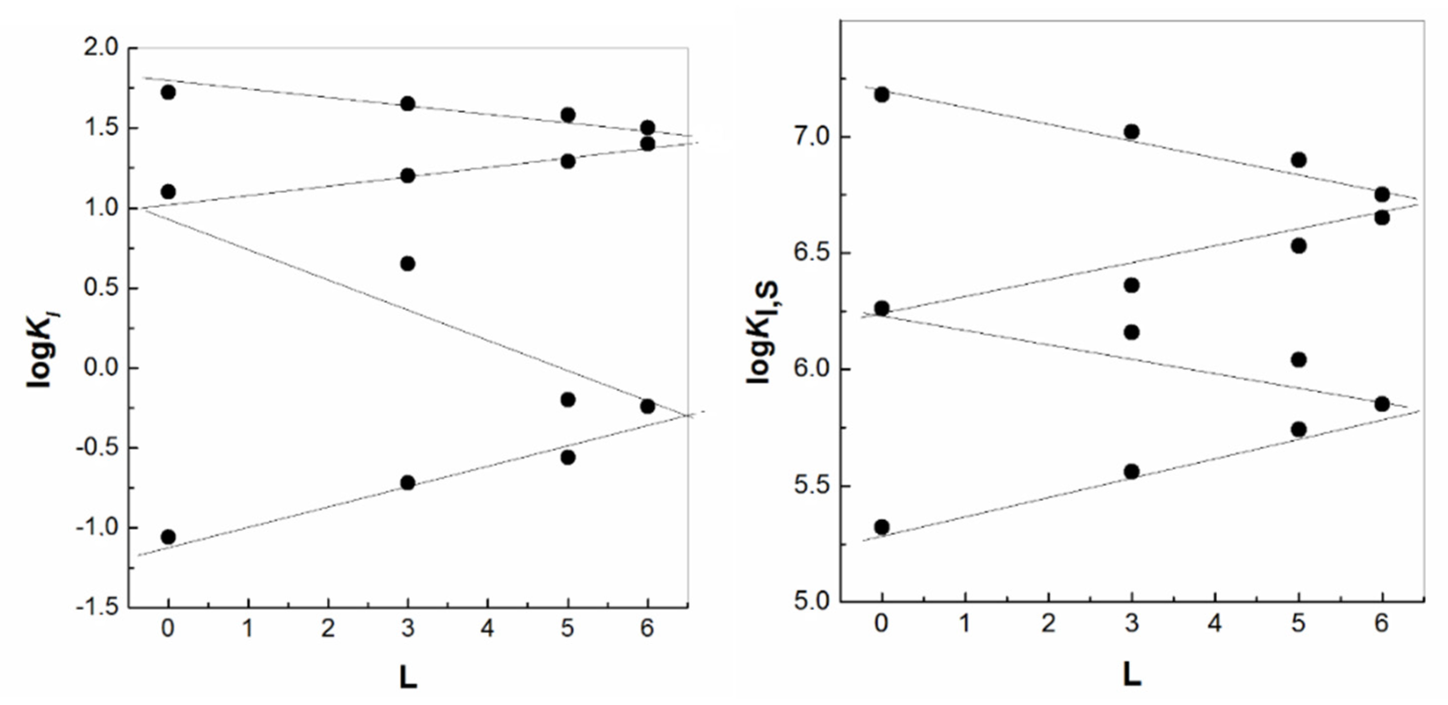
Additionally, an examination of the relevance of “inclined-W” plots has been performed in some research cases as well, showing that the obtained linearity is somewhat maintained within the four segments, as shown in Figure 15.
Figure 15.
Variation of logKI(KI,S) values with total angular momentum, L, of the rare earth ions. The straight lines are drawn for visual impacts only.
Furthermore, it may be interesting to mention that some linearization is possible if one uses the J quantum number instead of the L for the trivalent lanthanoids [148]. The variation of J with the atomic number of f-electrons for the trivalent lanthanoids is shown in Figure 16.
Figure 16.
Variation of the J quantum number for the trivalent lanthanoids with the number of f-electrons in the series.
Table 7.
Recommended data (noted as “P”) for the synergistic system of 4-acyl-5-isoxazolone and organophosphorus ligands.
Table 7.
Recommended data (noted as “P”) for the synergistic system of 4-acyl-5-isoxazolone and organophosphorus ligands.
| Cation | I (mol dm−3) | Diluents | Equilibrium | logK | Refs. |
|---|---|---|---|---|---|
| 0.2 NaNO3 | C6H6 | LnL3·2TBP L: 4-acyl-3-phenyl-5-isoxazolones | [149] | ||
| Pr | 4-acetyl | 3.34 P | |||
| Eu | 3.93 | ||||
| Yb | 3.25 | ||||
| Pr | 4-benzoyl | 6.01 | |||
| Eu | 6.40 | ||||
| Yb | 5.56 | ||||
| Pr | 4-(4-toluoyl)- | 5.41 | |||
| Eu | 6.15 | ||||
| Yb | 5.14 | ||||
| Pr | 4-(4-fluorobenzoyl)- | 5.89 | |||
| Eu | 6.27 | ||||
| Yb | 5.40 | ||||
| Pr | 4-(4-nitrobenzoyl)- | 5.93 | |||
| Eu | 6.38 | ||||
| Yb | 5.55 | ||||
| La | 0.01 NaClO4 | xylene | ML3 L: 3-phenyl-4-benzoyl-5-isoxazolone | −0.78 ± 0.02 | [150] |
| Eu | 0.26 ± 0.05 | ||||
| Lu | 0.48 ± 0.01 | ||||
| La | ML3·2TBP | 7.13 ± 0.02 | [150] | ||
| Eu | 8.47 ± 0.02 | ||||
| Lu | 8.53 ± 0.02 | ||||
| La | 0.1 NaClO4 | CHCl3 | LnL3 L: HPBI | −1.33 ± 0.05 | [98] |
| Nd | −0.54 ± 0.05 | ||||
| Eu | 0.06 ± 0.05 | ||||
| Ho | 0.36 ± 0.05 | ||||
| Lu | 0.70 ± 0.05 | ||||
| Lac | 0.1 MES | CHCl3 | LnL3; L: HPBI | −1.34 ± 0.1 | [60] |
| Eu | 0.85 ± 0.11 | ||||
| Lu | 0.73 ± 0.10 | ||||
| La | 0.1 MES | [C1C4im+][Tf2N−] | LnL4−; L: HPBI | 3.60 ± 0.02 | [60] |
| Eu | 5.12 ± 0.03 | ||||
| Lu | 5.07 ± 0.03 | ||||
| La | 0.1 NaClO4 | CHCl3 | LnL3∙2S; S: S1, (Figure 6) | 6.7 ± 0.05 | [98] |
| Nd | 7.98 ± 0.05 | ||||
| Eu | 8.60 ± 0.05 | ||||
| Ho | 8.96 ± 0.05 | ||||
| Lu | 9.46 ± 0.05 | ||||
| La | 0.1NaClO4 | C6H6 | LnL3∙S; L: HPBI; S: S7, (Figure 6) | 5.32 ± 0.05 | [151] |
| Ce | 5.56 ± 0.05 | ||||
| Pr | 5.74 ± 0.05 | ||||
| Nd | 5.85 ± 0.05 | ||||
| Sm | 6.04 ± 0.05 | ||||
| Eu | 6.16 ± 0.05 | ||||
| Gd | 6.26 ± 0.05 | ||||
| Tb | 6.36 ± 0.05 | ||||
| Dy | 6.53 ± 0.05 | ||||
| Ho | 6.65 ± 0.05 | ||||
| Er | 6.75 ± 0.05 | ||||
| Tm | 6.90 ± 0.05 | ||||
| Yb | 7.02 ± 0.05 | ||||
| Lu | 7.18 ± 0.05 | ||||
| La | 0.1 NaClO4 | CHCl3 | 3.18 ± 0.05 | ||
| Nd | 3.87 ± 0.05 | ||||
| Eu | 4.54 ± 0.05 | ||||
| Ho | 5.02 ± 0.05 | ||||
| Lu | 5.45 ± 0.05 | ||||
| La | 0.1 NaCl | C2H4Cl2 | −1.25 ± 0.05 | ||
| Nd | −0.46 ± 0.05 | ||||
| Eu | 0.16 ± 0.05 | ||||
| Ho | 0.82 ± 0.05 | ||||
| Lu | 1.24 ± 0.05 | ||||
| La | 0.1 NaCl | CCl4 | 0.82 ± 0.05 | ||
| Nd | 1.26 ± 0.05 | ||||
| Eu | 1.77 ± 0.05 | ||||
| Ho | 2.23 ± 0.05 | ||||
| Lu | 2.63 ± 0.05 |
Additional notes in Supplementary Material.
