Abstract
Thermal barrier coatings (TBCs) and air film-cooling technology have been extensively utilized in nickel-based, single-crystal turbine blades to enhance their heat resistance. However, structural complexity and material property mismatches between layers can affect residual stresses and potentially lead to coating failure. In this study, a three-dimensional finite element model with atmospheric plasma-spraying thermal barrier coatings (APS-TBCs) deposited on air-cooled, nickel-based, single-crystal blades was established to investigate residual stress character under centrifugal load, considering the effect of temperature, crystal orientation deviation angle, oxide layer thickness, and the number of cycles. The results show that when the centrifugal load is increased from 300 MPa to 700 MPa, the absolute value of the residual stress at the crest of the interface between Top Coat (TC) and Thermally Grown Oxide (TGO) increases by only 8.5%, whereas in the region of compressive to tensile stress conversion, residual stress decreases by 100.9%. As the crystal orientation deviation angle increases, the absolute value of the residual compressive stress increases and the absolute value of the residual tensile stress decreases, but the performance is more special in the valley region, where the absolute value of the residual stress increases with the increase in the deviation angle. Special attention is required, as the increase in temperature leads to a rise in the absolute value of residual stress. For example, at the trough of the TC–TGO interface, when the temperature increases from 910 °C to 1100 °C, the residual stress increases by 9.8%. The effect of the number of cycles on residual stress is relatively weak. For instance, at the wave crest of the TC–TGO interface, the residual stress differs by only 0.6 MPa between one cycle and three cycles. The effect of oxide layer thickness on residual stress in the TBCs after a single cycle is nonlinear. When the oxide layer thickness is 0, 4, and 7 μm, the residual stress undergoes a transition between tensile and compressive directions at different locations. The exploration of these results has yielded some valuable laws that can provide a reference for the study of the damage mechanism of TBCs, as well as a guide for the optimization of nickel-based turbine blades in the manufacturing and use processes.
1. Introduction
Turbine blades, one of the key components of aero-engines and gas turbines, are subjected to higher and higher gas temperatures with the increase in engine thrust performance, which will inevitably put forward a more serious challenge to the strength, design, and manufacture of the turbine blade. Studies have shown that when turbine blades work in extreme environments, their yield life will be halved for every 10~15 °C increase in temperature [1]. Several approaches are being explored to address this issue. First, the development of high-temperature alloys with better heat resistance. Second, advances in TBCs technology. Third, manufacturing single-crystal or directionally solidified blades. Fourth, the development of advanced cooling techniques. The BCs system has a high cooling efficiency and has been widely used to reduce the temperature of turbine blades. The failure of the thermal protection system, caused by the mismatch of the material properties of each layer of TBCs, and the structural complexity due to the combination of TBCs and air-cooling holes, has become the focus of the relevant research and difficulties [2,3,4]. Therefore, it is crucial to study the residual stresses at the core interface of thermal insulation coatings. It is necessary to analyze its failure mechanism in detail. This study will lay a theoretical foundation for understanding the damage mechanism of thermal insulation coatings. It will also provide guidance for improving the stability and reliability of turbine blades.
The failure of TBCs has been addressed, considering a number of vital and extensive aspects, including the mismatch of thermal expansion coefficients, the influence of interfacial roughness, the oxidation process, and the development of cracks at the interface between the TGO and Bond Coating (BC) on a number of key factors. Padture et al. [5,6] found that the complex stress field and thermal cycling of TBCs under service operating conditions caused a significant amount of residual stresses inside them, which was the primary cause of early cracking and the spalling of the coatings. Similarly, Qian verified this conclusion through experimental and numerical studies [7]. Hsueh [8,9] and Limarga [10] proposed a concave–convex cylinder model for describing the morphology of TGO and analyzed its stress field, which showed that TGO exhibits a significant tensile stress state in the valley region of the TC layer (concave model) as well as in the crest region of the BC layer (convex model). The results can better illustrate that cracks may be generated at the very low point of the height of the TC layer and the very high point of the height direction of the BC layer curve. Hao [11] investigated the residual deformation, stress, and high-temperature thermal shock behavior of TBC turbine blades using the finite element method. The results show that the coated blade generates complex residual stresses due to geometric curvature, and that the local compressive stress at the leaf root reaches 200 MPa. Under high-temperature service, the TBCs significantly reduce the maximum von Mises stress at the substrate by about 600 MPa, but the tailing edge thermal protection is limited, and the principal stress in the leaf back region of the leaf root tailing edge reaches 159.5 MPa, which is the critical location for crack initiation and expansion. Yu et al. [12] assumed the TGO as a sinusoidal profile and investigated the relationship between the morphology of the TGO, such as wavelength, amplitude, and thickness, and the thermal stress of the TBCs. The results show that the shape of the TGO has a great effect on the residual stress in the TBCs, and the TGO shape with different amplitudes is more realistic. Zhou [13,14] investigated the factors affecting the heat resistance performance of TBCs and the related laws from the aspects of material parameters, service environment, and turbine blade structure. Cen [15] analyzed the role of TGO depth and ceramic surface coating on the interface and found that the convex region of the BC–TGO interface was considered the most susceptible to crack formation. Guo et al. [16]. investigated the effect of CMAS (the main components are CaO, MgO, Al2O3, and SiO2, together referred to as CMAS) infiltration on interfacial crack extension and residual stresses within the TC using the finite element method. The results show that the increase in the elastic modulus of CMAS suppresses the interfacial crack extension. In addition, they observed that this inhibition is more pronounced in the case of smaller size and thickness of TGO.
