HS-SPME-GC-MS Analysis of the Volatile Composition of Italian Honey for Its Characterization and Authentication Using the Genetic Algorithm
Abstract
1. Introduction
2. Materials and Methods
2.1. Chemicals
2.2. Samples
2.3. HS-SPME-GC-MS Analysis of Volatile Organic Compounds
2.4. Statistical Analysis
3. Results and Discussion
3.1. Characterization of the Volatile Fraction of Honey by HS-SPME-GC-MS
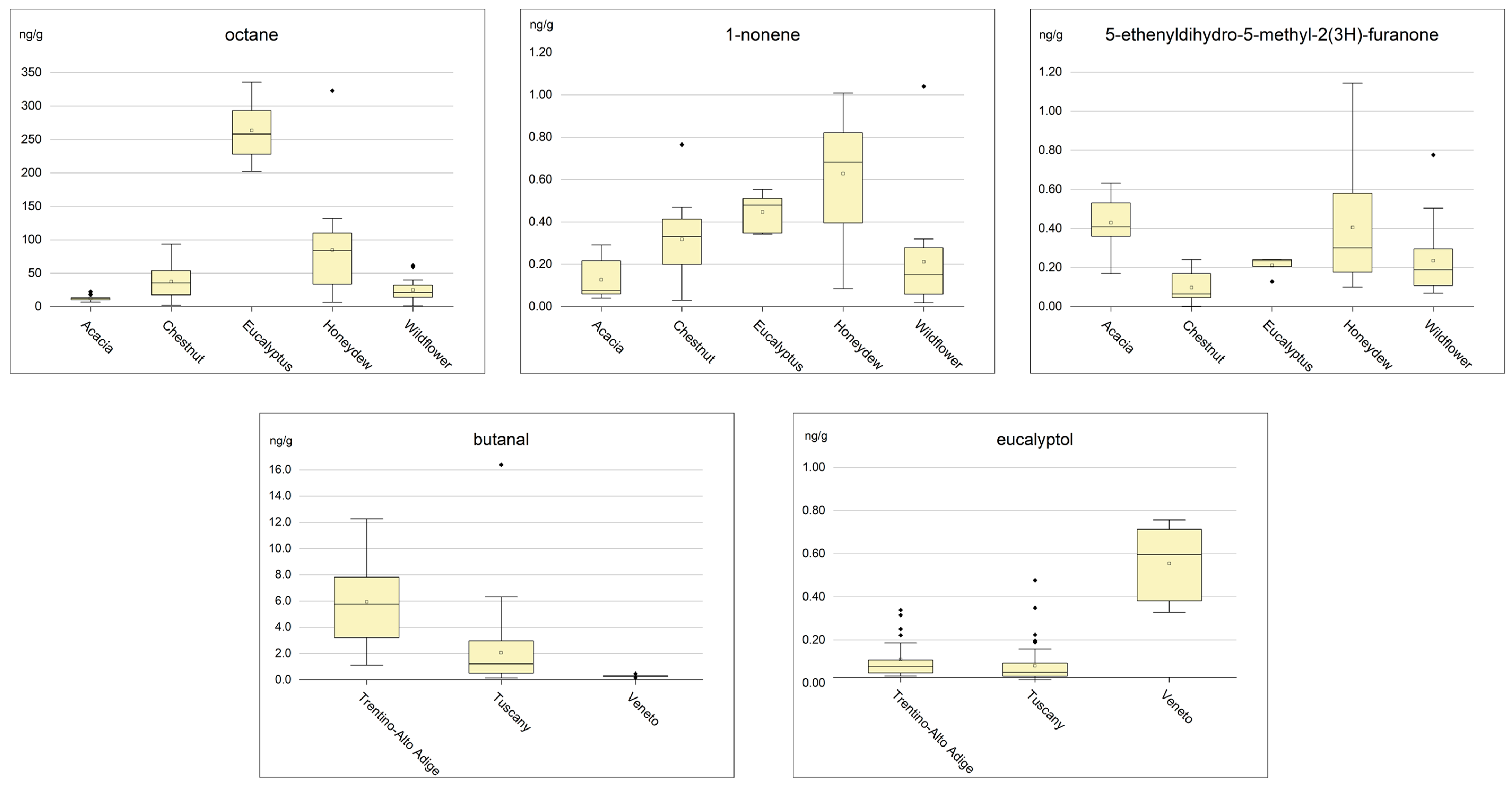
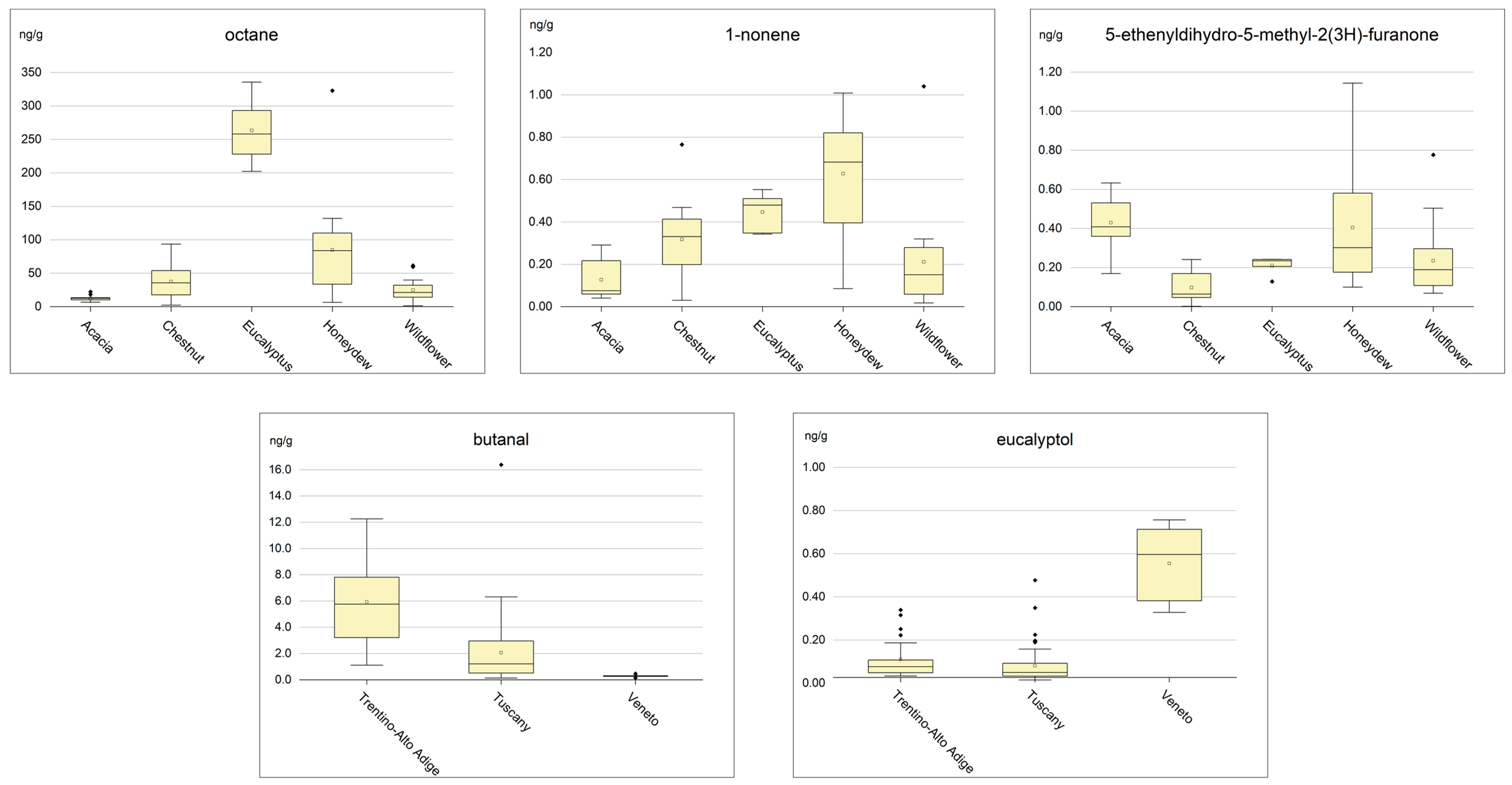
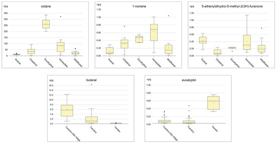
3.2. Botanical and Geographic Authentication of Honey by Using Genetic Algorithm (GA)
- ➢
- Botanical origin run 1: octane (90%), 1-nonene (90%), 5-ethenyldihydro-5-methyl-2(3H)-furanone (80%).
- ➢
- Botanical origin run 2: octane (100%), 1-nonene (80%), 5-ethenyldihydro-5-methyl-2(3H)-furanone (80%).
- ➢
- Geographic origin run 1: butanal (100%), eucalyptol (100%).
- ➢
- Geographic origin run 2: butanal (100%), eucalyptol (90%).
4. Conclusions
Supplementary Materials
Author Contributions
Funding
Data Availability Statement
Conflicts of Interest
References
- Food and Agriculture Organization—FAO Codex Alimentarius. Standard for Honey CXS 12-19811. Adopted in 1981. Amended in 2019. (Revised 1987, 2001). Available online: http://www.fao.org/fao-who-codexalimentarius (accessed on 19 August 2024).
