Next Article in Journal
Model-Based Design and Process Optimization of Continuous Single Pass Tangential Flow Filtration Focusing on Continuous Bioprocessing
Next Article in Special Issue
Impact of Thermal Radiation on Magnetohydrodynamic Unsteady Thin Film Flow of Sisko Fluid over a Stretching Surface
Previous Article in Journal
Hydroxymethylation-Modified Lignin and Its Effectiveness as a Filler in Rubber Composites
Previous Article in Special Issue
Viscoelastic MHD Nanofluid Thin Film Flow over an Unsteady Vertical Stretching Sheet with Entropy Generation
 
 
Due to scheduled maintenance work on our servers, there may be short service disruptions on this website between 11:00 and 12:00 CEST on March 28th.
Font Type:
Arial Georgia Verdana
Font Size:
Aa Aa Aa
Line Spacing:
Column Width:
Background:
Article

Comparative Study of the Performances of Al(OH)3 and BaSO4 in Ultrafine Powder Coatings

1
Collaborative Innovation Center of Chemical Science and Engineering (Tianjin), School of Chemical Engineering and Technology, Tianjin University, Tianjin 300072, China
2
Particle Technology Research Center, Department of Chemical & Biochemical Engineering, The University of Western Ontario, London, ON N6A 5B9, Canada
3
Wesdon-Rivers Institute of Powder Coatings Science and Technology, Zhaoqing 526000, China
*
Author to whom correspondence should be addressed.
Processes 2019, 7(5), 316; https://doi.org/10.3390/pr7050316
Submission received: 7 May 2019 / Revised: 22 May 2019 / Accepted: 23 May 2019 / Published: 27 May 2019
(This article belongs to the Special Issue Thin Film Processes)

Abstract

:
Ultrafine powder coatings are one of the development directions in the powder coating industry, as they can achieve thin coatings with good leveling and high surface smoothness comparable to liquid coatings. Compared to regular coatings, they experience a higher sensitivity to any incompatibilities, e.g., filler from coating components. The properties of fillers play a great role in the performance of coating films. Aluminum trihydrate (Al(OH)3) is a well-known filler in solvent-based coatings and other polymer industries. To study and evaluate the performances of Al(OH)3 in ultrafine powder coatings, a popular filler, barium sulfate (BaSO4) is used for comparison. Both fillers are added in ultrafine powder coatings based on two of the most commonly used resin systems (polyester-epoxy and polyester). The differences of physical and chemical properties between both fillers have significant influences on several properties of powder paints and coating films. The polar groups (hydrogen bond) in Al(OH)3 result in the strong interaction between inorganic filler and organic polymer matrix, thus decreasing the molecular network mobility and influencing the chain formation, which is verified by differential scanning calorimetric (DSC). The bed expansion ratio (BERs) of powder paints incorporated with Al(OH)3 are much higher than those with BaSO4, which indicate more uniform gas-solid contact during the spraying process. Samples with Al(OH)3 exhibit much lower specular gloss at 60°, which are expected to achieve remarkable matting effects. Superior corrosion resistances can be observed for almost all the coated panels incorporated with Al(OH)3 in contrast to those with BaSO4. Other aspects are slightly influenced by the difference between the two fillers, such as the angle of repose values (AORs) of powder paints, the impact resistance and flexibility of coating films.

1. Introduction

During the last few decades, engineers and researchers have attached great importance to powder coatings due to their economic and environmental benefits. Compared with solvent-borne coatings, they eliminate the use of volatile organic compounds (VOC) that are both expensive and environmentally unfriendly. Moreover, the overspray paint powders can be reclaimed and reused, resulting in a nearly 100% transfer efficiency [1,2]. However, the particle sizes of regular powder coating are generally in the range from 30μm to 60μm, which leads to a thicker film with rougher appearance in comparison with solvent-borne coatings.
Recently, there has been a strong trend to reduce the particle size to improve the surface quality of the final coatings and lead to the considerable cost savings of material and energy [2,3,4,5,6,7]. Therefore, ultrafine powder coatings (D50 < 25 μm) have attracted more and more attention from the finishing industries, such as oral drug delivery systems, dental and orthopedic implants and the pharmaceutical industry [8,9,10]. In contrast to regular powder coatings (D50 > 30 μm), the ultrafine powder coatings are with a higher sensitivity to any incompatibilities from coating components and application environment due to their smaller mean particle size, poorer flowability and the thinner film they can form [1,2,7]. Considering their potential utilization and sensitivity, study on the effects of coating components, e.g. fillers on their performance, is more valuable compared to the regular powder coatings. By including fillers in the ultrafine powder coatings, the agglomerates formed may cause a decrease in its flowability as well as defects during spraying and curing process [2,7,11]. Therefore, the study of the effects of filler addition on the performance of the ultrafine powder is of great significance.
Fillers are one of five principal components of powder coatings that include polymer resins, curing agents (also called hardeners or cross-linkers), pigments and additives. They are usually inorganic substances with chemical stability and are produced artificially or naturally like minerals. Fillers have two functions in coatings: one is to reduce costs by decreasing the dosage of the polymer resin, normally the main-cost part in the formulation; the other is to modify certain physical, chemical or visual properties of the coating [12,13,14,15,16]. The commonly used fillers in powder coatings include blanc fixe (BaSO4), lithopone (ZnS·BaSO4), talc (Mg3Si4O10(OH)2), zinc white (ZnO) and carbon black (C), etc. [17,18,19,20,21,22]. Above all, BaSO4 is used in a high percentage of powder paints because of its electric conductivity and light transparency in thin coatings.
Al(OH)3 is an extensively used filler in liquid coatings, and its usage in the polymer industry has been reported [23,24,25,26]. Owing to its higher thermal conductivity, it can be used in room temperature vulcanized (RTV) silicone rubber coatings for the improvement of tracking and corrosion resistances [27]. Several researchers and Al(OH)3 suppliers have also noted the superiority of Al(OH)3 in improving the mechanical and other properties of powder coatings [28,29,30]. However, little systematic research is so far reported on the comparisons of the effects of Al(OH)3 and BaSO4 on the physical properties, ultraviolet (UV) and corrosion resistances in powder coatings.
In this study, Al(OH)3 and BaSO4 were compared as fillers in the most widely used polyester-epoxy (hybrid) and polyester ultrafine powder coatings. The paper investigated the effects of Al(OH)3 as well as BaSO4 on flowability of powder coatings, mechanical and other physical properties of coating films, plus their performances under corrosive environments and other external circumstances. In addition, the results were discussed regarding the difference of physical and chemical properties between both fillers.

