A Convenient and Efficient Strategy for Improving Separation Ability of Capillary Electrophoresis Through Tilting Capillary as Needed
Abstract
1. Introduction
2. Theory
2.1. Migration of Species in CE
2.2. Apparent Mobility Change with Capillary Tilt Angle and Its Application Strategy
3. Experimental
3.1. Chemicals and Reagents
3.2. Instrumentation
3.3. Electrophoresis Conditions
3.4. Data Analysis
4. Results and Discussion
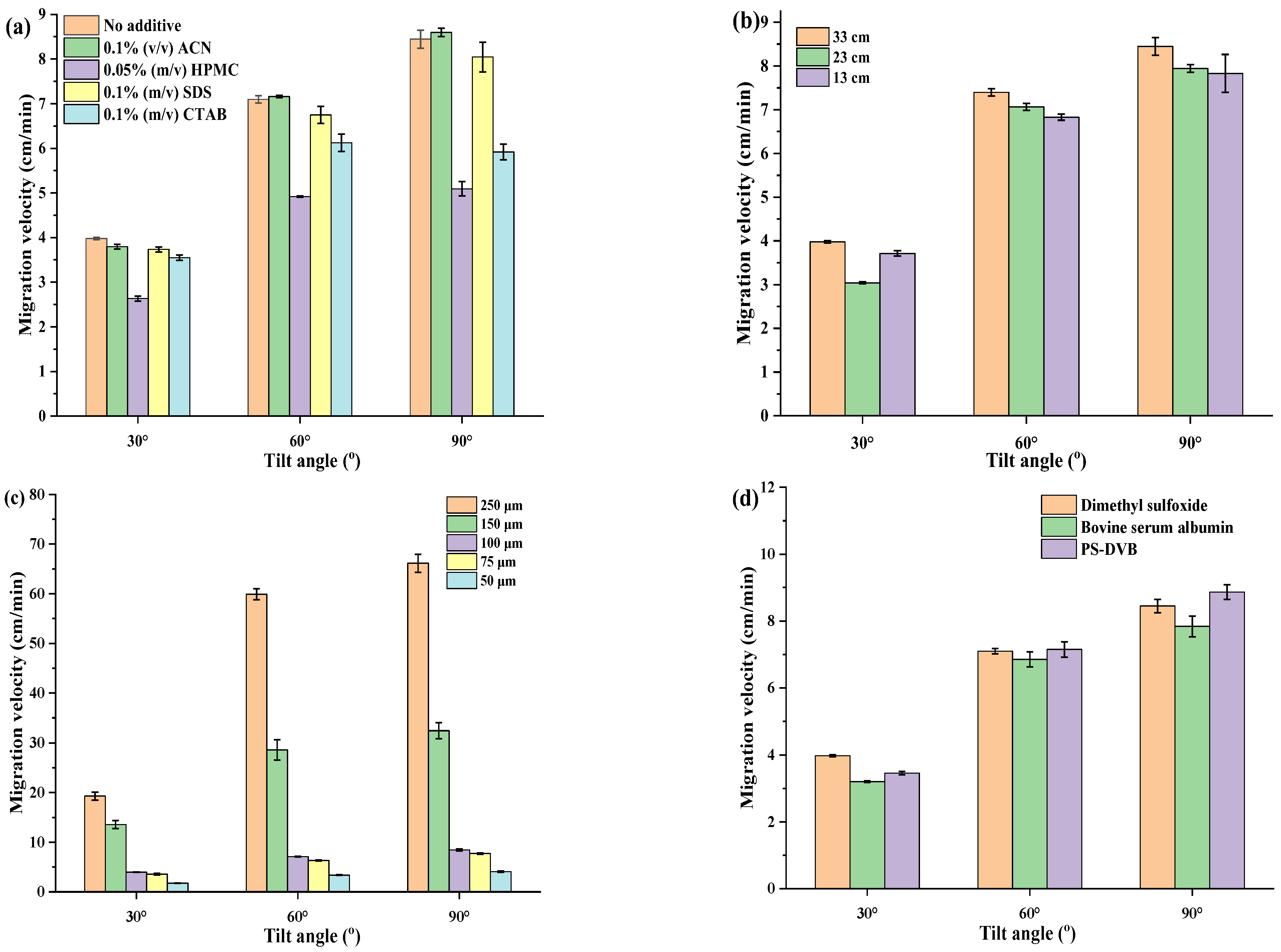
4.1. Parameters of the Gravity-Mediated Capillary Electrophoresis
4.2. Validation of the Gravity-Mediated Capillary Electrophoresis
4.3. Evaluation and Applications of the Gravity-Mediated Capillary Electrophoresis
4.3.1. Separation of Proteins
4.3.2. Separation of Chiral Compounds
4.3.3. Separation of Microspheres and Cells by Gravity Effect
4.4. Gradient Capillary Electrophoresis and Its Application Strategy
4.4.1. The Design Mentality for Gradient Capillary Electrophoresis
4.4.2. The Validation of Gradient Capillary Electrophoresis
4.4.3. Separation of Proteins by the Gradient Capillary Electrophoresis
4.4.4. Separation of Chiral Compounds by Gradient Capillary Electrophoresis
5. Conclusions
Supplementary Materials
Author Contributions
Funding
Data Availability Statement
Conflicts of Interest
References
- Jorgenson, J.W.; Lukacs, K.D. High-resolution separations based on electrophoresis and electroosmosis. J. Chromatogr. A 1981, 218, 209–216. [Google Scholar] [CrossRef]
- Jorgenson, J.W.; Lukacs, K.D. Zone electrophoresis in open-tubular glass capillaries: Preliminary data on performance. J. High Resolut. Chromatogr. 1981, 4, 230–231. [Google Scholar] [CrossRef]
- Hayes, M.A.; Kheterpal, I.; Ewing, A.G. Electroosmotic flow control and surface conductance in capillary zone electrophoresis. Anal. Chem. 1993, 65, 2010–2013. [Google Scholar] [CrossRef] [PubMed]
- Yao, X.W.; Wu, D.; Regnier, F.E. Manipulation of electroosmotic flow in capillary electrophoresis. J. Chromatogr. 1993, 636, 21–29. [Google Scholar] [CrossRef]
- Kasicka, V.; Prusik, Z.; Sazelova Brynda, E.; Stejskal, J. Capillary zone electrophoresis with electroosmotic flow controlled by external radial electric field. Electrophoresis 1999, 20, 2484–2492. [Google Scholar] [CrossRef]
- Lee, C.S.; McManigill, D.; Wu, C.T.; Patel, B. Factors affecting direct control of electroosmosis using an external electric field in capillary electrophoresis. Anal. Chem. 1991, 63, 1519–1523. [Google Scholar] [CrossRef]
- Lee, C.S.; Blanchard, W.C.; Wu, C.T. Direct control of the electroosmosis in capillary zone electrophoresis by using an external electric field. Anal. Chem. 1990, 62, 1550–1552. [Google Scholar] [CrossRef]
- Hong, S.; Lee, C.S. Electroosmotic control of chiral separation in capillary zone electrophoresis. Electrophoresis 1995, 16, 2132–2136. [Google Scholar] [CrossRef]
- Williams, B.A.; Vigh, G. Fast, accurate mobility determination method for capillary electrophoresis. Anal. Chem. 1996, 68, 1174–1180. [Google Scholar] [CrossRef]