It can be seen in Figure 16 that the breaks now occur at Nd, Eu and Dy, as the J-values are not symmetric around Gd(III), whereas the L-values are. Hence, the plot gives rise to an unsymmetrical inclined W. The next step is to present here a few of the plots constructed to depict the dependence of K on J quantum numbers (Figure 17).
Figure 17.
Variation of logKI(KI,S) values with the quantum number, J, of the rare earth ions. The straight lines are drawn for visual impacts only.
It is important to point out that the application of the ionic liquid as an extracting phase greatly enhanced the solvent extraction performance of HPBI ligand for lanthanoid ions compared with that in the chloroform system [60]. Only one study has been reported in which the experimental average ligand numbers exceeded the value of three at a low ligand concentration, but definitive answers regarding their stabilities must await further investigations. The composition of the extracted species was determined to consist of anionic tetrakis entities Ln(PBI)4− for light, middle and heavy lanthanoid ions in an ionic environment. Nevertheless, typical neutral chelate lanthanoid complexes of the type Ln(PBI)3 were detected when the conventional molecular diluent chloroform was applied as an organic phase [59,98,151].
Among the eight molecules represented in Figure 6, the highest logK values were obtained with phosphorus-containing p-tert-butylcalix[4]arene as a synergistic agent, following by amide and ester ligating groups at the lower rim (HTTA-S1, HTTA-S7, HTTA-S8, HPBI-S1, HPBI-S7) [98,123,124,125,151]. Note that to enhance the effectiveness of the solvent extraction process, a simple change in the organic molecular diluent can be applied (HTTA-S1 and HTTA-S7). The calculated SCs for system HPBI-S7 including CCl4 were two orders of magnitude higher than the cases in which CHCl3 and C2H4Cl2 were used [151]. For a given 4f metal, the values of logKL,S increase in the following order: CHCl3 < C2H4Cl2 < C6H6 < CCl4 [151]. It can be concluded that, on the whole, an increase in the diluent’s solvating ability hinders the extraction process. Furthermore, the separation values of Lu/Eu pairs produced by the system HP(HTTA)-S1 are very similar. In other words, the selectivity of these two elements remains almost constant (around seven) when using HPBI-S1(S7) or HTTA-S7, as well as combinations HP(S1, S3, S4). The outcome of this direct effect is that the various para-substituents (-F, -CH3, -CF3, -C6H5) of the 4-acylpyrazolone molecule do not influence the selectivity of Lu/Eu to a great extent in combination with the synergistic agent S1 or S5 and S6. The calculated values were between 4.7 and 3.7. Extraction ability and selectivity are a pair of contradictory elements, i.e., a good extraction efficiency is usually not accompanied by marked selectivity. The synergistic lanthanoid extraction observed with S1 increased in the following order of chelating ligands: HTTA < HP < HPBI. However, at the same time, the SFs decreased [22]. Therefore, the separation becomes poorer as the extractability increases, and the selectivity decreases with increase in the extractant’s acidity, i.e., its pKa value [17,59].
9. Combination of Organic Acid and Organophosphorus Ligands
Table 8 presents a survey of the literature on rare earth solvent extraction applying combinations of organic acid and organophosphorus ligands.
Table 8.
Recommended data for the synergistic system of organic acid and organophosphorus ligands.
10. Conclusions
This study, although presenting an enormous compilation of cited research cases and investigations, is certainly not comprehensive. However, on the basis of this “snapshot”, the reader should be able to appreciate the overall scale and diversity of mixed-solvent systems for the 4f metals in the periodic table and some of the thought-provoking research considerations underlying their solvent extraction and separation processes in the last decades. The expected results will have a decisive impact on the prediction and optimization of liquid-liquid extraction systems of interest to rare earths industry and chemistry in order to improve the current “state-of-the-art” technologies. Solvent metal extraction has become the reference technique for the reprocessing of spent nuclear fuels at industrial scale as well. It appears that very small modifications of the chemical structure of the ligand (the chelating or synergistic agent) or the pre-organizing platform, as well as simple changes in a diluent, could impact the overall extraction mechanism or separation efficiency, and this is likely in pure molecular solvent systems. Beyond question, ionic liquids belong to the most investigated group of solvent systems in the last two decades, not only in the study of the solvent extraction and separation chemistry of metal species. However, the challenges related to both 4f extraction and separation are not easy to overcome in these organic media. Further proof of this is represented by the lack of published equilibrium constants. With the present study, the reader can obtain a fresh and first-hand view of the subject in hindsight. There is no useful guidance available pertaining to the question of which system is best for the solvent extraction of f ions. Therefore, new research strategies involving novel classes of interesting ligands (both intra- and intermolecular), non-fluorinated ILs, water-free systems, multiple organic phases, and so on, might provide better designs and more efficient synergistic mixtures in the near future. Nevertheless, the equilibrium constants represent one perfect parameter that can be used when estimating or predicting the results in this field of chemistry. We anticipate that this article will contribute to the further development of solvent extraction research incorporating 4f elements; clearly, there is still room for further investigations in this field.
Supplementary Materials
The following supporting information can be downloaded at: https://www.mdpi.com/article/10.3390/separations9110371/s1, Figure S1: Structural representation of 2-trifluoroacetyl-cyclopentanone (1), -cyclohexanone (2) and –cycloheptanone (3); Figure S2: Structural formula of 1-butyl-3-methylimidazolium-bis(trifluoromethanesulfonyl)imide, [C1C4im+][Tf2N−]; Figure S3: Structural formula of 4-acylbis(pyrazolones); Figure S4: Proposed structure of the extracted lanthanoid complexes; Figure S5: 4-Aroyl derivatives of 1-phenyl-3-methyl-5-pyrazolone studied; Figure S6: Structural representation of ligands; Figure S7: Structural representation of ligands; Figure S8: The equilibrium constants K1 and K2 for the Ln(III) extraction with HPMBP and compound I in toluene: the ionic strength was maintained at 0.1 mol dm−3 with (Na, H)Cl. Figure S9: Structural representation of ligands; Figure S10: Possible compositions of the mixed complexes with TBP; Figure S11: Structural representation of ligands; Table S1: Thermodynamic parameters of the synergistic extraction with the mixture of HEHHAP and Cyanex272.[Cyanex272] = [HEHHAP] = 0.015 mol dm−3, [YbCl3] = [LuCl3] = 0.002 mol dm−3, pH = 2, [Cl−] = 0.3 mol dm−3. References [155,156,157,158,159,160,161,162,163,164,165,166,167,168,169,170,171,172,173,174,175,176,177,178,179,180,181,182,183] are cited in the Supplementary Material.
Funding
This research was funded by IUPAC [2016: 003-1-500]. Project “Critical evaluation of equilibrium constants of 4f metal mixed complexes with acidic (chelating) ligands in combination with various organophosphorus O-donor molecules”.
Institutional Review Board Statement
Not applicable.
Conflicts of Interest
The author declares no conflict of interest.