2. Experimental

2.1. Preparation and Characterization of Powder Paints

As described earlier, powder coatings consist of five principal components, including polymer resins, curing agents, pigments, additives and fillers. The materials used in this study are shown in Table 1. In this research, four different filler contents were tested in two widely used resin systems. Each sample contains different type and content of resins and curing agents, as shown in Table 2. To determine the effects of type and content of fillers, the other components (pigments, degassing agents and flow agents) remained constant. Physical properties of fillers incorporated in the coatings are shown in Table 3.
As illustrated in Figure 1, the appropriate materials were premixed and then extruded by a twin-screw extruder (SLJ-10, Donghui Powder Coating Processing Equipment Co., Ltd., Yantai, China). The hot extrudates were cooled, crushed into small chips and added into an air classifier mill (ACM-02, Donghui Powder Coating Processing Equipment Co., Ltd., Yantai, China) for fine grinding, classifying and screening. The median particle size (D50) of paint powders was within the range of 18 µm ± 0.5 µm, as shown in Table 4, which was measured by a laser particle size analyzer (BT2000B, Bettersize instruments Ltd., Dandong, China). Microstructure and morphology of the powder paints and coating films were characterized with scanning electron microscopy (SEM, S4800, Hitachi High-Technologies Global, Tokyo, Japan). Differential scanning calorimetric (DSC) was used to determine the glass transition temperature (Tg) of coatings and ΔHcrosslinking of the crosslinking events. The DSC curves were obtained by a calorimeter (DSC-3, Mettler Toledo Inc., Greifensee, Switzerland) at temperatures between 25 °C and 210 °C. It was operated at a heating rate of 10 °C/min under inert nitrogen atmosphere (N2) with a flow rate of 50 mL/min.
According to Geldart’s Powder Classification, the ultrafine powder paints used in this study can be categorized in Group C (particle size under 25 µm–30 µm), which is difficult to fluidize due to its cohesive nature [31]. The cohesion is attributed to the relatively larger interparticle attractive forces, which can be overcome by the addition of nanoparticles (fluidization additives), thus improving the flowability of Group C particles [32,33,34,35]. Fluidization additive used in this study is listed in Table 1, which is dry blended (0.7 wt.%) before the powder paints are applied onto the substrates.
Flow behavior of powder paints was characterized with angle of repose (AOR) and bed expansion ratio (BER) tests [36]. As shown in Figure 2, AOR is defined as the angle between the horizontal and the side of the cone when the powder falls freely on the plate. It reflects the cohesiveness and internal friction of a powder and is commonly employed to characterize the flow behavior of powder samples. In general, powder samples with AOR over 45° are usually considered cohesive, while samples with a smaller AOR have better flowability [37].
BER is a useful parameter that indicates the extent to which powders expand at a specific superficial gas velocity. It is the ratio of the bed height at operating conditions (expanded) to the fixed bed height, as defined in Equation (1). Generally, BER is used to characterize fluidization quality based on the belief that a higher BER indicates a better gas-solid contact [38]. A higher BER implies a large amount of gas trapped among the paint powders, which contributes to adequate gas-solid contact during the following spraying process, resulting in a smoother visual appearance. In this study, fluidization of the paint powders was conducted in a homemade fluidized bed as schematically shown in Figure 3. The fluidized bed column was made of Plexiglas that was 75 cm tall with I.D. of 5 cm. The expanded bed height was measured simultaneously when the paint powders were fluidized steadily at each set of superficial gas velocity. In this study, the BER is reported using a gas velocity ranging from 0 cm/s to near 1.0 cm/s, which is representative fluidization in a powder coating process [1,39].
BER = H expanded   bed H fixed   bed
The specific gravity is a significant parameter for calculating the cost benefit of powder coatings, usually in the form of square meters/kg powder coating in a given film thickness. It can provide theoretical usage and coverage of powder coatings.
In this study, all the powder paints were fabricated by an ACM. The operating parameters are virtually the same, with minor adjustments to ensure all the paint samples’ D50 fall in the range of 18 µm ± 0.5 µm and are in the same particle shape. Consequently, the differences of AORs and BERs caused by particle size and shape can be neglected. The characterizations mentioned above were performed by devices and instruments listed in Table 5.

2.2. Preparation and Characterization of Finished Films

After measurements of powder paints described before, each of the powder samples was sprayed on two different types of panels from Q-Lab (Q-Lab Corporation Ltd., Westlake, OH, USA): aluminum panel (88.9/63.5/0.8, L/W/T, mm) and steel panel (127.0/76.2/0.8, L/W/T, mm). All panels were degreased with acetone prior to spraying. Powder samples were sprayed using a Sure coat corona gun (Nordson Corporation, Westlake, OH, USA). All the sprayed panels were cured at 204 °C for 10 min to ensure complete curing. After curing, a film thickness of 38 µm ± 5% were retained for all the subsequent measurements. The thickness of the coating film was measured by a PosiTector 6000 thickness gage (DeFelsko Corporation, Ogdensburg, NY, USA).
The performance of coating films depends on many factors; for instance, the properties of the resin systems, environment exposed and other factors. Many test methods for developing and monitoring film properties are available to simulate the application conditions and accelerate the degradation process of powder coatings. In this study, for evaluating the pencil scratch hardness, impact resistance, conical mandrel bend test, specular gloss, UV and corrosion resistances of the film surface by instrumental measurements, detailed evaluation procedures are followed according to appropriate ASTM standards. Characterizations of the coating films were conducted 24 h after cured. Instruments used and ASTM standards followed in the measurements are presented in Table 5.
Pencil scratch hardness test uses constant pressure and special pencils (from 9H to 9B degrees) to scratch the finished film to determine the hardness of the film. The Impact resistances of the coated films were characterized by an impact tester. A steel weight with a hemispherical head (diameter: 13 mm, weight: 1.8 kg) was dropped from a height between 20 and 120 cm onto the coated panels. The same procedure is repeated by increasing the height by 25 mm increments until cracks appear, which presents the failure of the coating. Flexibility of the coating films is measured by a conical mandrel bend apparatus. The panels are bent for about 135°. The radius of the cone varies from 1.5 mm to 19 mm. The coating film is deemed flexible if no crack appears. Specular gloss describes the power of a test surface to reflect light specularly. A complete specular light reflection is 100, while a complete diffuse reflection is 0. The surface roughness test is conducted to characterize the discontinuities over some distance (15 mm in this study) on the specimen surface. To ensure the reliability and reproducibility of the test results, the measurements were performed in three different regions for each of the finished films. The salt spray test is an essential method to evaluate corrosion resistance of a coating film in terms of loss of adhesion under long-term exposure to salt fog. An X-form-scribe was made on the surface of the coated panel leaving the metal substrate exposed. The representative mean rust creepages can be determined by a rating grade from 10 to 1 (Table 6). The resistance of a powder coated film against UV exposure (UV accelerate test) is one of the most important parameters to determine the applicability of a particular coating for external conditions. The UV tester used in this study is equipped with two xenon-arc lamps with a maximum wavelength of 340 nm. A cycle consists of 102 min of UV irradiation (0.35 W/m2, 63 °C) in dry conditions and 18 min in water spray conditions. The measured specular gloss at 60° was used to calculate the gloss retention of the coating film. The gloss retention is defined as:
Gloss   retention = Gloss t = x Gloss t = 0

