The Influence of Complementary Processing Methods to Emulsification on the Sunscreen Emulsion Properties
Abstract
1. Introduction
2. Materials and Methods
2.1. Reagents and Chemicals
2.2. Emulsions Processing
2.2.1. Primary Sunscreen Emulsion
2.2.2. Complementary Processing by High-Speed Method (CP-HS)
2.2.3. Complementary Processing by High-Pressure Homogenization Method (CP-HPH)
2.3. Evaluation of Emulsions (Primary Sunscreen Emulsion, CP-HS, and CP-HPH)
2.3.1. Evaluation of Particle Size Distribution (PSD) by Static Light Scattering (SLS)
2.3.2. Evaluation of Zeta Potential
2.3.3. Evaluation of pH Value
2.3.4. Rheological Behavior of Emulsions
2.3.5. Evaluation of Photoprotective Property and Photostability
In Vitro Sun Protection Factor (SPF)
In Vitro Photostability
2.3.6. Statistical Analyses
3. Results
3.1. Evaluation of Emulsions
3.2. Evaluation of Particle Size Distribution by Static Light Scattering (SLS)
3.3. Evaluation of Zeta Potential
3.4. Evaluation of pH
3.5. Rheological Behavior of Emulsions
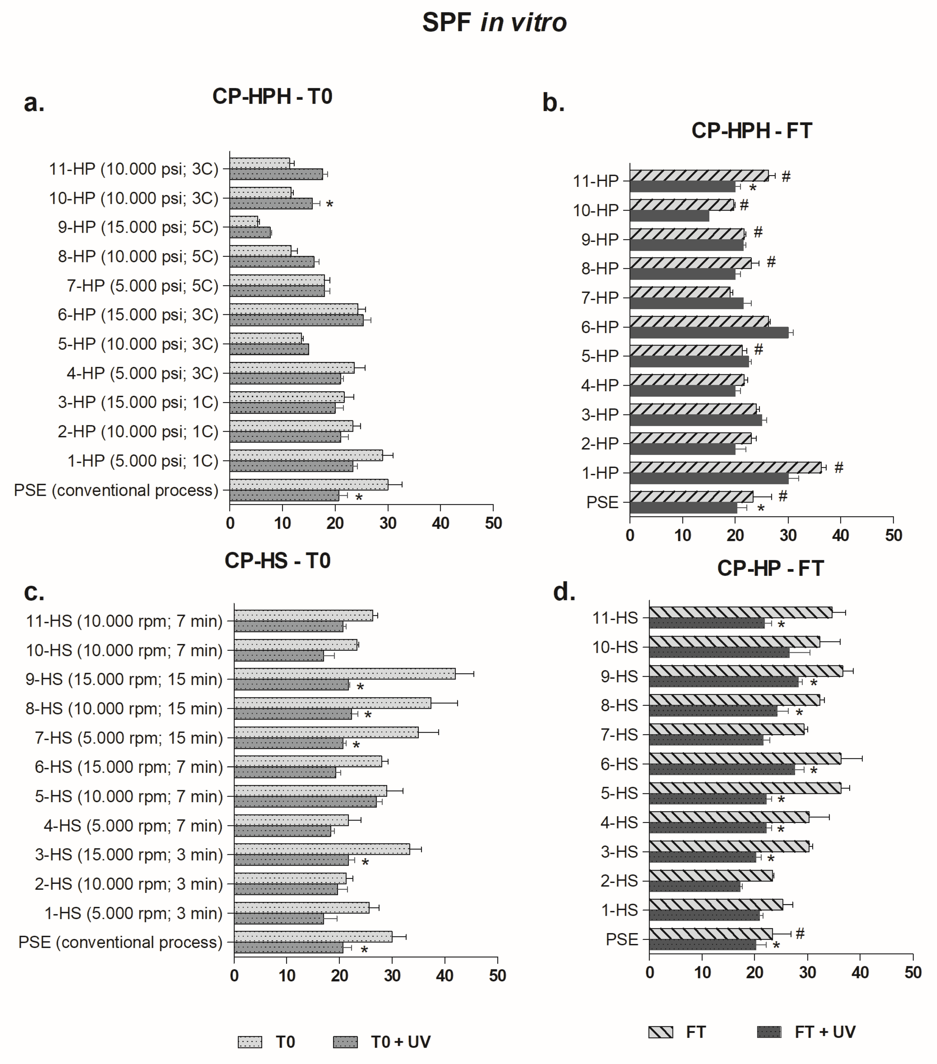
3.6. Evaluation of Photoprotective Property and Photostability
4. Discussion
5. Conclusions
Author Contributions
Funding
Data Availability Statement
Conflicts of Interest
References
- Bałdyga, J.; Jasińska, M.; Kowalski, A.J. Effect of Rheology of Dense Emulsions on the Flow Structure in Agitated Systems. Chem. Eng. Res. Des. 2016, 108, 3–12. [Google Scholar] [CrossRef]
- Ho, T.M.; Razzaghi, A.; Ramachandran, A.; Mikkonen, K.S. Emulsion Characterization via Microfluidic Devices: A Review on Interfacial Tension and Stability to Coalescence. Adv. Colloid Interface Sci. 2022, 299, 102541. [Google Scholar] [CrossRef] [PubMed]
- Yamashita, Y.; Miyahara, R.; Sakamoto, K. Emulsion and Emulsification Technology. In Cosmetic Science and Technology: Theoretical Principles and Applications; Elsevier Inc.: Amsterdam, The Netherlands, 2017; pp. 489–506. ISBN 9780128020548. [Google Scholar]
- Hu, Y.T.; Ting, Y.; Hu, J.Y.; Hsieh, S.C. Techniques and Methods to Study Functional Characteristics of Emulsion Systems. J. Food Drug Anal. 2017, 25, 16–26. [Google Scholar] [CrossRef] [PubMed]
- Calixto, L.S.; Maia Campos, P.M.B.G. Physical–Mechanical Characterization of Cosmetic Formulations and Correlation between Instrumental Measurements and Sensorial Properties. Int. J. Cosmet. Sci. 2017, 39, 527–534. [Google Scholar] [CrossRef] [PubMed]
- Khanum, R.; Thevanayagam, H. Lipid Peroxidation: Its Effects on the Formulation and Use of Pharmaceutical Emulsions. Asian J. Pharm. Sci. 2017, 12, 401–411. [Google Scholar] [CrossRef] [PubMed]
- Al-Bawab, A.; Friberg, S.E. Some Pertinent Factors in Skin Care Emulsion. Adv. Colloid Interface Sci. 2006, 123–126, 313–322. [Google Scholar] [CrossRef] [PubMed]
- Yamashita, Y.; Sakamoto, K. Structural Analysis of Formulations. In Cosmetic Science and Technology: Theoretical Principles and Applications; Elsevier Inc.: Amsterdam, The Netherlands, 2017; pp. 635–655. ISBN 9780128020548. [Google Scholar]
- Tadros, T.F. Emulsion Formation, Stability, and Rheology; John Wiley & Sons, Inc.: Hoboken, NJ, USA, 2013. [Google Scholar]