- Pires, J.; Estevinho, M.L.; Feás, X.; Cantalapiedra, J.; Iglesias, A. Pollen Spectrum and Physico-chemical Attributes of Heather (Erica Sp.) Honeys of North Portugal. J. Sci. Food Agric. 2009, 89, 1862–1870. [Google Scholar] [CrossRef]
- Rana, S.; Mishra, M.; Yadav, D.; Subramani, S.K.; Katare, C.; Prasad, G. Medicinal Uses of Honey: A Review on Its Benefits to Human Health. Prog. Nutr. 2018, 20, 5–14. [Google Scholar] [CrossRef]
- Marcazzan, G.L.; Mucignat-Caretta, C.; Marina Marchese, C.; Piana, M.L. A Review of Methods for Honey Sensory Analysis. J. Apic. Res. 2018, 57, 75–87. [Google Scholar] [CrossRef]
- Lori, G.; Cecchi, L.; Mulinacci, N.; Melani, F.; Caselli, A.; Cirri, P.; Pazzagli, L.; Luti, S.; Mazzoli, L.; Paoli, P. Honey Extracts Inhibit PTP1B, Upregulate Insulin Receptor Expression, and Enhance Glucose Uptake in Human HepG2 Cells. Biomed. Pharmacother. 2019, 113, 108752. [Google Scholar] [CrossRef] [PubMed]
- Ranneh, Y.; Akim, A.M.; Hamid, H.A.; Khazaai, H.; Fadel, A.; Zakaria, Z.A.; Albujja, M.; Abu Bakar, M.F. Honey and Its Nutritional and Anti-Inflammatory Value. BMC Complement. Med. Ther. 2021, 21, 30. [Google Scholar] [CrossRef] [PubMed]
- Tsagkaris, A.S.; Koulis, G.A.; Danezis, G.P.; Martakos, I.; Dasenaki, M.; Georgiou, C.A.; Thomaidis, N.S. Honey Authenticity: Analytical Techniques, State of the Art and Challenges. RSC Adv. 2021, 11, 11273. [Google Scholar] [CrossRef]
- Feknous, N.; Boumendjel, M. Natural Bioactive Compounds of Honey and Their Antimicrobial Activity. Czech J. Food Sci. 2022, 40, 163–178. [Google Scholar] [CrossRef]
- Li, N.; Song, M.; Li, H.; Liu, Z.; Jiang, A.; Lang, Y.; Chen, L. Advancement of Foodomics Techniques for Honey Botanical Origins Authentication: Past Decade (2013–2023) and Future Perspectives. Trends Food Sci. Technol. 2024, 147, 104458. [Google Scholar] [CrossRef]
- Sands, P.; Tarasofsky, R. Directive 2001/18/EC of the European Parliament and of the Council of 12 March 2001 on the Deliberate Release into the Environment of Genetically Modified Organisms and Repealing Council Directive 90/220/EEC (OJ L 106 17.04.2001 p. 1). In Documents in European Community Environmental Law; Cambridge University Press: Cambridge, UK, 2006; pp. 787–836. ISBN 978-0-521-83303-5. [Google Scholar]
- Ozgur, D. Regulation (EU) No 1151/2012 of the European Parliament and of the Council of 21 November 2012 on Quality Schemes for Agricultural Products and Foodstuffs. Dokuz Eylül Univ. Fac. Law J. 2016, 18, 41. [Google Scholar]
- European Commission Honey (2015-17). Available online: https://food.ec.europa.eu/safety/eu-agri-food-fraud-network/eu-coordinated-actions/honey-2015-17_en (accessed on 19 August 2024).
- Manyi-Loh, C.E.; Ndip, R.N.; Clarke, A.M. Volatile Compounds in Honey: A Review on Their Involvement in Aroma, Botanical Origin Determination and Potential Biomedical Activities. Int. J. Mol. Sci. 2011, 12, 9514–9532. [Google Scholar] [CrossRef]
- Wang, J.; Li, Q.X. Chemical Composition, Characterization, and Differentiation of Honey Botanical and Geographical Origins. In Advances in Food and Nutrition Research; Elsevier: Amsterdam, The Netherlands, 2011; Volume 62, pp. 89–137. ISBN 978-0-12-385989-1. [Google Scholar]
- Soares, S.; Amaral, J.S.; Oliveira, M.B.P.P.; Mafra, I. A Comprehensive Review on the Main Honey Authentication Issues: Production and Origin. Comp. Rev. Food Sci. Food Safe 2017, 16, 1072–1100. [Google Scholar] [CrossRef] [PubMed]
- Machado, A.M.; Miguel, M.G.; Vilas-Boas, M.; Figueiredo, A.C. Honey Volatiles as a Fingerprint for Botanical Origin—A Review on Their Occurrence on Monofloral Honeys. Molecules 2020, 25, 374. [Google Scholar] [CrossRef] [PubMed]
- Di Vita, G.; Pippinato, L.; Blanc, S.; Zanchini, R.; Mosso, A.; Brun, F. Understanding the Role of Purchasing Predictors in the Consumer’s Preferences for PDO Labelled Honey. J. Food Prod. Mark. 2021, 27, 42–56. [Google Scholar] [CrossRef]
- Trentinaglia, M.T.; Cavicchioli, D.; Pocol, C.B.; Baldi, L. Where Was My Cup of Honey Made? PDO Honey and Sub-Regional Ethnocentric Consumer Segments. Br. Food J. 2023, 125, 296–315. [Google Scholar] [CrossRef]
- Wang, X.; Chen, Y.; Hu, Y.; Zhou, J.; Chen, L.; Lu, X. Systematic Review of the Characteristic Markers in Honey of Various Botanical, Geographic, and Entomological Origins. ACS Food Sci. Technol. 2022, 2, 206–220. [Google Scholar] [CrossRef]
- Rios, F.T.; Lobo, M.O.; Castanheira, I.; Delgado, I.; Nascimiento, A.; Sammán, N. Chemometric and Multielement Techniques for the Exploratory Analysis of Honey Quality from Different Geographical Origin. J. Agric. Food Sci. Biotechnol. 2024, 2, 54–63. [Google Scholar] [CrossRef]
- Sabater, C.; Calvete, I.; Vázquez, X.; Ruiz, L.; Margolles, A. Tracing the Origin and Authenticity of Spanish PDO Honey Using Metagenomics and Machine Learning. Int. J. Food Microbiol. 2024, 421, 110789. [Google Scholar] [CrossRef] [PubMed]
- Boruah, T.; Devi, H.; Dulal, K.; Namo Das, P.; Devi, B.; Ahmad Nayik, G.; Singh, R. Botanical (Melissopalynological) and Geographical Analysis of Honey. In Advanced Techniques of Honey Analysis; Elsevier: Amsterdam, The Netherlands, 2024; pp. 39–62. ISBN 978-0-443-13175-2. [Google Scholar]
- Von Der Ohe, W.; Persano Oddo, L.; Piana, M.L.; Morlot, M.; Martin, P. Harmonized Methods of Melissopalynology. Apidologie 2004, 35, S18–S25. [Google Scholar] [CrossRef]
- Panseri, S.; Manzo, A.; Chiesa, L.M.; Giorgi, A. Melissopalynological and Volatile Compounds Analysis of Buckwheat Honey from Different Geographical Origins and Their Role in Botanical Determination. J. Chem. 2013, 2013, 904202. [Google Scholar] [CrossRef]
- Cecchi, L.; Migliorini, M.; Giambanelli, E.; Cane, A.; Zanoni, B.; Canuti, V.; Mulinacci, N.; Melani, F. Is the Volatile Compounds Profile a Suitable Tool for Authentication of Virgin Olive Oils (Olea europaea L.) According to Cultivars? A Study by Using HS-SPME-GC-MS and Chemometrics. Food Control 2022, 139, 109092. [Google Scholar] [CrossRef]
- Warburton, A.; Silcock, P.; Eyres, G.T. Impact of Sourdough Culture on the Volatile Compounds in Wholemeal Sourdough Bread. Food Res. Int. 2022, 161, 111885. [Google Scholar] [CrossRef] [PubMed]
- Feng, Y.; Wang, Y.; Beykal, B.; Qiao, M.; Xiao, Z.; Luo, Y. A Mechanistic Review on Machine Learning-Supported Detection and Analysis of Volatile Organic Compounds for Food Quality and Safety. Trends Food Sci. Technol. 2024, 143, 104297. [Google Scholar] [CrossRef]