3. Results

3.1. Flow Behavior and Specific Gravity of Paint Powders

Flow behaviors of the powder paints were characterized by AOR and BER measurements. Figure 4 shows the AORs of the powder samples dry-blended with fluidization additives with respect to the fillers’ types and contents. It is clear that the type of resin system affects the AORs of the paint samples. AORs of the samples based on polyester are much higher than that of the hybrid. However, for the same resin system, the type of filler only makes a small difference in AOR, if the same amount of Al(OH)3 and BaSO4 are used. As mentioned before, the particle size distribution, shape and humidity of powder samples can be ignored because of the same manufacturing processes, operating parameters and conditions, as shown in Figure 5. The slightly higher AORs of samples with BaSO4 is partially due to its smaller D50, as shown in Table 3, which results in a larger tendency to the formation of agglomerates and poor dispersion in powder paints.
From our prior paper and industrial experience, when AORs are higher than 42°, the paint powders tend to agglomerate and thus exhibit poor flowability during the spraying process [40]. Accordingly, the filler contents in this study for Al(OH)3 and BaSO4 are quite acceptable for hybrid-based coatings with the addition of fluidization additives; the AORs of most of the paint samples vary below 42°, except for those based on polyester resins.
BER was used to characterize flow behavior based on the belief that a higher BER indicates more gas in the interstitial void among particles, implying more uniform gas-solid contact and thus better flow behavior and fluidization quality. Figure 6 presents the result of BER measured from samples based on hybrid and polyester. Evidently, filler-free powder paints exhibit the highest BERs in almost the whole range of superficial gas velocity. With the increase of filler contents, BERs of powder paints deteriorate and decrease to about 1.8 and 1.7 for samples of H-B3 and PE-B3, respectively. From previous investigations, the BERs for regular powder coatings (D50 >30μm) showed a maximum value of 1.6 when the superficial gas velocity was 1.0 cm/s [1]. Compared to regular powder coatings, the ultrafines normally exhibit poorer flowabilities, such as lower BER and higher AOR, because of the stronger inter-particle forces [32,33,34,35,36], while with the aid of the fluidization additives the BERs of the ultrafine powder coatings in this research vary from 1.7 to 2.4 at a similar superficial gas velocity of 0.93 cm/s (Figure 7). A higher BER leads to a better gas-solid contact, which results in a better film appearance and gas saving in the electrostatic spraying process.
Besides, PE-powders are much sensitive to filler’s incorporation, BERs of polyester powders decrease more significantly in contrast to those of hybrid. With the increase of filler contents, the BERs of PE-B and PE-A deteriorate very fast and decrease by more than 30% and 20% in contrast to that of PE-C, while the reduction of the BERs of H-B and H-A are 19% and 10%, respectively.
Figure 8 shows the specific gravities of paint powders respect to different contents of two fillers. It is observed that all samples possess similar specific gravities of 1.2 when no filler is incorporated. Obviously, the addition of fillers into the powder coatings directly raise its specific gravity and the samples with the same filler contents have close values. The overall density of samples incorporated with BaSO4 is much higher than that of Al(OH)3, which is due to the difference of specific densities between the two fillers.

3.2. Physical Properties, UV and Corrosion Resistances of Coating Films

3.2.1. Physical Properties

Surface hardness, impact resistance, and flexibility are all crucial properties for typical protective coating films. Figure 9 exhibits the pencil scratch hardness test comparisons of samples respect to fillers’ types and contents. As expected, owing to the similar resin and curing agent, samples exhibit similar pencil scratch hardness of HB when no filler is incorporated in. It is observed that the pencil scratch hardness of samples with Al(OH)3 increase to H when the filler content is 30.6%. While, for samples incorporated with BaSO4, the pencil scratch hardness increased to H at the maximum BaSO4 loading. Compared to BaSO4, Al(OH)3 is more efficient to increase the hardness of coating film at higher loadings. The H-A3 sample exhibited the highest hardness of 2H.
Figure 10 exhibits the results of the impact resistance for samples in respect to filler types and contents. It is observed that the addition of fillers caused a minor decrease in the impact resistance of the coating films. This may be due to the discontinuities in the film matrix introduced by inorganic fillers, which makes the film less flexible and therefore lose adhesion to the panels when receiving an impact. Al(OH)3 shows a slight influence on the impact resistance of coatings. For samples incorporated with Al(OH)3, the decrease of impact resistance occurs at the maximum filler loading (40.2%), with the reduction of impact resistance for about 1.1 J (from 21.2 J to 20.1 J). As for samples added with BaSO4, the reduction of impact resistance starts at a filler content of 17.3%.
The coating flexibility was tested with the conical mandrel bend device. The results show that samples exhibit good flexibility up to filler content of 40.2%, and there is no sign of cracking when the bending exceeds 3 mm mandrel diameter, which is the minimum radius of the cone used in this study.
In general, specular gloss is one of the most commonly used parameters for evaluating surface optical quality. Figure 11 presents the result of the evaluation of specular gloss at 60°. When no filler is incorporated, the specular gloss varies from 95.8 (PE-C) to 98.4 (H-C). The increase of filler contents leads to reduction of the specular gloss. At the maximum load of fillers, the specular glosses decrease by about 14.3% (H-B3) and 21.9% (PE-B3), while they fall further down from 47.8% (H-A3) and 49.5% (PE-A3) in contrast to H-C and PE-C. At the same filler content, samples containing Al(OH)3 exhibit much lower levels of gloss than those with BaSO4. The specular glosses of H-A and PE-A decrease significantly to about 50 at the maximum loadings of Al(OH)3, while samples H-B and PE-B show glossy films with a specular gloss of about 80.