- Dickinson, E. Strategies to Control and Inhibit the Flocculation of Protein-Stabilized Oil-in-Water Emulsions. Food Hydrocoll. 2019, 96, 209–223. [Google Scholar] [CrossRef]
- Pérez-Mosqueda, L.M.; Trujillo-Cayado, L.A.; Carrillo, F.; Ramírez, P.; Muñoz, J. Formulation and Optimization by Experimental Design of Eco-Friendly Emulsions Based on d-Limonene. Colloids Surf. B Biointerfaces 2015, 128, 127–131. [Google Scholar] [CrossRef] [PubMed]
- Singh, Y.; Meher, J.G.; Raval, K.; Khan, F.A.; Chaurasia, M.; Jain, N.K.; Chourasia, M.K. Nanoemulsion: Concepts, Development and Applications in Drug Delivery. J. Control. Release 2017, 252, 28–49. [Google Scholar] [CrossRef]
- Yang, J.; Gu, Z.; Cheng, L.; Li, Z.; Li, C.; Ban, X.; Hong, Y. Preparation and Stability Mechanisms of Double Emulsions Stabilized by Gelatinized Native Starch. Carbohydr. Polym. 2021, 262, 117926. [Google Scholar] [CrossRef]
- Li, H.; Li, F.; Wu, X.; Wu, W. Effect of Rice Bran Rancidity on the Emulsion Stability of Rice Bran Protein and Structural Characteristics of Interface Protein. Food Hydrocoll. 2021, 121, 107006. [Google Scholar] [CrossRef]
- Jin, Y.; Liu, D.; Hu, J. Effect of Surfactant Molecular Structure on Emulsion Stability Investigated by Interfacial Dilatational Rheology. Polymers 2021, 13, 1127. [Google Scholar] [CrossRef] [PubMed]
- Sharkawy, A.; Barreiro, M.F.; Rodrigues, A.E. New Pickering Emulsions Stabilized with Chitosan/Collagen Peptides Nanoparticles: Synthesis, Characterization and Tracking of the Nanoparticles after Skin Application. Colloids Surf. A Physicochem. Eng. Asp. 2021, 616, 126327. [Google Scholar] [CrossRef]
- Franzol, A.; Banin, T.M.; Brazil, T.R.; Rezende, M.C. Assessment of Kinetic Stability of Cosmetic Emulsions Formulated with Different Emulsifiers Using Rheological and Sensory Analyses. J. Solgel Sci. Technol. 2021, 99, 469–481. [Google Scholar] [CrossRef]
- Kovács, A.; Erös, I.; Csóka, I. Optimization and Development of Stable w/o/w Cosmetic Multiple Emulsions by Means of the Quality by Design Approach. Int. J. Cosmet. Sci. 2016, 38, 128–138. [Google Scholar] [CrossRef] [PubMed]
- McClements, D.J. Critical Review of Techniques and Methodologies for Characterization of Emulsion Stability. Crit. Rev. Food Sci. Nutr. 2007, 47, 611–649. [Google Scholar] [CrossRef] [PubMed]
- Rueger, P.E.; Calabrese, R.V. Dispersion of Water into Oil in a Rotor-Stator Mixer. Part 1: Drop Breakup in Dilute Systems. Chem. Eng. Res. Des. 2013, 91, 2122–2133. [Google Scholar] [CrossRef]
- Gutiérrez, J.M.; González, C.; Maestro, A.; Solè, I.; Pey, C.M.; Nolla, J. Nano-Emulsions: New Applications and Optimization of Their Preparation. Curr. Opin. Colloid Interface Sci. 2008, 13, 245–251. [Google Scholar] [CrossRef]
- McClements, D.J.; Jafari, S.M. Improving Emulsion Formation, Stability and Performance Using Mixed Emulsifiers: A Review. Adv. Colloid Interface Sci. 2018, 251, 55–79. [Google Scholar] [CrossRef]
- Zhang, J.; Xu, S.; Li, W. High Shear Mixers: A Review of Typical Applications and Studies on Power Draw, Flow Pattern, Energy Dissipation and Transfer Properties. Chem. Eng. Process. Process Intensif. 2012, 57–58, 25–41. [Google Scholar] [CrossRef]