Typical failure mechanisms have been derived without considering the influence of external loads, and scholars have mostly considered failure due to the mismatch of the material parameters of the layers, especially the differences in the coefficients of thermal expansion generating large thermal stresses, leading to the generation of cracks, extension, and coating peeling [2]. In general, the crack initiation and propagation mechanism of the coating is often closely related to the alternating thermal loads. Under the repeated action of thermal stress, cracks emerge on the surface of the TGO layer, the surface becomes uneven, and then a large tensile stress occurs on the surface. As the thickness of the TGO layer increases, it will lead to large-scale destabilization or spalling of the material, thus inducing crack initiation and propagation [17,18].
Some studies have shown that under the influence of external loads, the resistance of metal coatings to high-temperature oxidation will be significantly changed. In actual working conditions, turbine blades are subjected to a large centrifugal force when rotating at high speeds, and the resistance of TBCs is much lower than that of the substrate. The influence of external loads on TBCs will be more obvious, and the damaging modes and mechanisms will also be greatly affected. Chen [19] found that the cracks in the coating were centered on the equiaxial grain boundaries under high temperature and constant external loads for double-layer TBCs, prepared by EB-PVD technology under high-temperature creep conditions. However, it is difficult to reach the temperature of actual working conditions and long-term thermal cycling with the currently used experimental means, and the research results need to be examined by using the finite element or numerical simulation methods. Uncertainty in the service life of TBCs limits their effectiveness in safety applications. To address this issue, Yan [20] used Monte Carlo simulation to assess the reliability of TBCs and quantify their spalling risk. By combining hydrodynamic simulations and experiments, the failure mechanism of high-speed rotating TBCs under gas thermal shock was analyzed. The results show that the main failure mode of the ceramic layer is fracture, which is characterized by top-to-bottom “step-like” thinning and peeling, and that centrifugal force is the main driving force. The failure probability is higher at the top surface of the blade, indicating that the coating at this location is prone to failure, which is consistent with the experimental results. In addition, the key parameters affecting the reliability of TBCs include rotational speed, temperature, and the coefficient of thermal expansion. Liu [21] investigated the failure mechanism of the TBCs system using cyclic thermo-mechanical loading with a thermal gradient. Hollow cylindrical specimens consisting of nickel-based single-crystal alloy DD6 covered by an arc ion-plating NiCoCrAlYHf binder layer and surface electron beam physical vapor deposition (EB-PVD) yttrium oxide-stabilized zirconia TC were used. A tensile mechanical load of 200 MPa was applied to simulate centrifugal stress in the middle of a high-pressure turbine blade, and the results showed that the coupled thermo-mechanical load significantly promoted coating spalling, due to the superposition of mechanical strains that enhanced the localized tensile stresses in the peak region of the TC–TGO interface. Subsequent analysis of the interface morphology showed that the TC–TGO interface degraded in a direction parallel to the mechanical loading axis.
In view of the anisotropic properties of the single-crystal substrate, this paper establishes a three-dimensional finite element model of atmospheric plasma-sprayed thermal barrier coatings (APS-TBCs) deposited on air-cooled, nickel-based, single-crystal blades. Using this model, the distribution and evolution of residual stresses in the coating under centrifugal loading are thoroughly investigated, with a focus on the effects of factors such as temperature, crystal orientation deviation angle, oxide layer thickness, and the number of thermal cycles on coating performance. The primary objective of this study is to elucidate the mechanisms by which these factors influence the stability and residual stress distribution of the thermal barrier coatings through accurate numerical simulations. Additionally, this paper explores potential strategies to enhance coating stability and optimize coating design, to ensure reliability in high-temperature and high-load environments. This research provides theoretical support for the application of thermal barrier coatings in practical aero-engine applications, particularly in improving thermal fatigue resistance, crack propagation resistance, and extending the service life of the coatings.
2. Materials and Methods
2.1. Geometric Modeling
Due to the complexity of the structure of the TBCs system and the uncertainties in the behavior of the material, it is difficult to ideally characterize the TBCs system, and usually a simplified TBCs model is used to characterize the TBCs system.
In previous studies, segmented trigonometric curves were employed to simulate the geometry of the coating interface and analyze the impact of interface amplitude and wavelength on residual stresses. However, the results were obtained based on a two-dimensional model, which has certain limitations when compared to the actual three-dimensional scenario. In contrast, other modeling approaches, such as the one developed by Wang [22], used a three-dimensional ellipsoidal morphology to investigate the distribution of interfacial thermal stresses. However, this model is relatively simplified and lacks precision, resulting in a considerable gap when compared to the real-world model. Wang [23] used Micro-CT 3D tomography to establish a thermal barrier coating (TBC) model based on real geometry to analyze crack initiation and propagation. However, this model is expensive to develop and cannot accurately represent the coating interface roughness. Moreover, it lacks flexibility in adjusting various geometric parameters to investigate their impact on residual stress. In this study, a multilayer composite structure consisting of a TC, a TGO, a BC, and a substrate layer is proposed. In the ideal BC, TGO without defects grows uniformly. TGO formed in the form of α-Al2O3 has a very small diffusion coefficient of oxygen ions, which provides a good barrier to the oxidation of the BC. Usually, the inward diffusion of oxygen through the oxide layer makes it grow further toward the BC. Sometimes, the growth of the oxide layer is controlled by the outward diffusion of the aluminum element, leading to the formation of a new TGO at the TGO–top-coat interface or at the α-Al2O3 grain boundaries inside the TGO. Based on the previous work [12], the rough and irregular TGO morphology is described by a cosine curve containing height and spacing information, and the longitudinal profile of the TGO layer is regarded as a cosine curve of a single wavelength scanned along the same curvilinear trajectory, which is denoted in the three-dimensional coordinate system:
where the zero point of the 3D coordinate axis is located at the crest of the TGO layer, the Z-axis is vertically upward, and the X- and Y-axes form a horizontal plane, as shown in Figure 1.