- Wu, C.T.; Lopes, T.; Patel, B.; Lee, C.S. Effect of direct control of electroosmosis on peptide and protein separations in capillary electrophoresis. Anal. Chem. 1992, 64, 886–891. [Google Scholar] [CrossRef]
- Tsai, P.; Patel, B.; Lee, C.S. Direct control of electroosmosis and retention window in micellar electrokinetic capillary chromatography. Anal. Chem. 1993, 65, 1439–1442. [Google Scholar] [CrossRef]
- Karni, Z.; Kopito, L.E. Magnetoelectrophoresis. Med. Biol. Eng. Comput. 1975, 13, 457–462. [Google Scholar] [CrossRef] [PubMed]
- Razee, S.; Tamura, A.; Masujima, T. The effect of a crossed magnetic field on capillary electrophoresis. Chem. Pharm. Bull. 1994, 42, 2376–2378. [Google Scholar] [CrossRef][Green Version]
- Beckers, J.L.; Bocek, P. Multiple effect of surfactants used as additives in background electrolytes in capillary zone electrophoresis: Cetyltrimethylammonium bromide as example of model surfactant. Electrophoresis 2002, 23, 1947–1952. [Google Scholar] [CrossRef] [PubMed]
- Doherty, E.A.S.; Meagher, R.J.; Albarghouthi, M.N.; Barron, A.E. Microchannel wall coatings for protein separations by capillary and chip electrophoresis. Electrophoresis 2003, 24, 34–54. [Google Scholar] [CrossRef]
- de Bellaistre, M.C.; Randon, J.; Rocca, J.L. Hydrodynamic flow and electroosmotic flow in zirconia-packed capillaries. Electrophoresis 2006, 27, 736–741. [Google Scholar] [CrossRef]
- Tian, M.; Wang, Y.; Mohamed, A.C.; Guo, L.; Yang, L. Enhancing separation in short-capillary electrophoresis via pressure-driven backflow. Electrophoresis 2015, 36, 1549–1554. [Google Scholar] [CrossRef]
- Xia, L.; Dutta, D. Microchip-based electrophoretic separations with a pressure-driven backflow. Methods Mol. Biol. 2019, 1906, 239–249. [Google Scholar]
- Xia, L.; Dutta, D. Microfluidic flow counterbalanced capillary electrophoresis. Analyst 2013, 138, 2126–2133. [Google Scholar] [CrossRef]
- Han, C.; Sun, J.; Liu, J.; Cheng, H.; Wang, Y. A pressure-driven capillary electrophoretic system with injection valve sampling. Analyst 2015, 140, 162–173. [Google Scholar] [CrossRef]
- Gordon, G.B. Electroosmotic Flow Control Using Back Pressure in Capillary Electrophoresis. U.S. Patent No. US-5429728-A, 23 September 1995. [Google Scholar]
- Muzikar, J.; van de Goor, T.; Gas, B.; Kenndler, E. Determination of electroosmotic flow mobility with a pressure-mediated dual-ion technique for capillary electrophoresis with conductivity detection using organic solvents. J. Chromatogr. A 2002, 960, 199–208. [Google Scholar] [CrossRef] [PubMed]
- Masar, M.; Hradski, J.; Schmid, M.G.; Szucs, R. Advantages and pitfalls of capillary electrophoresis of pharmaceutical compounds and their enantiomers in complex samples: Comparison of hydrodynamically opened and closed systems. Int. J. Mol. Sci. 2020, 21, 6852. [Google Scholar] [CrossRef] [PubMed]
- Williams, B.A.; Vigh, G. Determination of effective mobilities and chiral separation selectivities from partially separated enantiomer peaks in a racemic mixture using pressure-mediated capillary electrophoresis. Anal. Chem. 1997, 69, 4410–4418. [Google Scholar] [CrossRef] [PubMed]
