Variable-Speed Bearing Fault Diagnosis Based on BDVMD, FRTSMFrBSIE, and Parameter-Optimized GRU-MHSA
Abstract
1. Introduction
- A parameter-setting approach for VMD using the weighted spectral trend (WST) is proposed, addressing the challenge of parameter selection in VMD. Additionally, the Gini index (GI) is utilized to filter high-quality components and reconstruct the signal.
- By leveraging the advantages of fractional-order calculus and time-shift multiscale entropy, the FRTSMFrBSIE method is introduced to enhance the capability of Boltzmann-Shannon interaction entropy in representing fault feature information.
- The IDBO-GRU-MHSA method is proposed to address the limitations of traditional GRU in capturing complex sequential features and the difficulty of parameter setting in GRU-MHSA, thereby improving fault classification performance.
- An intelligent fault diagnosis method for variable-speed rolling bearings based on BDVMD-FRTSMFrBSIE and parameter-optimized GRU-MHSA is presented, demonstrating excellent fault diagnosis effectiveness.
2. Theoretical Foundations
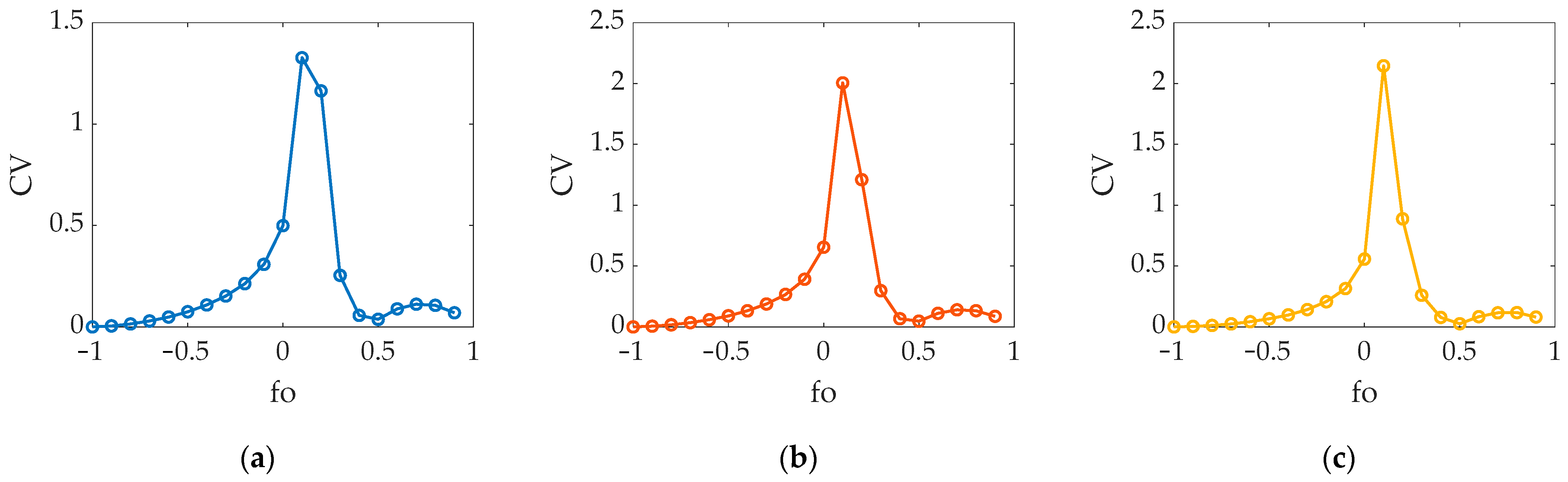
2.1. Bandwidth Division Variational Mode Decomposition
2.2. Fractional Domain Time-Shift Multiscale Fractional Boltzmann-Shannon Interaction Entropy
2.2.1. Fractional Boltzmann–Shannon Interaction Entropy
2.2.2. FRTSMFrBSIE
- Set the fractional order range to [0, 1] with a step size of 0.2 to perform the fractional Fourier transform (FRFT). The signal is transformed into the p order domain, and the signal y(t) after undergoing the FRFT transformation is expressed as follows:
- 2.
- For the sequence X = {xi, i = 1, 2, …, N} obtained from the p order domain transformation, it is divided into k subsequences. A new time-shifted subsequence Yα, k, is constructed as follows:
- 3.
