Effects of Lubricants and the Additives on the Foaming of Desulfurization Solvent
Abstract
1. Introduction
2. Materials and Methods
2.1. Materials and Reagents
2.2. Measurement of Kinematic Viscosity and Surface Tension
2.3. Foaming Performance Measurement
3. Results and Discussion
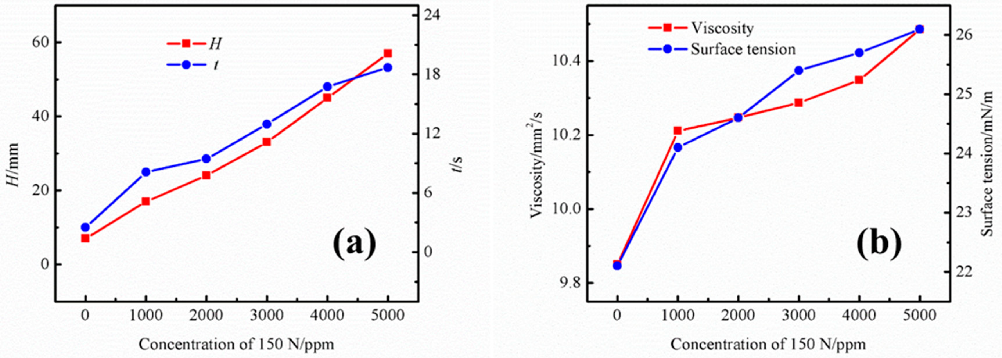
3.1. Effect of Lubricant Content on Foaming Performance of UDS Solution
3.2. Effect of Different Components on the Foaming Performance of Amine Liquid
3.2.1. Influence of Lubricant Base Oil
3.2.2. Effect of Dodecyl Succinic Acid
3.2.3. Effect of Zinc Dialkyl Dithiophosphate
3.3. Foaming Performance of Contaminated Amine Solution at Different Temperatures
3.4. The Prediction Model of Foam Height of UDS Solution
3.5. Regeneration of Contaminated Amine Solution via Activated Carbon Adsorption
4. Conclusions
Author Contributions
Funding
Data Availability Statement
Conflicts of Interest
References
- Liu, Y.; Wu, D.; Chen, M.; Zhang, B.; Chen, J.; Liu, Y. Identification of methyldiethanolamine degradation products and their influence on foaming properties during the desulfurization process for high-sulfurous natural gas. Ind. Eng. Chem. Res. 2015, 54, 5836–5841. [Google Scholar] [CrossRef]
- Chang, H.G. Gas desulfurization device amine solution foaming causes and understanding. Chem. Eng. Oil Gas 1995, 24, 60–63. [Google Scholar]
- Pauley, C.R. Face the facts about amine foaming. Chem. Eng. Prog. 1991, 87, 33–38. [Google Scholar]
- Stewart, E.J.; Lanning, R.A. Reduce amine plant solvent losses, Part 1. Hydrocarb. Process. 1994, 73, 67–81. [Google Scholar]
- Knudsen, J.N.; Jensen, J.N.; Vilhelmsen, P.J.; Biede, O. Experience with CO2 capture from coal flue gas in pilot-scale: Testing of different amine solvents. Energy Procedia 2009, 1, 783–790. [Google Scholar] [CrossRef]
- Liebermann, N.P. Amine appearance signals condition of system. Oil Gas J. 1980, 78, 115–120. [Google Scholar]
- Engel, D.B.; Williams, S.; Heinen, A. Activated carbon impact on MDEA amine solutions. Filter Separat. 2015, 52, 38–42. [Google Scholar]
- Abdi, M.A.; Golkar, M.M.; Meisen, A. Improve Contaminant Control in Amine Systems. Hydrocarb. Process. 2001, 80, 102C–102I. [Google Scholar]
- AI-Qahtani, M.H.; Garland, S.A.P. Khursaniyah gas plant experience with foaming during startup of Karan non-associated gas. In Proceedings of the International Petroleum Technology Conference, Beijing, China, 26–28 March 2013. [Google Scholar]
- Rumaih, M.A. Acid Gas Removal Unit Successful Switch from Silicon to Polyglycol Antifoam to Eliminate Foaming. In Proceedings of the Abu Dhabi International Petroleum Exhibition & Conference, Abu Dhabi, United Arab Emirates, 11–14 November 2019. [Google Scholar]
- Edalatpour, A.; Abbasi, M.; Riahi, S.; Sabet, N.S.M.; Tavakoli, O. Investigation of foaming tendency of aqueous mixture of MDEA+IPAE for carbon dioxide absorption. J. CO2 Util. 2022, 62, 102079. [Google Scholar] [CrossRef]
- Al-Dhafeeri, M.A. Identifying sources key to detailed troubleshooting of amine foaming. Oil Gas J. 2007, 105, 56–67. [Google Scholar]
- Thitakamol, B.; Veawab, A. Foaming behavior in CO2 absorption process using aqueous solutions of single and blended alkanolamines. Ind. Eng. Chem. Res. 2008, 47, 216–225. [Google Scholar] [CrossRef]
- Alhseinat, E.; Pal, P.; Keewan, M. Foaming study combined with physical characterization of aqueous MDEA gas sweetening solutions. J. Nat. Gas Sci. Eng. 2014, 17, 49–57. [Google Scholar] [CrossRef]
- Pal, P.; Banat, F.; AlShoaibi, A. Adsorptive removal of heat stable salt anions from industrial lean amine solvent using anion exchange resins from gas sweetening unit. J. Nat. Gas Sci. Eng. 2013, 15, 14–21. [Google Scholar] [CrossRef]
- Alhseinat, E.; Pal, P.; Ganesan, A.; Banat, F. Effect of MDEA degradation products on foaming behavior and physical properties of aqueous MDEA solutions. Int. J. Greenh. Gas Con. 2015, 37, 280–286. [Google Scholar] [CrossRef]
- Chen, X.; Freeman, S.A.; Rochelle, G.T. Foaming of aqueous piperazine and monoethanolamine for CO2 capture. Int. J. Greenh. Gas Con. 2011, 5, 381–386. [Google Scholar] [CrossRef]