References
- Adunka, R.; Orna, M. Carl Auer von Welsbach: Chemist, Inventor, Entrepreneur; Spinger: Berlin/Heidelberg, Germany, 2018. [Google Scholar]
- Evans, C. (Ed.) Episodes from the History of the Rare Earth Elements; Kluwer Academic Publisher: Amsterdam, The Netherlands, 1996. [Google Scholar]
- Rydberg, J.; Cox, M.; Musikas, C.; Choppin, G. (Eds.) Solvent Extraction Principles and Practice; Marcel Deker: New York, NY, USA, 2004. [Google Scholar]
- Marcus, Y.; Kertes, A.S. (Eds.) Ion Exchange and Solvent Extraction of Metal Complexes; Willey Interscience: New York, NY, USA, 1969; pp. 815–858. [Google Scholar]
- Khopkar, S. Solvent Extraction-Separation of Elements with Liquid Ion Exchangers; New Age International: New Delhi, India, 2009. [Google Scholar]
- Moyer, B.A. Ion Exchange and Solvent Extraction: A Series of Advances; CRC Press: Boca Raton, FL, USA; Taylor & Francis Group: Abingdon, UK, 2010; Volume 19. [Google Scholar]
- De Anil, K.; Shripad, M.; Khopkar, A.; Chalmers, R. Solvent Extraction of Metals; van Dyk, B., Nieuwoudt, I., Eds.; Van Nostrand Reinhold Company: Washington, DC, USA, 2001. [Google Scholar]
- Liu, T.; Chen, J. Extraction and separation of heavy rare earth elements: A review. Sep. Purif. Technol. 2021, 276, 119263. [Google Scholar] [CrossRef]
- Neves, H.; Ferreira, G.; Ferreira, G.; Lemos, L.; Rodrigues, G.; Leao, V.; Mageste, A. Liquid-liquid extraction of rare earth elements using systems that are more environmentally friendly: Advances, challenges and perspectives. Sep. Purif. Technol. 2022, 282(Part B), 120064. [Google Scholar] [CrossRef]
- Rice, N.; Irving, H.; Leonard, M. Nomenclature for liquid-liquid distribution (solvent extraction) (IUPAC Recommendations 1993). Pure Appl. Chem. 1993, 65, 2373. [Google Scholar] [CrossRef]
- Shimojo, K. Solvent extraction in analytical separation techniques. Anal. Sci. 2018, 34, 1345. [Google Scholar] [CrossRef] [PubMed]
- Nancollas, G.H.; Tomson, M.B. Guidelines for the determination of stability constants. Pure Appl. Chem. 1982, 54, 2675. [Google Scholar] [CrossRef]
- Chen, J. Application of Ionic Liquids on Rare Earth Green Separation and Utilization; Springer: Berlin/Heidelberg, Germany, 2016. [Google Scholar]
- Kolaric, Z. Ionic Liquids: How Far Do they Extend the Potential of Solvent Extraction of f-Elements? Solvent Extr. Ion Exch. 2013, 3, 24. [Google Scholar] [CrossRef]
- Marcus, Y. Ionic Liquid Properties. From Molten Salts to RTILs; Springer: Berlin, Germany, 2016. [Google Scholar]
- Atanassova, M. Solvent extraction of metallic species in ionic liquids: An overview of s-, p- and d-elements. J. Chem. Technol. Met. 2021, 3, 443. [Google Scholar]
- Petrova, M.A. The Crucial Performance of Mutual Solubility Among Water and Ionic Liquids in the Time of Liquid-Liquid Extraction of Metallic Species; Academic Solutions: Sofia, Bulgaria, 2020. [Google Scholar]
- Binnemans, K. Lanthanides and Actinides in Ionic Liquids. Chem. Rev. 2007, 107, 2592. [Google Scholar] [CrossRef] [PubMed]
- Billard, I. Ionic Liquids: New Hopes for Efficient Lanthanide/Actinide Extraction and Separation. In Handbook on the Physics and Chemistry of Rare Earths; Bünzli, J.C.G., Pecharsky, V., Eds.; Elsevier Science Publ. B.V.: Amsterdam, The Netherlands, 2013; Volume 43, Chapter 256, pp. 213–273. [Google Scholar]
- Handy, S. (Ed.) Application of Ionic Liquids in Science and Technology; InTech: Rijeka, Croatia, 2011; Available online: http://www.issp.ac.ru/ebooks/books/open/Applications_of_Ionic_Liquids_in_Science_and_Technology.pdf (accessed on 26 June 2022).
- Okamura, H.; Hirayama, N. Recent Progress in Ionic Liquid Extraction for the Separation of Rare Earth Elements. Anal. Sci. 2021, 37, 119. [Google Scholar] [CrossRef]
- Atanassova, M.; Kurteva, V. Synergism as a phenomenon in solvent extraction of 4f-elements with calixarenes. RSC Adv. 2016, 6, 11303. [Google Scholar] [CrossRef]
- Atanassova, M.; Kurteva, V.; Dukov, I. The interaction of extractants during synergistic solvent extraction of metals. Is it an important reaction? RSC Adv. 2016, 6, 81250–81265. [Google Scholar] [CrossRef]
- Mathur, J.N. Synergism of trivalent actinides and lanthanides. Solv. Extr. Ion Exch. 1983, 1, 34. [Google Scholar] [CrossRef]
- Dukov, I.; Atanassova, M. High Molecular Weight Amines and Quaternary Ammonium Salts as Synergistic Agents in the Solvent Extraction of Metal Ions with Chelating Extractants. In Handbook of Inorganic Chemistry Research; Morrison, D.A., Ed.; Nova Science Publishers: Hauppauge, NY, USA, 2010; Chapter 7. [Google Scholar]
- Freiser, H. Solvent extraction of tervalent lanthanides as chelates a systematic investigation of extraction equilibria. Solv. Extr. Ion Exch. 1988, 6, 1093–1108. [Google Scholar] [CrossRef]
- Li, Y.; Wang, Y.; Kuang, S.; Liao, W. Separation of rare earths in chloride media by synergistic solvent extraction with mixture of HEHAMP and CA12 and stripping with HCl. Hydrometallurgy 2022, 213, 105912. [Google Scholar] [CrossRef]
- Healy, T.V. Synergistic adducts as coordination compounds, Solvent extraction research. In Proceedings of the Fifth International Conference On Solvent Extraction Chemistry, Jerusalem, Israel, 16–18 September 1968; Kerters, A.S., Marcus, Y., Eds.; Wiley Interscience: New York, NY, USA, 1969. [Google Scholar]
- Blake, C.A.; Baes, C.A.; Coleman, C.F. Solvent extraction of uranium and other metals by acidic and neutral organophosphorus compounds. In Proceedings of the Second International Conference on the Peaceful Uses of Atomic Energy, Geneva, Switzerland, 1–13 September 1958; IAEA: Vienna, Austria, 1959; Volume 28, p. 289. [Google Scholar]
- Healy, T.V. Synergism with Thenoyltrifluoracetone in the Solvent Extraction of Metallic Species. Nucl. Sci. Eng. 1963, 16, 413. [Google Scholar] [CrossRef]
- Nash, K.; Choppin, G. Separations Chemistry for Actinide Elements: Recent Developments and Historical Perspective. Sep. Sci. Technol. 1997, 32, 255–274. [Google Scholar] [CrossRef]
- Rare Earth Coordination Chemistry, Fundamentals and Applications; Wiley & Sons: Hoboken, NJ, USA, 2010.