- Aisala, H.; Manninen, H.; Laaksonen, T.; Linderborg, K.M.; Myoda, T.; Hopia, A.; Sandell, M. Linking Volatile and Non-Volatile Compounds to Sensory Profiles and Consumer Liking of Wild Edible Nordic Mushrooms. Food Chem. 2020, 304, 125403. [Google Scholar] [CrossRef]
- Mahmoud, M.A.A.; Kılıç-Büyükkurt, Ö.; Aboul Fotouh, M.M.; Selli, S. Aroma Active Compounds of Honey: Analysis with GC-MS, GC-O, and Molecular Sensory Techniques. J. Food Compos. Anal. 2024, 134, 106545. [Google Scholar] [CrossRef]
- Lu, Q.; Yu, L.; Guo, X.; Wang, X. Volatile Compounds, Synergistic Effects, Precursors and Impact Factors for Odor Profiles in Eriocheir Sinensis. Aquac. Fish. 2024, 9, 721–730. [Google Scholar] [CrossRef]
- Aliferis, K.A.; Tarantilis, P.A.; Harizanis, P.C.; Alissandrakis, E. Botanical Discrimination and Classification of Honey Samples Applying Gas Chromatography/Mass Spectrometry Fingerprinting of Headspace Volatile Compounds. Food Chem. 2010, 121, 856–862. [Google Scholar] [CrossRef]
- Pita-Calvo, C.; Vázquez, M. Honeydew Honeys: A Review on the Characterization and Authentication of Botanical and Geographical Origins. J. Agric. Food Chem. 2018, 66, 2523–2537. [Google Scholar] [CrossRef]
- Quirantes-Piné, R.; Sanna, G.; Mara, A.; Borrás-Linares, I.; Mainente, F.; Picó, Y.; Zoccatelli, G.; Lozano-Sánchez, J.; Ciulu, M. Mass Spectrometry Characterization of Honeydew Honey: A Critical Review. Foods 2024, 13, 2229. [Google Scholar] [CrossRef]
- Soria, A.C.; Martínez-Castro, I.; Sanz, J. Some Aspects of Dynamic Headspace Analysis of Volatile Components in Honey. Food Res. Int. 2008, 41, 838–848. [Google Scholar] [CrossRef]
- Da Silva, P.M.; Gauche, C.; Gonzaga, L.V.; Costa, A.C.O.; Fett, R. Honey: Chemical Composition, Stability and Authenticity. Food Chem. 2016, 196, 309–323. [Google Scholar] [CrossRef]
- Leoni, V.; Giupponi, L.; Pavlovic, R.; Gianoncelli, C.; Cecati, F.; Ranzato, E.; Martinotti, S.; Pedrali, D.; Giorgi, A.; Panseri, S. Multidisciplinary Analysis of Italian Alpine Wildflower Honey Reveals Criticalities, Diversity and Value. Sci. Rep. 2021, 11, 19316. [Google Scholar] [CrossRef] [PubMed]
- Karabagias, I.K.; Karabagias, V.K.; Nayik, G.A.; Gatzias, I.; Badeka, A.V. A Targeted Chemometric Evaluation of the Volatile Compounds of Quercus Ilex Honey in Relation to Its Provenance. LWT 2022, 154, 112588. [Google Scholar] [CrossRef]
- Zhang, X.-H.; Gu, H.-W.; Liu, R.-J.; Qing, X.-D.; Nie, J.-F. A Comprehensive Review of the Current Trends and Recent Advancements on the Authenticity of Honey. Food Chem. X 2023, 19, 100850. [Google Scholar] [CrossRef] [PubMed]
- Stanimirova, I.; Üstün, B.; Cajka, T.; Riddelova, K.; Hajslova, J.; Buydens, L.M.C.; Walczak, B. Tracing the Geographical Origin of Honeys Based on Volatile Compounds Profiles Assessment Using Pattern Recognition Techniques. Food Chem. 2010, 118, 171–176. [Google Scholar] [CrossRef]
- Seisonen, S.; Kivima, E.; Vene, K. Characterisation of the Aroma Profiles of Different Honeys and Corresponding Flowers Using Solid-Phase Microextraction and Gas Chromatography—Mass Spectrometry/Olfactometry. Food Chem. 2015, 169, 34–40. [Google Scholar] [CrossRef]
- Neggad, A.; Benkaci-Ali, F.; Alsafra, Z.; Eppe, G. Headspace Solid Phase Microextraction Coupled to GC/MS for the Analysis of Volatiles of Honeys from Arid and Mediterranean Areas of Algeria. Chem. Biodivers. 2019, 16, e1900267. [Google Scholar] [CrossRef]
- Maione, C.; Barbosa, F.; Barbosa, R.M. Predicting the Botanical and Geographical Origin of Honey with Multivariate Data Analysis and Machine Learning Techniques: A Review. Comput. Electron. Agric. 2019, 157, 436–446. [Google Scholar] [CrossRef]
- Mădaş, N.M.; Mărghitaş, L.A.; Dezmirean, D.S.; Bonta, V.; Bobiş, O.; Fauconnier, M.-L.; Francis, F.; Haubruge, E.; Nguyen, K.B. Volatile Profile and Physico-Chemical Analysis of Acacia Honey for Geographical Origin and Nutritional Value Determination. Foods 2019, 8, 445. [Google Scholar] [CrossRef]
- Sharin, S.N.; Sani, M.S.A.; Jaafar, M.A.; Yuswan, M.H.; Kassim, N.K.; Manaf, Y.N.; Wasoh, H.; Zaki, N.N.M.; Hashim, A.M. Discrimination of Malaysian Stingless Bee Honey from Different Entomological Origins Based on Physicochemical Properties and Volatile Compound Profiles Using Chemometrics and Machine Learning. Food Chem. 2021, 346, 128654. [Google Scholar] [CrossRef]
- Karabagias, I.K. Headspace Volatile Compounds Fluctuations in Honeydew Honey during Storage at In-House Conditions. Eur. Food Res. Technol. 2022, 248, 715–726. [Google Scholar] [CrossRef]
- Liang, D.; Wen, H.; Zhou, Y.; Wang, T.; Jia, G.; Cui, Z.; Li, A. Simultaneous Qualitative and Quantitative Analyses of Volatile Components in Chinese Honey of Six Botanical Origins Using Headspace Solid-phase Microextraction and Gas Chromatography–Mass Spectrometry. J. Sci. Food Agric. 2023, 103, 7631–7642. [Google Scholar] [CrossRef] [PubMed]
- Karabagias, I.K.; Nayik, G.A. Machine Learning Algorithms Applied to Semi-Quantitative Data of the Volatilome of Citrus and Other Nectar Honeys with the Use of HS-SPME/GC–MS Analysis, Lead to a New Index of Geographical Origin Authentication. Foods 2023, 12, 509. [Google Scholar] [CrossRef]
- Forrest, S. Genetic Algorithms: Principles of Natural Selection Applied to Computation. Genet. Algorithms Princ. Nat. Sel. Appl. Comput. 1993, 261, 872–878. [Google Scholar] [CrossRef] [PubMed]
- Ramzi, M.; Kashaninejad, M.; Salehi, F.; Sadeghi Mahoonak, A.R.; Ali Razavi, S.M. Modeling of Rheological Behavior of Honey Using Genetic Algorithm–Artificial Neural Network and Adaptive Neuro-Fuzzy Inference System. Food Biosci. 2015, 9, 60–67. [Google Scholar] [CrossRef]
- Başar, B.; Özdemir, D. Determination of Honey Adulteration with Beet Sugar and Corn Syrup Using Infrared Spectroscopy and Genetic-algorithm-based Multivariate Calibration. J. Sci. Food Agric. 2018, 98, 5616–5624. [Google Scholar] [CrossRef]
- Peng, J.; Xie, W.; Jiang, J.; Zhao, Z.; Zhou, F.; Liu, F. Fast Quantification of Honey Adulteration with Laser-Induced Breakdown Spectroscopy and Chemometric Methods. Foods 2020, 9, 341. [Google Scholar] [CrossRef]
- Caredda, M.; Mara, A.; Ciulu, M.; Floris, I.; Pilo, M.I.; Spano, N.; Sanna, G. Use of Genetic Algorithms in the Wavelength Selection of FT-MIR Spectra to Classify Unifloral Honeys from Sardinia. Food Control 2023, 146, 109559. [Google Scholar] [CrossRef]
- van Den Dool, H.; Kratz, P.D. A Generalization of the Retention Index System Including Linear Temperature Programmed Gas—Liquid Partition Chromatography. J. Chromatogr. A 1963, 11, 463–471. [Google Scholar] [CrossRef] [PubMed]
- Chemistry WebBook. Available online: http://www.nist.gov/index.html (accessed on 1 December 2018).