3.2.2. UV and Corrosion Resistances

Ultraviolet light degrades the coatings by imparting energy into the films. The energy of UV light destroys the crosslink by generating heat or breaking chemical bonds. The heat and breakage of bonds will lead to the loss of physical and chemical properties of coating films, bringing in chalking, color change and gloss reduction.
Figure 12 presents the gloss retention at 60° after a UV accelerated test against 1000 h of UV exposure. PE based samples exhibit better overall UV resistances in contrast to H ones when no filler is incorporated in. The gloss retention of hybrid-based samples decreased rapidly to 90% of the initial gloss within 200 h. Polyester-based samples have the best UV resistances, the gloss retention keeps 90% of the initial gloss for about 700 h in the test chamber, which is 3.5 times of that of H based samples.
Besides, it is observed that with the use of Al(OH)3, the PE-based films exhibit much higher gloss retentions than those with BaSO4, as shown in Figure 13. Compared with Al(OH)3, the gloss retentions of most samples incorporated with BaSO4 deteriorate significantly with the increase of filler contents. Samples PE-A1 and PE-B1 keep 90% of the initial gloss for about 630 h and 530 h against UV exposure. Sample PE-A2 keeps 90% of initial gloss for more than 600 h, which is 1.5 times of that of PE-B2. When increasing the fillers’ loading to the maximum, the gloss retention of PE-A3 decreases quickly, which is partially due to the much more significant consumption of resin and curing agents in samples incorporated with Al(OH)3. A similar trend can be observed in samples based on hybrid resin systems.
A salt spray test provides a method by which to evaluate the corrosion resistance in terms of loss of adhesion at a scribe mark. The rust creepages for scribed samples can be evaluated by rating grade between 10 and 1 (Table 6). Figure 14 presents the results of corrosion resistance of samples with different fillers and filler contents. Samples filled with Al(OH)3 exhibit better overall corrosion resistance especially for H-A samples, which keeps rating number of grade 9 throughout the whole tested filler contents, while the rating number of H-B samples decrease to grade 7 when the filler contents exceed 30.6 wt.%. The corrosion resistances of samples added with BaSO4 deteriorate significantly with the increase of fillers contents, especially at the maximum loadings, except for H-A samples.

4. Discussion

This study comparatively investigated the effect of Al(OH)3 and BaSO4 on performances of ultrafine powder coatings. The results show that the incorporation of Al(OH)3 or BaSO4 make little difference to several properties of the powder paints and finished films, such as AORs of powders, the flexibility and impact resistance of coating films, while the other properties are influenced significantly by the fillers’ types and contents. It is shown that the BERs of powders filled with Al(OH)3 is much higher than those of BaSO4. The specular gloss of coatings incorporated with BaSO4 is much higher in contrast to those with Al(OH)3. Coatings with Al(OH)3 exhibit outstanding corrosion resistance performances when exposed to salt fog, especially for hybrid-based coatings even at higher filler content.

4.1. The Effect of Fillers’ Physical Properties on Performances of Powder Paints and Coating Films

The relatively smaller median particle size, higher specific gravity of BaSO4 and higher oil absorption of Al(OH)3 may partially result in the difference of BER and specular gloss between coating films filled with Al(OH)3 and BaSO4 respectively.
Samples incorporated with Al(OH)3 exhibit higher BERs in contrast to those containing BaSO4 at 0.93 cm/s of air velocity, as shown in Figure 7. As described earlier, BaSO4 has a much higher specific gravity than Al(OH)3. Generally, the higher the specific gravity of particles in the fluidized bed, the lower bed expansion is achieved at the same air velocity.
The specular glosses of finished films decreased significantly with the addition of Al(OH)3 in contrast to those of BaSO4, indicating a stronger matting effect from Al(OH)3. A matte surface can scatter the light in all directions and hence the surface appears less glossy. A micro-roughness surface is necessary for creating the diffuse light scattering responsible for the visual effects of reduced gloss. Compared with BaSO4, the better matting effect of Al(OH)3 incorporated coatings are partially due to the higher oil absorption of Al(OH)3 particles (28g oil/100 g), which is almost 3 times of that of BaSO4 (10g oil/100 g). During the curing reaction, the non-uniform shrinkage in micro scale which results from the cross-linking of binder materials, together with the presence of many filler particles occurs. In general, the higher the oil absorption value of the filler, the more binder it requires to bind it. Compared with BaSO4, the naturally higher oil absorption of Al(OH)3 particles lead to the increase of the content of Al(OH)3 particles in the top-surface of the films and thus the formation of a micro-rough surface during the curing process. The micro-roughness produced is identified by SEM images and profile of surface roughness. Figure 15 shows the cross-section view of coating films PE-A3 and PE-B3. The polymer matrix appears darker than the aluminum substrate, as indicated by the white line which marks out the interface of substrate and the coating film. The coating film adheres tightly to the substrate, without obvious defects or pores at the interface. The thickness of the coating film is approximately 38 μm. Figure 16 exhibits the surface roughness of coating films PE-A3 and PE-B3. The average roughness Ra is the arithmetic average value of the surface profile throughout the length of the testing surface. The Ra of PE-A3 is more than 1.5 times of that of PE-B3, which is due to the micro non-uniformity produced during the curing process.
In general, powder coatings are matted by the help of matting agents. They are incompatible with the coating and can produce micro-roughness of the surface scattering the incident light in different directions. Generally, matting agents are either polyolefinic waxes or inorganic fillers that can decrease the gloss level to about 40% of the initial ones when used in concentrations about 4%. However excessive use of wax can produce haze, yellowing or oily appearance [11,12]. The addition of Al(OH)3 can enhance the matting effect without the incorporation of any other matting agents. The specular gloss is achieved to blow 50 with the sample (PE-A3) at the maximum loading of Al(OH)3. In this case, Al(OH)3 is a good alternative to achieve lower gloss finishes in one shot without the necessity of adding matting agents.