- Irving, H.; Edgington, D.N. Synergic effects in the solvent extraction of the actinides—I uranium(VI). J. Inorg. Nucl. Chem. 1960, 15, 158. [Google Scholar] [CrossRef]
- Gold, V. IUPAC Gold Book. In Compendium of Chemical Terminology; IUPAC: Zurich, Switzerland, 2014. [Google Scholar]
- Taube, M.; Siekierski, S. General remarks on synergic effects in the extraction of uranium and plutonium compounds. Nucleonica 1961, 6, 489. [Google Scholar]
- Tagushi, S.; Goto, K. Pre-Concentration Techniques for Trace Elements; Alfassi, Z.B., Waim, C.M., Eds.; CRC Press: Boca Raton, FL, USA, 1989; p. 31. [Google Scholar]
- Caceci, M.; Chopin, G.; Liu, Q. Calorimetric studies of the synergistic effect. The reaction of UO22+, Th4+ and Nd3+ TTA complexes with TBP and TOPO in benzene. Solv. Extr. Ion Exch. 1985, 3, 605. [Google Scholar] [CrossRef]
- Wenquing, W.; Quingliang, L.; Caceci, M.; Chopin, G.; Yuwen, D.; Min, Y. Calorimetric studies of the synergistic effect: The reaction of UO2, Ln(PMBP)3 and Th(PMBP)4 with TOPO in nitrobenzene. Solv. Extr. Ion Exch. 1986, 4, 663. [Google Scholar] [CrossRef]
- Nash, K. Global 2001. In Proceedings of the International Conference on Back-End of the Fuel Cycle: From Research to Solution, France, Paris, 9–13 September 2001; p. 8. [Google Scholar]
- Atanassova, M.; Todorova, S.; Kurteva, V.; Todorova, N. Insights into the synergistic selectivity of 4f-ions implementing 4-acyl-5-pyrazolone and two new unsymmetrical NH-urea containing ring molecules in an ionic liquid. Sep. Purif. Technol. 2018, 204, 328. [Google Scholar] [CrossRef]
- Timmermans, F.; Katainem, J. Reflection Paper: Towards a Sustainable Europe by 2030; European Commision: Brussels, Belgium, 2019; ISBN 978-92-79-98963-6. [Google Scholar] [CrossRef]
- Steffen, W.; Richardson, K.; Rockström, J.; Cornell, S.; Feitzer, I.; Bennett, E.; Biggs, R.; Carpenter, S.R.; de Vries, W.; de Wit, C.A.; et al. Sustainability. Planetary boundaries: Guiding human development on a changing planet. Science 2015, 347, 1259855. [Google Scholar] [CrossRef] [PubMed]
- Irving, H.M.N.H. Coordination compounds in analytical chemistry. Pure Appl. Chem. 1978, 50, 1129–1146. [Google Scholar] [CrossRef]
- Tschugaeff, L. Über ein neues, empfindliches Reagens auf Nickel. Ber. Der Dtsch. Chem. Ges. 1905, 38, 2520–2522. [Google Scholar] [CrossRef]
- Yudaev, P.; Kolpinskaya, N.; Chistayakov, E. Organophosphorous extractants for metals. Hydrometallurgy 2021, 201, 105558. [Google Scholar] [CrossRef]
- Atanassova, M.; Billard, I. Determination of pKaIL values of three chelating extractants in ILs: Consequences for the extraction of 4f elements. J. Solut. Chem. 2015, 44, 606. [Google Scholar] [CrossRef]
- Tasker, P.; Roach, B. Supramolecular Interactions in the Outer Coordination Spheres of Extracted Metal Ions. In Ion Exchange Solvent Extrartion: Supramolecular Aspects of Solvent Extraction; Moyer, B., Sengupta, A., Eds.; CRC Press: Boca Raton, FL, USA, 2014; Volume 21, Chapter 2, pp. 49–79. [Google Scholar]
- Dalton, R.; Price, R.; Quan, P.; Townson, B. Novel Solvent Extractants for Copper from Chloride Leach Solutions Derived from Sulphide Ores; Reagents in the Minerals Industry: London, UK; IMM: London, UK, 1984; p. 181. [Google Scholar]
- Binnemans, K. Chapter 225—Rare Earth Beta-Diketones. In Handbook on the Physics and Chemistry of Rare Earths; Bünzli, J.-C.G., Gschneider, K.A., Pecharsky, V.K., Eds.; Elsevier: Amsterdam, The Netherlands, 2005; Volume 35. [Google Scholar]
- Stary, J.; Liljenzin, J. Critical evaluation of equilibrium constants involving acetylacetone and its metal chelates. Pure Appl. Chem. 1982, 54, 2557. [Google Scholar] [CrossRef]
- Johansson, H.; Rydberg, J. Solvent Extraction Studies by the AKUFVE Method IV. Spectrophotometric determination of the distribution of acetylacetone. Acta Chem. Scand. 1969, 23, 2797. [Google Scholar] [CrossRef]
- Atanassova, M.; Kurteva, V. Peculiar synergistic extraction behavior of Eu (III) in ionic liquids: Benzoylacetone and CMPO fusion. Sep. Purif. Technol. 2017, 183, 226. [Google Scholar] [CrossRef]
- Atanassova, M. Thenoyltrifluoroacetone: Preferable molecule for solvent extraction of metals-ancient twists to new approaches. Separations 2022, 9, 154. [Google Scholar] [CrossRef]
- Marchetti, F.; Pettinari, C.; Pettinari, R. Acylpyrazolone ligands: Synthesis, structures, metal coordination chemistry and applications. Coord. Chem. Rev. 2005, 249, 2909. [Google Scholar] [CrossRef]
- Marchetti, F.; Pettinari, R.; Pettinari, C. Recent advances in acylpyrazolone metal complexes and their potential applications. Coord. Chem. Rev. 2015, 303, 1. [Google Scholar] [CrossRef]
- Kurteva, V.B.; Petrova, M.A. Synthesis of 3-methyl-4-(4-methylbenzoyl)-1-phenyl-pyrazol-5-one: How to avoid o-acylation. J. Chem. Educ. 2015, 92, 382. [Google Scholar] [CrossRef]
- Zolotov, Y.; Kuzmin, N. Metal Extraction with Acylpyrazolones; Nauka: Moscow, Russia, 1977. [Google Scholar]
- Jensen, B.S. The synthesis of 1-phenyl-3-methyl-4-acyl-pyrazolones-5. Acta Chem. Scand. 1959, 13, 1668. [Google Scholar] [CrossRef]
- Atanassova, M. Synergistic solvent extraction and separation of lanthanide(III) ions with 4-benzoyl-3-phenyl-5-isoxazolone and the quaternary ammonium salt. Solv. Extr. Ion Exch. 2009, 27, 159. [Google Scholar] [CrossRef]
- Atanassova, M.; Okamura, H.; Eguchi, A.; Ueda, Y.; Sugita, T.; Shimojo, K. Extraction ability of 4-benzoyl-3-phenyl-5-isoxazolone towards 4f-ions into ionic and molecular media. Anal. Sci. 2018, 34, 973. [Google Scholar] [CrossRef]
- El-Nady, Y.A. Solvent extraction and its applications on ore processing and recovery of metals: Classical approach. Sep. Purif. Rev. 2017, 46, 195. [Google Scholar] [CrossRef]
- Kumar, P.; Vincent, T.; Khanna, A. Extraction of UO22+ into ionic liquid using TTA and TBP as extractants. Sep. Sci. Technol. 2015, 50, 2668. [Google Scholar] [CrossRef]
- Herbst, R.; Baron, P.; Nilsson, M. 6-Standard and advanced separation: PUREX process for nuclear fuel reprocessing. In Advanced Separation Techniques for Nuclear Fuel Reprocessing and Radioactive Waste Treatment; Woodhead Publications Series in Energy: Cambridge, UK, 2011; pp. 141–175. [Google Scholar]
- Petrova, M.A.; Kurteva, V.B.; Lubenov, L.A. Synergistic effect in the solvent extraction and separation of lanthanoids by 4-(4-fluorobenzoyl)-3-methyl-1-phenyl-pyrazol-5-one in the presence of monofunctional neutral organophosphorus extractants. Ind. Eng. Chem. Res. 2011, 50, 12170. [Google Scholar] [CrossRef]
- El-Nady, Y.A. Lanthanum and neodymium from Egyptian monazite: Synergistic extractive separation using organophosphorus reagents. Hydrometallurgy 2012, 119–120, 23. [Google Scholar] [CrossRef]
- Gutsche, C. Calixarenes for separations. In ACS Symposium Series 757; ACS: Washington, DC, USA, 2000; Chapter 1. [Google Scholar]
- Le Saulnier, L.; Varbanov, S.; Scopelliti, R.; Elhabiri, M.; Bunzli, J.-C.G. Lanthanide complexes with a p-tert-butylcalix[4]arene fitted with phosphinoyl pendant arms. J. Chem. Soc. Dalton Trans. 1999, 22, 3919–3925. [Google Scholar] [CrossRef]