- Jasińska, M.; Bałdyga, J.; Cooke, M.; Kowalski, A.J. Specific Features of Power Characteristics of In-Line Rotor-Stator Mixers. Chem. Eng. Process. Process Intensif. 2015, 91, 43–56. [Google Scholar] [CrossRef]
- Lee, L.; Hancocks, R.; Noble, I.; Norton, I.T. Production of Water-in-Oil Nanoemulsions Using High Pressure Homogenisation: A Study on Droplet Break-Up. J. Food Eng. 2014, 131, 33–37. [Google Scholar] [CrossRef]
- Håkansson, A. A Hydrodynamic Comparisons of Two Different High-Pressure Homogenizer Valve Design Principles: A Step towards Increased Efficiency. Chem. Eng. Res. Des. 2022, 184, 303–314. [Google Scholar] [CrossRef]
- Stang, M.; Schuchmann, H.; Schubert, H. Emulsification in High-Pressure Homogenizers. Eng. Life Sci. 2001, 1, 151–157. [Google Scholar] [CrossRef]
- Zhou, L.; Zhang, W.; Wang, J.; Zhang, R.; Zhang, J. Comparison of Oil-in-Water Emulsions Prepared by Ultrasound, High-Pressure Homogenization and High-Speed Homogenization. Ultrason. Sonochem. 2022, 82, 105885. [Google Scholar] [CrossRef] [PubMed]
- Rolim Baby, A.; Alberto Haroutiounian-Filho, C.; Daud Sarruf, F.; Roberto Tavante-Júnior, C.; Aparecida Sales de Oliveira Pinto, C.; Zague, V.; Pinheiro Gomes Arêas, E.; Mary Kaneko, T.; Valéria Robles Velasco, M. Estabilidade e Estudo de Penetração Cutânea in Vitro Da Rutina Veiculada Em Uma Emulsão Cosmética Através de Um Modelo de Biomembrana Alternativo; Rev. Bras. Cienc. Farm.: São Paulo, Brazil, 2008; Volume 44. [Google Scholar]
- Terescenco, D.; Picard, C.; Clemenceau, F.; Grisel, M.; Savary, G. Influence of the Emollient Structure on the Properties of Cosmetic Emulsion Containing Lamellar Liquid Crystals. Colloids Surf. A Physicochem. Eng. Asp. 2018, 536, 10–19. [Google Scholar] [CrossRef]
- Battaglia, L.; Trotta, M.; Gallarate, M.; Carlotti, M.E.; Zara, G.P.; Bargoni, A. Solid Lipid Nanoparticles Formed by Solvent-in-Water Emulsion-Diffusion Technique: Development and Influence on Insulin Stability. J. Microencapsul. 2007, 24, 672–684. [Google Scholar] [CrossRef]
- Kundu, P.; Kumar, V.; Mishra, I.M. Modeling the Steady-Shear Rheological Behavior of Dilute to Highly Concentrated Oil-in-Water (o/w) Emulsions: Effect of Temperature, Oil Volume Fraction and Anionic Surfactant Concentration. J. Pet. Sci. Eng. 2015, 129, 189–204. [Google Scholar] [CrossRef]
- Hübner, A.A.; Demarque, D.P.; Lourenço, F.R.; Rosado, C.; Baby, A.R.; Kikuchi, I.S.; Bacchi, E.M. Phytocompounds Recovered from the Waste of Cabernet Sauvignon (Vitis vinifera L.) Vinification: Cytotoxicity (in Normal and Stressful Conditions) and In Vitro Photoprotection Efficacy in a Sunscreen System. Cosmetics 2023, 10, 2. [Google Scholar] [CrossRef]
- Cândido, T.M.; Ariede, M.B.; Pinto, C.A.S.d.O.; Lourenço, F.R.; Rosado, C.; Velasco, M.V.R.; Baby, A.R. Prospecting In Vitro Antioxidant and Photoprotective Properties of Rosmarinic Acid in a Sunscreen System Developed by QbD Containing Octyl P-Methoxycinnamate and Bemotrizinol. Cosmetics 2022, 9, 29. [Google Scholar] [CrossRef]
