Sign in to use this feature.

Years

Between: -

Subjects

remove_circle_outline
remove_circle_outline
remove_circle_outline
remove_circle_outline
remove_circle_outline
remove_circle_outline
remove_circle_outline
remove_circle_outline
remove_circle_outline

Journals

Article Types

Countries / Regions

Search Results (91)

Search Parameters:
Keywords = self-injection production

Order results
Result details
Results per page
Select all
Export citation of selected articles as:
14 pages, 2649 KB  
Article
The Influence of the Depth of Tubing in Downward-Inclined Horizontal Wells for Shale Gas on the Drainage and Production Effect
by Jingjia Yang, Lujie Zhang, Guofa Ji, Junliang Li and Zilong Liu
Processes 2025, 13(10), 3348; https://doi.org/10.3390/pr13103348 - 19 Oct 2025
Viewed by 169
Abstract
Shale gas pressure post-production accompanies the entire production process. The depth of the tubing is crucial for the entire life cycle of production, especially influencing the production dynamics in the middle and later stages of downward-inclined Wells. The full dynamic multiphase flow simulation [...] Read more.
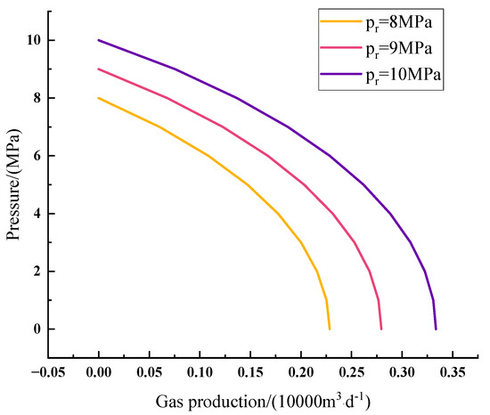
Shale gas pressure post-production accompanies the entire production process. The depth of the tubing is crucial for the entire life cycle of production, especially influencing the production dynamics in the middle and later stages of downward-inclined Wells. The full dynamic multiphase flow simulation method is adopted, combined with wellbore structure, fluid composition (gas), gas layer temperature and pressure gradient, production dynamic data, etc., to establish the wellbore structure model of the gas well, simulate the production dynamics under different formation pressures and tubing depths, and determine a reasonable tubing depth. Considering the material balance of the constant-volume gas reservoir and the critical formation pressure of the gas well’s self-injection, the cumulative gas production of the gas well at different tubing depths was analyzed. Taking 11210-1-well as an example, it was believed that when the tubing depth reached 4000 m, the self-injection production time could be extended by 206 days, and the cumulative gas production increased by 5.1 × 106 m3, compared with the tubing depth of 2983 m. The gas production is increased by approximately 12.2 × 106 cubic meters when the tubing depth is 2000 m. The research conclusion can provide theoretical guidance for the optimization of tubing depth during the drainage and production process of shale gas downward-inclined horizontal Wells. Full article
(This article belongs to the Section Energy Systems)
Show Figures

Figure 1

20 pages, 6483 KB  
Article
Loop-MapNet: A Multi-Modal HDMap Perception Framework with SDMap Dynamic Evolution and Priors
by Yuxuan Tang, Jie Hu, Daode Zhang, Wencai Xu, Feiyu Zhao and Xinghao Cheng
Appl. Sci. 2025, 15(20), 11160; https://doi.org/10.3390/app152011160 - 17 Oct 2025
Viewed by 269
Abstract
High-definition maps (HDMaps) are critical for safe autonomy on structured roads. Yet traditional production—relying on dedicated mapping fleets and manual quality control—is costly and slow, impeding large-scale, frequent updates. Recently, standard-definition maps (SDMaps) derived from remote sensing have been adopted as priors to [...] Read more.
High-definition maps (HDMaps) are critical for safe autonomy on structured roads. Yet traditional production—relying on dedicated mapping fleets and manual quality control—is costly and slow, impeding large-scale, frequent updates. Recently, standard-definition maps (SDMaps) derived from remote sensing have been adopted as priors to support HDMap perception, lowering cost but struggling with subtle urban changes and localization drift. We propose Loop-MapNet, a self-evolving, multimodal, closed-loop mapping framework. Loop-MapNet effectively leverages surround-view images, LiDAR point clouds, and SDMaps; it fuses multi-scale vision via a weighted BiFPN, and couples PointPillars BEV and SDMap topology encoders for cross-modal sensing. A Transformer-based bidirectional adaptive cross-attention aligns SDMap with online perception, enabling robust fusion under heterogeneity. We further introduce a confidence-guided masked autoencoder (CG-MAE) that leverages confidence and probabilistic distillation to both capture implicit SDMap priors and enhance the detailed representation of low-confidence HDMap regions. With spatiotemporal consistency checks, Loop-MapNet incrementally updates SDMaps to form a perception–mapping–update loop, compensating remote-sensing latency and enabling online map optimization. On nuScenes, within 120 m, Loop-MapNet attains 61.05% mIoU, surpassing the best baseline by 0.77%. Under extreme localization errors, it maintains 60.46% mIoU, improving robustness by 2.77%; CG-MAE pre-training raises accuracy in low-confidence regions by 1.72%. These results demonstrate advantages in fusion and robustness, moving beyond one-way prior injection and enabling HDMap–SDMap co-evolution for closed-loop autonomy and rapid SDMap refresh from remote sensing. Full article
(This article belongs to the Section Computing and Artificial Intelligence)
Show Figures