- Mandolini, L.; Ungaro, R. (Eds.) Calixarenes in Action; Imperial College Press: England, UK, 2000. [Google Scholar]
- Sliwa, W.; Kozlowski, C. Calixarenes and Resorcinarenes: Synthesis, Properties and Application; Wiley-VCH: Hoboken, NJ, USA, 2009. [Google Scholar]
- Johansson, L. The role of the perchlorate ion as ligand in solution. Coord. Chem. Rev. 1974, 12, 241–261. [Google Scholar] [CrossRef]
- Marcus, Y. Development and publication of solvent extraction methods. Talanta 1976, 23, 203–209. [Google Scholar] [CrossRef]
- Dukov, I.; Atanassova, M. Some aspects of synergistic metal extractions with chelating extractants and amines or quaternary ammonium salts. J. Univ. Chem. Technol. Met. 2003, 38, 7. [Google Scholar]
- Beck, M.T. Critical evaluation of equilibrium constants in solution. Stability constants of metal complexes. Pure Appl. Chem. 1977, 49, 127. [Google Scholar] [CrossRef]
- Nash, K. Aqueous complexes in separations of f-elements: Options and strategies for future development. Sep. Sci. Technol. 1999, 34, 911. [Google Scholar] [CrossRef]
- Sekine, T. Solvent extraction study of trivalent actinide and lanthanide complexes in aqueous solutions. III Oxalate complexes of La(III), Eu(III), Lu(III) and Am(III) in 1M NaClO4. Acta Chim. Scand. 1965, 19, 1476. [Google Scholar] [CrossRef]
- Sekine, T. Solvent extraction study of trivalent actinide and lanthanide complexes in aqueous solutions. II Sulfate complexes of La(III), Eu(III), Lu(III) and Am(III) in 1M NaClO4. Acta Chim. Scand. 1965, 19, 1469. [Google Scholar] [CrossRef][Green Version]
- Sekine, T. Solvent extraction study of trivalent actinide and lanthanide complexes in aqueous solutions. I Chloride complexes of La(III), Eu(III), Lu(III) and Am(III) in 4M NaClO4. Acta Chim. Scand. 1965, 19, 1435. [Google Scholar] [CrossRef]
- Sekine, T. Solvent extraction study of trivalent actinide and lanthanide complexes in aqueous solutions. IV Thiocyanate complexes of La(III), Eu(III), Lu(III) and Am(III) in 5M NaClO4. Acta Chim. Scand. 1965, 19, 1519. [Google Scholar] [CrossRef]
- Sekine, T.; Sakairi, M.; Shimada, F.; Hasegawa, Y. Use of the synergistic solvent extraction system for the determination of the stability constants of metal complexes. Bull. Chem. Soc. Jpn. 1965, 38, 847. [Google Scholar] [CrossRef]
- Quinn, J.; Soldenhoff, K.; Stevens, G.; Lengkeek, N. Solvent extraction of rare earth elements using phosphonic/phosphinic acid mixtures. Hydrometallurgy 2015, 157, 298. [Google Scholar] [CrossRef]
- Hokura, A.; Sekine, T. Gradual destruction of synergistic enhancement of copper(II) extraction into carbon tetrachloride with 2-thenoyltrifluoroacetone and trioctylphosphine oxide. Solv. Extr. Res. Dev. Jpn. 1995, 2, 102. [Google Scholar]
- Sekine, T.; Saitou, T.; Iga, H. Association of β-diketones with trioctylphosphine oxide in solvent extraction systems. Bull. Chem. Soc. Jpn. 1983, 56, 700. [Google Scholar] [CrossRef]
- Bogdanov, M.; Svinyarov, I. Distribution of N-methylimidazole in ionic liquids/organic solvents systems. Processes 2017, 5, 52. [Google Scholar] [CrossRef]
- Arrachart, G.; Coturier, J.; Dourdain, S.; Levard, C.; Pellet-Rostaing, S. Recovery of rare earths elements using ionic solvents. Processes 2021, 9, 1202. [Google Scholar] [CrossRef]
- Dwamena, A. Recent advances in hydrophobic deep eutectic solvents for extraction. Separations 2019, 6, 9. [Google Scholar] [CrossRef]
- Sunder, G.; Adhikari, S.; Rahanifar, A.; Poudel, A.; Kirchhoff, J. Evolution of environmentally friendly strategies for metal extraction. Separations 2020, 7, 4. [Google Scholar] [CrossRef]
- Ruiz-Angel, M.; Carda-Broch, S. Rcent advances on ionic liquids uses in separation techniques. Separations 2022, 9, 96. [Google Scholar] [CrossRef]
- Chatzimitkos, T.; Anagnostou, P.; Constantinou, I.; Dakidi, K.; Stalikas, C. Magnetic ionic liquids in sample preparation: Recent advances and future trends. Separations 2021, 8, 153. [Google Scholar] [CrossRef]
- Lukomska, A.; Wisniewska, A.; Dabrowski, Z.; Lach, J.; Wrobel, K.; Kolasa, D.; Domanska, U. Recovery of metals from electronic waste-printed circuit boards by ionic liquids, DESs and organophosphorus-based acid extraction. Molecules 2021, 27, 4984. [Google Scholar] [CrossRef] [PubMed]
- Lanaridi, O.; Platzer, S.; Nischkaner, W.; Limbeck, A.; Schnurch, M.; Bica-Schroder, K. A combined deep eutectic solvent—Ionic liquid process for the extraction and separation of platinium group metals (Pt, Pd, Rh). Molecules 2021, 26, 7204. [Google Scholar] [CrossRef]
- Kiss, T.; Sovago, I.; Gergely, A. Critical survey of stability constants of complexes of glycine. Pure Appl. Chem. 1991, 63, 597. [Google Scholar] [CrossRef]
- Smith, R.M.; Martell, A.E.; Chen, Y. Critical evaluation of stability constants for nucleotide complexes with protons and metal ions and the accompanying enthalpy changes. Pure Appl. Chem. 1991, 63, 1015. [Google Scholar] [CrossRef]
- Yamauchi, O.; Odani, A. Stability constants of metal complexes of amino acids with charged side chains-Part I: Positively charged side chains (Technical Report). Pure Appl. Chem. 1996, 68, 469. [Google Scholar] [CrossRef]
- Lajunen, L.H.J.; Portanova, R.; Piispanen, J.; Tolazzi, M. Critical evaluation of stability constants for alpha-hydroxycarboxylic acid complexes with protons and metal ions and the accompanying enthalpy changes Part I: Aromatic ortho-hydroxycarboxylic acids (Technical Report). Pure Appl. Chem. 1997, 69, 37. [Google Scholar] [CrossRef]
- Popov, K.I.; Rönkkömäki, H.; Lajunen, L.H.J. Critical evaluation of stability constants of phosphonic acids (IUPAC technical report). Pure Appl. Chem. 2001, 73, 1641. [Google Scholar] [CrossRef]
- Anderegg, G.; Arnaud-Neu, F.; Delgado, R.; Felcman, J.; Popov, K. Critical evaluation of stability constants of metal complexes of complexones for biomedical and environmental applications* (IUPAC Technical Report). Pure Appl. Chem. 2005, 77, 1445. [Google Scholar] [CrossRef]
- Arnaud-Neu, F.; Delgado, R.; Chaves, S. Critical evaluation of stability constants and thermodynamic functions of metal complexes of crown ethers (IUPAC Technical Report). Pure Appl. Chem. 2003, 75, 71. [Google Scholar] [CrossRef]
- Atanassova, M.; Lachkova, V.; Vassilev, N.; Varbanov, S.; Dukov, I. Complexation of trivalent lanthanoids ions with 4-benzoyl-3-phenyl-5-isoxazolone and p-tert-butylcalix[4]arene fitted with phosphinoyl pendant arms in solution during synergistic solvent extraction and structural study of solid complexes by IR and NMR. Polyhedron 2010, 29, 655. [Google Scholar] [CrossRef]
- Anderegg, G. Critical survey of stability constants of NTA complexes. Pure Appl. Chem. 1982, 54, 2693. [Google Scholar] [CrossRef]
- Kolarik, Z. Critical evaluation of some equilibrium constants involving acidic organophosphorus extractants. Pure Appl. Chem. 1982, 54, 2593. [Google Scholar] [CrossRef]
- Powell, K.; Brown, P.; Byrne, R.; Gajda, T.; Hefter, G.; Sjöberg, S.; Wanner, H. Chemical speciation of environmentally significant heavy metals with inorganic ligands. Part 1: The Hg2+– Cl−, OH−, CO32–, SO42–, and PO43– aqueous systems (IUPAC Technical Report). Pure Appl. Chem. 2005, 77, 739. [Google Scholar] [CrossRef]