Figure 1.
Three-dimensional thermal barrier coating model.
In the design process of thermal barrier coatings, the thickness of the coating is one of the main factors affecting the performance of the coating. On this basis, the relationship between the thermal insulation performance of the ceramic layer and its service time under high temperature conditions was investigated. Although increasing the thickness of the coating enhances the thermal insulation effect, this also leads to an increase in the amplitude of the cyclic thermal stress in the coating, which can lead to cracking in the coating and shortening the service life of the coating. It has been found [24] that the bonding force between the thermal spray layer and the substrate will show a parabolic type of decreasing change when the thickness of the spray layer increases. Therefore, in the actual design, the thickness of the coating should be selected by considering its thermal insulation performance and service life. In this study, the thickness H of the ceramic coating is selected as Htgo = 250 μm.
In determining the thickness of the BC layer, its thickness has a great influence on the stress distribution. Under normal conditions, as the thickness of the BC increases, the formation stress at the ceramic layer and the interface is reduced to a certain extent, but it also increases the formation stress close to the interface. At high temperatures, the degree of oxidization of the BC layer is also one of the important considerations in the selection of the thickness of the BC. In order to ensure that a high-density, high-quality, and highly stable Al2O3 protective film can be formed at the interface between the aluminum matrix and the substrate, the outward diffusion of A1 causes a decrease in the Al content in the substrate, and if the substrate is too thin, it will not be able to maintain sufficient Al content to ensure continuous oxidation in the substrate. In order to improve the thermal shock resistance of the coating, a BC with a thicker Hbc = 120 μm was selected and used to improve the thermal shock resistance of the coating.
Because coatings work at high temperatures and high pressures, a dense oxygen extension layer dominated by Al2O3 usually forms between the BC and TC, which can prevent deeper oxidation of the coating system. The Al2O3 oxide layer is highly dense with almost no porosity, making it virtually impermeable to oxygen. The formation and thickening of this oxide layer effectively restrict the further diffusion of oxygen, providing a barrier that prevents oxygen and other corrosive substances from penetrating the coating. Moreover, if the oxide layer is locally damaged or cracked, the exposed metal surface reacts quickly with oxygen, forming a new Al2O3 layer. Due to its high chemical stability, Al2O3 maintains its structure and functionality at elevated temperatures without decomposing or reacting with other substances. This enables the Al2O3 layer to provide long-term protection even in harsh environments, effectively preventing the continuation of oxidative reactions. Considering the continuous growth of the TGO layer [25], and that the thickening of the TGO layer is one of the important reasons leading to coating spalling and damage [5], in this study, the TGO thickness is Htgo = 0, 4, 7 μm, respectively. In order to minimize the effect of roughness on the simulation results, this paper fixes the TGO curve sweeping path, in which the amplitude of the cosine curve is taken, as A = 0.04 mm, and the wavelength is taken as λ = 0.3 mm. In addition, the thickness of SUB layer was set to Hsub = 2.5 mm.
2.2. Material Parameters
The effect of creep becomes important when the system is exposed to high temperatures [26]. Also according to Biaosas [27], it was found that the creep of the nickel-based superalloy substrate is negligible, because creep has almost no effect on the stress redistribution around the rough surface. Therefore, this section applies the Norton model to characterize the creep properties of materials:
where n denotes the creep index, denotes the stress, is the creep coefficient, and is the creep strain rate.
The BC, TC, and TGO layers are regarded as viscoplastic materials. The substrate is modeled using crystal plasticity theory [28]. The temperature-dependent Young’s modulus, Poisson’s ratio, coefficient of thermal expansion, yield stress, and single crystal materials are shown in Table 1 and Table 2, and the creep parameters are shown in Table 3 in relation to temperature.
Table 1.
Table of material properties.
Table 2.
Table of substrate properties.
Table 3.
Creep parameters for each layer [35].
2.3. Boundary Condition
In practice, the temperature distribution on the blade surface is not uniform at different locations (leading edge, tailing edge, pressure side, and suction side) due to exposure to airflow [36,37]. It is more difficult to obtain the stress distribution by considering the effect of non-uniform temperature around the blade, and the description of the turbine blade temperature transfer is a very complex 3D problem that requires a multidisciplinary approach, including aerodynamic and structural analysis. Therefore, the effect of non-uniform temperature on stress distribution is not considered in this paper, but simply the uniform temperature near the blade cross-section.
In this study, the mechanical load of the blade is considered to be the centrifugal load with a rotational speed of 13,000 r/min. According to the simulation results of the related literature [38], the maximum stress of the blade under centrifugal load is 728 MPa, which occurs at the root of the tailing edge of the blade. As shown in Figure 2a, in order to simulate the centrifugal force on different parts of the aero-engine turbine blade in service, the time-dependent external load boundary condition is applied to the SUB layer on the x = 0.3 mm side of the model, i.e., the external load undergoes the loading history as shown in Figure 2b. The load is increased from 0 MPa to the target load state in 16 s, and after holding the load for 7200s at constant temperature, the target load state is unloaded to 0 MPa in 16 s, where the external load is a homogeneous load perpendicular to this surface, and the values are set to 700 MPa, 500 MPa, and 300 MPa, respectively, which represent the loading of centrifugal force at the root of the turbine blade and the region away from the root of the turbine blade. At the same time, taking into account the influence of the complex temperature distribution on the turbine blade, the temperatures of 1100 °C, 970 °C, and 910 °C are set, respectively, so as to better simulate and calculate the various parts of the turbine blade effectively.