- For the scale τ, the FrBSIE for each time-shifted sequence Yα, k is calculated according to Equation (10), resulting in the FrBSIE values for τ coarse-grained sequences. By averaging the τ time-shifted fractional Boltzmann-Shannon interaction entropy (TSFrBSIE) values, obtaining the TSMFrBSIE, expressed as follows:
- 4.
- By combining the TSMFrBSIE values from different fractional domains, the FRTSMFrBSIE is obtained, expressed as follows:
2.3. Improved Dung Beetle Optimization
2.4. Gated Recurrent Unit with Multi-Head Self-Attention
3. The Proposed Method
4. Experimental Validation
4.1. Data Acquisition
4.2. Signal Decomposition
4.3. Feature Extraction
4.4. Fault Classification
4.5. Comparative Experiments
5. Conclusions
- The BDVMD algorithm addresses the challenge of parameter selection in the VMD algorithm, effectively denoising the fault vibration signals of variable-speed rolling bearings. Combined with the GI, it enables the accurate selection of high-quality components and signal reconstruction, thereby significantly improving the SNR.
- The proposed FRTSMFrBSIE method integrates the advantages of fractional calculus and time-shift multiscale entropy, enhancing the ability of Shannon interaction entropy to represent fault feature information. Experimental results indicate that the entropy values of various fault features exhibit excellent distinguishability.
- The IDBO-GRU-MHSA resolves the limitations of traditional GRU in capturing complex sequence features and the challenges of parameter settings in GRU-MHSA. It demonstrates high accuracy and reliability in fault feature classification.
- This study proposes an intelligent fault diagnosis method for variable-speed bearings based on BDVMD, FRTSMFrBSIE and IDBO-GRU-MHSA. Through experimental analysis and comparative experiments, the method is shown to exhibit outstanding performance in terms of fault diagnosis accuracy and stability.
Author Contributions
Funding
Data Availability Statement
Acknowledgments
Conflicts of Interest
References
- Wei, M.; Jiang, L.; Zhang, D.; Wang, B.; Tu, F.; Jiang, P. Bearing Fault Feature Extraction Method Based on Variational Mode Decomposition of Fractional Fourier Transform. Russ. J. Nondestruct. Test. 2022, 58, 221–235. [Google Scholar] [CrossRef]
- Feng, Z.; Chen, X.; Wang, T. Time-varying demodulation analysis for rolling bearing fault diagnosis under variable speed conditions. J. Sound. Vib. 2017, 400, 71–85. [Google Scholar] [CrossRef]
- Wang, Z.; Yang, J.; Guo, Y. Unknown fault feature extraction of rolling bearings under variable speed conditions based on statistical complexity measures. Mech. Syst. Signal Process. 2022, 172, 108964. [Google Scholar] [CrossRef]
- Ji, M.; Peng, G.; He, J.; Liu, S.; Chen, Z.; Li, S. A Two-Stage, Intelligent Bearing-Fault-Diagnosis Method Using Order-Tracking and a One-Dimensional Convolutional Neural Network with Variable Speeds. Sensors 2021, 21, 675. [Google Scholar] [CrossRef]
- Chen, B.; Zhang, W.; Gu, J.X.; Song, D.; Cheng, Y.; Zhou, Z.; Gu, F.; Ball, A.D. Product envelope spectrum optimization-gram: An enhanced envelope analysis for rolling bearing fault diagnosis. Mech. Syst. Signal Process. 2023, 193, 110270. [Google Scholar] [CrossRef]