- Karabagias, I.K.; Badeka, A.; Kontominas, M.G. A Decisive Strategy for Monofloral Honey Authentication Using Analysis of Volatile Compounds and Pattern Recognition Techniques. Microchem. J. 2020, 152, 104263. [Google Scholar] [CrossRef]
- Pizarro, C.; Rodríguez-Tecedor, S.; Pérez-del-Notario, N.; González-Sáiz, J.M. Recognition of Volatile Compounds as Markers in Geographical Discrimination of Spanish Extra Virgin Olive Oils by Chemometric Analysis of Non-Specific Chromatography Volatile Profiles. J. Chromatogr. A 2011, 1218, 518–523. [Google Scholar] [CrossRef]
- Kaziur-Cegla, W.; Jochmann, M.A.; Molt, K.; Bruchmann, A.; Schmidt, T.C. In-Tube Dynamic Extraction for Analysis of Volatile Organic Compounds in Honey Samples. Food Chem. X 2022, 14, 100337. [Google Scholar] [CrossRef] [PubMed]
- Nguyen, T.Q.N.; Hanková, M.; Kružík, V.; Grégrová, A.; Škorpilová, T.; Štarha, P.; Tran, V.N.; Čížková, H. Determination of Volatile Compound Profiles and Physico-Chemical Analysis of Linden and Acacia Czech Honey. J. Apic. Res. 2023, 62, 374–382. [Google Scholar] [CrossRef]
- Bonometti, E.; Giordana, A.; Operti, L.; Rabezzana, R.; Turco, F.; Volpi, G. Characterization of Unifloral Italian (Piedmont Region) Honeys by Headspace Solid Phase Microextraction Coupled to Gas Chromatography–Mass Spectrometry. JSFA Rep. 2022, 2, 341–350. [Google Scholar] [CrossRef]
- Guyot, C.; Bouseta, A.; Scheirman, V.; Collin, S. Floral Origin Markers of Chestnut and Lime Tree Honeys. J. Agric. Food Chem. 1998, 46, 625–633. [Google Scholar] [CrossRef]
- Castro-Vázquez, L.; Díaz-Maroto, M.C.; De Torres, C.; Pérez-Coello, M.S. Effect of Geographical Origin on the Chemical and Sensory Characteristics of Chestnut Honeys. Food Res. Int. 2010, 43, 2335–2340. [Google Scholar] [CrossRef]
- Colucci, G.; De Vito, V. Identification of Traceability Markers in Italian Unifloral Honeys of Different Botanical Origin. J. Nutr. Food Sci. 2016, 6, 1000462. [Google Scholar] [CrossRef]
- Piasenzotto, L.; Gracco, L.; Conte, L. Solid Phase Microextraction (SPME) Applied to Honey Quality Control. J. Sci. Food Agric. 2003, 83, 1037–1044. [Google Scholar] [CrossRef]
- D’Arcy, B.R.; Rintoul, G.B.; Rowland, C.Y.; Blackman, A.J. Composition of Australian Honey Extractives. 1. Norisoprenoids, Monoterpenes, and Other Natural Volatiles from Blue Gum (Eucalyptus leucoxylon) and Yellow Box (Eucalyptus melliodora) Honeys. J. Agric. Food Chem. 1997, 45, 1834–1843. [Google Scholar] [CrossRef]
- Soria, A.C.; González, M.; De Lorenzo, C.; Martínez-Castro, I.; Sanz, J. Estimation of the Honeydew Ratio in Honey Samples from Their Physicochemical Data and from Their Volatile Composition Obtained by SPME and GC-MS. J. Sci. Food Agric. 2005, 85, 817–824. [Google Scholar] [CrossRef]
- Bianchi, F.; Careri, M.; Musci, M. Volatile Norisoprenoids as Markers of Botanical Origin of Sardinian Strawberry-Tree (Arbutus Unedo L.) Honey: Characterisation of Aroma Compounds by Dynamic Headspace Extraction and Gas Chromatography–Mass Spectrometry. Food Chem. 2005, 89, 527–532. [Google Scholar] [CrossRef]
- Delafuente, E.; Sanz, M.; Martinezcastro, I.; Sanz, J.; Ruizmatute, A. Volatile and Carbohydrate Composition of Rare Unifloral Honeys from Spain. Food Chem. 2007, 105, 84–93. [Google Scholar] [CrossRef]
- Karabagias, I.K.; Vavoura, M.V.; Badeka, A.; Kontakos, S.; Kontominas, M.G. Differentiation of Greek Thyme Honeys According to Geographical Origin Based on the Combination of Phenolic Compounds and Conventional Quality Parameters Using Chemometrics. Food Anal. Methods 2014, 7, 2113–2121. [Google Scholar] [CrossRef]
- Escriche, I.; Conchado, A.; Peral, A.M.; Juan-Borrás, M. Volatile Markers as a Reliable Alternative for the Correct Classification of Citrus Monofloral Honey. Food Res. Int. 2023, 168, 112699. [Google Scholar] [CrossRef]
- Jerkovic, I.; Obradovic, M.; Kus, P.M.; Sarolic, M. Bioorganic diversity of rare Coriandrum sativum L. honey: Unusual chromatographic profiles containing derivatives of linalool/oxygenated methoxybenzene. Chem. Biodivers. 2013, 10, 1549–1558. [Google Scholar] [CrossRef]
- Jerkovic, I.; Kus, P.M. Terpenes in honey: Occurrence, origin and their role as chemical biomarkers. RCS Adv. 2014, 4, 31710–31728. [Google Scholar] [CrossRef]
- White, J.W.; Bryant, V.M. Assessing Citrus Honey Quality: Pollen and Methyl Anthranilate Content. J. Agric. Food Chem. 1996, 44, 3423–3425. [Google Scholar] [CrossRef]
- Juan-Borrás, M.; Periche, A.; Domenech, E.; Escriche, I. Correlation between Methyl Anthranilate Level and Percentage of Pollen in Spanish Citrus Honey. Int. J. Food Sci. Technol. 2015, 50, 1690–1696. [Google Scholar] [CrossRef]



| Origin | Total | Tuscany | Trentino-Alto Adige | Veneto | Greece | Emilia Romagna | Sicily | Sardinia | Calabria | Lombardia | Piemonte | 
|---|---|---|---|---|---|---|---|---|---|---|---|
| Honeydew | 19 | 13 | 1 | 2 | 1 | 1 | 1 | ||||
| Wildflower | 15 | 9 | 2 | 1 | 2 | 1 | |||||
| Chestnut | 14 | 12 | 1 | 1 | |||||||
| Acacia | 12 | 10 | 1 | 1 | |||||||
| Eucalyptus | 5 | 2 | 2 | 1 | |||||||
| French honeysuckle | 3 | 1 | 2 | ||||||||
| Ivy | 3 | 2 | 1 | ||||||||
| Linden | 3 | 2 | 1 | ||||||||
| Clover | 2 | 1 | 1 | ||||||||
| Coriander | 2 | 1 | 1 | ||||||||
| Heather | 2 | 1 | 1 | ||||||||
| Orange tree | 2 | 1 | 1 | ||||||||
| Strawberry tree | 2 | 1 | 1 | ||||||||
| Sunflowers | 2 | 1 | 1 | ||||||||
| Alianthus | 1 | 1 | |||||||||
| Alfalfa | 1 | 1 | |||||||||
| Alps flower | 1 | 1 | |||||||||
| Apple | 1 | 1 | |||||||||
| Bitter | 1 | 1 | |||||||||
| Fir | 1 | 1 | |||||||||
| Forest honey | 1 | 1 | |||||||||
| Lavander | 1 | 1 | |||||||||
| Marruca | 1 | 1 | |||||||||
| Paradise tree | 1 | 1 | |||||||||
| Sweet clover | 1 | 1 | |||||||||
| Thyme | 1 | 1 | |||||||||
| 98 | 55 | 25 | 5 | 4 | 3 | 2 | 1 | 1 | 1 | 1 | 
| Compound Name | ri calc | ri rif | Quantifier Ion | Qualifier Ion | Chemical Class | 
|---|---|---|---|---|---|
| tert-butanol | 899 | 900 | 59 | 31 | alcohol | 
| 2-methyl-2-butanol | 1008 | 1000 | 73 | 59 | alcohol | 
| 2-methyl-3-buten-2-ol | 1032 | 1031 | 71 | 59 | alcohol | 
| 2-methyl-1-propanol | 1082 | 1085 | 74 | 73 | alcohol | 