Figure 2.
Centrifugal load applied on the finite element model.
2.4. Dimensionless
In order to investigate the residual stress distribution of the TBCs system, the residual stresses S33 at the TC–TGO interface (in the TC layer) as well as in the perpendicular direction at the BC–TGO interface (in the BC layer) are extracted in this paper, and the stress cloud is shown in Figure 3a. For the consideration of single-crystal material anisotropy, the paths in this section are selected to extend from one end of the wave peak to the other end of the wave peak via the valley, as shown in Figure 3b,c.

Figure 3.
Model stress cloud.
The transverse axis coordinates were processed using a dimensionless method and assigned a normalized distance (normalized distance ), and the residual stress S33 was taken.
2.5. Grid Irrelevance Test
To construct an accurate and reliable finite element model, the most critical factors are the mesh division and mesh density, both of which must be carefully considered. A high-quality mesh is essential in finite element numerical simulations to ensure precise and dependable results. The meshing approach for TBC turbine blades has a direct influence on the accuracy of the calculations. In this study, eight-node linear hexahedral elements and a hexahedral structured meshing method were employed to increase the mesh density in the vicinity of the oxide layer. A detailed view of the local mesh is presented in Figure 4.
Figure 4.
Finite element model.
In terms of modeling accuracy, we performed grid-independence validation using different number of grids. Four distinct mesh densities, specifically the selected mesh, encrypted mesh, sparser mesh, and sparsest mesh, were designated as A, B, C, and D, respectively, and a mesh independence analysis was conducted. The analysis results are shown in Figure 5.
Figure 5.
Mesh irrelevance analysis.
Figure 5b,c show the comparison of the residual stresses at the BC–TGO and TC–TGO interfaces between the C model (727,206 meshes), the D model (534,266 meshes), and the A model (108,066 meshes), and it can be found that the data curves obtained from the lower density mesh have some deviations from those of the selected mesh, especially in the peak and valley regions, which is more obvious, and it can be seen that the simulation effect of the A model is better than that of the C model and D model. Figure 5a shows a comparison of the simulation results of model A and model B (352,7026 meshes), which shows that the residual stresses on each contact surface are basically the same for both models, and therefore the selected mesh does not need to be encrypted anymore.
3. Results and Discussions
3.1. Effect of Centrifugal Load on Residual Stresses
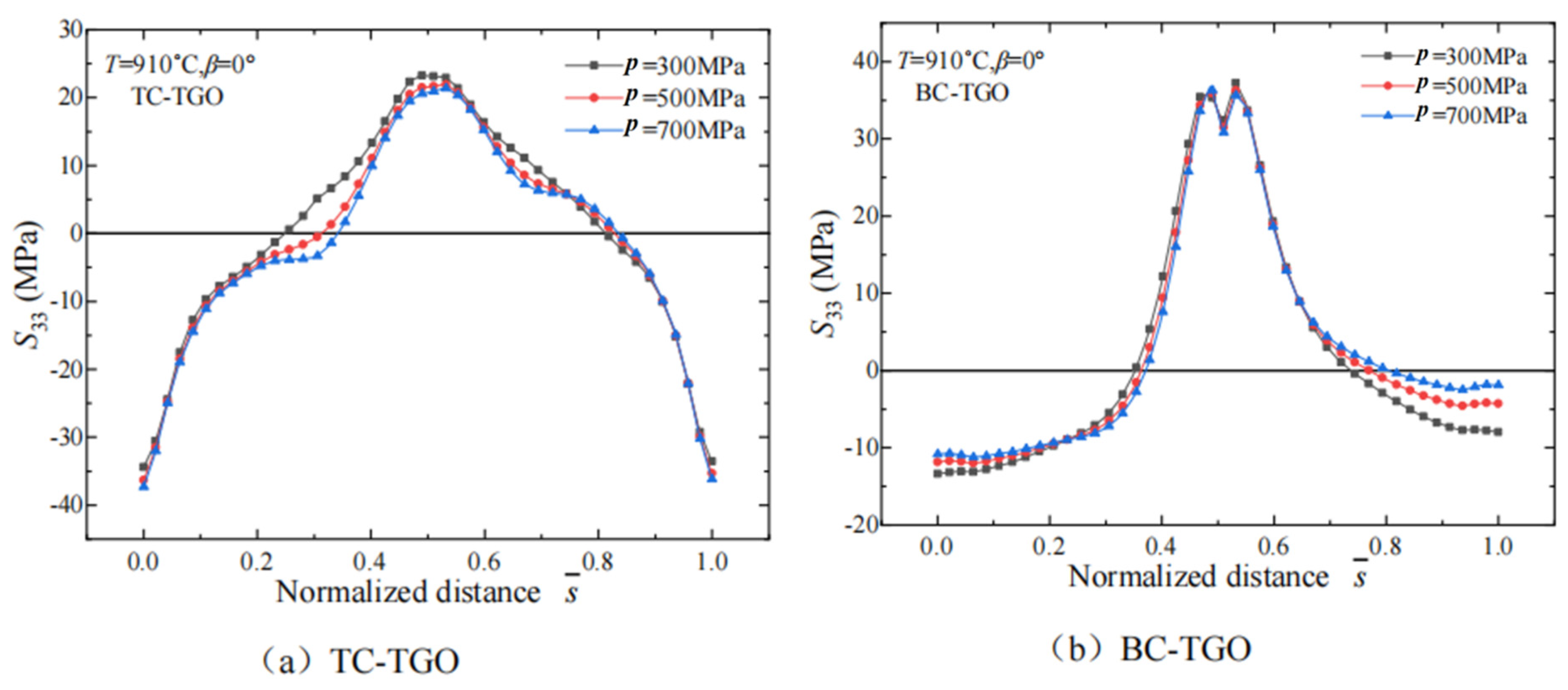
Figure 6 shows that when the TGO thickness is Htgo = 4 μm, the loading temperature is 910 °C and the crystal orientation deviation angle β = 0°, the centrifugal force loads p = 300 MPa, 500 MPa, and 700 MPa are taken, respectively, to simulate the effect of residual stress on the interface of the single-crystal substrate atmospheric plasma-sprayed TBCs system after a single service. It can be seen from the diagram that although the influence of centrifugal force load on each interface is different, the influence of external load on residual stress is not significant in the hazardous areas involved, and the direction of the residual stress of the TBCs system at the TC–TGO interface will not change greatly under different centrifugal force loads. The compressive stress is gradually transferred to the tensile stress at the peak near the origin, and the tensile stress is gradually transferred to the compressive stress after reaching the maximum value at the trough. It is worth paying attention to the fact that in the region close to the origin, the position of the residual compressive stress to tensile stress transition gradually moves in the direction of the trough with the increase in load. However, in the region far from the origin, the nodes transformed from tensile stress to compressive stress show the opposite law under the change in load. With the increase in centrifugal force load, the transformed nodes have a tendency to gradually move away from the trough area. Figure 6a shows the effect of centrifugal load p = 300 MPa, 500 MPa, and 700 MPa on the residual stress of the TBCs system at the TC–TGO interface under the condition of keeping the crystal orientation deviation angle unchanged at 910 °C.