Figure 1

18 pages, 2063 KB  
Article
Utilization of Aflatoxin-B1-Contaminated Corn by Yellow Mealworm Larvae for Common Carp Feed and Assessing Residual Frass Toxicity by Zebrafish Embryo Microinjection
by Zoltán Vajnai, Zsolt Csenki-Bakos, Balázs Csorbai, Tamás Bartucz, Illés Bock, Endre Csókás, Mátyás Cserháti, Balázs Kriszt and István Szabó
Int. J. Mol. Sci. 2025, 26(20), 9851; https://doi.org/10.3390/ijms26209851 - 10 Oct 2025
Viewed by 406
Abstract
The aim of our study was to make one step further to verify a method that can turn back mycotoxin-contaminated crops into the circular economy. Thus, the possibility of utilizing aflatoxin B1 (AfB1)-contaminated corn by yellow mealworms (Tenebrio molitor) was investigated [...] Read more.
The aim of our study was to make one step further to verify a method that can turn back mycotoxin-contaminated crops into the circular economy. Thus, the possibility of utilizing aflatoxin B1 (AfB1)-contaminated corn by yellow mealworms (Tenebrio molitor) was investigated to be used as fish feed components. Four different self-contaminated corn samples were used in our study, of which one was below and three were above the threshold limit (20 µg/kg) regulated by the European Union. The highest applied AfB1 concentration in our study for insect feeding was 415 µg/kg (more than twenty times higher than the threshold). After a five-week feeding period insect mortality was not increased, even in the highly contaminated group, compared to the negative control. The mycotoxin in the dried and ground insects was only detected in the case of feeding with the highest-concentration corn, however it remained as low as 2.2 µg/kg. For studying the possible physiology effects, insect grounds were used in feeding experiments of common carp (Cyprinus carpio) fries. Results showed that insect meal, even if originated from a highly mycotoxin-contaminated crop, did not have a significant effect on the examined fish fries, compared with the control groups. The AfB1 concentrations of the leftover frass after insect rearing were also measured, and in the case of the highest concentration mealworm group, it was 157.6 µg/kg (other groups were under 20 µg/kg). Toxicity of frass extracts from different contaminated groups was also studied using microinjected zebrafish (Danio rerio) embryos. Extracts of the highly contaminated frass samples caused 91.67 ± 3.33% mortality and led to numerous phenotypic changes, which highlights the need for responsible usage of the by-product. However, the effects of injected frass samples, originating from corn with lower and more environmentally relevant AfB1 concentrations, were significantly lower. Full article
(This article belongs to the Special Issue Toxicological Impacts of Emerging Contaminants on Aquatic Organisms)
Show Figures

Graphical abstract

36 pages, 6078 KB  
Article
The Numerical Evaluation of Hydrate Saturation in Marine Sediment During the Injection Process of Self-Heat Generating Fluid
by Kewei Zhang, Kaixiang Shen, Yanjiang Yu, Yingsheng Wang, Jiawei Zhou and Jing Zeng
J. Mar. Sci. Eng. 2025, 13(9), 1772; https://doi.org/10.3390/jmse13091772 - 13 Sep 2025
Viewed by 420
Abstract
Marine gas hydrates are recognized as a promising offshore energy resource. Self-heat fluid injection is an innovative thermal-enhanced gas recovery technique for hydrate exploitation engineering. This study numerically investigates hydrate saturation during the self-heating reagent injection process in a sub-sea hydrate reservoir, decoupled [...] Read more.
Marine gas hydrates are recognized as a promising offshore energy resource. Self-heat fluid injection is an innovative thermal-enhanced gas recovery technique for hydrate exploitation engineering. This study numerically investigates hydrate saturation during the self-heating reagent injection process in a sub-sea hydrate reservoir, decoupled from gas production interference. This process employs two consecutive stages: reactive chemical flow stage followed by non-reactive flow stage. The simulation output parameters encompass reservoir temperature, fluid saturation, thermal conductivity, and heat flow rate. The base case demonstrates that fluid injection elevates reservoir temperature from 13.0 °C to 29.3 °C and reduces hydrate saturation from 0.40 to 0.21 through coupled heat–mass transfer mechanisms during the reactive flow stage. In the consequent non-reactive flow stage, hydrate saturation decreases to zero. Sensitivity analysis reveals that initial permeability variation governs the hydrate saturation and temperature during the non-reactive phase. The permeability range of less than 15 mD is the optimal threshold preventing hydrate reformation during fluid injection. 55–70 mD permeability triggers severe secondary hydrate generation, which decreases the fluid application feasibility. Fluid flooding demonstrates superior hydrate dissociation efficacy compared to in situ thermal stimulation. This study develops a novel simulation approach to characterize marine hydrate saturation dynamics. Full article
Show Figures