4.2. The Effect of Fillers’ Chemical Properties on Performances of Coating Films

The chemical properties of fillers make for a great influence on the properties of coating films, due to the interaction between polymer and fillers during the curing processes. The differential scanning calorimetry (DSC) analysis can reveal the effect of chemical properties on the coatings.
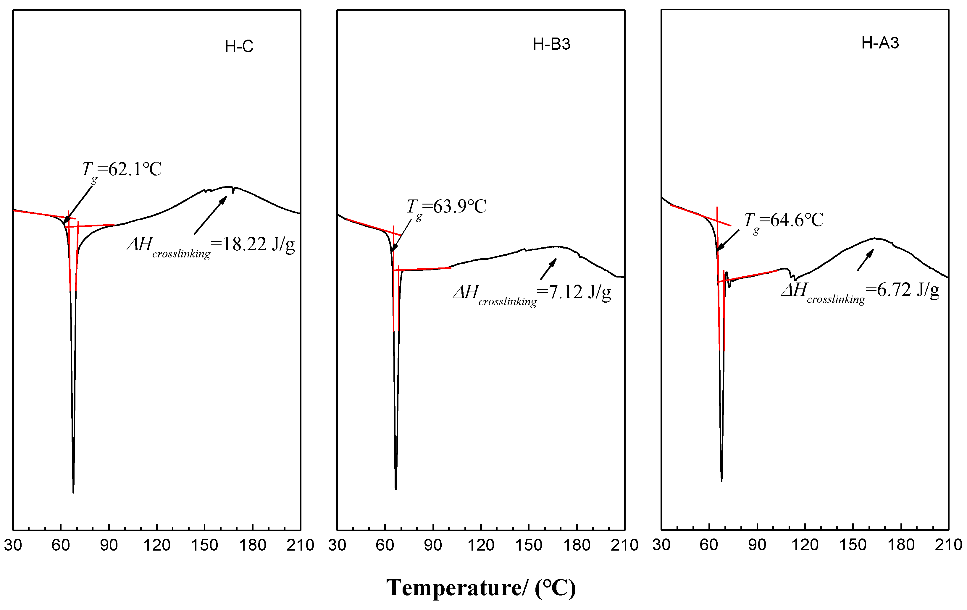
Figure 17 shows the DSC analysis of coatings H-C, H-B3 and H-A3. Two important events of the curing processes of coatings, the glass transition and the crosslinking are identified. At first, the glass transition curves developed much slower at early stages of curing process when the molecular chains formed. Then the glass transition accelerated at later stages in accordance with the chain network formed [41]. With the incorporation of BaSO4 and Al(OH)3, the Tg increases from 62.1 °C (H-C) to 63.9 °C (H-B3) and 64.6 °C (H-A3). This is partially due to the interaction of the polymer resin systems and the inorganic fillers, which hinder the molecular mobility during the curing processes [42]. Besides, the amount of the crosslinking heat released (ΔHcrosslinking) during the scan were greatly decreased by the addition of two fillers in this study. During the curing process, the fillers absorbed parts of the energy depending on the filler quantity in the resin systems, which is also confirmed by other investigations [42,43,44]. The dispersion of inorganic fillers in the resin systems hinders the mass and heat transfer, decreasing the reactivity of the system as evidenced by the reduction in the ΔHcrosslinking of the crosslinking processes, as shown in Figure 17. The fillers’ addition significantly decreased the amount of heat released. The ΔHcrosslinking of H-A3 and H-B3 are about 39% and 37% of the heat released by sample H-C, which are much lower than the polymer content of 59.8% in H-A3 and H-B3. Meanwhile, fillers with polar groups such as hydrogen bond can interact with the polymeric network, thus influencing the chain formation and flexibility during the curing process, consequently increasing the Tg, decreasing the ΔHcrosslinking. The H-A3 coatings filled with Al(OH)3 exhibit higher Tg and lower ΔHcrosslinking than those of H-B3, which is partially due to the -OH bond interacting with the polymer chain.
The glass transition temperature (Tg) is a useful parameter to describe curing propagation and can be linked to mechanical properties [45]. During the curing processes, the molecular network mobility decreases according with the increase of Tg [44]. This can partially explain the significantly improved pencil scratch hardness of H-A3 and H-B3.
Besides, the corrosion resistance is also greatly influenced by the chemical properties of fillers added. It is a crucial property for the coating’s application, which strongly depends on a variety of parameters such as quality of resin systems, chemical properties of bulk materials and conditions the films exposed to. The reason that leads to the superior corrosion resistances of H-A could be interpreted as follows. Firstly, the existence of epoxy in hybrid components, a well-known corrosion resistance resin, helps maintaining a good anti-corrosion property. Secondly, a large amount of OH bonds are exposed to the surface of the Al(OH)3 particles which can interact with the resin chains through hydrogen bond [46], as shown in Scheme 1. As a result, higher corrosion resistances of samples H-A1, H-A2, H-A3 and PE-A1 are obtained in contrast to those added with BaSO4. With the increase of filler contents, the deterioration of corrosion resistance is mainly due to the significantly inadequate of resin and curing agent, which are essential in crosslink inside coatings [47,48].

5. Conclusions

Al(OH)3, a widely used filler in solvent-based coatings and BaSO4, a popular filler in both solvent-based coatings and powder coatings, are involved in polyester-epoxy and polyester based ultrafine powder coatings to make comparative investigations.
  • Several performances of the products are significantly influenced by the type of fillers, such as BERs and specific gravity of powder paints and specular gloss, pencil scratch hardness and corrosion resistance of coating films. Powder paints with Al(OH)3 exhibit higher BERs at high superficial gas velocity than those with BaSO4, ensuring a uniform gas-solid contact during the electrostatic spraying process. A significant promotion in matting effect is shown in samples with Al(OH)3. It shows great enhancement in pencil scratch hardness of samples added with Al(OH)3 in contrast to those with BaSO4. PE based samples incorporated with Al(OH)3 show excellent UV resistances. Hybrid based samples with Al(OH)3 demonstrate outstanding performance of corrosion resistance.
  • Other properties of powder paints and coating films are slightly influenced by the difference of fillers’ type, such as the AORs, the flexibility and the impact resistance. Compared to the filler’s type, the resin system has greater influence on AORs of powder paints. With the addition of fluidization additives, the AORs of most hybrid-based samples stay within an acceptable range (<42°), and the powders can be expected to have good flowability during the application process. Flexibility of films remain stable for sample panels with both fillers. Impact resistance of samples incorporated with Al(OH)3 is slightly superior than those with BaSO4.
  • The different performances of coating films with the two fillers are attributed to the difference of their physical and chemical properties. The more significant matting effect of Al(OH)3 compared to BaSO4, is mainly due to the relatively higher oil absorption and micro-rough surface produced accordingly. The excellent corrosion resistances of hybrid-based samples incorporated with Al(OH)3 are partially due to that the hydrogen bond of Al(OH)3 strengthens the crosslink of coating films. The DSC analysis reveals relatively higher Tg and slightly lower ΔHcrosslinking of H-A3 samples, which are partially due to the strong interaction between the hydrogen bond and the polymer chain.
This experimental study provides valuable information for the application of Al(OH)3 to ultrafine powder coatings. Compared to BaSO4, the use of Al(OH)3 is expected to bring about a better mechanical property and durability of the coating film.

Author Contributions

Conceptualization, J.Z. and H.Z.; Methodology, D.C.F.; Software, M.S.Y.; Validation, H.Z., H.Z. and W.L.; Formal analysis, W.L.; Investigation, W.L. and D.C.F.; Resources, H.Z. and Y.S.; Data curation, W.L.; Writing—original draft preparation, W.L. and X.Z.; Writing—review and editing, H.Z. and H.Z.; Visualization, W.L.; Supervision, H.Z.; Project administration, J.Z.; Funding acquisition, H.Z.

Funding

This research was funded by the Natural Sciences and Engineering Research Council of Canada (NSERC), Discovery Grant RGPIN-2018-06256.

Conflicts of Interest

The authors declare no conflicts of interest.