| 2-methyl-2-pentanol | 1087 | - | 87 | 59 | alcohol | 
| pentan-3-ol | 1128 | 1108 | 59 | 41 | alcohol | 
| butanol | 1135 | 1132 | 56 | 55 | alcohol | 
| 2-methyl-3-pentanol | 1140 | 1121 | 73 | 59 | alcohol | 
| 2-methyl-1-butanol + 3-methyl-1-butanol | 1196 | 1206 | 70 | 41 | alcohol | 
| 3-methyl-3-buten-1-ol | 1242 | 1244 | 86 | 68 | alcohol | 
| 2-heptanol | 1310 | 1301 | 45 | 55 | alcohol | 
| 2- + 3-methyl-2-buten-1-ol | 1313 | 1311/1313 | 71 | 86 | alcohol | 
| 3-methyl-1-pentanol | 1320 | 1328 | 69 | 56 | alcohol | 
| 1-hexanol | 1345 | 1344 | 56 | 69 | alcohol | 
| 2,4-dimethylpentan-3-ol | 1372 | - | 73 | 55 | alcohol | 
| 2,4,4-trimethyl-cyclopentanol | 1377 | - | 95 | 85 | alcohol | 
| (Z)-3-hexenol | 1379 | 1384 | 67 | 82 | alcohol | 
| octan-3-ol | 1385 | 1383 | 101 | 83 | alcohol | 
| 1-octen-3-ol | 1442 | 1442 | 57 | 72 | alcohol | 
| 6-methyl-5-hepten-2-ol | 1454 | 1466 | 128 | 95 | alcohol | 
| 2-ethyl-1-hexanol | 1482 | 1481 | 57 | 98 | alcohol | 
| 1-octanol | 1552 | 1552 | 84 | 70 | alcohol | 
| 1-nonanol | 1652 | 1654 | 56 | 57 | alcohol | 
| 4-isopropyl cyclohexanol | 1681 | 1683 | 124 | 81 | alcohol | 
| decanol | 1754 | 1766 | 112 | 97 | alcohol | 
| butanal | 883 | 875 | 72 | 57 | aldehyde | 
| 2-methyl-butanal | 917 | 916 | 57 | 41 | aldehyde | 
| 3-methyl-butanal | 921 | 918 | 44 | 71 | aldehyde | 
| pentanal | 984 | 984 | 57 | 44 | aldehyde | 
| 3-methyl-pentanal | 1035 | - | 56 | 57 | aldehyde | 
| hexanal | 1076 | 1076 | 56 | 82 | aldehyde | 
| 2-methyl-(E)-2-butenal | 1090 | 1088 | 84 | 55 | aldehyde | 
| heptanal | 1181 | 1181 | 70 | 96 | aldehyde | 
| 3-methyl-2-butenal | 1200 | 1200 | 84 | 55 | aldehyde | 
| (E)-2-hexenal | 1227 | 1220 | 98 | 83 | aldehyde | 
| octanal | 1292 | 1293 | 84 | 100 | aldehyde | 
| nonanal | 1399 | 1398 | 98 | 82 | aldehyde | 
| (E)-2-octenal | 1439 | 1437 | 70 | 83 | aldehyde | 
| decanal | 1505 | 1505 | 112 | 82 | aldehyde | 
| α-methyl-benzenemethanol | 1812 | 1818 | 122 | 107 | aromatic alcohol | 
| p-cymen-8-ol | 1848 | 1850 | 135 | 132 | aromatic alcohol | 
| benzyl alcohol | 1876 | 1876 | 108 | 107 | aromatic alcohol | 
| phenylethyl alcohol | 1915 | 1920 | 122 | 91 | aromatic alcohol | 
| p-cymen-7-ol | 2143 | 2090 | 135 | 119 | aromatic alcohol | 
| (E)-(3,3-dimethylcyclohexylidene)-acetaldehyde | 1226 | - | 109 | 152 | aromatic aldehyde | 
| cyclohexanecarboxaldehyde | 1281 | - | 83 | 112 | aromatic aldehyde | 
| furfural | 1467 | 1465 | 96 | 95 | aromatic aldehyde | 
| benzaldehyde | 1539 | 1537 | 106 | 105 | aromatic aldehyde | 
| 5-methyl-2-furancarboxaldehyde | 1581 | 1580 | 110 | 109 | aromatic aldehyde | 
| 4-methyl benzaldehyde | 1642 | 1654 | 119 | 120 | aromatic aldehyde | 
| benzeneacetaldehyde | 1657 | 1652 | 120 | 91 | aromatic aldehyde | 
| 3-methyl-benzaldehyde | 1668 | 1624 | 119 | 91 | aromatic aldehyde | 
| 2-hydroxybenzaldehyde (salicilaldehyde) | 1693 | 1674 | 122 | 121 | aromatic aldehyde | 
| p-isopropylbenzaldehyde | 1803 | 1789 | 148 | 133 | aromatic aldehyde | 
| 2,5-furandicarboxyaldehyde | 1985 | 1967 | 124 | 123 | aromatic aldehyde | 
| methoxy benzaldehyde | 2066 | - | 135 | 136 | aromatic aldehyde | 
| (E)-cinnamaldehyde | 2084 | 2025 | 131 | 103 | aromatic aldehyde | 
| dimethoxy-benzaldehyde | 2493 | - | 166 | 151 | aromatic aldehyde | 
| trimethoxy-benzaldehyde | 2623 | - | 196 | 181 | aromatic aldehyde | 
| 1-(2-furanyl)-ethanone | 1512 | 1511 | 95 | 110 | aromatic ketone | 
| acetophenone | 1667 | 1669 | 105 | 77 | aromatic ketone | 
| 1-(4-methylphenyl)-ethanone | 1794 | 1752 | 134 | 119 | aromatic ketone | 
| 1-(1a,2,3,5,6a,6b-hexahydro-3,3,6a-trimethyloxireno[g]benzofuran-5-yl)-ethanone isomer 1 | 1812 | - | 179 | 95 | aromatic ketone | 
| 1-(1a,2,3,5,6a,6b-hexahydro-3,3,6a-trimethyloxireno[g]benzofuran-5-yl)-ethanone isomer 2 | 1858 | - | 179 | 95 | aromatic ketone | 
| 1-(2-aminophenyl)-ethanone | 2286 | 2270 | 120 | 92 | aromatic ketone | 
| toluene | 1041 | 1041 | 91 | 92 | benzene derivative | 
| ethylbenzene | 1121 | 1120 | 91 | 106 | benzene derivative | 
| (1-methylethyl)-benzene | 1172 | 1177 | 105 | 120 | benzene derivative | 
| styrene | 1262 | 1262 | 104 | 78 | benzene derivative | 
| p-cymene | 1276 | 1276 | 119 | 134 | benzene derivative | 
| α-methylstyrene | 1338 | 1326 | 118 | 103 | benzene derivative | 
| anisole | 1349 | 1354 | 108 | 78 | benzene derivative | 
| p-cymenene | 1446 | 1438 | 117 | 132 | benzene derivative | 
| α-ionene A | 1463 | - | 159 | 174 | benzene derivative | 
| α-ionene B | 1497 | - | 159 | 174 | benzene derivative | 
| 1-sec-butyl-4-methylbenzene | 1755 | - | 148 | 119 | benzene derivative | 
| 1-methoxy-4-propyl-benzene | 2113 | - | 121 | 150 | benzene derivative | 
| acetic acid | 1447 | 1447 | 60 | 45 | carboxylic acid | 
| 4-methyl-2-oxovaleric acid | 1454 | - | 85 | 57 | carboxylic acid | 
| 2-methyl-propanoic acid | 1562 | 1564 | 88 | 73 | carboxylic acid | 
| pivalic acid | 1575 | 1527 | 57 | 102 | carboxylic acid | 
| 3-methyl-butanoic acid | 1664 | 1667 | 60 | 87 | carboxylic acid | 
| 2-methyl-butanoic acid | 1664 | 1652 | 74 | 87 | carboxylic acid | 
| 3-methyl-pentanoic acid | 1785 | 1780 | 60 | 87 | carboxylic acid | 
| hexanoic acid | 1837 | 1834 | 60 | 73 | carboxylic acid | 
| 2-ethyl-hexanoic acid | 1942 | 1950 | 88 | 116 | carboxylic acid | 
| heptanoic acid | 1947 | 1953 | 73 | 101 | carboxylic acid | 
| octanoic acid | 2070 | 2072 | 73 | 101 | carboxylic acid | 
| nonanoic acid | 2213 | 2194 | 115 | 129 | carboxylic acid | 
| decanoic acid | 2333 | 2316 | 73 | 129 | carboxylic acid | 
| geranic acid | 2424 | 2356 | 100 | 123 | carboxylic acid | 
| methylene chloride | 929 | 937 | 49 | 84 | chloride | 
| chlorobenzene | 1217 | 1220 | 114 | 112 | chloride | 
| 1-chloro-octane | 1245 | 1257 | 83 | 91 | chloride | 
| ethyl acetate | 890 | 891 | 61 | 70 | ester | 
| ethyl propanoate | 959 | 957 | 57 | 102 | ester | 
| ethyl butanoate | 1034 | 1039 | 88 | 71 | ester | 
| t-butyl-3-hydroxybutyrate | 1320 | - | 87 | 57 | ester | 
| ethyl 2-hydroxy-propanoate | 1340 | 1341 | 45 | 75 | ester | 
| ethyl decanoate | 1638 | 1637 | 155 | 88 | ester | 
| diethyl butanedioate | 1671 | 1661 | 101 | 129 | ester | 