Figure 1

14 pages, 6587 KB  
Article
Research on the Optimization of Self-Injection Production Effects in the Middle and Later Stages of Shale Gas Downdip Wells Based on the Depth of Pipe String
by Lujie Zhang, Guofa Ji and Junliang Li
Appl. Sci. 2025, 15(15), 8633; https://doi.org/10.3390/app15158633 - 4 Aug 2025
Viewed by 367
Abstract
In the final phases of casing production, shale gas horizontal wells with a downward slope frequently find it difficult to sustain self-flow production. The ideal tubing insertion depth for self-flow production in gas wells has not been thoroughly studied, even though the timely [...] Read more.
In the final phases of casing production, shale gas horizontal wells with a downward slope frequently find it difficult to sustain self-flow production. The ideal tubing insertion depth for self-flow production in gas wells has not been thoroughly studied, even though the timely adoption of tubing production can successfully prolong the self-flow production period. Using a fully dynamic multiphase flow simulation program, the ideal tubing depth for gas well self-flow production was ascertained. A wellbore structural model was built using a particular well as an example. By altering the tubing depth, the formation pressure limit values necessary to sustain gas well self-flow production at various tubing depths were simulated. The appropriate tubing depth for gas well self-flow production was examined, along with the well’s cumulative gas output at various tubing depths. Using the example as a case study, it was discovered that the critical formation pressure for gas well self-flowing production dropped to 7.8 MPa when the tubing was lowered to 2600 m. This effectively increased cumulative production by 56.19 × 106 m3 and extended the self-flow production time by roughly 135 days. The study’s findings offer strong evidence in favor of maximizing shale gas wells’ self-flow production performance in later phases of production. Full article
Show Figures

Figure 1

29 pages, 5215 KB  
Article
Supply Chain Cost Analysis for Interior Lighting Systems Based on Polymer Optical Fibres Compared to Optical Injection Moulding
by Jan Kallweit, Fabian Köntges and Thomas Gries
Textiles 2025, 5(3), 29; https://doi.org/10.3390/textiles5030029 - 24 Jul 2025
Viewed by 717
Abstract
Car interior design should evoke emotions, offer comfort, convey safety and at the same time project the brand identity of the car manufacturer. Lighting is used to address these functions. Modules required for automotive interior lighting often feature injection-moulded (IM) light guides, whereas [...] Read more.
Car interior design should evoke emotions, offer comfort, convey safety and at the same time project the brand identity of the car manufacturer. Lighting is used to address these functions. Modules required for automotive interior lighting often feature injection-moulded (IM) light guides, whereas woven fabrics with polymer optical fibres (POFs) offer certain technological advantages and show first-series applications in cars. In the future, car interior illumination will become even more important in the wake of megatrends such as autonomous driving. Since the increase in deployment of these technologies facilitates a need for an economical comparison, this paper aims to deliver a cost-driven approach to fulfil the aforementioned objective. Therefore, the cost structures of the supply chains for an IM-based and a POF-based illumination module are analysed. The employed research methodologies include an activity-based costing approach for which the data is collected via document analysis and guideline-based expert interviews. To account for data uncertainty, Monte Carlo simulations are conducted. POF-based lighting modules have lower initial costs due to continuous fibre production and weaving processes, but are associated with higher unit costs. This is caused by the discontinuous assembly of the rolled woven fabric which allows postponement strategies. The development costs of the mould generate high initial costs for IM light guides, which makes them beneficial only for high quantities of produced light guides. For the selected scenario, the POF-based module’s self-costs are 11.05 EUR/unit whereas the IM module’s self-costs are 14,19 EUR/unit. While the cost structures are relatively independent from the selected scenario, the actual self-costs are highly dependent on boundary conditions such as production volume. Full article
Show Figures