- Mondal, S.; Singh, D.; Anitha, M.; Sharma, J.; Hubli, R.; Singh, H. New synergistic solvent mixture of DNPPA and bidentate octyl (phenyl) CMPO for enhanced extraction of uranium (VI) from phosphoric acid medium. Hydrometallurgy 2014, 147–148, 95–102. [Google Scholar] [CrossRef]
- Krea, M.; Khalif, H. Liquid–liquid extraction of uranium and lanthanides from phosphoric acid using a synergistic DOPPA–TOPO mixture. Hydrometallurgy 2000, 58, 215. [Google Scholar] [CrossRef]
- Marcus, Y. Diluent effects in solvent extraction. Solv. Extr. Ion Exch. 1989, 7, 567. [Google Scholar] [CrossRef]
- Stary, J.; Freiser, H. Equilibrium Constants of liquid-Liquid Distribution Reactions. Part IV: Chelating Extractants; IUPAC Chemical Data Series-No 18; Pergamon Press: Oxford, UK, 1978. [Google Scholar]
- Sekine, T.; Ono, M. Studies of the liquid-liquid partition systems. IV. The solvent extraction study of europium(III) adduct chelate complexes with six acetylacetone derivatives and tributylphosphate. Bull. Chem. Soc. Jpn. 1965, 38, 2087. [Google Scholar] [CrossRef]
- Atanasova, M.; Kurteva, V. Synergism in the solvent extraction of Europium (III) with thenoyltrifluoroacetone and CMPO in methylimidazolium ionic liquids. J. Solut. Chem. 2019, 48, 15. [Google Scholar] [CrossRef]
- Atanassova, M. Worthy extraction and uncommon selectivity of 4f-ions in ionic liquid medium: 4-Acylpyrazolones and CMPO. ACS Sustain. Chem. Eng. 2016, 4, 2366. [Google Scholar]
- Okamura, H.; Hirayama, N.; Morita, K.; Shimojo, K.; Naganawa, H.; Imura, H. Synergistic effect of 18-crown-6 derivatives on chelate extraction of lanthanoids (III) into an ionic liquid with 2-thenoyltrifluoroacetone. Anal. Sci. 2010, 26, 607. [Google Scholar] [CrossRef]
- Irving, H.; Edgington, D. Synergic effects in the solvent extraction of the actinides-IV. J. Inorg. Nucl. Chem. 1961, 21, 169. [Google Scholar] [CrossRef]
- Akiba, K. Some regularities in the formation constants of TBP adducts of europium tris-TTA chelate. J. Inorg. Nucl. Chem. 1973, 35, 2525. [Google Scholar] [CrossRef]
- Farbu, L.; Alstad, J.; Augustson, J.H. Synergistic solvent extraction of rare earth metal ions with thenoyltrifluoroacetone mixed with tributylphosphate. J. Inorg. Nucl. Chem. 1974, 36, 2091. [Google Scholar] [CrossRef]
- Sekine, T.; Koizumi, A.; Sakairi, M. Studies of scandium in various solutions. III The solvent extraction and complex formation of scandium(III) with acetylacetone and thenoyltrifluoroacetone. Bull. Chem. Soc. Jpn. 1966, 39, 2681. [Google Scholar] [CrossRef]
- Sekine, T.; Dyrssen, D. Solvent extraction of metal ions with mixed ligands. V-adduct formation of some tris-tta complexes. J. Inorg. Nucl. Chem. 1967, 29, 1481. [Google Scholar] [CrossRef]
- Sekine, T.; Dyrssen, D. Solvent extraction of metal ions with mixed ligands. IV-Extraction of Eu(III) with chelating acids and neutral adduct-forming ligands. J. Inorg. Nucl. Chem. 1967, 29, 1475. [Google Scholar] [CrossRef]
- Akiba, K.; Wada, M.; Kanno, T. Effect of diluent on synergic extraction of europium by thenoyltrifluoroacetone and tri-n-octylphosphine oxide. J. Inorg. Nucl. Chem. 1981, 43, 1031. [Google Scholar] [CrossRef]
- Favaro, D.I.; Atalla, L.T. Interaction effect between thenoyltrifluoroacetone and tri-n-octylphosphine oxide in the synergistic extraction of trivalent lanthanides. Determination of the composition of the extracted species of the extracted species. J. Radioanal. Nucl. Chem. Art. 1987, 111, 81. [Google Scholar] [CrossRef]
- Aly, H.F.; Khalifa, S.M.; Zakareia, N. Periodic variations of lanthanides synergic extraction by thenoyltrifluoroacetone and triphenylphosphine oxide mixture. Solv. Extr. Ion Exch. 1984, 2, 887. [Google Scholar] [CrossRef]
- Okamura, H.; Mizuno, M.; Hirayama, N.; Shimojo, K.; Naganawa, H.; Imura, H. Synergistic enhancement of the extraction and separation efficiencies of lanthanoid (III) ions by the formation of charged adducts in an ionic liquid. Ind. Eng. Chem. Res. 2020, 59, 329. [Google Scholar] [CrossRef]
- Shigematsu, T.; Tabushi, M.; Matsui, M.; Honjyo, T. The synergistic effect in solvent extraction-the correlation of the ionic radius of rare earth elements with the stability constants of rare earth benzoyltrifluoroacetonate aducts with n-hexyl alcohol, TBP and TOPO. Bull. Chem. Soc. Jpn. 1967, 40, 2807. [Google Scholar] [CrossRef]
- Atanassova, M.; Kaloyanova, S.; Deligeorgiev, T. Application of 4,4,4-trifluoro-1-(biphenyl-4-yl)butane-1,3-dione as a chelating extractant in the solvent extraction and separation of light lanthanoids in combination with phosphine oxides. Acta Chim. Slovenika 2010, 57, 821. [Google Scholar]
- Umetani, S.; Kawase, Y.; Le, Q.; Matsui, M. The synergistic extraction of lanthanides with trifluoroacetylcycloalkanones and trioctylphosphine oxide. Chem. Lett. 1997, 26, 771–772. [Google Scholar] [CrossRef]
- Atanassova, M.; Lachkova, V.; Vassilev, N.; Shivachev, B.; Varbanov, S.; Dukov, I. Effect of p-tert-butylcalix[4]arene fitted with phosphinoyl pendant arms as synergistic agent in the solvent extraction of trivalent lanthanoids with 4,4,4-trifluoro-1-(2-thienyl)1,3-butanedione and structural study of solid complexes by IR, NMR and X-ray. Polyhedron 2008, 27, 3306. [Google Scholar] [CrossRef]
- Atanassova, M.; Vassilev, N.; Dukov, I. p-Tert-butylcalix[4]arene tetrkis (N,N-dimethylacetamide) as a second ligand in the complexation of trivalent lanthanoids with thenoyltrifluoroacetone in solution and investigation of a solid Eu(III) complex. Sep. Purif. Technol. 2011, 78, 214. [Google Scholar] [CrossRef]
- Atanassova, M. Lanthanoid complexes with thenoyltrifluoroacetone and 4-tert-butylcalix[4]arene-teraacetic acid tetraethylester: Synergistic extraction and separation. Microchim. Acta 2011, 174, 175. [Google Scholar] [CrossRef]
- Hatakeyama, M.; Nishiyama, Y.; Nagatani, H.; Okamura, H.; Imura, H. Synergistic extraction equilibrium of lanthanide(III) ions with benzoylacetone and a neutral ligand in an ionic liquid. Solv. Extr. Res. Dev. Jpn. 2018, 25, 79. [Google Scholar] [CrossRef]
- Choppin, G.; Morgenstern, A. Thermodynamics of solvent extraction. Solv. Extr. Ion Exch. 2000, 18, 1029. [Google Scholar] [CrossRef]
- Atanassova, M.; Jordanov, V.; Dukov, I. Effect of the quaternary ammonium salt Aliquat 336 on the solvent extraction of lanthanoid (III) ions with thenoyltrifluoroacetone. Hydrometallurgy 2002, 63, 41–47. [Google Scholar] [CrossRef]
- Atanasova, M.; Dukov, I. Crown ethers as synergistic agents in the solvent extraction of trivalent lanthanoids with thenoyltrifluoroacetone. Sep. Sci. Technol. 2005, 40, 1104–1113. [Google Scholar] [CrossRef]
- Kandil, A.; Farah, K. Thermodynamic studies of TOPO adducts of europium and terbium tris-tta chelates. J. Inorg. Nucl. Chem. 1980, 42, 1491. [Google Scholar] [CrossRef]
- Mathur, J.; Pai, S.; Khopkar, P.; Subramanian, M. Thermodynamics of synergistic extraction of europium(III) by mixtures of thenoyltrifluoroacetone and some neutral oxo-donors. J. Inorg. Nucl. Chem. 1977, 39, 653. [Google Scholar] [CrossRef]