Figure 6.
Influence of different load sizes on the residual stresses at the interfaces of single-crystal substrate thermal barrier coating system at the same temperature and deviation angle.
It can be seen from the figure that the increase in centrifugal load will increase the absolute value of residual stress near the two peaks of the TC–TGO interface, but its increase is small. At the peak near the origin, it only increases from −34.38 MPa when p = 300 MPa to −37.33 MPa when p = 700 MPa, and its absolute value only increases by 8.5%. In the range of normalized distance 0.2 ≤ ≤ 0.9, the effect of load variation on residual stresses shows more prominence. In particular, the effect reaches the maximum near the region of conversion from compressive to tensile stresses, such as at the normalized distance = 0.3, and when the load increases from 300 MPa to 700 MPa, the residual stress decreases from 5.13 MPa to −0.5 MPa, which is reduced by 100.9%. Figure 6b shows the effect of centrifugal load p = 300 MPa, 500 MPa, and 700 MPa on the residual stress of the TBCs system at the BC–TGO interface under the loading condition of 910 °C, and keeping the crystal orientation deviation angle unchanged. The absolute value of the residual stress at the two crests decreases with increasing load, which is favorable for the effect of residual stress at the TBCs interface.
Combined with Figure 6a,b, it can be seen that the size of the centrifugal force has a more obvious effect on the residual stress of the TBCs sector; with the increase in the centrifugal load, the absolute value of the residual stress in the TBCs system generally decreases, and the increase in the external load on the destruction of the TBCs system does not have a critical role. Since the centrifugal force external load has a more obvious effect on the residual stress of the TBCs, will the effect of the deviation angle of the single-crystal substrate on the residual stress be considered under this condition? In this section, under the same temperature and external loading conditions, the effect of the crystal orientation deviation angle on the residual stress of the nickel-based, single-crystal substrate TBCs system will be investigated more deeply.
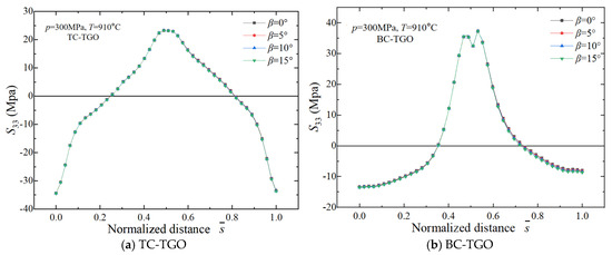
Figure 7 shows that at the loading temperature of 910 °C, the centrifugal force p = 300 MPa is kept unchanged, and the effect of crystal orientation deviation of the nickel-based, single-crystal substrate on the residual stress of the TBCs system under service conditions, when crystal orientation deviation β = 0°, 5°, 10°, and 15°. In this section, the absolute values of the interface residual stresses at deviation angles β = 5°, 10°, and 15° are compared with those at deviation angle = 0°, and the results are analyzed by amplifying the effect of the difference. Since the presence of the deviation angle does not change the direction of the residual stresses, the change in direction is not considered in the analysis.
Figure 7.
Influence of crystal orientation deviation of single-crystal substrate on the residual stresses at the interfaces of thermal barrier coating system under the same temperature and external loading conditions.
Figure 8 illustrates the effect of the thermal barrier coating system on the residual stress differences at the TC-TGO and BC-TGO interfaces, considering different crystal orientation deviation angles. The service environment is maintained at 910 °C, with the TGO thickness is Htgo = 4 μm, and centrifugal external loads of 300 MPa, 500 MPa, and 700 MPa, respectively. Combined with Figure 7, the variation law of the difference in residual stress of the TBCs system can be analyzed in correspondence with the variation law of the residual stress. In the same range, the residual stress value and the difference have the same change trend. The existence of the crystal deviation angle will increase the residual stress of the TBCs system at the peak. For the trough, although the crystal deviation angle will increase the residual stress under small load conditions, as the load increases, the trough area will also increase the residual stress value.