Notations

D50Median particle diameter (50 vol.% of the powder smaller than the diameter) (μm)
AORAngle of repose, which is defined as the slope measured from the horizontal to the side of a cone that is formed when the powder is allowed to free fall onto a plate. It is the maximum angle at which powders can pile up (°)
BERBed expansion ratio, which is the ratio of the bed height at operating conditions to the finally settled bed height
Glosst=0Initial gloss at 60° (-)
Glosst=xGloss value at a general time “x” at 60° (-)

References

  1. Jesse, Z.; Hui, Z. Ultrafine powder coatings: An innovation. Powder Coat. 2005, 16, 39–47. [Google Scholar]
  2. Misev, T.A.; Van der Linde, R. Powder coatings technology: New developments at the turn of the century. Prog. Org. Coat. 1998, 34, 160–168. [Google Scholar] [CrossRef]
  3. Monsalve-Bravo, G.M.; Bhatia, S.K. Modeling Permeation through Mixed-Matrix Membranes: A Review. Processes 2018, 6, 172. [Google Scholar] [CrossRef]
  4. Satoh, H.; Harada, Y.; Libke, S. Spherical particles for automotive powder coatings. Prog. Org. Coat. 1998, 34, 193–199. [Google Scholar] [CrossRef]
  5. Biris, A.S.; Mazumder, M.K.; Yurteri, C.U.; Sims, R.A.; Snodgrass, J.; De, S. Gloss and Texture Control of Powder Coated Films. Part. Sci. Technol. 2001, 19, 199–217. [Google Scholar] [CrossRef]
  6. Meschievitz, T.; Rahangdale, Y.; Pearson, R.U.S. council for automotive research (USCAR) low-emission paint consortium: A unique approach to powder painting technology development. Met. Finish. 1995, 93, 26–31. [Google Scholar] [CrossRef]
  7. Zhang, H.; Yang, M.S.; Bhuiyan, M.T.I.; Zhu, J. Green Chemistry for Automotive Coatings: Sustainable Applications. In Green Chemistry for Surface Coatings, Inks and Adhesives: Sustainable Applications; Royal Society of Chemistry, Thomas Graham House: Cambridge, UK, 2019; Chapter 3; ISBN 978-1-78262-994-8. [Google Scholar]
  8. Yang, Q.; Ma, Y.; Shi, K.; Yang, G.; Zhu, J. Electrostatic coated controlled porosity osmotic pump with ultrafine powders. Powder Technol. 2018, 333, 71–77. [Google Scholar] [CrossRef]
  9. Hou, N.Y.; Zhu, J.; Zhang, H.; Perinpanayagam, H. Epoxy resin-based ultrafine dry powder coatings for implants. J. Appl. Polymer Sci. 2016, 133. [Google Scholar] [CrossRef]
  10. Yang, Q.; Ma, Y.; Zhu, J. Sustained drug release from electrostatic powder coated tablets with ultrafine ethylcellulose powders. Adv. Powder Technol. 2016, 27, 2145–2152. [Google Scholar] [CrossRef]
  11. David, H. Powder Coatings. In The Technology, Formulation and Application of Powder Coatings; Sussex, J.D.S.W., Ed.; John Wiley and Sons Ltd.: Chichester, West Sussex, England, 2000; Volume 1, ISBN 978-0471978992. [Google Scholar]
  12. Liberto, N. User’s Guide to Powder Coating, 4th ed.; Association for Finishing Processes and Society of Manufacturing Engineers: Dearborn, MI, USA, 2003. [Google Scholar]
  13. Yang, G.; Heo, Y.-J.; Park, S.-J. Effect of Morphology of Calcium Carbonate on Toughness Behavior and Thermal Stability of Epoxy-Based Composites. Processes 2019, 7, 178. [Google Scholar] [CrossRef]
  14. Cummings, S.; Zhang, Y.; Smeets, N.; Cunningham, M.; Dubé, M.A. On the Use of Starch in Emulsion Polymerizations. Processes 2019, 7, 140. [Google Scholar] [CrossRef]
  15. George, W. Handbook of Fillers, 4th ed.; ChemTec Publishing: Toronto, ON, Canada, 2016. [Google Scholar]
  16. Dongmei, Z.; Fa, L.; Liangming, X.; Wancheng, Z. Preparation and properties of glass coats containing SiCN nano powder as filler. Mater. Sci. Eng. A 2006, 431, 311–314. [Google Scholar]
  17. Luo, S.; Zheng, Y.; Li, J.; Ke, W. Effect of curing degree and fillers on slurry erosion behavior of fusion-bonded epoxy powder coatings. Wear 2003, 254, 292–297. [Google Scholar] [CrossRef]
  18. Karthik, S.; Siva, P.; Balu, K.S.; Suriyaprabha, R.; Rajendran, V.; Maaza, M. Acalypha indica–mediated green synthesis of ZnO nanostructures under differential thermal treatment: Effect on textile coating, hydrophobicity, UV resistance, and antibacterial activity. Adv. Powder Technol. 2017, 28, 3184–3194. [Google Scholar] [CrossRef]
  19. Chen, C.; Qiu, S.; Cui, M.; Qin, S.; Yan, G.; Zhao, H.; Wang, L.; Xue, Q. Achieving high performance corrosion and wear resistant epoxy coatings via incorporation of noncovalent functionalized graphene. Carbon 2017, 114, 356–366. [Google Scholar] [CrossRef]
  20. Qingyan, S.; Sue, H.; Weili, W.; Dongsheng, F.; Tianlong, M. Preparation and characterization of antistatic coatings with modified BaTiO3 powders as conductive fillers. J. Adhes. Sci. Technol. 2013, 27, 2642–2652. [Google Scholar]
  21. Feng, Q.; Ming, W.; Yongbo, H.; Shaoyun, G. The effect of talc orientation and transcrystallization on mechanical properties and thermal stability of the polypropylene/talc composites. Compos. Part A 2014, 58, 7–15. [Google Scholar]
  22. Shafiq, M.; Yasin, T.; Aftab Rafiq, M. Structural, thermal and antibacterial properties of chitosan/ZnO composites. Polym. Compos. 2014, 35, 79–85. [Google Scholar] [CrossRef]
  23. Hamdani-Devarennes, S.; Longuet, C.; Sonnier, R.; Ganachaud, F.; Lopez-Cuesta, J.M. Calcium and aluminum-based fillers as flame-retardant additives in silicone matrices. III. Investigations on fire reaction. Polym. Degrad. Stab. 2013, 98, 2021–2032. [Google Scholar] [CrossRef]
  24. Xanthos, M. Functional Fillers for Plastics; Wiley-VCH: Weinheim, Germany, 2005. [Google Scholar]
  25. Cardenas, M.A.; Garcia-Lopez, D.; Gobernado-Mitre, I.; Merino, J.C.; Pastor, J.M.; Martinez, J.D.; Barbeta, J.; Calveras, D. Mechanical and fire retardant properties of EVA/clay/ATH nanocomposites—Effect of particle size and surface treatment of ATH filler. Polym. Degrad. Stab. 2008, 93, 2032–2037. [Google Scholar] [CrossRef]
  26. Nasir, K.M.; Sulong, N.H.R.; Johan, M.R.; Afifi, A.M. An investigation into waterborne intumescent coating with different fillers for steel application. Pigment Resin Technol. 2018, 47, 142–153. [Google Scholar] [CrossRef]
  27. Seyedmehdi, S.A.; Zhang, H.; Zhu, J. Superhydrophobic RTV silicone rubber insulator coatings. Appl. Surf. Sci. 2014, 258, 2972–2976. [Google Scholar] [CrossRef]
  28. Li, W.; Franco, D.C.; Yang, M.S.; Zhu, X.; Zhang, H.; Shao, Y.; Zhang, H.; Zhu, J. Investigation of the Performance of ATH Powders in Organic Powder Coatings. Coatings 2019, 9, 110. [Google Scholar] [CrossRef]
  29. Huber Engineered Materials. Available online: https://www.hubermaterials.com/products/flame-retardants-smoke-suppressants/flame-retardant-smoke-suppressant-applications/industrial-and-paper-coatings/powder-coatings.aspx (accessed on 17 February 2019).
  30. Alumina Chemicals & Castables. Available online: http://www.aluminachemicals.net/alumina-powder-4288120.html (accessed on 17 February 2019).
  31. Geldart, D. Types of gas fluidization. Powder Technol. 1973, 7, 285–292. [Google Scholar] [CrossRef]
  32. Turki, D.; Fatah, N.; Saidani, M. The impact of consolidation and interparticle forces on cohesive cement powder. Int. J. Mater. Res. 2015, 106, 1258–1263. [Google Scholar] [CrossRef]
  33. Bruni, G.; Lettieri, P.; Newton, D.; Barletta, D. An investigation of the effect of the interparticle forces on the fluidization behaviour of fine powders linked with rheological studies. Chem. Eng. Sci. 2007, 62, 387–396. [Google Scholar] [CrossRef]
  34. Visser, J. Van der Waals and other cohesive forces affecting powder fluidization. Powder Technol. 1989, 58, 1–10. [Google Scholar] [CrossRef]
  35. Chen, Y.; Yang, J.; Dave, R.N.; Pfeffer, R. Granulation of cohesive Geldart group C powders in a Mini-Glatt fluidized bed by pre-coating with nanoparticles. Powder Technol. 2009, 191, 206–217. [Google Scholar] [CrossRef]
  36. Lim, K.S.; Zhu, J.X.; Grace, J.R. Hydrodynamics of gas-solid fluidization. Int. J. Multiph. Flow 1995, 21, 141–193. [Google Scholar] [CrossRef]
  37. Cheremisinoff, N.P.; Cheremisinoff, P.N. Hydrodynamics of Gas-Solids Fluidization; Gulf Publishing Co.: Houston, TX, USA, 1984. [Google Scholar]