- Sasayama, K.; Umetani, S.; Matsui, M. The substituent effect on the synergistic extraction of europium and scandium with 1-phenyl-3-methyl-4-acylpyrazol-5-one and tri-n-octylphosphine oxide. Anal. Chim. Acta 1983, 149, 253. [Google Scholar] [CrossRef]
- Umetani, S.; Freiser, H. Mixed-ligand chelate extraction of lanthanides with 1-phenyl-3-methyl-4-(trifluoroacetyl)-5-pyrazolone and some phosphine oxide compounds. Inorg. Chem. 1987, 26, 3179. [Google Scholar] [CrossRef]
- Santhi, P.B.; Reddy, M.L.P.; Ramamohan, T.R.; Damodaran, A.D. Synergistic solvent extraction of trivalent lanthanides and actinide by muxtures of 1-phenyl-3-methyl-4-benzoyl-pyrazolone-5 and neutral oxo-donors. Solv. Extr. Ion Exch. 1994, 12, 633. [Google Scholar] [CrossRef]
- Reddy, M.L.P.; Damodaran, A.D.; Mathur, J.N.; Murali, M.S.; Iyer, R.H. Mixed-ligand chelate extraction of trivalent lanthanides and actinides with 1-phenyl-3-methyl-4-benzoyl-pyrazolone-5 and dihexyl-N,N-diethylcarbamoylmethyl phosphonate. J. Radioanal. Nucl. Chem. 1995, 198, 367. [Google Scholar] [CrossRef]
- Sujatha, S.; Reddy, M.L.P.; Luxmi Varma, R.; Ramamohan, T.R.; Prasada Rao, T.; Iyer, C.S.P.; Damodaran, A.D. Synergistic solvent extraction of trivalent lanthanides by mixtures of 1-phenyl-3-methyl-4-trifluoroacetl-pyrazolone-5 and neutral oxo-donors. J. Chem. Eng. Jpn. 1996, 29, 187. [Google Scholar] [CrossRef][Green Version]
- Mukai, H.; Umetani, S.; Matsui, M. The synergistic extraction of rare earth metals with ortho-substituted 1-phenyl-3-methyl-4-aroyl-5-pyrazolones and trioctylphosphine oxide. Anal. Sci. 1997, 13, 145. [Google Scholar] [CrossRef]
- Mukai, H.; Umetani, S.; Matsui, M. Steric effect of ortho substituents of 1-phenyl-3-methyl-4-aroylpyrazol-5-ones on the synergic extraction of scandium and lanthanum with tri-n-octylphosphine oxide. Solv. Extr. Ion Exch. 2003, 21, 73. [Google Scholar] [CrossRef]
- Pavithran, R.; Reddy, M.L.P. Steric effects of polymethylene chain of 4-acylbis(pyrazolones) on the solvent extraction of trivalent lanthanoids: Synergistic effect with mono and bifunctional neutral organophosphorus extractants. Anal. Chim. Acta 2005, 536, 219. [Google Scholar] [CrossRef]
- Atanassova, M.; Lachkova, V.; Vassilev, N.; Varbanov, S.; Dukov, I. Effect of p-tert-butylcalix[4]arene fitted with phosphinoyl pendant arms as synergistic agent in the solvent extraction and separation of some trivalent lanthanoids with 4-benzoyl-3-methyl-1-phenyl-5-pyrazolone. J. Inclus. Phenom. Macrocycl. Chem. 2007, 58, 173. [Google Scholar] [CrossRef]
- Tashev, E.; Atanassova, M.; Varbanov, S.; Tosheva, T.; Shenkov, S.; Chauvin, A.; Dukov, I. Synthesis of octa(1,1,3,3-tetramethylbutyl)octakis(dimethylphosphinoylmethyleneoxy)calix[8]arene and its application in the synergistic solvent extraction and separation of lanthanoids. Sep. Purif. Technol. 2008, 64, 170. [Google Scholar] [CrossRef]
- Atanassova, M.; Vassilev, N.; Tashev, E.; Lachkova, V.; Varbanov, S. Coordination chemistry of a para-tert-octylcalix[4]arene fitted with phosphinoyl pendant arms towards 4f-elements: Extraction, synergism, separation. Sep. Sci. Technol. 2016, 51, 49. [Google Scholar] [CrossRef]
- Varbanov, S.; Tashev, E.; Vassilev, N.; Atanassova, M.; Lachkova, V.; Tosheva, T.; Shenkov, S.; Dukov, I. Synthesis, characterization and implementation as a synergistic agent in the solvent extraction of lanthanoids. Polyhedron 2017, 134, 135. [Google Scholar] [CrossRef]
- Atanassova, M.; Kurteva, V.; Lubenov, L.; Varbanov, S.; Dukov, I. Behaviour of mixed systems based on para-substituted 4-aroyl-5-pyrazolones in the presence of phosphorus containing calix[4]arene towards lanthanoids: Synergistic solvent extraction and separation. Sep. Purif. Technol. 2012, 95, 58. [Google Scholar] [CrossRef]
- Atanassova, M.; Kurteva, V.; Lubenov, L.; Billard, I. Comparing extraction, synergism and separation of lanthanoids using acidic and neutral compounds in chloroform and one ionic liquid: Is the latter always “better”? RSC Adv. 2014, 4, 38820. [Google Scholar] [CrossRef]
- Atanassova, M.; Kurteva, V.; Lubenov, L.; Varbanov, S.; Billard, I. Are fancy acidic or neutral ligands really needed for synergism in ionic liquids? A comparative study of lanthanoid extraction in CHCl3 and an ionic liquid. New, J. Chem. 2015, 39, 7932. [Google Scholar] [CrossRef]
- Kertes, A. The chemistry of solvent extraction. In Recent Advances in Liquid-Liquid Extraction, 1st ed.; Hadson, C., Ed.; Elsevier: Amsterdam, The Netherlands, 1971; Chapter 2. [Google Scholar]
- Sinha, S. Structure and Bonding 30. Rare Earths; Springer: Berlin/Heidelberg, Germany, 1976. [Google Scholar]
- Odashima, T.; Satoh, S.; Sato, T.; Ishii, H. Solvent extraction of some trivalent lanthanoids with 4-acyl-3-phenyl-5-isoxazolones. Solv. Extr. Ion Exch. 1995, 13, 845. [Google Scholar] [CrossRef]
- Reddy, M.L.P.; Luxmi Varma, R.; Ramamohan, T.R.; Prasada Rao, T.; Iyer, C.S.P.; Damodaran, A.D.; Mathur, J.N.; Murali, M.S.; Iyer, R.H. Mixed-ligand chelate extraction of trivalent lanthanides and actinides with 3-phenyl-4-benzoyl-5-isoxazolone and neutral oxo-donors. Radiochim. Acta 1995, 69, 55. [Google Scholar] [CrossRef]
- Petrova, M.; Lachkova, V.; Vassilev, N.; Varbanov, S. Effect of diluents on the synergistic solvent extraction and separation of trivalent lanthanoids with 4-benzoyl-3-phenyl-5-isoxazolone and tert-butylcalix[4]arene tetrakis(N,N-dimethyl acetamide) and structural study of Gd(III) solid complex by IR and NMR. Ind. Eng. Chem. Res. 2010, 49, 6189. [Google Scholar] [CrossRef]
- Wu, D.; Zhang, Q.; Bao, B. Solvent extraction of Pr and Nd(III) from chloride-acetate medium by 8-hydroquinoline with and without 2-ethylhexyl phosphoric acid mono-2-ethylhexyl ester as an added synergist in heptane diluent. Hydrometallurgy 2007, 88, 210. [Google Scholar] [CrossRef]
- Reddy, M.; Ramamohan, T.; Iyer, C. Enhanced extraction and separation of trivalent lanthanides and yttrium with bis-(2,4,4-trimethylpentyl)phosphinic acid and trialkyl phosphine oxide. Solv. Extr. Res. Dev. Jpn. 1998, 5, 1–15. [Google Scholar]
- Turanov, A.; Karandashev, V. Synergistic solvent extraction of lanthanides(III) with mixtures of tetraphenylmethylenediphosphine dioxide and picrolonic acid from HCl solution. Solv. Extr. Ion Exch. 2017, 35, 104–116. [Google Scholar] [CrossRef]
- Sekine, T.; Koike, Y.; Hasegawa, Y. Studies of Actinium(III) in Various Solutions. II. Distribution Behavior of Lanthanum(III) and Actinium(III) in Some Chelate Extraction Systems. Bull. Chem. Soc. Jpn. 1969, 42, 432. [Google Scholar] [CrossRef]
- Sekine, T.; Dyrssen, D.J. Solvent extraction of metal ions with mixed ligands—III: Adduct formation of Eu(III) and Th(IV) chelates with TTA and IPT. Inorg. Nucl. Chem. 1967, 29, 1457. [Google Scholar] [CrossRef]
- Ferraro, J.R.; Healy, T.V. Synergism in the solvent extraction of di-, tri- and tetravalent metal ions—V: Infra-red studies of the isolated complexes. J. Inorg. Nucl. Chem. 1962, 24, 1463. [Google Scholar] [CrossRef]
- Healy, T.V.; Ferraro, J.R. Synergism in the solvent extraction of di, tri and tetravalent metal ions—IV: Absorption spectral studies of the synergistic complexes. J. Inorg. Nucl. Chem. 1962, 24, 1449. [Google Scholar] [CrossRef]