Figure 1

32 pages, 6617 KB  
Article
Hyaluronan-Containing Injectable Magnesium–Calcium Phosphate Cements Demonstrated Improved Performance, Cytocompatibility, and Ability to Support Osteogenic Differentiation In Vitro
by Natalia S. Sergeeva, Polina A. Krokhicheva, Irina K. Sviridova, Margarita A. Goldberg, Dinara R. Khayrutdinova, Suraya A. Akhmedova, Valentina A. Kirsanova, Olga S. Antonova, Alexander S. Fomin, Ivan V. Mikheev, Aleksander V. Leonov, Pavel A. Karalkin, Sergey A. Rodionov, Sergey M. Barinov, Vladimir S. Komlev and Andrey D. Kaprin
Int. J. Mol. Sci. 2025, 26(14), 6624; https://doi.org/10.3390/ijms26146624 - 10 Jul 2025
Viewed by 963
Abstract
Due to their biocompatibility, biodegradability, injectability, and self-setting properties, calcium–magnesium phosphate cements (MCPCs) have proven to be effective biomaterials for bone defect filling. Two types of MCPC powders based on the magnesium whitlockite or stanfieldite phases with MgO with different magnesium contents (20 [...] Read more.
Due to their biocompatibility, biodegradability, injectability, and self-setting properties, calcium–magnesium phosphate cements (MCPCs) have proven to be effective biomaterials for bone defect filling. Two types of MCPC powders based on the magnesium whitlockite or stanfieldite phases with MgO with different magnesium contents (20 and 60%) were synthesised. The effects of magnesium ions (Mg2+) on functional properties such as setting time, temperature, mechanical strength, injectability, cohesion, and in vitro degradation kinetics, as well as cytocompatibility in the MG-63 cell line and the osteogenic differentiation of BM hMSCs in vitro, were analysed. The introduction of NaHA into the cement liquid results in an increase in injectability of up to 83%, provides a compressive strength of up to 22 MPa, and shows a reasonable setting time of about 20 min without an exothermic reaction. These cements had the ability to support MG-63 cell adhesion, proliferation, and spread and the osteogenic differentiation of BM hMSCs in vitro, stimulating ALPL, SP7, and RUNX2 gene expression and ALPL production. The combination of the studied physicochemical and biological properties of the developed cement compositions characterises them as bioactive, cytocompatible, and promising biomaterials for bone defect reconstruction. Full article
Show Figures

Graphical abstract

23 pages, 4417 KB  
Review
Underground Hydrogen Storage in Salt Cavern: A Review of Advantages, Challenges, and Prospects
by Xiaojun Qian, Shaohua You, Ruizhe Wang, Yunzhi Yue, Qinzhuo Liao, Jiacheng Dai, Shouceng Tian and Xu Liu
Sustainability 2025, 17(13), 5900; https://doi.org/10.3390/su17135900 - 26 Jun 2025
Cited by 2 | Viewed by 4759
Abstract
The transition to a sustainable energy future hinges on the development of reliable large-scale hydrogen storage solutions to balance the intermittency of renewable energy and decarbonize hard-to-abate industries. Underground hydrogen storage (UHS) in salt caverns emerged as a technically and economically viable strategy, [...] Read more.
The transition to a sustainable energy future hinges on the development of reliable large-scale hydrogen storage solutions to balance the intermittency of renewable energy and decarbonize hard-to-abate industries. Underground hydrogen storage (UHS) in salt caverns emerged as a technically and economically viable strategy, leveraging the unique geomechanical properties of salt formations—including low permeability, self-healing capabilities, and chemical inertness—to ensure safe and high-purity hydrogen storage under cyclic loading conditions. This review provides a comprehensive analysis of the advantages of salt cavern hydrogen storage, such as rapid injection and extraction capabilities, cost-effectiveness compared to other storage methods (e.g., hydrogen storage in depleted oil and gas reservoirs, aquifers, and aboveground tanks), and minimal environmental impact. It also addresses critical challenges, including hydrogen embrittlement, microbial activity, and regulatory fragmentation. Through global case studies, best operational practices for risk mitigation in real-world applications are highlighted, such as adaptive solution mining techniques and microbial monitoring. Focusing on China’s regional potential, this study evaluates the hydrogen storage feasibility of stratified salt areas such as Jiangsu Jintan, Hubei Yunying, and Henan Pingdingshan. By integrating technological innovation, policy coordination, and cross-sector collaboration, salt cavern hydrogen storage is poised to play a pivotal role in realizing a resilient hydrogen economy, bridging the gap between renewable energy production and industrial decarbonization. Full article
Show Figures