- Huang, N.E.; Shen, Z.; Long, S.R.; Wu, M.C.; Shih, H.H.; Zheng, Q.; Yen, N.C.; Tung, C.C.; Liu, H.H. The empirical mode decomposition and the Hilbert spectrum for nonlinear and non-stationary time series analysis. Proc. R. Soc. Lond. Ser. A 1998, 454, 903–995. [Google Scholar] [CrossRef]
- Yin, C.; Wang, Y.; Ma, G.; Wang, Y.; Sun, Y.; He, Y. Weak fault feature extraction of rolling bearings based on improved ensemble noise-reconstructed EMD and adaptive threshold denoising. Mech. Syst. Signal Process. 2022, 171, 108834. [Google Scholar] [CrossRef]
- Liu, Z.; Peng, D.; Zuo, M.J.; Xia, J.; Qin, Y. Improved Hilbert-Huang transform with soft sifting stopping criterion and its application to fault diagnosis of wheelset bearings. ISA Trans. 2022, 125, 426–444. [Google Scholar] [CrossRef]
- Liang, Y.; Lin, Y.; Lu, Q. Forecasting gold price using a novel hybrid model with ICEEMDAN and LSTM-CNN-CBAM. Expert Syst. Appl. 2022, 206, 117847. [Google Scholar] [CrossRef]
- Li, Y.; Liang, X.; Yang, Y.; Xu, M.; Huang, W. Early fault diagnosis of rotating machinery by combining differential rational spline-based LMD and K-L divergence. IEEE Trans. Instrum. Meas. 2017, 99, 3077–3090. [Google Scholar] [CrossRef]
- Liu, H.; Fang, H.; Yu, X.; Xia, Y. Adaptive Signal Extraction Based on RLMD-SVD for Water Pipeline Leakage Localization. IEEE Sens. J. 2024, 24, 26522–26533. [Google Scholar] [CrossRef]
- Dragomiretskiy, K.; Zosso, D. Variational mode decomposition. IEEE Trans. Signal Process. 2013, 62, 531–544. [Google Scholar] [CrossRef]
- Li, H.; Liu, T.; Wu, X.; Chen, Q. An optimized VMD method and its applications in bearing fault diagnosis. Measurement 2020, 166, 108185. [Google Scholar] [CrossRef]
- Nassef, M.G.A.; Hussein, T.M.; Mokhiamar, O. An adaptive variational mode decomposition based on sailfish optimization algorithm and Gini index for fault identification in rolling bearings. Measurement 2021, 173, 108514. [Google Scholar] [CrossRef]
- Yan, X.; Jia, M. Application of CSA-VMD and optimal scale morphological slice bispectrum in enhancing outer race fault detection of rolling element bearings. Mech. Syst. Signal Process. 2019, 122, 56–86. [Google Scholar] [CrossRef]
- Wang, S.; Li, Y.; Noman, K.; Wang, D.; Feng, K.; Liu, Z.; Deng, Z. Cumulative spectrum distribution entropy for rotating machinery fault diagnosis. Mech. Syst. Signal Process. 2024, 206, 110905. [Google Scholar] [CrossRef]
- Aguayo-Tapia, S.; Avalos-Almazan, G.; Rangel-Magdaleno, J.d.J. Entropy-Based Methods for Motor Fault Detection: A Review. Entropy 2024, 26, 299. [Google Scholar] [CrossRef]
- Pincus, S.M. Approximate entropy as a measure of system complexity. Proc. Natl. Acad. Sci. USA 1991, 88, 2297–2301. [Google Scholar] [CrossRef] [PubMed]
- Richman, J.S.; Moorman, J.R. Physiological time-series analysis using approximate entropy and sample entropy. Am. J. Physiol. Heart Circ. Physiol. 2000, 278, H2039–H2049. [Google Scholar] [CrossRef] [PubMed]
- Costa, M.; Goldberger, A.L.; Peng, C.K. Multiscale entropy analysis of biological signals. Phys. Rev. E 2005, 71, 021906. [Google Scholar] [CrossRef] [PubMed]
- Wang, Z.; Li, G.; Yao, L.; Cai, Y.; Lin, T.; Zhang, J.; Dong, H. Intelligent fault detection scheme for constant-speed wind turbines based on improved multiscale fuzzy entropy and adaptive chaotic Aquila optimization-based support vector machine. ISA Trans. 2023, 138, 582–602. [Google Scholar] [CrossRef]