- Wróblewska, K.B.; Baby, A.R.; Grombone Guaratini, M.T.; Moreno, P.R.H. In Vitro Antioxidant and Photoprotective Activity of Five Native Brazilian Bamboo Species. Ind. Crops Prod. 2019, 130, 208–215. [Google Scholar] [CrossRef]
- Mcclements, D.J. Colloidal Basis of Emulsion Color. Curr. Opin. Colloid Interface Sci. 2002, 7, 451–455. [Google Scholar] [CrossRef]
- Degner, B.M.; Chung, C.; Schlegel, V.; Hutkins, R.; Mcclements, D.J. Factors Influencing the Freeze-Thaw Stability of Emulsion-Based Foods. Compr. Rev. Food Sci. Food Saf. 2014, 13, 98–113. [Google Scholar] [CrossRef]
- Qian, C.; McClements, D.J. Formation of Nanoemulsions Stabilized by Model Food-Grade Emulsifiers Using High-Pressure Homogenization: Factors Affecting Particle Size. Food Hydrocoll. 2011, 25, 1000–1008. [Google Scholar] [CrossRef]
- Salvia-Trujillo, L.; Rojas-Graü, M.A.; Soliva-Fortuny, R.; Martín-Belloso, O. Effect of Processing Parameters on Physicochemical Characteristics of Microfluidized Lemongrass Essential Oil-Alginate Nanoemulsions. Food Hydrocoll. 2013, 30, 401–407. [Google Scholar] [CrossRef]
- Galvão, K.C.S.; Vicente, A.A.; Sobral, P.J.A. Development, Characterization, and Stability of O/W Pepper Nanoemulsions Produced by High-Pressure Homogenization. Food Bioprocess Technol. 2018, 11, 355–367. [Google Scholar] [CrossRef]
- McClements, D.J. Food Emulsions: Principles, Practices, and Techniques; Taylor & Francis Group: Abingdon, UK, 2016; Volume 3, ISBN 9781498726696. [Google Scholar]
- Niu, H.; Wang, W.; Dou, Z.; Chen, X.; Chen, X.; Chen, H.; Fu, X. Multiscale Combined Techniques for Evaluating Emulsion Stability: A Critical Review. Adv. Colloid Interface Sci. 2023, 311, 102813. [Google Scholar] [CrossRef]
- Asfour, M.H.; Kassem, A.A.; Salama, A. Topical Nanostructured Lipid Carriers/Inorganic Sunscreen Combination for Alleviation of All-Trans Retinoic Acid-Induced Photosensitivity: Box-Behnken Design Optimization, in Vitro and in Vivo Evaluation. Eur. J. Pharm. Sci. 2019, 134, 219–232. [Google Scholar] [CrossRef]
- Joseph, E.; Singhvi, G. Multifunctional Nanocrystals for Cancer Therapy: A Potential Nanocarrier. In Nanomaterials for Drug Delivery and Therapy; Elsevier: Amsterdam, The Netherlands, 2019; pp. 91–116. ISBN 9780128165058. [Google Scholar]
- Seixas, V.C.; Serra, O.A. Stability of Sunscreens Containing CePO4: Proposal for a New Inorganic UV Filter. Molecules 2014, 19, 9907–9925. [Google Scholar] [CrossRef] [PubMed]
- Herzog, B.; Sengün, F. Scattering Particles Increase Absorbance of Dyes-a Model Study with Relevance for Sunscreens. Photochem. Photobiol. Sci. 2015, 14, 2054–2063. [Google Scholar] [CrossRef] [PubMed]
- Saavedra Isusi, G.I.; Lohner, N.; Karbstein, H.P.; van der Schaaf, U.S. Emulsions Stabilised with Pectin-Based Microgels: Investigations into the Break-up of Droplets in the Presence of Microgels. J. Food Eng. 2021, 294, 110421. [Google Scholar] [CrossRef]
- Walstra, P. 8 Emulsions. In Fundamentals of Interface and Colloid Science; Elsevier: Amsterdam, The Netherlands, 2005. [Google Scholar]