- Ju, H.T.; ElMoudir, W.; Aboudheir, A.; Mahinpey, N. Development of a facile reclaiming process for degraded alkanolamine and glycol solvents used for CO2 capture systems. Int. J. Greenh. Gas Con. 2018, 74, 174–181. [Google Scholar] [CrossRef]
- Thitakamol, B.; Veawab, A.; Aroonwilas, A. Development of a mechanistic foam model for alkanolamine-based CO2 absorbers fitted with sheet-metal structured packing. Int. J. Greenh. Gas Con. 2015, 33, 77–88. [Google Scholar] [CrossRef]
- Thitakamol, B.; Veawab, A. Foaming model for CO2 absorption process using aqueous monoethanolamine solutions. Colloids Surf. A Physicochem. Eng. Asp. 2009, 349, 125–136. [Google Scholar] [CrossRef]
- Thitakamol, B.; Veawab, A.; Aroonwilas, A. Foaming in amine-based CO2 capture process: Experiment, modeling and simulation. Energy Procedia 2009, 1, 1381–1386. [Google Scholar] [CrossRef]
- Zhang, J.H.; Shen, B.X.; Sun, H.; Liu, J.C. A study on the desulfurization performance of solvent UDS for purifying high sour natural gas. Petrol. Sci. Technol. 2011, 29, 48–58. [Google Scholar] [CrossRef]
- Zhang, F.; Shen, B.X.; Sun, H.; Liu, J.C. Removal of organosulfurs from liquefied petroleum gas in a fiber film contactor using a new formulated solvent. Fuel Process. Technol. 2015, 140, 76–81. [Google Scholar] [CrossRef]
- Zhang, F.; Shen, B.X.; Sun, H.; Liu, J.C.; Liu, L. Rational Formulation Design and Commercial Application of a New Hybrid Solvent for Selectively Removing H2S and Organosulfurs from Sour Natural Gas. Energy Fuel 2016, 30, 12–19. [Google Scholar] [CrossRef]
- Ke, Y.; Shen, B.X.; Sun, H.; Liu, J.C.; Xu, X.L. Study on foaming of formulated solvent UDS and improving foaming control in acid natural gas sweetening process. J. Nat. Gas Sci. Eng. 2016, 28, 271–279. [Google Scholar] [CrossRef]
- Pilon, L.; Fedorov, A.G.; Viskanta, R. Steady-state thickness of liquid-gas foams. J. Colloid Interface Sci. 2001, 242, 425–436. [Google Scholar] [CrossRef]







| Content of Contaminant/(μg/g) | ρ/(g/cm3) | μ/(mPa·s) | σ/(mN/m) | j/(m/s) | |||
|---|---|---|---|---|---|---|---|
| 5.898 | 9.436 | ||||||
| H/mm | r/mm | H/mm | r/mm | ||||
| 0 | 1.0502 | 8.57 | 21.6 | 7.0 | 1.27 | 13.0 | 1.14 |
| 100 | 1.0501 | 8.60 | 22.4 | 8.0 | 1.25 | 14.5 | 0.97 |
| 500 | 1.0499 | 8.89 | 23.0 | 11.0 | 1.0 | 20.0 | 0.83 |
| 1000 | 1.0496 | 8.51 | 23.2 | 19.0 | 0.71 | 25.0 | 0.71 |
| 1750 | 1.0492 | 8.52 | 23.4 | 25.0 | 0.63 | 35.0 | 0.56 |
| 3500 | 1.0481 | 8.50 | 23.5 | 37.0 | 0.48 | 46.0 | 0.46 |
Disclaimer/Publisher’s Note: The statements, opinions and data contained in all publications are solely those of the individual author(s) and contributor(s) and not of MDPI and/or the editor(s). MDPI and/or the editor(s) disclaim responsibility for any injury to people or property resulting from any ideas, methods, instructions or products referred to in the content. |
© 2025 by the authors. Licensee MDPI, Basel, Switzerland. This article is an open access article distributed under the terms and conditions of the Creative Commons Attribution (CC BY) license (https://creativecommons.org/licenses/by/4.0/).
Share and Cite
Zhang, J.; Li, C.; Yang, Y.; Xu, X.; Sun, H. Effects of Lubricants and the Additives on the Foaming of Desulfurization Solvent. Separations 2025, 12, 102. https://doi.org/10.3390/separations12040102
Zhang J, Li C, Yang Y, Xu X, Sun H. Effects of Lubricants and the Additives on the Foaming of Desulfurization Solvent. Separations. 2025; 12(4):102. https://doi.org/10.3390/separations12040102
Chicago/Turabian StyleZhang, Jiandong, Changchun Li, Yang Yang, Xiaolong Xu, and Hui Sun. 2025. "Effects of Lubricants and the Additives on the Foaming of Desulfurization Solvent" Separations 12, no. 4: 102. https://doi.org/10.3390/separations12040102
APA StyleZhang, J., Li, C., Yang, Y., Xu, X., & Sun, H. (2025). Effects of Lubricants and the Additives on the Foaming of Desulfurization Solvent. Separations, 12(4), 102. https://doi.org/10.3390/separations12040102