| ethyl benzoate | 1679 | 1675 | 150 | 105 | ester | 
| ethyl benzeneacetate | 1793 | 1793 | 164 | 91 | ester | 
| methyl salicylate | 1796 | 1779 | 152 | 120 | ester | 
| 3-hydroxy-2,2,4-trimethylpentyl 2-methyl propanoate | 1871 | - | 89 | 71 | ester | 
| 2,2,4-trimethyl-1,3-pentanediol diisobutyrate | 1884 | - | 71 | 43 | ester | 
| methyl anthranilate | 2221 | 2198 | 119 | 151 | ester | 
| tetrahydro-2,2,5,5-tetramethyl-furan | 872 | - | 95 | 113 | furan | 
| 2-methylfuran | 878 | 871 | 82 | 81 | furan | 
| 3-methylfuran | 898 | 901 | 82 | 81 | furan | 
| 2,5-dimethylfuran | 955 | 946 | 96 | 81 | furan | 
| 2-ethyl-5-methylfuran | 1030 | 1013 | 95 | 110 | furan | 
| 2-pentylfuran | 1227 | 1228 | 138 | 81 | furan | 
| (2R,5S)-2-methyl-5-(prop-1-en-2-yl)-2-vinyltetrahydrofuran | 1243 | 1199 | 137 | 110 | furan | 
| furan unidentified | 1563 | - | 95 | 110 | furan | 
| 3,6-dimethyl-2,3,3a,4,5,7a-hexahydrobenzofuran | 1621 | - | 137 | 152 | furan | 
| 2-furanmethanol | 1650 | 1650 | 81 | 53 | furan | 
| 1-heptene | 756 | 736 | 56 | 98 | hydrocarbon | 
| octane | 806 | 800 | 43 | 85 | hydrocarbon | 
| 1-octene | 854 | 837 | 112 | 43 | hydrocarbon | 
| (Z)-2-octene | 867 | 866 | 112 | 43 | hydrocarbon | 
| nonane | 899 | 900 | 85 | 71 | hydrocarbon | 
| 1-nonene | 941 | 931 | 56 | 69 | hydrocarbon | 
| decane | 999 | 1000 | 142 | 57 | hydrocarbon | 
| 1,2-dimethyl-cyclopentane | 1793 | - | 98 | 83 | hydrocarbon | 
| butan-2-one | 904 | 903 | 72 | 43 | ketone | 
| 2,3-butanedione | 978 | 976 | 86 | 43 | ketone | 
| 2-pentanone | 982 | 980 | 71 | 58 | ketone | 
| 2-methyl-3-pentanone | 1002 | 1003 | 100 | 71 | ketone | 
| hexan-2-one | 1011 | 1024 | 100 | 58 | ketone | 
| 4-methylpent-3-en-2-one | 1128 | 1131 | 83 | 98 | ketone | 
| 2,3-heptadienone | 1138 | - | 85 | 57 | ketone | 
| 2-heptanone | 1179 | 1183 | 114 | 58 | ketone | 
| 2,4,4-trimethyl-cyclopentanone | 1225 | - | 126 | 83 | ketone | 
| 3-hydroxy-2-butanone | 1293 | 1292 | 88 | 45 | ketone | 
| 4-butoxy-2-butanone | 1304 | - | 71 | 72 | ketone | 
| 6-methylhept-5-en-2-one | 1340 | 1343 | 108 | 126 | ketone | 
| 2-hydroxy-3-pentanone | 1364 | 1361 | 59 | 57 | ketone | 
| nonan-2-one | 1393 | 1393 | 142 | 71 | ketone | 
| (E)-1-(3,5,5-trimethyl-2-cyclohexen-1-ylidene)-2-propanone | 1410 | - | 163 | 145 | ketone | 
| β-isophorone | 1421 | 1429 | 138 | 96 | ketone | 
| α-isophorone | 1617 | 1621 | 138 | 82 | ketone | 
| 2-hydroxy-isophorone | 1676 | 1675 | 154 | 139 | ketone | 
| 4-oxoisophorone | 1708 | 1710 | 152 | 96 | ketone | 
| 2-(1-methylethylidene)-cyclohexanone | 1808 | - | 138 | 123 | ketone | 
| β-damascenone | 1839 | 1827 | 190 | 121 | ketone | 
| 2,4,5,6,7,7a-hexahydro-3-(1-methylethyl)-7a-methyl-1H-2-indenone | 1844 | - | 192 | 177 | ketone | 
| α-pinene | 1025 | 1024 | 93 | 136 | monoterpene | 
| β-pinene | 1144 | 1124 | 93 | 69 | monoterpene | 
| α-phellandrene | 1160 | 1163 | 136 | 77 | monoterpene | 
| α-terpinene | 1178 | 1174 | 93 | 121 | monoterpene | 
| 2,3-dehydro-1,8-cineole | 1190 | 1195 | 109 | 79 | monoterpene | 
| limonene | 1199 | 1195 | 68 | 93 | monoterpene | 
| β-phellandrene | 1212 | 1214 | 136 | 93 | monoterpene | 
| eucalyptol | 1213 | 1213 | 154 | 139 | monoterpene | 
| (Z,Z)-cosmene | 1217 | - | 119 | 134 | monoterpene | 
| γ-terpinene | 1247 | 1249 | 136 | 121 | monoterpene | 
| (Z,E)-cosmene | 1255 | - | 119 | 134 | monoterpene | 
| 2-bornene | 1399 | - | 121 | 93 | monoterpene | 
| cis-linaloloxide (furanoid) | 1448 | 1420 | 111 | 94 | monoterpene | 
| trans-linaloloxide (furanoid) | 1477 | 1478 | 111 | 94 | monoterpene | 
| 3,9-epoxy-p-mentha-3,8-diene | 1497 | 1487 | 108 | 150 | monoterpene | 
| 3,9-epoxy-p-mentha-1,8(10)-diene A | 1534 | - | 135 | 150 | monoterpene | 
| linalol | 1540 | 1540 | 121 | 93 | monoterpene | 
| lilac aldehyde isomer 1 | 1552 | 1556 | 111 | 153 | monoterpene | 
| lilac aldehyde isomer 2 | 1568 | 1564 | 111 | 153 | monoterpene | 
| lilac aldehyde isomer 4 | 1575 | 1588 | 111 | 153 | monoterpene | 
| 3,9-epoxy-p-mentha-1,8(10)-diene B | 1580 | - | 135 | 150 | monoterpene | 
| lilac aldehyde isomer 3 | 1600 | 1588 | 111 | 153 | monoterpene | 
| hotrienol | 1603 | 1589 | 71 | 82 | monoterpene | 
| terpinen-4-ol | 1610 | 1612 | 154 | 111 | monoterpene | 
| 1R,4R-p-mentha-2,8-dien-1-ol | 1631 | 1640 | 134 | 137 | monoterpene | 
| α,4-dimethyl-3-cyclohexene-1-acetaldehyde A | 1635 | 1620 | 94 | 79 | monoterpene | 
| α,4-dimethyl-3-cyclohexene-1-acetaldehyde B | 1638 | 1620 | 94 | 79 | monoterpene | 
| (1R)-(-)-myrtenal | 1656 | - | 107 | 79 | monoterpene | 
| 3,9-epoxy-p-mentha-1,8(10)-diene | 1673 | - | 135 | 150 | monoterpene | 
| β-citral | 1691 | 1687 | 69 | 84 | monoterpene | 
| α,4-dimethyl-3-cyclohexene-1-acetaldehyde C | 1696 | 1620 | 94 | 79 | monoterpene | 
| α-terpineol | 1700 | 1700 | 136 | 59 | monoterpene | 
| endo-borneol | 1710 | 1704 | 95 | 110 | monoterpene | 
| p-mentha-1,5-dien-8-ol | 1727 | 1725 | 119 | 94 | monoterpene | 
| lilac alcohol A | 1733 | 1736 | 111 | 155 | monoterpene | 
| phellandral | 1749 | 1700 | 109 | 152 | monoterpene | 
| epoxylinalool | 1768 | 1423 | 143 | 127 | monoterpene | 
| lilac alcohol C | 1791 | 1796 | 111 | 155 | monoterpene | 
| 2-caren-10-al | 1819 | - | 150 | 121 | monoterpene | 
| 2,6-dimethyl-3,7-octadiene-2,6-diol | 1928 | 1914 | 82 | 71 | monoterpene | 
| 6-camphenol | 2167 | - | 108 | 93 | monoterpene | 
| isobutyronitrile | 1008 | 993 | 68 | 42 | nitrile | 
| 2-methyl-butanenitrile | 1083 | 1094 | 54 | 55 | nitrile | 
| 3-methyl-butanenitrile | 1121 | 1134 | 68 | 43 | nitrile | 
| nitrile undefined | 1237 | - | 57 | 41 | nitrile | 
| benzyl nitrile | 1945 | 1927 | 117 | 116 | nitrile | 
| dimethyl sulfide | 783 | 760 | 62 | 47 | other | 
| 2,4,5-trimethyl-1,3-dioxolane | 944 | - | 101 | 73 | other | 
| 2,3-dimethyl-2-norbornene | 989 | 984 | 94 | 122 | other | 
| dimethyl disulfide | 1070 | 1068 | 94 | 79 | other | 
| 2,5-dimethylpirazine | 1340 | 1329 | 108 | 42 | other | 
| tetrahydro-4-methyl-2-(2-methyl-1-propenyl)-2H-pyran | 1359 | 1363 | 139 | 154 | other | 
| 2,3,5-trimethylpyrazine | 1411 | 1411 | 122 | 81 | other | 
| tetrahydro-2,5-dimethyl-2H-pyranmethanol | 1415 | - | 113 | 43 | other | 