  38. Huang, Q. Flow and fluidization properties of fine powders. Ph.D. Thesis, Philosophy-University of Weston Ontario, London, ON, Canada, 2009. [Google Scholar]
  39. Krantz, M.; Zhang, H.; Zhu, J. Characterization of powder flow: Static and dynamic testing. Powder Technol. 2009, 194, 239–245. [Google Scholar] [CrossRef]
  40. Meng, X.; Zhu, J.; Zhang, H. The characteristics of particle charging and deposition during powder coating processes with ultrafine powder. J. Phys. D Appl. Phys. 2009, 42, 12. [Google Scholar] [CrossRef]
  41. Parodi, E.; Govaert, L.E.; Peters, G.W.M. Glass transition temperature versus structure of polyamide 6: A flash-DSC study. Thermochim. Acta 2017, 657, 110–122. [Google Scholar] [CrossRef]
  42. Piazza, D.; Lorandi, N.P.; Pasqual, C.I.; Scienza, L.C.; Zattera, A.J. Influence of a microcomposite and a nanocomposite on the properties of an epoxy-based powder coating. Mater. Sci. Eng. A 2011, 528, 6769–6775. [Google Scholar] [CrossRef]
  43. Mikhailov, M.; Yuryev, S.; Lapin, A.; Lovitskiy, A. The effects of heating on BaSO4 powders’ diffuse reflectance spectra and radiation stability. Dye. Pigment. 2019, 163, 420–424. [Google Scholar] [CrossRef]
  44. Moussa, O.; Vassilopoulos, A.P.; Keller, T. Experimental DSC-based method to determine glass transition temperature during curing of structural adhesives. Constr. Build. Mater. 2012, 28, 263–268. [Google Scholar] [CrossRef]
  45. Moussa, O.; Vassilopoulos, A.P.; Keller, T. Effects of low-temperature curing on physical behavior of cold-curing epoxy adhesives in bridge construction. Int. J. Adhes. Adhes. 2012, 32, 15–22. [Google Scholar] [CrossRef]
  46. Bajat, J.B.; Popic, J.P.; Miskovic-Stankovic, V.B. The influence of aluminum surface pretreatment on the corrosion stability and adhesion of powder polyester coating. Prog. Organ. Coat. 2010, 69, 316–321. [Google Scholar] [CrossRef]
  47. Bhargava, S.; Lewis, R.D.; Kubota, M.; Li, X.; Advani, S.G.; Deitzel, J.M.; Prasad, A.K. Adhesion study of high reflectivity water-based coatings. Int. J. Adhes. Adhes. 2013, 40, 120–128. [Google Scholar] [CrossRef]
  48. Strzelec, K.; Pospiech, P. Improvement of mechanical properties and electrical conductivity of polythiourethand-modified epoxy coatings filled with aluminum powder. Prog. Org. Coat. 2008, 63, 133–138. [Google Scholar] [CrossRef]
Figure 1. Schematic diagram of the manufacturing process of powder coating.
Figure 1. Schematic diagram of the manufacturing process of powder coating.
Processes 07 00316 g001
Figure 2. Schematic diagram of AOR measurement.
Figure 2. Schematic diagram of AOR measurement.
Processes 07 00316 g002
Figure 3. Schematic diagram of fluidized bed.
Figure 3. Schematic diagram of fluidized bed.
Processes 07 00316 g003
Figure 4. AORs of samples.
Figure 4. AORs of samples.
Processes 07 00316 g004
Figure 5. SEM micrographs of powder paints.
Figure 5. SEM micrographs of powder paints.
Processes 07 00316 g005
Figure 6. Bed expansion ratios (BERs) of samples respect to superficial gas velocity.
Figure 6. Bed expansion ratios (BERs) of samples respect to superficial gas velocity.
Processes 07 00316 g006
Figure 7. BERs of samples at gas velocity of 0.93 cm/s.
Figure 7. BERs of samples at gas velocity of 0.93 cm/s.
Processes 07 00316 g007
Figure 8. Specific gravities of samples.
Figure 8. Specific gravities of samples.
Processes 07 00316 g008
Figure 9. Pencil scratch hardness of samples.
Figure 9. Pencil scratch hardness of samples.
Processes 07 00316 g009
Figure 10. Impact resistances of samples.
Figure 10. Impact resistances of samples.
Processes 07 00316 g010
Figure 11. Specular gloss of samples with different fillers and filler contents at 60°.
Figure 11. Specular gloss of samples with different fillers and filler contents at 60°.
Processes 07 00316 g011
Figure 12. Gloss retention of samples after 1000 h of UV accelerate test.
Figure 12. Gloss retention of samples after 1000 h of UV accelerate test.
Processes 07 00316 g012
Figure 13. Time consumed of samples at 90% of gloss retention.
Figure 13. Time consumed of samples at 90% of gloss retention.
Processes 07 00316 g013
Figure 14. Rating number of failures at scribe of samples after 1000 h of salt spray test.
Figure 14. Rating number of failures at scribe of samples after 1000 h of salt spray test.
Processes 07 00316 g014
Figure 15. SEM micrographs of coating films with the addition of Al(OH)3 and BaSO4 respectively.
Figure 15. SEM micrographs of coating films with the addition of Al(OH)3 and BaSO4 respectively.
Processes 07 00316 g015
Figure 16. Roughness of the surface of coating films with the addition of Al(OH)3 and BaSO4 respectively.
Figure 16. Roughness of the surface of coating films with the addition of Al(OH)3 and BaSO4 respectively.
Processes 07 00316 g016
Figure 17. DSC thermograms of hybrid-based coatings with and without the addition of fillers.
Figure 17. DSC thermograms of hybrid-based coatings with and without the addition of fillers.
Processes 07 00316 g017
Scheme 1. Hydrogen bonding between hybrid resin and Al(OH)3.
Scheme 1. Hydrogen bonding between hybrid resin and Al(OH)3.
Processes 07 00316 sch001
Table 1. Materials.
Table 1. Materials.
ComponentsHybrid (Polyester-Epoxy)Polyester
ResinCrylcoat 2440-2Crylcoat 2440-2
Curing agentDER 663UTGIC/Araldite PT 810
FillerAl(OH)3/Custom Grinders Polyfill 301
BaSO4/Sparwite W-10
PigmentCarbon black/Raven 5000 Ultra Ⅱ
Degassing agentBenzoin/S602
Flow agentAcrylic polymer/Lanco P10
Fluidization additiveSiO2/AEROSIL R972
Hybrid (polyester: epoxy = 7:3 wt.%).
Table 2. Formulations of powder paints.
Table 2. Formulations of powder paints.
SpecimenResin TypeFillerContents/(wt.%)
Resin + Curing AgentFillerOthers
H-CHybrid-97.602.4
H-A1/H-B1Al(OH)3/BaSO480.317.3
H-A2/H-B27030.6
H-A3/H-B357.440.2
PE-CPolyester-97.60
PE-A1/PE-B1Al(OH)3/BaSO480.317.3
PE-A2/PE-B27030.6
PE-A3/PE-B357.440.2
Others: pigment 1.4 wt.%, degassing agent 0.3 wt.%, flow agent 0.7 wt.%.
Table 3. Physical properties of fillers used in the study.
Table 3. Physical properties of fillers used in the study.
FillerShapeMedian Particle Size D50/(μm)Specific Gravity/(-)ColorRefractive Index/(-)Oil Absorption/(g oil/100 g)
BaSO4Aggregates2.14.4White1.6410
Al(OH)3Irregular92.4White1.5828
Table 4. Particle size of powder paints.
Table 4. Particle size of powder paints.
SpecimenParticle Size/(μm)SpecimenParticle Size/(μm)
D10D50D90D10D50D90
H-C5.7718.0260.02H-C5.7718.0260.02
H-A15.2918.2960.71H-B15.4918.1159.64
H-A25.1218.4060.14H-B25.7118.1860.6
H-A35.4818.1058.33H-B35.6817.7959.01
PE-C5.2917.8259.64PE-C5.2917.8259.64
PE-A15.3018.5459.99PE-B15.5118.2459.70
PE-A25.9118.0458.64PE-B25.7918.1359.17
PE-A35.8317.7156.79PE-B35.6618.1058.96
Table 5. Measurements of powder paints and coating films.
Table 5. Measurements of powder paints and coating films.
MeasurementsApparatusesASTM Standards
Powder paints
AORPT-X (Hosokowa Micron Corporation, Hirakata, Japan)-
Specific gravityVolumetric flaskD5965-02 (2013)
Balance (XSE105DU, Mettler Toledo Inc., Greifensee, Switzerland)
BERHomemade fluidized bed-
Coating films
Pencil scratch hardnessPH5800 (BYK Additives & Instruments Ltd., Wesel, Germany)D3363-05 (2011)
Surface roughnessSJ-210 (Mitutoyo Co., Kanagawa, Japan)D4417-2014
Impact resistanceQCJ 120 (HANYI instruments Co. Ltd., Wuhan, China)D2794-93 (2010)
FlexibilityBYK 5750 (BYK Additives & Instruments Ltd., Wesel, Germany) D522M-13
Specular glossIQ206085 (Rhopoint Components Ltd., East Grinstead, UK)D523-14 (2018)
Salt spray testMX-9204 (Associated Environmental Systems Ltd., Hong Kong)B117-2011, D1654-08 (2016)
UV accelerated testXE-3 (Q-Lab Corporation Ltd., Cleveland, OH, USA)G155-2013, D523-14 (2018)
Table 6. Rating number of failures at scribe.
Table 6. Rating number of failures at scribe.
Mean Rust Creepage/(mm)Rating Number
Zero10
0 to 0.59
0.5 to 1.08
1.0 to 2.07
2.0 to 3.06
3.0 to 5.05
5.0 to 7.04
7.0 to 10.03
10.0 to 13.02
13.0 to 16.01
>16.00