- Pham, T.D. Time-shift multiscale entropy analysis of physiological signals. Entropy 2017, 19, 257. [Google Scholar] [CrossRef]
- Li, Z.; Li, L.; Chen, R.; Zhang, Y.; Cui, Y.; Wu, N. A novel scheme based on modified hierarchical time-shift multi-scale amplitude-aware permutation entropy for rolling bearing condition assessment and fault recognition. Measurement 2024, 224, 113907. [Google Scholar] [CrossRef]
- Machado, J.T. Fractional order generalized information. Entropy 2014, 16, 2350–2361. [Google Scholar] [CrossRef]
- Li, Y.; Tang, B.; Geng, B.; Jiao, S. Fractional Order Fuzzy Dispersion Entropy and Its Application in Bearing Fault Diagnosis. Fractal Fract. 2022, 6, 544. [Google Scholar] [CrossRef]
- Raouf, I.; Kumar, P.; Kim, H.S. Deep learning-based fault diagnosis of servo motor bearing using the attention-guided feature aggregation network. Expert Syst. Appl. 2024, 258, 125137. [Google Scholar] [CrossRef]
- Liu, H.; Zhou, J.; Zheng, Y.; Jiang, W.; Zhang, Y. Fault diagnosis of rolling bearings with recurrent neural network-based autoencoders. ISA Trans. 2018, 77, 167–178. [Google Scholar] [CrossRef]
- Huang, T.; Zhang, Q.; Tang, X.; Zhao, S.; Lu, X. A novel fault diagnosis method based on CNN and LSTM and its application in fault diagnosis for complex systems. Artif. Intell. Rev. 2022, 55, 1289–1315. [Google Scholar] [CrossRef]
- Zhang, S.; Zhang, S.; Wang, B.; Habetler, T.G. Deep learning algorithms for bearing fault diagnostics—A comprehensive review. IEEE Access 2020, 8, 29857–29881. [Google Scholar] [CrossRef]
- Mao, X.; Zhang, F.; Wang, G.; Chu, Y.; Yuan, K. Semi-random subspace with Bi-GRU: Fusing statistical and deep representation features for bearing fault diagnosis. Measurement 2021, 173, 108603. [Google Scholar] [CrossRef]
- Wan, L.; Huang, L.; Ning, J.; Li, C.; Li, K. A novel meta-transfer learning approach via convolutional multi-head self-attention network for few-shot fault diagnosis. Knowl.-Based Syst. 2024, 299, 112113. [Google Scholar] [CrossRef]
- Zhang, H.; Yang, S.; Xu, D. An improved optimization dung beetle algorithm. In Proceedings of the 2023 4th International Symposium on Computer Engineering and Intelligent Communications (ISCEIC), Nanjing, China, 18–20 August 2023; pp. 17–20. [Google Scholar] [CrossRef]
- Zhu, F.; Li, G.; Tang, H.; Li, Y.; Lv, X.; Wang, X. Dung beetle optimization algorithm based on quantum computing and multi-strategy fusion for solving engineering problems. Expert Syst. Appl. 2024, 236, 121219. [Google Scholar] [CrossRef]
- Chen, S.; Guo, L.; Fan, J.; Yi, C.; Wang, K.; Zhai, W. Bandwidth-aware adaptive chirp mode decomposition for railway bearing fault diagnosis. Struct. Health Monit. 2024, 23, 876–902. [Google Scholar] [CrossRef]
- Huang, Y.; Lin, J.; Liu, Z.; Wu, W. A modified scale-space guiding variational mode decomposition for high-speed railway bearing fault diagnosis. J. Sound Vibr. 2019, 444, 216–234. [Google Scholar] [CrossRef]
- Diggans, C.T.; AlMomani, A.A.R. Boltzmann–Shannon interaction entropy: A normalized measure for continuous variables with an application as a subsample quality metric. Chaos 2023, 33, 123131. [Google Scholar] [CrossRef] [PubMed]
- Hashim, F.A.; Houssein, E.H.; Mostafa, R.R.; Hussien, A.G.; Helmy, F. An efficient adaptive-mutated coati optimization algorithm for feature selection and global optimization. Alex. Eng. J. 2023, 85, 29–48. [Google Scholar] [CrossRef]