Figure 8.
Influence of different centrifugal force external loads and crystal orientation deviation angle on the residual stress difference between various interfaces of nickel-based, single-crystal substrate thermal barrier coating system under the same temperature condition.
Figure 8a,c,e represent the distribution of the residual stress difference at the TC–TGO interface of the TBCs system under the temperature condition of 910 °C, with centrifugal force external loads taken as p = 300 MPa, 500 MPa, and 700 MPa, respectively. At the normalized distance ≤ 0.2, the residual stress at the TC–TGO interface numerically uniformly exhibits a gradual increasing trend with the increase in the deviation angle. Combined with Figure 7a, it can be seen that the residual compressive stress of the TBCs system increases in this region. In the residual tensile stress region with external load p = 300 MPa (0.2 ≤ ≤ 0.93), the residual stress value shows a decreasing trend as a whole, and the reduction effect gradually weakens in the trough region. Even when the external load reaches 1000 MPa, the phenomenon of increasing residual tensile stress is shown in the valley region. The extent of this region also decreases with increasing external loads, which can be well explained in conjunction with Figure 6a.
In addition, with the increase in external load, the influence value of residual stress will also increase. For example, when p = 300 MPa, the residual stress difference range of the TBCs at the TC–TGO interface is only maintained between (−0.6 and 0.6). With the increase in load, the range of residual stress differences at the interface is expanded to between (−1.5 and 1.5).
Figure 8b,d,f represent the effect of the residual stress difference at the BC–TGO interface for the TBCs system at 910 °C, with centrifugal force external loads taken as p = 300 MPa, 500 MPa, and 700 MPa, respectively. Due to the expansion of the compressive stress region at the BC–TGO interface near the origin in Figure 7b, the region of increased residual stress at the BC–TGO interface also expands in Figure 8a. It can be seen that except for the change area of residual stress law, the increase and decrease in residual stress difference are closely related to the state of residual stress here.
In addition to that, comparing Figure 7a,b, it can be found that the effect of residual stress difference at the BC–TGO interface is larger than that at the TC–TGO interface. However, at the same time, it is also found that the effect on the residual stress difference in the TBCs system at p = 700 MPa is still different from that of other loads, which needs to be further analyzed and explored.
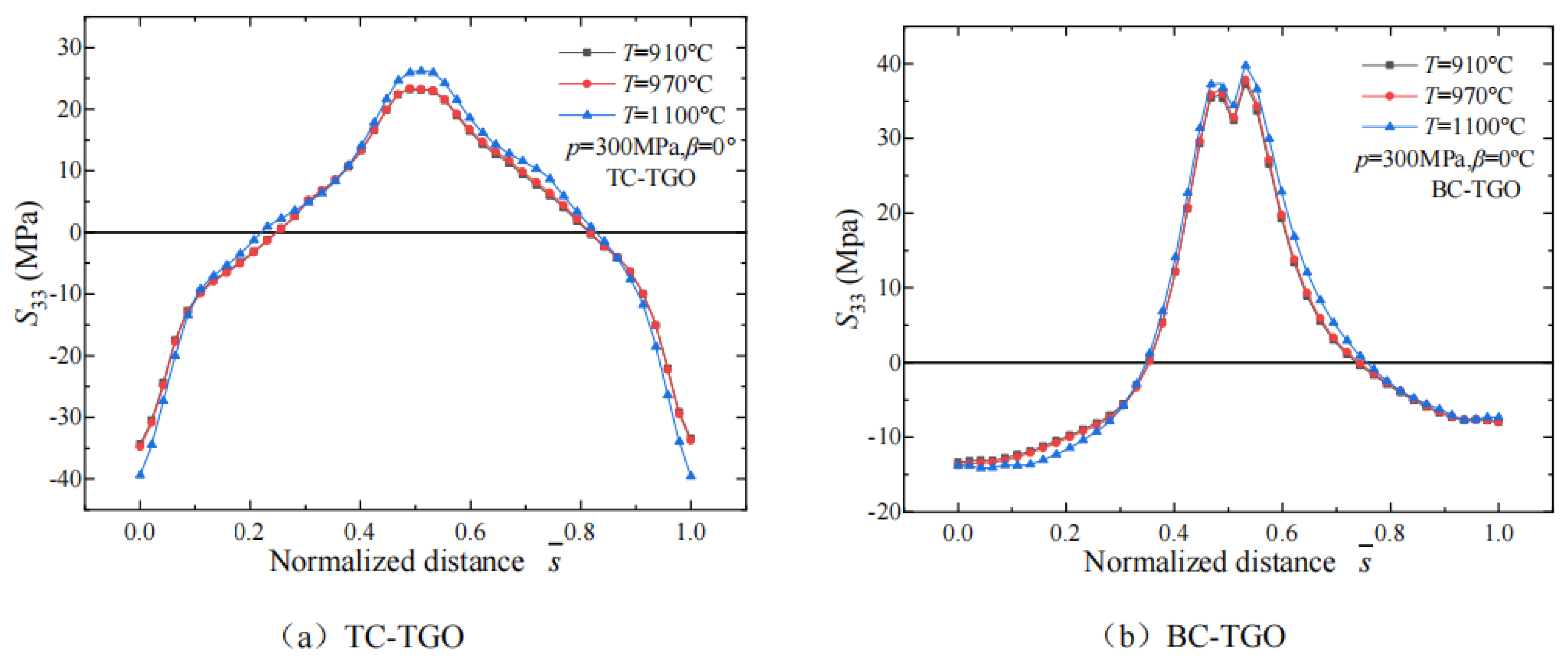
3.2. Effect of Temperature Conditions on Residual Stress
Figure 9 shows that when the thickness of TGO is Htgo = 4 μm, the centrifugal force load is kept at 300 MPa, the crystal orientation deviation angle β = 0°, and the temperature environments T = 910 °C, 970 °C, and 1100 °C are taken, respectively, as well as the distribution of residual stress in each interface of the TBCs system after single service loading of the APS-TBCs system on single-crystal substrate. The residual stresses S33 at the TC–TGO interface and BC–TGO interface were collected following a route from the peak of the wave close to the origin to the trough and finally to the peak of the wave away from the origin.