Figure 1

16 pages, 2185 KB  
Article
Maximizing Energy Recovery from Waste Tires Through Cement Production Optimization in Togo—A Case Study
by Mona-Maria Narra, Essossinam Beguedou, Satyanarayana Narra and Michael Nelles
Waste 2025, 3(2), 19; https://doi.org/10.3390/waste3020019 - 8 Jun 2025
Viewed by 1576
Abstract
The cement industry faces increasing energy costs and environmental pressures, driving the adoption of alternative fuels derived from waste materials. In Togo, approximately 350,000 t of end-of-life tires (ELT) are generated annually, creating significant environmental and health hazards through uncontrolled disposal and burning [...] Read more.
The cement industry faces increasing energy costs and environmental pressures, driving the adoption of alternative fuels derived from waste materials. In Togo, approximately 350,000 t of end-of-life tires (ELT) are generated annually, creating significant environmental and health hazards through uncontrolled disposal and burning practices. This study investigated the technical feasibility and economic viability of incorporating waste tires as an alternative fuel in cement manufacturing. Tire-derived fuel (TDF) performance was evaluated by comparing pre-processed industrial tires with unprocessed ones, focusing on clinker production loss, elemental composition, heating values, and bulk density. The results demonstrate that TDF exhibits superior performance characteristics, with the highest heating values, and meets all the required specifications for cement production. In contrast, whole tire incineration fails to satisfy the recommended criteria, necessitating blending with conventional fuels to maintain clinker quality and combustion efficiency. The investigation revealed no significant adverse effects on production processes or clinker quality while achieving substantial reductions in nitrogen and sulfur oxide emissions. The experimental results were compared with the theoretical burnout times to optimize the shredding operations and injection methods. However, several challenges remain unaddressed, including the absence of streamlined handling processes, limited understanding of long-term ecological and health impacts, and insufficient techno-economic assessments. Future research should prioritize identifying critical aging points, investigating self-rejuvenating behaviors, and quantifying long-term environmental implications. These findings provide a foundation for developing computational models to optimize the mixing ratios of alternative and fossil fuels in cement manufacturing, offering significant environmental, economic, and societal benefits for the cement industry. Full article
Show Figures

Figure 1

23 pages, 5125 KB  
Article
Development of a Water-Sensitive Self-Thickening Emulsion Temporary Plugging Diverting Agent for High-Temperature and High-Salinity Reservoirs
by Chong Liang, Ning Qi, Liqiang Zhao, Xuesong Li and Zhenliang Li
Polymers 2025, 17(11), 1543; https://doi.org/10.3390/polym17111543 - 1 Jun 2025
Cited by 1 | Viewed by 682
Abstract
In oil and gas production, reservoir heterogeneity causes plugging removal fluids to preferentially enter high-permeability zones, hindering effective production enhancement in low-permeability reservoirs. Traditional chemical diverting agents exhibit insufficient stability in high-temperature, high-salinity environments, risking secondary damage. To address these challenges, this study [...] Read more.
In oil and gas production, reservoir heterogeneity causes plugging removal fluids to preferentially enter high-permeability zones, hindering effective production enhancement in low-permeability reservoirs. Traditional chemical diverting agents exhibit insufficient stability in high-temperature, high-salinity environments, risking secondary damage. To address these challenges, this study developed a water-sensitive self-thickening emulsion, targeting improved high-temperature stability, selective plugging, and easy flowback performance. Formulation optimization was achieved via orthogonal experiments and oil–water ratio adjustment, combined with particle size regulation and viscosity characterization. Core plugging experiments demonstrated the new emulsion system’s applicability and diverting effects. Results showed that under 150 °C and 15 × 104 mg/L NaCl, the emulsion maintained a stable viscosity of above 302.7 mPa·s, with particle size D50 increasing from 31.1 μm to 71.2 μm, exceeding API RP 13A’s 100 mPa·s threshold for acidizing diverters, providing an efficient plugging solution for high-temperature, high-salinity reservoirs. The injection pressure difference in high-permeability cores stabilized at 2.1 MPa, significantly enhancing waterflood sweep efficiency. The self-thickening mechanism, driven by salt-induced droplet coalescence, enables selective plugging in heterogeneous formations, as validated by core flooding tests showing a 40% higher pressure differential in high-permeability zones compared to conventional systems. Full article
(This article belongs to the Section Polymer Applications)
Show Figures