- Ravera, F.; Dziza, K.; Santini, E.; Cristofolini, L.; Liggieri, L. Emulsification and Emulsion Stability: The Role of the Interfacial Properties. Adv. Colloid Interface Sci. 2021, 288, 102344. [Google Scholar] [CrossRef] [PubMed]
- Cabrera-Trujillo, M.A.; Filomena-Ambrosio, A.; Quintanilla-Carvajal, M.X.; Sotelo-Díaz, L.I. Stability of Low-Fat Oil in Water Emulsions Obtained by Ultra Turrax, Rotor-Stator and Ultrasound Homogenization Methods. Int. J. Gastron. Food Sci. 2018, 13, 58–64. [Google Scholar] [CrossRef]
- Lee, J.H.; Kim, K.; Jin, X.; Kim, T.M.; Choi, I.G.; Choi, J.W. Formation of Pure Nanoparticles with Solvent-Fractionated Lignin Polymers and Evaluation of Their Biocompatibility. Int. J. Biol. Macromol. 2021, 183, 660–667. [Google Scholar] [CrossRef]
- Hyam, R.S.; Subhedar, K.M.; Pawar, S.H. Effect of Particle Size Distribution and Zeta Potential on the Electrophoretic Deposition of Boron Films. Colloids Surf. A Physicochem. Eng. Asp. 2008, 315, 61–65. [Google Scholar] [CrossRef]
- Liu, W.; Sun, D.; Li, C.; Liu, Q.; Xu, J. Formation and Stability of Paraffin Oil-in-Water Nano-Emulsions Prepared by the Emulsion Inversion Point Method. J. Colloid Interface Sci. 2006, 303, 557–563. [Google Scholar] [CrossRef]
- Pal, R. Shear Viscosity Behavior of Emulsions of Two Immiscible Liquids. J. Colloid Interface Sci. 2000, 225, 359–366. [Google Scholar] [CrossRef] [PubMed]
- Taarji, N.; Bouhoute, M.; Melanie, H.; Hafidi, A.; Kobayashi, I.; Neves, M.; Tominaga, K.; Isoda, H.; Nakajima, M. Stability Characteristics of O/W Emulsions Prepared Using Purified Glycyrrhizin or a Non-Purified Glycyrrhizin-Rich Extract from Liquorice Root (Glycyrrhiza Glabra). Colloids Surf. A Physicochem. Eng. Asp. 2020, 614, 126006. [Google Scholar] [CrossRef]
- iyer, v.; cayatte, c.; guzman, b.; schneider-Ohrum, K.; Matuszak, R.; Snell, A.; Rajani, G.M.; McCarthy, M.P.; Muralidhara, B. Impact of Formulation and Particle Size on Stability and Immunogenicity of Oil-in-Water Emulsion Adjuvants. Hum. Vaccines Immunother. 2015, 11, 1853–1864. [Google Scholar] [CrossRef]
- Khunkitti, W.; Satthanakul, P.; Waranuch, N.; Pitaksuteepong, T.; Kitikhun, P. Method for screening sunscreen cream formulations by determination of in vitro SPF and PA values using UV transmission spectroscopy and tex-ture profile analysis. J. Cosmet. Sci. 2022, 65, 147–159. [Google Scholar]
- Zhong, Y.; Xiang, X.; Wang, X.; Zhang, Y.; Hu, M.; Chen, T.; Liu, C. Fabrication and Characterization of Oil-in-Water Emulsions Stabilized by Macadamia Protein Isolate/Chitosan Hydrochloride Composite Polymers. Food Hydrocoll. 2020, 103, 105655. [Google Scholar] [CrossRef]
- Vigato, A.A.; Machado, I.P.; Del Valle, M.; da Ana, P.A.; Sepulveda, A.F.; Yokaichiya, F.; Franco, M.K.K.D.; Loiola, M.C.; Tófoli, G.R.; Cereda, C.M.S.; et al. Monoketonic Curcuminoid-Lidocaine Co-Deliver Using Thermosensitive Organogels: From Drug Synthesis to Epidermis Structural Studies. Pharmaceutics 2022, 14, 293. [Google Scholar] [CrossRef] [PubMed]
- Gilbert, L.; Savary, G.; Grisel, M.; Picard, C. Predicting Sensory Texture Properties of Cosmetic Emulsions by Physical Measurements. Chemom. Intell. Lab. Syst. 2013, 124, 21–31. [Google Scholar] [CrossRef]