Figure 9.
Effect of residual stresses at different temperatures on the interfaces of a thermal barrier coating system with the same crystal orientation under the same external loading conditions.
Figure 9a represents the distribution of the residual stress at the TC–TGO interface of the single-crystal-based TBCs system in different temperature environments, and it is obvious that the increase in temperature is unfavorable to the residual stress of the TBCs system, regardless of whether it is in the wave crest or the trough. It can also be observed that the residual stress in the wave crest and the trough region has a more obvious growth phenomenon compared to the other region, where the residual stress is 22.34 MPa at the temperature T = 910 °C in the trough region; when the temperature increases to T = 1100 °C, the residual stress increases to 24.64 MPa, which is an increase of 9.8%. Therefore, the attention to the hazardous regions at the TC–TGO interface under service conditions should still be mainly placed on the crest and trough regions. Meanwhile, it can be observed that with the increase in temperature, the tensile stress region of residual stress on the TC–TGO interface has a gradual increase phenomenon, and that with the increase in temperature, the asymmetric phenomenon of the tensile stress region centered on the wave valley will be more obvious, and that the increment of the residual stress in the transition region far away from the origin is much larger than that close to the origin. Figure 9b represents the variation distribution of residual stresses at the BC–TGO interface for single-crystal-based TBCs systems under different loading temperature environments, which is different from that of the TC–TGO interfacial residual stress affected by the change in temperature. Although the residual stresses in the peak and trough regions still increase with increasing temperature, the increase is significantly smaller than that in some of the transition regions (such as the transition region near the crest 0.1 ≤ ≤ 0.243 and the valley transition region away from the origin 0.63 ≤ ≤ 0.74), while the hazardous area of concern in the region of the wave peak close to the origin needs to be extended to the range of 0 ≤ ≤ 0.243.
On the basis of the analysis in Section 2.1, analyzing the effects of different loading temperatures and crystal orientation deviation angles on the residual stress difference between the surfaces of the nickel-based single-crystal TBCs system under the same centrifugal loading force will make the simulation results clearer and the influence law more credible. Figure 10 shows that under the centrifugal force load of p = 300 MPa, when the service environment is 970 °C and 1100 °C, respectively, the TBCs system is affected by different crystal orientation deviation angles and residual stress differences between the TC–TGO interface and BC–TGO interface.
Figure 10.
Influence of different crystal orientation deviation angles on the residual stress difference between the surfaces of nickel-based, single-crystal substrate thermal barrier coating system under the same centrifugal external loading temperature conditions.
Figure 10a,c represent the effect of residual stress difference at the TC–TGO interface for the TBCs system under centrifugal load p = 300 MPa, and with temperatures taken as T = 970 °C and 1100 °C, respectively. Similarly, the presence of the crystal deviation angle increases the absolute value of the residual stress in the compressive residual stress region at the TC–TGO interface, and the residual stress increment near the crest region away from the origin is much larger than the residual stress increment in the crest region close to the origin, which plays a more pronounced catalytic effect on the asymmetry of the residual stresses in the TBCs. In the tensile stress region, the influence of the crystal deviation angle is different from the single influence of the compressive stress region, when the loading temperature T = 970 °C. In the range of the deviation angle β ≤ 5°, the residual stress of the TBCs in the tensile stress region at the TC–TGO interface basically maintains a negative incremental state, but when the crystal deviation angle β ≥ 10°, a positive growth of the residual stress occurs in the trough region, and with the increase in the deviation angle, residual stress increases gradually.
Figure 10a,c represent the effects of residual stress difference at the BC–TGO interface for the TBCs system under centrifugal load p = 300 MPa, and with temperatures taken as T = 970 °C and 1100 °C, respectively. The influence law is basically the same as that of the TC–TGO interface, but it can be clearly observed that the crystal orientation deviation angle has a greater influence on the BC–TGO interface than on the TC–TGO interface. Meanwhile, unlike the single nonlinear increase in the trough region on the TC–TGO interface, the residual stress difference on the BC–TGO interface has an obvious decreasing trend in the trough region. Under this rule, the attention to the dangerous area on the BC–TGO interface can be mainly placed in the peak area.
3.3. Effect of Number of Cycles on Residual Stress
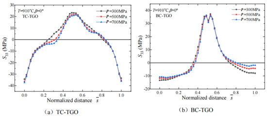
From the analysis in the above two sections, it can be seen that both the centrifugal force and temperature of external loads affect the residual stresses on the interfaces of the TBCs system to a certain extent. In this section, based on the working condition that the turbine blade is constantly cycling, the number of load cycles is increased on the basis of the studies in the previous two sections, to further analyze the influence of the number of cycles on the residual stresses of the TBCs. In Figure 11, the TGO thickness Htgo = 0.4 μm, the temperature is T = 910 °C, the external centrifugal force is p = 300 MPa, the number of cycles is 1, 2, and 3, respectively, and the effect of the number of cycles on the residual stress of the interface of the TBCs system is shown.