Figure 1

17 pages, 9105 KB  
Article
The Law of Acid Pressure Fracture Propagation in Maokou Formation Carbonate Reservoir in Central Sichuan
by Yu Fan, Hailong Jiang, Zhouyang Wang, Jinsui Li, Xing Yang, Zefei Lv, Xiangfei Zhang and Xueyuan Han
Processes 2025, 13(6), 1634; https://doi.org/10.3390/pr13061634 - 22 May 2025
Viewed by 629
Abstract
The Dolomite reservoir of the Maokou Formation is rich in gas resources in the central Sichuan Basin. Acid fracturing is an important technical means to improve reservoir permeability and productivity. The interaction mode of the dolomite and limestone acid system will affect the [...] Read more.
The Dolomite reservoir of the Maokou Formation is rich in gas resources in the central Sichuan Basin. Acid fracturing is an important technical means to improve reservoir permeability and productivity. The interaction mode of the dolomite and limestone acid system will affect the effect of reservoir reconstruction. In order to clarify the influence of complex structure on fracture morphology, we explore the fracturing effect of different acid systems. Physical simulation experiments of true triaxial acid fracturing were carried out with two acid systems and downhole full-diameter cores. The experimental results show: (1) After the carbonate rock is subjected to acid fracturing using a “self-generated acid + gel acid” system, the fracture pressure drops significantly by up to 60%. The morphology of the acid-eroded fractures becomes more complex, with an increase in geometric complexity of about 28% compared to a single acid solution system. It is prone to form three-dimensional “spoon” shaped fractures, and the surface of the acid-eroded fractures shows light yellow acid erosion marks. Analysis of the acid erosion marks indicates that the erosion depth on the fracture surface reaches 0.8–1.2 mm, which is deeper than the 0.2 mm erosion depth achieved with a single system. (2) Acid solution is difficult to penetrate randomly distributed calcite veins with a low porosity and permeability structure. When the fracture meets the calcite vein, the penetration rate of acid solution drops sharply to 15–20% of the initial value, resulting in a reduction of about 62% of the acid erosion area in the limestone section behind. And the acid erosion traces in the limestone behind the calcite vein are significantly reduced. The acid erosion cracks are easy to open on the weak surface between dolomite and limestone, causing the fracture to turn. (3) The results of field engineering and experiment are consistent, and injecting authigenic acid first in the process of reservoir reconstruction is helpful to remove pollution. The recovery rate of near-well permeability is more than 85% with pre-generated acid. Reinjection of gelled acid can effectively communicate the natural weak surface and increase the complexity of cracks. The average daily oil production of the completed well was increased from 7.8 m3 to 22.5 m3, and the increase factor reached 2.88. Full article
Show Figures

Figure 1

21 pages, 2572 KB  
Article
A Construction Method for a Coal Mining Equipment Maintenance Large Language Model Based on Multi-Dimensional Prompt Learning and Improved LoRA
by Xiangang Cao, Xulong Wang, Luyang Shi, Xin Yang, Xinyuan Zhang and Yong Duan
Mathematics 2025, 13(10), 1638; https://doi.org/10.3390/math13101638 - 16 May 2025
Viewed by 689
Abstract
The intelligent maintenance of coal mining equipment is crucial for ensuring safe production in coal mines. Despite the rapid development of large language models (LLMs) injecting new momentum into the intelligent transformation and upgrading of coal mining, their application in coal mining equipment [...] Read more.
The intelligent maintenance of coal mining equipment is crucial for ensuring safe production in coal mines. Despite the rapid development of large language models (LLMs) injecting new momentum into the intelligent transformation and upgrading of coal mining, their application in coal mining equipment maintenance still faces challenges due to the diversity and technical complexity of the equipment. To address the scarcity of domain knowledge and poor model adaptability in multi-task scenarios within the coal mining equipment maintenance field, a method for constructing a large language model based on multi-dimensional prompt learning and improved LoRA (MPL-LoRA) is proposed. This method leverages multi-dimensional prompt learning to guide LLMs in generating high-quality multi-task datasets for coal mining equipment maintenance, ensuring dataset quality while improving construction efficiency. Additionally, a fine-tuning approach based on the joint optimization of a mixture of experts (MoE) and low-rank adaptation (LoRA) is introduced, which employs multiple expert networks and task-driven gating functions to achieve the precise modeling of different maintenance tasks. Experimental results demonstrate that the self-constructed dataset achieves fluency and professionalism comparable to manually annotated data. Compared to the base LLM, the proposed method shows significant performance improvements across all maintenance tasks, offering a novel solution for intelligent coal mining maintenance. Full article
Show Figures