- Moravkova, T.; Filip, P. Relation between Sensory Analysis and Rheology of Body Lotions. Int. J. Cosmet. Sci. 2016, 38, 558–566. [Google Scholar] [CrossRef] [PubMed]
- Lukic, M.; Jaksic, I.; Krstonosic, V.; Cekic, N.; Savic, S. A Combined Approach in Characterization of an Effective w/o Hand Cream: The Influence of Emollient on Textural, Sensorial and in Vivo Skin Performance. Int. J. Cosmet. Sci. 2012, 34, 140–149. [Google Scholar] [CrossRef]
- Cozzi, A.C.; Perugini, P.; Gourion-Arsiquaud, S. Comparative Behavior between Sunscreens Based on Free or Encapsulated UV Filters in Term of Skin Penetration, Retention and Photo-Stability. Eur. J. Pharm. Sci. 2018, 121, 309–318. [Google Scholar] [CrossRef]
- Wei, B.; Cai, C.; Jin, Z.; Tian, Y. High-Pressure Homogenization Induced Degradation of Amylopectin in a Gelatinized State. Starch/Staerke 2016, 68, 734–741. [Google Scholar] [CrossRef]
- Braisch, B.; Köhler, K.; Schuchmann, H.P.; Wolf, B. Preparation and Flow Behaviour of Oil-in-Water Emulsions Stabilised by Hydrophilic Silica Particles. Chem. Eng. Technol. 2009, 32, 1107–1112. [Google Scholar] [CrossRef]
- Derkach, S.R. Rheology of Emulsions. Adv. Colloid Interface Sci. 2009, 151, 1–23. [Google Scholar] [CrossRef] [PubMed]
- Bonda, C.A.; Lott, D. Sunscreen Photostability. In Principles and Practice of Photoprotection; Springer International Publishing: Berlin/Heidelberg, Germany, 2016; pp. 247–273. ISBN 9783319293820. [Google Scholar]
- Sauce, R.; Pinto, C.A.S.d.O.; Velasco, M.V.R.; Rosado, C.; Baby, A.R. Ex Vivo Penetration Analysis and Anti-Inflammatory Efficacy of the Association of Ferulic Acid and UV Filters. Eur. J. Pharm. Sci. 2021, 156, 105578. [Google Scholar] [CrossRef]
- Herzog, B.; Quass, K.; Schmidt, E.; Müller, S.; Luther, H. Physical Properties of Organic Particulate UV Absorbers Used in Sunscreens: II. UV-Attenuating Efficiency as Function of Particle Size. J. Colloid Interface Sci. 2004, 276, 354–363. [Google Scholar] [CrossRef]
- Hewitt, J.P. Sunscreen Formulation: Optimising Aesthetic Elements for Twenty-First-Century Consumers. In Principles and Practice of Photoprotection; Springer International Publishing: Berlin/Heidelberg, Germany, 2016; pp. 289–302. ISBN 9783319293820. [Google Scholar]
- Daly, S.; Ouyang, H.; Maitra, P. Chemistry of Sunscreens. In Principles and Practice of Photoprotection; Springer International Publishing: Berlin/Heidelberg, Germany, 2016; pp. 159–178. ISBN 9783319293820. [Google Scholar]
- Wypych, G. (Ed.) Handbook of UV Degradation and Stabilization, 2nd ed.; ChemTec Publising: Toronto, ON, Canada, 2015; Volume 1, ISBN 9781895198867. [Google Scholar]







| Phase | Ingredient | Function | w/w (%) | Polarity |
|---|---|---|---|---|
| A | Glycerin | Humectant | 5.00 | Polar |
| Xanthan Gum | Rheological modifier | 0.20 | Polar | |
| Aqua | Vehicle | 59.39 | Polar | |
| Disodium EDTA | Chelating | 0.06 | Polar | |
| B | Dicaprylyl Carbonate | Emollient | 10.00 | non-Polar |
| Butylated hydroxytoluene | Antioxidant | 0.05 | non-Polar | |
| Bis-Ethylhexyloxyphenol Methoxyphenyl Triazine | UV filter | 5.50 | non-Polar | |