- Cai, H.; Vigh, G. Method for the elimination of chromatographic bias from measured capillary electrophoretic effective mobility values. Anal. Chem. 1998, 70, 4640–4643. [Google Scholar] [CrossRef] [PubMed]
- Glukhovskiy, P.V.; Vigh, G. A simple method for the determination of isoelectric points of ampholytes with closely spaced pKa values using pressure-mediated capillary electrophoresis. Electrophoresis 1998, 19, 3166–3170. [Google Scholar] [CrossRef]
- Soga, T.; Ueno, Y.; Naraoka, H.; Matsuda, K.; Tomita, M.; Nishioka, T. Pressure-assisted capillary electrophoresis electrospray ionization mass spectrometry for analysis of multivalent anions. Anal. Chem. 2002, 74, 6224–6229. [Google Scholar] [CrossRef]
- Mai, T.D.; Hauser, P.C. Pressure-assisted capillary electrophoresis for cation separations using a sequential injection analysis manifold and contactless conductivity detection. Talanta 2011, 84, 1228–1233. [Google Scholar] [CrossRef]
- Soga, T.; Ishikawa, T.; Igarashi, S.; Sugawara, K.; Kakazu, Y.; Tomita, M. Analysis of nucleotides by pressure-assisted capillary electrophoresis-mass spectrometry using silanol mask technique. J. Chromatogr. A 2007, 1159, 125–133. [Google Scholar] [CrossRef]
- Vanifatova, N.G.; Rudnev, A.V.; Gabrielyan, G.A.; Dzhenloda, R.K.; Burmistrov, A.A.; Lazareva, E.V.; Dzherayan, T.G. Application of pressure in capillary zone electrophoresis to study the aggregation of chitosan 2-hydroxybutoxypropylcarbamate. J. Anal. Chem. 2017, 72, 803–809. [Google Scholar] [CrossRef]
- Zhang, B.; Li, Y.X.; Gao, H.N.; Bian, J.; Bao, J. Rapid determination of protein binding constant by a pressure-mediated affinity capillary electrophoresis method. Electrophoresis 2011, 32, 3589–3596. [Google Scholar] [CrossRef]
- Qian, C.; Wang, S.; Fu, H.; Turner, R.F.B.; Li, H.; Chen, D.D.Y. Pressure-assisted capillary electrophoresis frontal analysis for faster binding constant determination. Electrophoresis 2018, 39, 1786–1793. [Google Scholar] [CrossRef] [PubMed]
- Golab, M.; Wozniakiewicz, M.; Nowak, P.M.; Koscielniak, P. An automated hydrodynamically mediated technique for preparation of calibration solutions via capillary electrophoresis system as a promising alternative to manual pipetting. Molecules 2021, 26, 6268. [Google Scholar] [CrossRef] [PubMed]
- Kanoatov, M.; Retif, C.; Cherney, L.T.; Krylov, S.N. Peak-shape correction to symmetry for pressure-driven sample injection in capillary electrophoresis. Anal. Chem. 2012, 84, 149–154. [Google Scholar] [CrossRef] [PubMed]
- Williams, B.A. Terra Incognita: Pressure-Mediated Capillary Electrophoresis with Strategic Band Transfer. Ph.D. Thesis, A&M University, College Station, TX, USA, 2017; pp. 97–100. [Google Scholar]
- Culbertson, C.T.; Jorgenson, J.W. Flow counterbalanced capillary electrophoresis. Anal. Chem. 1994, 66, 955–962. [Google Scholar] [CrossRef]