Figure 1

23 pages, 15057 KB  
Article
A Fractal Characteristics Analysis of the Pore Throat Structure in Low-Permeability Sandstone Reservoirs: A Case Study of the Yanchang Formation, Southeast Ordos Basin
by Huanmeng Zhang, Xiaojun Li, Junfeng Liu, Yiping Wang, Ling Guo, Zhiyu Wu and Yafei Tian
Fractal Fract. 2025, 9(4), 224; https://doi.org/10.3390/fractalfract9040224 - 1 Apr 2025
Cited by 4 | Viewed by 788
Abstract
In the Southeastern Ordos Basin, the Chang 2 low-permeability sandstone reservoir of the Triassic Yanchang Formation is a typical heterogeneous reservoir. Quantitatively characterizing and analyzing its complex pore throat structure has become crucial for enhancing storage and production in the study area. The [...] Read more.
In the Southeastern Ordos Basin, the Chang 2 low-permeability sandstone reservoir of the Triassic Yanchang Formation is a typical heterogeneous reservoir. Quantitatively characterizing and analyzing its complex pore throat structure has become crucial for enhancing storage and production in the study area. The pore throat structure is a key factor influencing reservoir properties. To achieve this, a comprehensive suite of analytical techniques was employed, including cast thin section (CTS), scanning electron microscopy (SEM), cathodoluminescence (CL), X-ray diffraction (XRD), and mercury intrusion capillary pressure (MICP). This study quantitatively characterizes the pore size distribution of reservoirs in the Southeast Ordos Basin. Based on fractal theory, it clarifies the complexity of the pore throat structure and the degree of microscopic heterogeneity at different scales. Finally, this study reveals the correlation between fractal dimensions and storage and permeability capacities and analyzes the controlling factors. The findings indicate that the predominant lithotype in the study area is fine-grained feldspar sandstone, which develops pore types such as intergranular pores, dissolution pores, and microfractures. Based on the shapes of mercury injection curves and pore throat structural parameters, and in conjunction with SEM images, the samples are categorized into three types. Type I samples exhibit good pore throat connectivity and are characterized by a lattice model. Type II samples are characterized by a tubular pore throat model. Type III samples have poor pore throat connectivity and are characterized by an isolated model. The pore throat network of low-permeability sandstone is primarily composed of micropores (pore throat radius r < 0.1 μm), mesopores (0.1 < r < 1.0 μm), and macropores (r > 1.0 μm). The complexity of the reservoir pore throat structure was quantitatively characterized by fractal theory. The total fractal dimension (D) of all the samples is between 2 and 3, which indicates that the reservoir has capillary fractal characteristics. The average fractal dimension of micropores (D1) is 2.57, while that for mesopores (D2) and macropores (D3) is slightly higher, at an average of 2.68. This suggests that micropores have higher self-similarity and homogeneity. The fractal dimensions D1, D2, and D3 of the three types of reservoirs all exhibit a negative correlation with porosity and permeability. This shows that the more complex the pore throat structure is, the worse the storage and seepage capacity of the reservoir. For type I samples, the correlation of D3 with pore throat structural parameters such as entry pressure, skewness, and maximum mercury saturation is better than that of D2 and D1. For type II and type III samples, D2 shows a significant correlation with pore throat structural parameters. This indicates that the heterogeneity and complexity of mesopores are key factors influencing the pore throat structure of poor-quality reservoirs. Different mineral compositions have varying effects on the fractal characteristics of pore structures. Quartz, feldspar, and clay exert both negative and positive dual impacts on reservoir quality by altering the pore throat structure and the diagenetic processes. The mineral content exhibits a complex quadratic relationship with the fractal dimension. Moreover, micropores are more significantly influenced by the mineral content. The study of the relationship between the fractal dimension and physical properties, pore throat structural parameters, and mineral composition can improve the understanding of the reservoir quality of low-permeability reservoirs. This provides a theoretical basis for exploration and improving the recovery rate in the study area. Full article
Show Figures