| 3,5,6,8a-tetrahydro-2,5,5,8a-tetramethyl-trans-2H-1-benzopyran (trans-edulan) | 1623 | 1620 | 177 | 133 | other | 
| 5-ethenyldihydro-5-methyl-2(3H)-furanone | 1689 | 1689 | 111 | 99 | other | 
| methoxy-phenyl-oxime | 1741 | - | 133 | 151 | other | 
| 1,1,5-trimethyl-1, 2-dihydronaphthalene | 1769 | - | 157 | 172 | other | 
| 4-methyl-1,2-dihydronaphthalene | 1792 | - | 129 | 144 | other | 
| 1-methyl-4-(1-methylethenyl)-1,2-cyclohexanediol | 2352 | 2325 | 108 | 152 | other | 
| 3-methyl phenol | 2103 | 2099 | 108 | 107 | volatile phenol | 
| thymol | 2216 | 2189 | 135 | 150 | volatile phenol | 
| eugenol | 2193 | 2176 | 164 | 103 | volatile phenol | 
| carvacrol | 2251 | 2225 | 135 | 150 | volatile phenol | 
| trimethyl-phenol | 2462 | - | 121 | 136 | volatile phenol | 
| A. Botanical Origin | n° | Σ Alcohols | Σ Aromatic Alcohols | Σ Aldehydes | Σ Aromatic Aldehydes | Σ Benzene Derivative | Σ Carboxylic Acid | Σ Chloride | Σ Ester | Σ Furan | Σ Hydrocarbon | Σ Ketone | Σ Aromatic Ketone | Σ Monoterpene | Σ Nitrile | Σ Volatile Phenol | Σ VOCs | 
|---|---|---|---|---|---|---|---|---|---|---|---|---|---|---|---|---|---|
| (ng/g) | (ng/g) | (ng/g) | (ng/g) | (ng/g) | (ng/g) | (ng/g) | (ng/g) | (ng/g) | (ng/g) | (ng/g) | (ng/g) | (ng/g) | (ng/g) | (ng/g) | (ng/g) | ||
| Honeydew | 19 | 42.3 ± 14.1 ab | 19.7 ± 5.7 a | 42.0 ± 10.5 a | 157.0 ± 34.8 a | 29.5 ± 14.5 ab | 116.0 ± 19.5 bc | 13.5 ± 3.4 a | 9.6 ± 2.7 a | 4.3 ± 1.8 b | 88.9 ± 39.3 bc | 6.0 ± 1.6 a | 20.8 ± 12.0 b | 47.1 ± 16.6 ab | 1.8 ± 0.9 a | 6.7 ± 1.2 ab | 830.8 ± 126.2 b | 
| Wildflower | 15 | 22.1 ± 7.7 a | 53.6 ± 47.3 a | 22.3 ± 8.6 a | 135.2 ± 67.1 a | 70.2 ± 45.1 b | 93.0 ± 19.4 ab | 11.2 ± 4.6 a | 8.2 ± 4.1 a | 3.4 ± 2.3 b | 23.1 ± 8.0 a | 5.5 ± 1.3 a | 14.1 ± 9.0 b | 66.1 ± 43.4 b | 1.7 ± 0.8 a | 18.0 ± 10.1 b | 703.4 ± 212.5 ab | 
| Chestnut | 14 | 26.3 ± 6.7 ab | 17.3 ± 6.2 a | 30.8 ± 9.6 a | 181.6 ± 47.1 a | 36.4 ± 16.3 ab | 123.7 ± 15.8 abc | 10.9 ± 3.8 a | 10.2 ± 2.2 a | 3.9 ± 1.5 b | 38.0 ± 19.6 ab | 4.6 ± 0.7 a | 91.2 ± 49.1 c | 29.0 ± 9.4 a | 2.5 ± 1.0 a | 3.2 ± 1.8 a | 871.5 ± 128.8 ab | 
| Acacia | 12 | 19.8 ± 5.2 ab | 9.6 ± 2.5 a | 21.3 ± 5.1 a | 103.6 ± 22.4 a | 16.3 ± 9.4 a | 81.6 ± 11.9 a | 15.5 ± 5.2 a | 14.1 ± 2.1 b | 1.0 ± 0.2 a | 13.4 ± 1.4 a | 3.7 ± 0.9 a | 3.2 ± 0.6 a | 44.6 ± 5.3 ab | 0.7 ± 0.1 a | 2.9 ± 0.8 a | 529.5 ± 77.6 a | 
| Eucalyptus | 5 | 64.6 ± 34.7 b | 17.2 ± 1.9 a | 39.0 ± 8.7 a | 78.5 ± 17.2 a | 67.9 ± 4.5 b | 279.1 ± 48.1 c | 20.9 ± 3.2 a | 8.9 ± 0.8 a | 4.4 ± 0.9 b | 271.8 ± 36.3 c | 29.1 ± 16.0 b | 11.0 ± 2.1 ab | 75.9 ± 9.2 b | 1.3 ± 0.2 a | 36.9 ± 20.8 b | 1192.0 ± 58.7 b | 
| Linden | 3 | 25.7 ± 7.5 | 293.0 ± 18.4 | 35.1 ± 7.1 | 561.6 ± 9.3 | 614.5 ± 94.6 | 146.0 ± 1.3 | 31.9 ± 7.7 | 19.6 ± 4.4 | 31.3 ± 4.5 | 15.3 ± 2.0 | 9.2 ± 1.2 | 28.3 ± 8.0 | 540.4 ± 11.9 | 1.6 ± 0.3 | 151.2 ± 23.2 | 2672.5 ± 392.5 | 
| Ivy | 3 | 54.3 ± 38.0 | 34.3 ± 23.9 | 30.8 ± 15.7 | 223.6 ± 42.3 | 36.3 ± 7.6 | 116.5 ± 3.8 | 7.7 ± 1.1 | 13.3 ± 6.2 | 3.1 ± 0.5 | 47.7 ± 2.1 | 42.8 ± 3.3 | 52.7 ± 2.3 | 91.5 ± 0.5 | 56.2 ± 21.4 | 84.4 ± 35.0 | 1529.1 ± 698.4 | 
| French honeysuckle | 3 | 41.9 ± 4.8 | 5.9 ± 0.6 | 30.0 ± 0.3 | 95.8 ± 1.2 | 10.6 ± 8.1 | 90.1 ± 5.9 | 5.7 ± 4.1 | 10.2 ± 0.2 | 0.9 ± 0.1 | 16.5 ± 6.8 | 3.1 ± 0.6 | 6.4 ± 2.3 | 55.1 ± 16.7 | 1.2 ± 0.1 | 2.3 ± 0.5 | 621.1 ± 10.2 | 
| Strawberry tree | 2 | 68.0 ± 46.3 | 16.9 ± 3.7 | 30.7 ± 16.3 | 112.8 ± 75.7 | 14.0 ± 4.2 | 168.2 ± 17.1 | 18.4 ± 6.0 | 69.4 ± 39.5 | 77.8 ± 50.2 | 55.5 ± 39.8 | 2431.9 ± 567.3 | 241.8 ± 57.2 | 66.0 ± 20.8 | 47.4 ± 43.8 | 817.0 ± 34.4 | 4829.2 ± 347.6 | 
| Sunflowers | 2 | 39.2 ± 0.6 | 23.8 ± 16.5 | 42.4 ± 1.4 | 145.5 ± 51.4 | 33.6 ± 20.9 | 115.0 ± 10.0 | 17.0 ± 1.6 | 6.0 ± 1.2 | 6.3 ± 1.7 | 34.0 ± 8.7 | 3.2 ± 0.3 | 6.8 ± 0.1 | 166.8 ± 32.0 | 1.7 ± 0.6 | 8.5 ± 4.8 | 787.0 ± 44.9 | 
| Coriander | 2 | 87.0 ± 2.5 | 29.4 ± 15.6 | 184.4 ± 10.7 | 456.1 ± 69.1 | 48.5 ± 9.1 | 191.5 ± 3.7 | 16.0 ± 1.0 | 10.9 ± 0.2 | 28.2 ± 5.4 | 167.2 ± 28.6 | 9.9 ± 0.2 | 15.5 ± 1.4 | 1543.8 ± 154.9 | 4.6 ± 1.2 | 14.0 ± 0.4 | 3180.6 ± 239.7 | 
| Heather | 2 | 21.2 ± 2.1 | 17.0 ± 8.3 | 45.0 ± 12.1 | 447.8 ± 83.0 | 267.0 ± 63.8 | 106.1 ± 6.1 | 24.3 ± 5.9 | 9.9 ± 0.7 | 35.1 ± 15.5 | 14.4 ± 0.4 | 28.3 ± 14.4 | 16.3 ± 0.3 | 55.7 ± 9.4 | 1.8 ± 0.9 | 58.2 ± 38.2 | 1334.6 ± 216.3 | 
| Clover | 2 | 37.6 ± 7.1 | 6.5 ± 1.1 | 52.7 ± 3.1 | 150.6 ± 25.0 | 14.7 ± 4.2 | 95.6 ± 11.8 | 18.8 ± 7.3 | 8.0 ± 1.7 | 4.1 ± 2.8 | 33.4 ± 10.7 | 4.7 ± 0.7 | 5.7 ± 0.7 | 91.3 ± 65.3 | 3.0 ± 2.1 | 4.7 ± 2.3 | 671.2 ± 105.4 | 
| Orange Tree | 2 | 22.4 ± 1.1 | 7.2 ± 1.6 | 26.3 ± 6.7 | 81.7 ± 8.5 | 15.0 ± 0.8 | 117.3 ± 0.6 | 21.3 ± 3.1 | 46.3 ± 0.3 | 10.3 ± 0.3 | 31.0 ± 6.5 | 4.4 ± 0.5 | 3.4 ± 0.3 | 377.5 ± 30.3 | 4.2 ± 3.0 | 3.6 ± 2.0 | 941.8 ± 37.5 | 
| Bitter | 1 | 40.2 | 5.6 | 12.6 | 56.5 | 23.0 | 79.0 | 20.6 | 7.4 | 4.5 | 47.3 | 9.2 | 12.1 | 77.4 | 7.2 | 18.1 | 624.8 | 
| Fir | 1 | 46.9 | 18.2 | 35.3 | 109.5 | 24.2 | 84.0 | 13.0 | 6.7 | 5.4 | 101.9 | 4.4 | 6.8 | 43.3 | 0.8 | 5.7 | 680.7 | 
| Marruca | 1 | 25.0 | 3.0 | 41.4 | 103.7 | 20.2 | 120.1 | 21.4 | 8.3 | 3.0 | 125.3 | 6.2 | 6.4 | 337.1 | 0.9 | 1.2 | 998.5 | 
| Lavander | 1 | 338.4 | 11.7 | 276.6 | 378.7 | 22.5 | 131.8 | 35.6 | 21.7 | 4.9 | 13.1 | 4.4 | 4.1 | 250.2 | 1.2 | 3.1 | 1681.9 | 
| Alps flower | 1 | 24.4 | 75.2 | 30.5 | 267.6 | 365.7 | 126.3 | 12.9 | 13.1 | 13.4 | 35.0 | 9.3 | 25.6 | 263.0 | 4.0 | 76.2 | 1501.3 | 
| Forest honey | 1 | 96.6 | 14.6 | 53.5 | 192.2 | 13.0 | 147.5 | 18.1 | 13.4 | 6.4 | 59.9 | 4.9 | 8.1 | 35.5 | 1.5 | 5.1 | 829.9 | 
| Alfalfa | 1 | 34.4 | 44.1 | 38.3 | 182.2 | 52.4 | 77.2 | 17.5 | 11.4 | 2.0 | 20.3 | 3.1 | 7.8 | 41.2 | 1.3 | 13.7 | 697.3 | 
| Paradise Tree | 1 | 42.3 | 136.3 | 52.6 | 236.9 | 144.3 | 179.5 | 24.4 | 10.5 | 11.8 | 144.8 | 20.7 | 16.4 | 967.8 | 1.9 | 43.5 | 2233.3 | 
| Thyme | 1 | 21.8 | 28.2 | 33.3 | 226.0 | 73.3 | 88.3 | 15.9 | 9.7 | 4.4 | 47.6 | 5.1 | 6.8 | 80.6 | 10.7 | 21.7 | 851.7 | 
| Apple | 1 | 41.9 | 46.7 | 45.7 | 1017.4 | 52.0 | 396.1 | 13.9 | 16.9 | 6.5 | 20.5 | 20.1 | 15.0 | 175.9 | 749.7 | 68.4 | 2937.2 | 
| Ailanthus | 1 | 30.9 | 23.8 | 52.2 | 96.7 | 45.9 | 128.1 | 23.4 | 10.3 | 7.1 | 70.3 | 12.0 | 7.9 | 837.4 | 10.8 | 19.6 | 1544.5 | 