| Ethylhexyl Methoxycinnamate | UV filter | 8.00 | non-Polar | |
| Butyl Methoxydibenzoylmethane | UV filter | 2.00 | non-Polar | |
| Cetyl Alcohol | Viscosity controlling | 1.00 | non-Polar | |
| Diethylamino Hydroxybenzoyl Hexyl Benzoate | UV filter | 4.00 | non-Polar | |
| Potassium Cetyl Phosphate | Surfactant | 2.50 | Amphiphilic | |
| Sodium Stearoyl Glutamate | Surfactant | 0.40 | Amphiphilic | |
| C | Tocopheryl Acetate | Antioxidant | 0.50 | non-Polar |
| Caprylyl Glycol (and) Ethylhexylglycerin | Multifunctional emollient | 0.60 | non-Polar | |
| D | Polyacrylate Crosspolymer-11 | Rheological modifier | 0.80 | Amphiphilic |
| Sequence of Experiments | Speed (rpm) | Time (min) | Formulation Code |
|---|---|---|---|
| 4 | 5.000 | 7 | 4-HS |
| 6 | 15.000 | 7 | 6-HS |
| 5 | 10.000 | 7 | 5-HS |
| 10 | 10.000 | 7 | 10-HS |
| 8 | 10.000 | 15 | 8-HS |
| 11 | 10.000 | 7 | 11-HS |
| 9 | 15.000 | 15 | 9-HS |
| 2 | 10.000 | 3 | 2-HS |
| 7 | 5.000 | 15 | 7-HS |
| 3 | 15.000 | 3 | 3-HS |
| 1 | 5.000 | 3 | 1-HS |
| Sequence of Experiments | Pressure (psi) | Number of Cycles | Formulation Code |
|---|---|---|---|
| 4 | 5.000 | 3 | 4-HP |
| 6 | 15.000 | 3 | 6-HP |
| 5 | 10.000 | 3 | 5-HP |
| 10 | 10.000 | 3 | 10-HP |
| 8 | 10.000 | 5 | 8-HP |
| 11 | 10.000 | 3 | 11-HP |
| 9 | 15.000 | 5 | 9-HP |
| 2 | 10.000 | 1 | 2-HP |
| 7 | 5.000 | 5 | 7-HP |
| 3 | 15.000 | 1 | 3-HP |
| 1 | 5.000 | 1 | 1-HP |
| Samples | T0 | Freeze-Thaw Cycles | ||||
|---|---|---|---|---|---|---|
| K (Pa.sn) | n | R2 | K (Pa.sn) | n | R2 | |
| Conventional process | ||||||
| Primary sunscreen emulsion | 23.89 ± 2.242 | 0.2811 ± 0.02383 | 0.9291 | 23.96 ± 2.946 | 0.2381 ± 0.03147 | 0.8399 |
| CP-HPH | ||||||
| 1-HP (5.000 psi; 1C) | 16.360 ± 0.7692 | 0.2692 ± 0.01184 | 0.9670 | 4.204 ± 0.1053 | 0.4642 ± 0.00607 | 0.9974 |
| 2-HP (10.000 psi; 1C) | 8.398 ± 0.2540 | 0.3413 ± 0.00759 | 0.9920 | 3.641 ± 0.1133 | 0.4725 ± 0.00753 | 0.9961 |
| 3-HP (15.000 psi; 1C) | 13.040 ± 0.4764 | 0.3233 ± 0.00903 | 0.9867 | 2.583 ± 0.08017 | 0.5133 ± 0.00748 | 0.9968 |
| 4-HP (5.000 psi; 3C) | 6.224 ± 0.2242 | 0.3193 ± 0.00898 | 0.9869 | 4.327 ± 0.1266 | 0.4522 ± 0.00710 | 0.9961 |
| 5-HP (10.000 psi; 3C) | 7.690 ± 0.2309 | 0.3470 ± 0.00739 | 0.9923 | 1.736 ± 0.1363 | 0.5589 ± 0.01885 | 0.9835 |
| 6-HP (15.000 psi; 3C) | 9.223 ± 0.3257 | 0.320 ± 0.00880 | 0.9877 | 3.819 ± 0.1782 | 0.4445 ± 0.01134 | 0.9896 |
| 7-HP (5.000 psi; 5C) | 8.993 ± 0.2838 | 0.3375 ± 0.00785 | 0.9911 | 2.065 ± 0.1146 | 0.5593 ± 0.01332 | 0.9918 |
| 8-HP (10.000 psi; 5C) | 10.310 ± 0.3765 | 0.3269 ± 0.00909 | 0.9872 | 1.625 ± 0.1253 | 0.5838 ± 0.01847 | 0.9855 |
| 9-HP (15.000 psi; 5C) | 4.730 ± 0.1552 | 0.3621 ± 0.00813 | 0.9919 | 0.605 ± 0.1158 | 0.6644 ± 0.04550 | 0.9366 |
| 10-HP (10.000 psi; 3C) | 8.050 ± 0.1742 | 0.3520 ± 0.00908 | 0.9827 | 1.576 ± 0.1280 | 0.5674 ± 0.01948 | 0.9829 |
| 11-HP (10.000 psi; 3C) | 7.910 ± 0.1359 | 0.3520 ± 0.00673 | 0.9903 | 1.522 ± 0.1165 | 0.5623 ± 0.01838 | 0.9844 |
| CP-HS | ||||||
| 1-HS (5.000 rpm; 3 min) | 15.900 ± 0.5327 | 0.3711 ± 0.00829 | 0.9921 | 26.640 ± 1.592 | 0.2646 ± 0.01493 | 0.9464 |