Share and Cite

MDPI and ACS Style

Li, W.; Franco, D.C.; Yang, M.S.; Zhu, X.; Zhang, H.; Shao, Y.; Zhang, H.; Zhu, J. Comparative Study of the Performances of Al(OH)3 and BaSO4 in Ultrafine Powder Coatings. Processes 2019, 7, 316. https://doi.org/10.3390/pr7050316

AMA Style

Li W, Franco DC, Yang MS, Zhu X, Zhang H, Shao Y, Zhang H, Zhu J. Comparative Study of the Performances of Al(OH)3 and BaSO4 in Ultrafine Powder Coatings. Processes. 2019; 7(5):316. https://doi.org/10.3390/pr7050316

Chicago/Turabian Style

Li, Weihong, Diego Cárdenas Franco, Marshall Shuai Yang, Xinping Zhu, Haiping Zhang, Yuanyuan Shao, Hui Zhang, and Jingxu Zhu. 2019. "Comparative Study of the Performances of Al(OH)3 and BaSO4 in Ultrafine Powder Coatings" Processes 7, no. 5: 316. https://doi.org/10.3390/pr7050316

APA Style

Li, W., Franco, D. C., Yang, M. S., Zhu, X., Zhang, H., Shao, Y., Zhang, H., & Zhu, J. (2019). Comparative Study of the Performances of Al(OH)3 and BaSO4 in Ultrafine Powder Coatings. Processes, 7(5), 316. https://doi.org/10.3390/pr7050316

Note that from the first issue of 2016, this journal uses article numbers instead of page numbers. See further details here.

Article Metrics

Back to TopTop