- Wang, W.; Zhou, F.; Wu, W. A micro-electrophoresis system based on a short capillary with hydrostatic pressure assisted separation and injection. Microchim. Acta 2009, 166, 35–39. [Google Scholar] [CrossRef]
- Kar, S.; Dasgupta, P.K. Improving resolution in capillary zone electrophoresis through bulk flow control. Microchem. J. 1999, 62, 128–137. [Google Scholar] [CrossRef]
- Nan, Y.Q.; Zheng, P.Y.; Cheng, M.Q.; Zhao, R.; Jia, H.J.; Liang, Q.G.; Li, Y.X. Enhancement of chiral drugs separation by a novel adjustable gravity mediated capillary electrophoresis combined with sulfonic propyl ether β-CD polymer. Anal. Chim. Acta 2023, 1279, 341781. [Google Scholar] [CrossRef]









| Sum of Electrophoretic and Electroosmotic Mobility (cm2/(V.s)) | Zero Mobility | Opposite Migration | Meaningful Adjustment of Capillary Tilt Angle |
|---|---|---|---|
| µ0,A > 10−3; µ0,B > 10−3 | No | No | No |
| µ0,A > 10−3; µ0,B = 10−3 | Yes, B | No | Yes |
| µ0,A = 10−3; 0 < µ0,B <10−3 | Yes, A, B | Yes | Yes |
| 0 < µ0,A <10−3; 0 < µ0,B < 10−3 | Yes, A, B | Yes | Yes |
| 0 < µ0,A < 10−3; µ0,B = 0 | Yes, A, B | Yes | Yes |
| µ0,A = 0; −10−3 < µ0,B < 0 | Yes, A, B | Yes | Yes |
| −10−3 < µ0,A <0; −10−3 < µ0,B < 0 | Yes, A, B | Yes | Yes |
| −10−3 < µ0,A <0; µ0,B = −10−3 | Yes, A, B | Yes | Yes |
| µ0,A = −10−3; −10−3 < µ0,B < 0 | Yes, A | No | Yes |
| µ0,A < −10−3; µ0,B < −10−3 | No | No | No |
Disclaimer/Publisher’s Note: The statements, opinions and data contained in all publications are solely those of the individual author(s) and contributor(s) and not of MDPI and/or the editor(s). MDPI and/or the editor(s) disclaim responsibility for any injury to people or property resulting from any ideas, methods, instructions or products referred to in the content. |
© 2024 by the authors. Licensee MDPI, Basel, Switzerland. This article is an open access article distributed under the terms and conditions of the Creative Commons Attribution (CC BY) license (https://creativecommons.org/licenses/by/4.0/).
Share and Cite
Jia, W.; Zheng, P.; Cui, Y.; Bao, J.J.; Xu, Y.; Li, Y. A Convenient and Efficient Strategy for Improving Separation Ability of Capillary Electrophoresis Through Tilting Capillary as Needed. Separations 2024, 11, 340. https://doi.org/10.3390/separations11120340
Jia W, Zheng P, Cui Y, Bao JJ, Xu Y, Li Y. A Convenient and Efficient Strategy for Improving Separation Ability of Capillary Electrophoresis Through Tilting Capillary as Needed. Separations. 2024; 11(12):340. https://doi.org/10.3390/separations11120340
Chicago/Turabian StyleJia, Wenhui, Pingyi Zheng, Yuchen Cui, James J. Bao, Yanmei Xu, and Youxin Li. 2024. "A Convenient and Efficient Strategy for Improving Separation Ability of Capillary Electrophoresis Through Tilting Capillary as Needed" Separations 11, no. 12: 340. https://doi.org/10.3390/separations11120340
APA StyleJia, W., Zheng, P., Cui, Y., Bao, J. J., Xu, Y., & Li, Y. (2024). A Convenient and Efficient Strategy for Improving Separation Ability of Capillary Electrophoresis Through Tilting Capillary as Needed. Separations, 11(12), 340. https://doi.org/10.3390/separations11120340