| Sweet clover | 1 | 112.5 | 13.0 | 26.0 | 88.5 | 52.7 | 125.2 | 8.8 | 107.7 | 2.0 | 13.5 | 5.0 | 6.8 | 52.4 | 1.5 | 17.9 | 1081.5 | 
| B. Geographic origin | n° | Σ alcohols | Σ aromatic alcohols | Σ aldehydes | Σ aromatic aldehydes | Σ benzene derivative | Σ carboxylic acid | Σ chloride | Σ ester | Σ furan | Σ hydrocarbon | Σ ketone | Σ aromatic ketone | Σ monoterpene | Σ nitrile | Σ volatile phenol | Σ VOCs | 
| (ng/g) | (ng/g) | (ng/g) | (ng/g) | (ng/g) | (ng/g) | (ng/g) | (ng/g) | (ng/g) | (ng/g) | (ng/g) | (ng/g) | (ng/g) | (ng/g) | (ng/g) | (ng/g) | ||
| Tuscany | 55 | 28.6 ± 12.4 a | 14.1 ± 6.9 a | 29.2 ± 9.8 a | 147.4 ± 64.8 a | 32.9 ± 17.6 a | 100.4 ± 22.7 a | 13.6 ± 5.1 a | 10.8 ± 2.9 a | 3.4 ± 2.4 a | 25.5 ± 12.5 a | 5.3 ± 1.9 a | 15.3 ± 10.3 a | 46.3 ± 16.0 a | 1.6 ± 0.9 a | 6.6 ± 4.0 a | 800.1 ± 253.0 a | 
| Trentino-Alto Adige | 25 | 41.9 ± 17.5 a | 25.3 ± 15.8 a | 41.4 ± 8.5 b | 191.3 ± 87.6 a | 52.4 ± 32.2 a | 120.3 ± 30.2 b | 15.9 ± 3.0 a | 10.6 ± 2.7 a | 5.8 ± 3.2 b | 35.0 ± 20.2 a | 5.1 ± 1.9 a | 11.0 ± 5.4 a | 92.0 ± 50.8 b | 1.9 ± 1.2 a | 14.4 ± 12.6 a | 998.5 ± 367.2 b | 
| Veneto | 5 | 29.9 ± 3.2 a | 15.3 ± 6.5 a | 36.4 ± 13.8 ab | 147.8 ± 44.6 a | 34.3 ± 20.1 a | 135.2 ± 17.4 b | 17.7 ± 3.1 a | 9.8 ± 1.6 a | 4.2 ± 0.5 ab | 98.5 ± 74.0 b | 6.4 ± 1.8 a | 13.1 ± 1.3 a | 175.0 ± 97.2 c | 4.0 ± 1.4 a | 16.1 ± 0.1 a | 996.8 ± 116.8 ab | 
| Greece | 4 | 28.1 ± 12.9 | 4.0 ± 1.6 | 14.0 ± 0.9 | 62.3 ± 13.2 | 37.0 ± 17.4 | 100.2 ± 18.3 | 13.7 ± 2.2 | 7.7 ± 0.2 | 3.2 ± 1.5 | 37.5 ± 12.1 | 7.9 ± 2.0 | 8.3 ± 3.8 | 36.6 ± 14.1 | 2.9 ± 1.1 | 14.3 ± 3.9 | 573.7 ± 62.8 | 
| Emilia Romagna | 3 | 35.7 ± 5.0 | 18.3 ± 4.3 | 42.0 ± 3.3 | 154.5 ± 27.3 | 14.9 ± 1.9 | 116.3 ±16.4 | 11.9 ± 5.3 | 11.3 ± 0.3 | 1.8 ± 0.6 | 13.7 ± 12.1 | 4.5 ± 1.5 | 32.2 ± 20.0 | 46.6 ± 3.0 | 2.7 ± 0.8 | 5.5 ± 1.8 | 644.4 ± 32.7 | 
| Sicily | 2 | 37.5 ± 15.4 | 9.5 ± 6.0 | 44.8 ± 0.1 | 139.3 ± 41.1 | 43.1 ± 26.3 | 196.4 ± 81.6 | 16.7 ± 6.8 | 10.2 ± 0.6 | 2.8 ± 1.4 | 227.3 ± 104.1 | 24.2 ± 18.0 | 36.8 ± 27.1 | 69.9 ± 44.5 | 6.5 ± 4.0 | 13.9 ± 10.4 | 1072.2 ± 416.9 | 
| Piemonte | 1 | 79.5 | 20.7 | 42.2 | 126.6 | 10.9 | 185.3 | 12.4 | 14.9 | 12.2 | 100.5 | 5.3 | 6.9 | 63.7 | 1.2 | 8.6 | 818.6 | 
| Calabria | 1 | 50.5 | 2.9 | 31.4 | 105.4 | 10.0 | 121.7 | 20.5 | 12.3 | 1.8 | 138.0 | 4.5 | 8.8 | 15.8 | 1.6 | 2.3 | 733.6 | 
| Lombardia | 1 | 98.8 | 21.8 | 46.6 | 127.2 | 13.5 | 238.0 | 17.3 | 15.4 | 16.9 | 134.1 | 6.0 | 6.9 | 68.1 | 1.8 | 7.4 | 994.2 | 
| Sardinia | 1 | 113.1 | 15.6 | 22.2 | 24.6 | 66.4 | 279.1 | 24.4 | 8.9 | 5.0 | 271.8 | 29.1 | 3.7 | 42.6 | 1.1 | 36.9 | 1133.3 | 
| A. Botanical origin—GA run 1 | ||||||
| Samples | Acacia | Chestnut | Eucalyptus | Wildflower | Honeydew | |
| Acacia | 12 | 12 (100%) | - | - | - | - | 
| Chestnut | 14 | - | 11 (78.6%) | - | 2 (14.3%) | 1 (7.1%) | 
| Eucalyptus | 5 | - | - | 5 (100%) | - | - | 
| Wildflower | 15 | 4 (26.6%) | 1 (6.7%) | - | 9 (60.0%) | 1 (6.7%) | 
| Honeydew | 19 | 2 (10.5%) | 1 (5.3%) | 1 (5.3%) | - | 15 (78.9%) | 
| Average error rate = 16.5% | ||||||
| B. Botanical origin—GA run 2 | ||||||
| Samples | Acacia | Chestnut | Eucalyptus | Wildflower | Honeydew | |
| Acacia | 12 | 12 (100%) | - | - | - | - | 
| Chestnut | 14 | - | 12 (85.7%) | - | 2 (14.3%) | - | 
| Eucalyptus | 5 | - | - | 5 (100%) | - | - | 
| Wildflower | 15 | 3 (20.0%) | 2 (13.3%) | - | 9 (60.0%) | 1 (6.7%) | 
| Honeydew | 19 | 2 (10.5%) | 1 (5.3%) | 1 (5.3%) | 1 (5.3%) | 14 (73.7%) | 
| Average error rate = 16.1% | ||||||
| C. Geographic origin—GA run 2 | ||||||
| Samples | Tuscany | Trentino-Alto Adige | Veneto | |||
| Tuscany | 55 | 50 (90.9%) | 3 (5.5%) | 2 (3.6%) | ||
| Trentino-Alto Adige | 25 | 7 (28.0%) | 18 (72.0%) | - | ||
| Veneto | 5 | 1 (20.0.%) | - | 4 (80.0%) | ||
| Average error rate = 19.0% | ||||||
| D. Geographic origin—GA run 1 | ||||||
| Samples | Tuscany | Trentino-Alto Adige | Veneto | |||
| Tuscany | 55 | 52 (94.4%) | 2 (3.6%) | 1 (1.8%) | ||
| Trentino-Alto Adige | 25 | 6 (24.0%) | 19 (76.0%) | - | ||
| Veneto | 5 | 1 (20.0%) | - | 4 (80.0%) | ||
| Average error rate = 16.5% | ||||||
| Disclaimer/Publisher’s Note: The statements, opinions and data contained in all publications are solely those of the individual author(s) and contributor(s) and not of MDPI and/or the editor(s). MDPI and/or the editor(s) disclaim responsibility for any injury to people or property resulting from any ideas, methods, instructions or products referred to in the content. | 
© 2024 by the authors. Licensee MDPI, Basel, Switzerland. This article is an open access article distributed under the terms and conditions of the Creative Commons Attribution (CC BY) license (https://creativecommons.org/licenses/by/4.0/).
Share and Cite
Breschi, C.; Ieri, F.; Calamai, L.; Miele, A.; D’Agostino, S.; Melani, F.; Zanoni, B.; Mulinacci, N.; Cecchi, L. HS-SPME-GC-MS Analysis of the Volatile Composition of Italian Honey for Its Characterization and Authentication Using the Genetic Algorithm. Separations 2024, 11, 266. https://doi.org/10.3390/separations11090266
Breschi C, Ieri F, Calamai L, Miele A, D’Agostino S, Melani F, Zanoni B, Mulinacci N, Cecchi L. HS-SPME-GC-MS Analysis of the Volatile Composition of Italian Honey for Its Characterization and Authentication Using the Genetic Algorithm. Separations. 2024; 11(9):266. https://doi.org/10.3390/separations11090266
Chicago/Turabian StyleBreschi, Carlotta, Francesca Ieri, Luca Calamai, Alessandra Miele, Silvia D’Agostino, Fabrizio Melani, Bruno Zanoni, Nadia Mulinacci, and Lorenzo Cecchi. 2024. "HS-SPME-GC-MS Analysis of the Volatile Composition of Italian Honey for Its Characterization and Authentication Using the Genetic Algorithm" Separations 11, no. 9: 266. https://doi.org/10.3390/separations11090266
APA StyleBreschi, C., Ieri, F., Calamai, L., Miele, A., D’Agostino, S., Melani, F., Zanoni, B., Mulinacci, N., & Cecchi, L. (2024). HS-SPME-GC-MS Analysis of the Volatile Composition of Italian Honey for Its Characterization and Authentication Using the Genetic Algorithm. Separations, 11(9), 266. https://doi.org/10.3390/separations11090266
 
        





 
       