Figure 1

12 pages, 1808 KB  
Article
Mesotherapy with HA and Choline Against Facial Skin Aging: An Open-Label Uncontrolled, Monocentric Study
by Antonio Scarano, Erda Qorri, Andrea Sbarbati, Vincenzo Desiderio and Domenico Amuso
J. Clin. Med. 2025, 14(7), 2303; https://doi.org/10.3390/jcm14072303 - 27 Mar 2025
Cited by 1 | Viewed by 3971
Abstract
Background: Facial aging involves soft and hard tissues with changes that can affect an individual’s self-esteem and aesthetic appearance. Techniques used to counteract these changes include the use of solutions to be injected into the dermis, such as dermal matrix, vitamins, and [...] Read more.
Background: Facial aging involves soft and hard tissues with changes that can affect an individual’s self-esteem and aesthetic appearance. Techniques used to counteract these changes include the use of solutions to be injected into the dermis, such as dermal matrix, vitamins, and antioxidants. B vitamins and choline are vital nutrition for humans and many other animals (vitamin B4), required to produce acetylcholine (ACh). It is considered a neurotransmitter universal methyl donator and of the major membrane constituent phosphatidylcholine (PC) and is crucial for the functioning of cell membranes, including those in skeletal muscle cells. The aim of this study is to evaluate the efficacy and safety of a fragment of HA amino acid and choline in a solution of phosphate buffer system used via mesotherapy. Specifically, state that the primary endpoint was the efficacy assessment using the Scientific Assessment Scale of Skin Quality (SASSQ), while secondary endpoints included safety assessments and patient-reported outcomes. Methods: Forty (40) subjects completed the study. In total, 40 subjects were screened and included in the study. The total duration of the study was 14 months. The first subject was included on 12 January 2019, and the last subject’s last visit was on 14 March 2020. All patients received the SKIN Colin® products by mesotherapy technique for 8 weeks, providing the treatment with the use of 0.5 cc syringes and 13 mm long, 30 G diameter needles. The solution was inoculated into the deep layer of the dermis of the face with a suitable amount of at least 0.2/0.3 mL in the cutaneous points four times every 15 days. Each subject had to be followed for 168 days after the last mesotherapy session. Only enrolled subjects received the HA and choline via mesotherapy. The primary efficacy endpoint was the absolute change in the Scientific Assessment Scale of Skin Quality from Baseline (Day 0) to Day 168. A reduction of at least one point in the SASSQ was considered to reach the endpoint goal. Results: The results of the present investigation show Scientific Assessment Scale of Skin Quality (SASSQ) mean at baseline was 2463 with a standard deviation of 0.36, while at day 168, the mean was 1303 with a standard deviation of 0.36. The difference was statistically significant (p < 0.0001). Also, the GAIS was improved after treatment with Skin Colin®. The assessment of “satisfaction with treatment” was very high by the majority of subjects. Conclusions: In conclusion, our results suggest that a course of treatment with choline via mesotherapy results in an improvement of the Scientific Assessment Scale of Skin Quality. This data is very important for possible fields of application in the treatment of skin and muscle aging. However, the present study has limitations due to the small sample size and the lack of a control group. Full article
(This article belongs to the Special Issue New Advances in Oral and Facial Surgery)
Show Figures

Figure 1

13 pages, 2195 KB  
Article
Experimental Study on the Acid Fracturing Fracture Propagation Law of a Fractured Carbonate Reservoir in the Majiagou Formation
by Yongchun Zhang, Jianchao Kuang, Hao Zhang, Ying Zhong and Shijie Dong
Processes 2025, 13(3), 695; https://doi.org/10.3390/pr13030695 - 28 Feb 2025
Cited by 1 | Viewed by 1236
Abstract
Acid fracturing is a crucial method for reservoir reconstruction in carbonate reservoirs, and the propagation pattern of acid-etched fractures plays a key role in determining the scope of reservoir enhancement and post-fracturing productivity. However, large-scale physical simulations directly using acid solutions in fracturing [...] Read more.
Acid fracturing is a crucial method for reservoir reconstruction in carbonate reservoirs, and the propagation pattern of acid-etched fractures plays a key role in determining the scope of reservoir enhancement and post-fracturing productivity. However, large-scale physical simulations directly using acid solutions in fracturing experiments are limited, and the fracture propagation patterns under acid fracturing remain unclear. To address this gap, in this study, we collected carbonate rock samples from the Majiagou Formation in the Daniudi area, preparing large-scale fracturing specimens with side lengths of 30 cm. The propagation of acid fracturing fractures was investigated using self-developed true-triaxial acid fracturing equipment. Based on post-fracturing fracture morphology and pressure curves, the effects of fracturing fluid type, injection rate, injection mode, and natural fractures (NFs) on acid fracturing fracture propagation were analyzed. The experimental results showed that the acid solution effectively weakens the mechanical properties of the open-hole section, creating multiple mechanical weak points and promoting the initiation of fractures. Pre-fracturing treatment with low-viscosity acid can significantly enhance fracture complexity near the wellbore and expand the near-well stimulation zone. Lowering the injection rate increases the acid solution’s filtration loss into natural fractures, weakening the cementation strength of these fractures and encouraging the formation of complex fracture networks. Furthermore, employing a multi-stage alternating injection of high-viscosity and low-viscosity acids can reduce fracture temperature and acid filtration loss while also enhancing differential etching through viscous fingering. This approach improves the conductivity and conductivity retention of the acid-etched fractures. The results of this study can provide a reference for the acid fracturing stimulation of fractured carbonate reservoirs. Full article
(This article belongs to the Special Issue Recent Advances in Hydrocarbon Production Processes from Geoenergy)
Show Figures

Figure 1

Back to TopTop