- Naruei, I.; Keynia, F.; Molahosseini, A.S. Hunter–prey optimization: Algorithm and applications. Soft Comput. 2022, 26, 1279–1314. [Google Scholar] [CrossRef]
- Rezazadeh, N.; Perfetto, D.; de Oliveira, M.; De Luca, A.; Lamanna, G. A Fine-Tuning Deep Learning Framework to Palliate Data Distribution Shift Effects in Rotary Machine Fault Detection. Struct. Health Monit. 2024, 14759217241295951. [Google Scholar] [CrossRef]



























| Bearing Type | Pitch Diameter | Ball Diameter | Number of Balls | Contact Angle |
|---|---|---|---|---|
| ER16K | 38.52 mm | 7.94 mm | 9 | 0° |
| Method | NULL | BDVMD | VMD | REMD | LMD |
|---|---|---|---|---|---|
| SNR (dB) | −3.0231 | 0.6283 | 0.4679 | −1.1966 | −1.2035 |
| SNR (dB) | −0.0323 | 1.7276 | 1.6447 | 0.3793 | 0.4146 |
| SNR (dB) | 2.9832 | 3.2838 | 3.2394 | 2.9919 | 3.0433 |
| Method | Signal Decomposition | Feature Value | Classification Model | Average (%) | Best (%) | Std | Time (s) |
|---|---|---|---|---|---|---|---|
| Proposed Method | DBVMD | FRTSMFrBSIE | IDBO-GRU-MHSA | 98.063 | 98.750 | 0.438 | 9.239 |
| Model 1 | DBVMD | FRTSMFrBSIE | IDBO-LSTM-MHSA | 97.125 | 98.125 | 0.848 | 13.904 |
| Model 2 | DBVMD | FRTSMFrBSIE | LSTM | 93.875 | 96.625 | 1.335 | 8.799 |
| Model 3 | DBVMD | FRTSMFrBSIE | BP | 92.625 | 94.375 | 1.474 | 7.106 |
| Model 4 | DBVMD | TSMFrBSIE | IDBO-GRU-MHSA | 93.563 | 97.500 | 2.725 | 8.010 |
| Model 5 | DBVMD | FRMFrBSIE | IDBO-GRU-MHSA | 92.063 | 95.625 | 1.855 | 9.612 |
| Model 6 | DBVMD | FRTSMFrSE | IDBO-GRU-MHSA | 94.063 | 97.500 | 1.795 | 10.149 |
| Model 7 | REMD | FRTSMFrBSIE | IDBO-GRU-MHSA | 87.875 | 91.875 | 1.899 | 9.655 |
| Model 8 | LMD | FRTSMFrBSIE | IDBO-GRU-MHSA | 85.250 | 90.625 | 2.439 | 9.861 |
| Model 9 | REMD | FRMFrBSIE | LSTM | 79.938 | 83.750 | 2.155 | 8.581 |
| Model 10 | LMD | FRTSMFrSE | BP | 82.275 | 86.875 | 2.568 | 7.404 |
Disclaimer/Publisher’s Note: The statements, opinions and data contained in all publications are solely those of the individual author(s) and contributor(s) and not of MDPI and/or the editor(s). MDPI and/or the editor(s) disclaim responsibility for any injury to people or property resulting from any ideas, methods, instructions or products referred to in the content. |
© 2025 by the authors. Licensee MDPI, Basel, Switzerland. This article is an open access article distributed under the terms and conditions of the Creative Commons Attribution (CC BY) license (https://creativecommons.org/licenses/by/4.0/).
Share and Cite
Ma, J.; Wei, J.; Li, Q.; Xia, L. Variable-Speed Bearing Fault Diagnosis Based on BDVMD, FRTSMFrBSIE, and Parameter-Optimized GRU-MHSA. Processes 2025, 13, 498. https://doi.org/10.3390/pr13020498
Ma J, Wei J, Li Q, Xia L. Variable-Speed Bearing Fault Diagnosis Based on BDVMD, FRTSMFrBSIE, and Parameter-Optimized GRU-MHSA. Processes. 2025; 13(2):498. https://doi.org/10.3390/pr13020498
Chicago/Turabian StyleMa, Jie, Jun Wei, Qiao Li, and Lei Xia. 2025. "Variable-Speed Bearing Fault Diagnosis Based on BDVMD, FRTSMFrBSIE, and Parameter-Optimized GRU-MHSA" Processes 13, no. 2: 498. https://doi.org/10.3390/pr13020498
APA StyleMa, J., Wei, J., Li, Q., & Xia, L. (2025). Variable-Speed Bearing Fault Diagnosis Based on BDVMD, FRTSMFrBSIE, and Parameter-Optimized GRU-MHSA. Processes, 13(2), 498. https://doi.org/10.3390/pr13020498