- El-Naggar, H.A. Extraction of Eu(III) and Co(II) by dihexyl N,N-diethyl carbamoyl methyl phosphonate (DHDECMP) and thenoyl trifluoroacetone (HTTA). J. Radioanal. Nucl. Chem. 2001, 249, 601. [Google Scholar] [CrossRef]
- Murthy, K.S.R.; Krupadam, R.J.; Anjaneyuly, Y. Lanthanum and neodymium from egyptian monazite: Synergistic extractive separation using organophosphorus reagents. Proc. Ind. Acad. Sci. Chem. Sci. 1998, 110, 83. [Google Scholar] [CrossRef]
- Umetani, S.; Kihara, S.; Matsui, M. Adduct formation properties of some polydentate phosphine oxides in the synergistic extraction of metals with 4-acyl-5-pyrazolone derivatives. In Proceedings of the ISEC’90, Kyoto, Japan, 6–21 July 1990; Sekine, T., Ed.; Solvent Extraction 1990. Elsevier Science Publishers BV: Amsterdam, The Netherlands, 1992; pp. 309–314. [Google Scholar]
- Navratil, O. Synergistic effects in liquid-liquid extraction of some heavy metals by 1-phenyl-3-methyl-4-benzoyl-pyrazol-5-one. In Proceedings of International Solvent Extraction Conference; Lyon, France, 8–14 September 1974, Chemical Society: London, UK, 1974; pp. 2585–2592. [Google Scholar]
- Meera, R.; Luxmi Varma, R.; Reddy, M.L. Enhanced extraction of thorium(IV) and uranium(VI) with 1-phenyl-3-methyl-4-pivaloyl-5-pyrazolone in the presence of various neutral organophosphorus extractants. P. Radiochim. Acta 2004, 92, 17. [Google Scholar] [CrossRef]
- Mathur, J.N.; Khopkar, P.K. Extraction of trivalent actinides with some substituted pyrazolones and their synergistic mixtures with tri-n-octylphosphine oxide in chloroform. Polyhedron 1984, 3, 1125. [Google Scholar] [CrossRef]
- Turanov, A.; Karandashev, V.; Kharlamov, A.; Bondarenko, N. Synergistic solvent extraction of lanthanides(III) with mixtures of 4-benzoyl-3-methyl-1-phenylpyrazol-5-one and some novel carbamoyl- and phosphorylmethoxymethylphosphine oxides. Solv. Extr. Ion Exch. 2014, 32, 492. [Google Scholar] [CrossRef]
- Jia, Q.; Liao, W.; Li, D.; Niu, C. Synergistic extraction of lanthanum (III) from chloride medium by mixtures of 1-phenyl-3-methyl-4-benzoyl-pyrazalone-5 and triisobutylphosphine sulphide. Anal. Chim. Acta 2003, 477, 251–256. [Google Scholar] [CrossRef]
- Smith, B.F.; Jarvinen, G.; Jones, M.; Hay, P. The synthesis and actinide and lanthanide complexation of “soft” donor ligands: Comparison between 4-benzoyl-2,4-dihidro-5-methyl-2-phenyl-3H-pyrazol-3-thione (HBMPPT) and 4-thiobenzoyl-2,4-dihydro-5-methyl-2-phenyl-3H-pyrazol-3-one (HTBMPP) with tri-n-octylphosphine oxide (TOPO) synergist for Am( III) and Eu( III) extraction. Solv. Extr. Ion Exch. 1989, 7, 749–765. [Google Scholar]
- Shmidt, V.S. Some problems of the development of the physicochemical principles of modern extraction technology. Uspekhi Khimii 1987, 56, 1387. (In Russian) [Google Scholar] [CrossRef]
- Dhami, P.; Chitnis, R.; Gopalakrishnan, V.; Watta, P.; Ramanujan, A.; Banri, A. Studies on the partitioning of actinides from high level waste using a mixture of Hdehp and Cmpo as extractant. Sep. Sci. Technol. 2001, 36, 325. [Google Scholar] [CrossRef]
- Zhang, P.; Kimura, T. Complexation of Eu(III) with dibutyl phosphate and tributyl phosphate. Solv. Extr. Ion Exch. 2006, 24, 149. [Google Scholar] [CrossRef]
- Bakos, L.; Szabo, E.; Andras, L.; Iyer, N. Synergistic and antagonistic effects in organic solvent extraction of various metals. In Proceedings of the Symposium on Coordination Chemistry, Tihany, Hungary, 15 September 1964; Beck, M., Ed.; Academiai Kiado: Budapest, Hungary, 1965; pp. 241–254. [Google Scholar]
- Singh, S.K.; Dhami, P.S.; Dakshinamoorthy, A.; Sundersanan, M. Studies on the recovery of uranium from phosphoric acid medium using synergistic mixture of 2-ethyl hexyl hydrogen 2-ethyl hexyl phosphonate and octyl(phenyl)-N,N-diisobutyl Carbamoyl Methyl Phosphine Oxide. Sep. Sci. Technol. 2009, 44, 491–505. [Google Scholar] [CrossRef]
- Kondo, K.; Watanabe, T.; Matsumoto, M.; Kamio, E.J. Mechanism of synergistic extraction of samarium using alkylphosphoric acid as main extractant. Chem. Eng. Jpn. 2009, 42, 563. [Google Scholar] [CrossRef]
- Geist, A.; Weigl, M.; Gompper, K. Minor actinide partitioning by liquid–liquid extraction: Using a synergistic mixture of bis(chlorophenyl)-dithiophosphinic acid and topo in a hollow fiber module for americium(ii)–lanthanides(iii) separation. Sep. Sci. Technol. 2002, 37, 3369. [Google Scholar] [CrossRef]
- Ionova, G.; Ionov, S.; Rabbe, C.; Hill, C.; Madic, C.; Guillaumont, R.; Krupa, J.C. Mechanism of trivalent actinide/lanthanide separation using bis(2,4,4-trimethylpentyl) dithiophosphinic acid (cyanex 301) and neutral o-bearing co-extractant synergistic mixtures. Solv. Extr. Ion Exch. 2001, 19, 391. [Google Scholar] [CrossRef]
- Jia, Q.; Tong, J.; Li, Z.; Zhao, W.; Li, H.; Meng, J. Solvent extraction of rare earth elements with mixtures of sec-octylphenoxy acetic acid and bis(2,4,4-trimethylpentyl) dithiophosphinic acid. Sep. Purif. Technol. 2009, 64, 345. [Google Scholar] [CrossRef]
- Noro, J.; Sekine, T. Solvent Extraction of Europium(III) with 1-Naphthoic Acid into Chloroform in the Absence and Presence of Tetrabutylammonium Ions or Trioctylphosphine Oxide. Bull. Chem. Soc. Jpn. 1993, 66, 2242. [Google Scholar] [CrossRef]
- Tong, S.; Zhao, X.; Song, N.; Jia, Q.; Zhau, W.; Liao, W. Solvent extraction study of rare earth elements from chloride medium by mixtures of sec-nonylphenoxy acetic acid with Cyanex301 or Cyanex302. Hydrometallurgy 2009, 100, 15. [Google Scholar] [CrossRef]
- Wang, X.; Zhu, Y.; Jia, R.J. Separation of Am from lanthanides by a synergistic mixture of purified Cyanex 301 and TBP. Radioanal. Nucl. Chem. 2002, 251, 487–492. [Google Scholar] [CrossRef]
- Wu, D.B.; Wei, L.; Li, D. The extraction and separation of Ho, Y, and Er (III) with the mixtures of Cyanex 302 and another organic extractant. Sep. Sci. Technol. 2007, 42, 847–864. [Google Scholar] [CrossRef]
- Wei, H.; Li, Y.; Zhang, Z.; Liao, W. Synergistic solvent extraction of heavy rare earths from chloride media using mixture of HEHHAP and Cyanex272. Hydrometallurgy 2020, 191, 105240. [Google Scholar] [CrossRef]
- Santhi, P.B.; Reddy, M.L.P.; Damodaran, A.D. Liquid-liquid extraction of yttrium (III) with mixtures of organophosphorus extractants: Theoretical analysis of extraction behaviour. Hydrometallurgy 1991, 27, 169. [Google Scholar] [CrossRef]
- Zhang, F.; Wu, W.; Bian, X.; Zeng, W. Synergistic extraction and separation of lanthanum (III) and cerium (III) using a mixture of 2-ethylhexylphosphonic mono-2-ethylhexyl ester and di-2-ethylhexyl phosphoric acid in the presence of two complexing agents containing lactic acid and citric acid. Hydrometallurgy 2014, 149, 238. [Google Scholar] [CrossRef]
Publisher’s Note: MDPI stays neutral with regard to jurisdictional claims in published maps and institutional affiliations. |
© 2022 by the author. Licensee MDPI, Basel, Switzerland. This article is an open access article distributed under the terms and conditions of the Creative Commons Attribution (CC BY) license (https://creativecommons.org/licenses/by/4.0/).
