| 2-HS (10.000 rpm; 3 min) | 17.080 ± 0.5543 | 0.3658 ± 0.00797 | 0.9921 | 32.710 ± 1.824 | 0.2553 ± 0.01395 | 0.9486 |
| 3-HS (15.000 rpm; 3 min) | 14.810 ± 0.5608 | 0.3413 ± 0.00933 | 0.9875 | 31.500 ± 1.773 | 0.2504 ± 0.01410 | 0.9451 |
| 4-HS (5.000 rpm; 7 min) | 12.530 ± 0.3997 | 0.3714 ± 0.00783 | 0.9926 | 28.610 ± 1.341 | 0.2870 ± 0.01166 | 0.9716 |
| 5-HS (10.000 rpm; 7 min) | 10.690 ± 0.4558 | 0.3131 ± 0.01065 | 0.9807 | 26.250 ± 1.335 | 0.2625 ± 0.01272 | 0.9590 |
| 6-HS (15.000 rpm; 7 min) | 13.150 ± 0.6038 | 0.2992 ± 0.01150 | 0.9755 | 30.690 ± 1.619 | 0.2637 ± 0.01318 | 0.9568 |
| 7-HS (5.000 rpm; 15 min) | 15.330 ± 0.7373 | 0.2511 ± 0.01204 | 0.9591 | 29.340 ± 1.488 | 0.2755 ± 0.01264 | 0.9638 |
| 8-HS (10.000 rpm; 15 min) | 15.380 ± 0.6970 | 0.2337 ± 0.01139 | 0.9558 | 26.260 ± 1.218 | 0.2953 ± 0.01152 | 0.9739 |
| 9-HS (15.000 rpm; 15 min) | 20.590 ± 1.0110 | 0.2381 ± 0.01233 | 0.9508 | 27.970 ± 1.232 | 0.3059 ± 0.01092 | 0.9782 |
| 10-HS (10.000 rpm; 7 min) | 14.460 ± 0.5999 | 0.3231 ± 0.01026 | 0.9827 | 27.480 ± 1.390 | 0.2581 ± 0.01265 | 0.9578 |
| 11-HS (10.000 rpm; 7 min) | 16.580 ± 0.8136 | 0.3355 ± 0.01211 | 0.9781 | 26.230 ± 1.495 | 0.2473 ± 0.01428 | 0.9422 |
Disclaimer/Publisher’s Note: The statements, opinions and data contained in all publications are solely those of the individual author(s) and contributor(s) and not of MDPI and/or the editor(s). MDPI and/or the editor(s) disclaim responsibility for any injury to people or property resulting from any ideas, methods, instructions or products referred to in the content. |
© 2025 by the authors. Licensee MDPI, Basel, Switzerland. This article is an open access article distributed under the terms and conditions of the Creative Commons Attribution (CC BY) license (https://creativecommons.org/licenses/by/4.0/).
Share and Cite
Santos, Y.R.; Andreo-Filho, N.; Lopes, P.S.; Araujo, D.R.; Sepulveda, A.F.; Sales, C.C.; Baby, A.R.; Duque, M.D.; Leite-Silva, V.R. The Influence of Complementary Processing Methods to Emulsification on the Sunscreen Emulsion Properties. Processes 2025, 13, 520. https://doi.org/10.3390/pr13020520
Santos YR, Andreo-Filho N, Lopes PS, Araujo DR, Sepulveda AF, Sales CC, Baby AR, Duque MD, Leite-Silva VR. The Influence of Complementary Processing Methods to Emulsification on the Sunscreen Emulsion Properties. Processes. 2025; 13(2):520. https://doi.org/10.3390/pr13020520
Chicago/Turabian StyleSantos, Yasmin R., Newton Andreo-Filho, Patricia S. Lopes, Daniele R. Araujo, Anderson F. Sepulveda, Caroline C. Sales, Andre R. Baby, Marcelo D. Duque, and Vânia R. Leite-Silva. 2025. "The Influence of Complementary Processing Methods to Emulsification on the Sunscreen Emulsion Properties" Processes 13, no. 2: 520. https://doi.org/10.3390/pr13020520
APA StyleSantos, Y. R., Andreo-Filho, N., Lopes, P. S., Araujo, D. R., Sepulveda, A. F., Sales, C. C., Baby, A. R., Duque, M. D., & Leite-Silva, V. R. (2025). The Influence of Complementary Processing Methods to Emulsification on the Sunscreen Emulsion Properties. Processes, 13(2), 520. https://doi.org/10.3390/pr13020520