Figure 11.
Effects of single and multiple cycles on the residual stresses on all surfaces of the thermal barrier coating system under the same temperature and external load conditions.
Figure 11a shows the effect of single and multiple cycles on the residual stress at the TC–TGO interface of the TBCs system. From the figure, it can be seen that the effect of the number of cycles on the peak region of the TC–TGO interface is very small, for example, at = 0, the residual stress is −34.37 MPa under the action of one cycle, while the residual stress is −34.31 MPa under the action of three cycles, which is only a difference of 0.6 MPa. The effect is more obvious in the region near the trough compared with that in the peak region, and the initial residual stress of the TBCs gradually increases with the increase in the number of cycles. The tensile and compressive stress transformation position of the residual stress does not change with the increase in the number of cycles. Figure 11b shows the effect of single and multiple cycles on the residual stress at the BC–TGO interface of the TBCs system. Again, it can be observed that the number of cycles has a relatively small effect on the residual stresses, but unlike the TC–TGO interface and other regions where the effect pattern is different, at the BC–TGO interface, the residual stresses decrease as the number of cycles increases, which is undoubtedly advantageous, although the effect is not very pronounced for this hazardous location.
3.4. Effect of TGO Thickness on Residual Stresses
Figure 12 shows the continuous growth of the TGO at the interface of the TC–BC layer. When Htgo = 0, 4, 7 μm, respectively, the distribution of residual stress on each interface of the TBCs is kept under the service condition p = 300 MPa and T = 910 °C. It is found that the increase in the thickness of the oxide layer not only affects the size of the absolute value of the residual stresses in all sectors of the TBCs after service, but also has a very significant influence on the distribution range of its tensile and compressive stresses.
Figure 12.
Effect of different TGO thicknesses on the residual stresses on the interfaces of thermal barrier coatings under the same external load and temperature conditions.
Figure 12a shows the comparative distribution of residual stresses at the TC–TGO interface of the TBCs on the turbine blade after a single service under different TGO thickness conditions. From the figure, it can be observed that the change in TGO thickness has the same effect at the two wave crests of the TBCs, and the absolute values of its residual stresses both increase with the increase in TGO thickness. However, the difference is from the transition from the wave crest to the wave valley region, and the transition position of tensile and compressive stresses in the transition region near the origin has a very large change due to the influence of TGO thickness. When Htgo = 0 μm, the transition in the tensile and compressive direction is realized at the normalized distance = 0.2; when Htgo = 4 μm, the transition in the tensile and compressive direction is realized at the normalized distance = 0.25; and at Htgo = 7 μm, the transition in the tensile and compressive direction is realized at the normalized distance = 0.16. In the transition region away from the origin, although the residual stresses of the TBCs with thicknesses of 0 μm and 7 μm have basically the same direction transition position, the direction transition position of the TBCs with Htgo = 4 μm is obviously closer to the trough direction in this transition region. As a result, the absolute value of the residual stress in the valley region is no longer affected by the TGO thickness in the same way as that in the peak region, in which the interfacial residual stress is minimized when the TGO thickness is 4 μm.
Figure 12b shows the distribution of residual stress on the BC–TGO interface of the TBCs on the turbine blade after a single service under different TGO thickness conditions. Different from the residual stress influence law on the TC–TGO interface, the influence of residual stress at the two wave crests on its interface is obviously different, and the absolute value of the residual compressive stress gradually decreases with the increase in the thickness of the oxide layer, and reaches the minimum value of the residual stress at Htgo = 4 μm, which is the same as the TC–TGO interface in the range of the normalized distance 0.1 ≤ ≤ 0.82. It can be seen that the effect of oxide thickness on the residual stress at all interfaces of the TBCs is not linear. At the trough, the effect of oxide layer thickness on the residual stress shows an opposite trend to that at the peak, and reaches the maximum value of the residual stress at Htgo = 4 μm. Therefore, the attention to the residual stress at the trough should be increased with the increase in oxide layer thickness at the BC–TGO interface.
4. Conclusions
By simplifying the service environment of turbine blades, this study examines the evolution of residual stresses in the thermal barrier coating system of a single-crystal substrate under varying conditions of centrifugal load, crystal orientation deviation angle, temperature, cycle count, and TGO thickness. The key findings are as follows:
(1) The effects of centrifugal force loading on the residual stresses at all interfaces of the thermal barrier coatings are generally favorable. However, the residual stresses near the two wave crests at the TC–TGO interface show a slight increase with increasing load, while the absolute values of residual stresses in other critical regions of concern decrease as the load increases;
(2) The influence of the crystal orientation deviation angle on the residual stress in the thermal barrier coating under loading conditions varies depending on the stress direction. Overall, as the deviation angle of the crystal orientation increases, the absolute value of residual compressive stress increases, while the absolute value of residual tensile stress decreases. However, in the valley regions, the behavior is more distinct, with the absolute value of residual stress increasing as the deviation angle grows;
(3) The effect of temperature on the residual stresses at the interfaces of the thermal barrier coatings is quite significant, with the absolute value of residual stresses gradually increasing as the temperature rises. Notably, at the wave peaks of the BC–TGO interface farther from the origin, the residual stress values decrease, influenced by the anisotropy of the single-crystal substrate;
(4) The number of cycles has minimal impact on the direction and transition points of residual stresses in each region, but slightly increases the magnitude of the residual stresses across all sectors;
(5) The effect of TGO thickness on the residual stress at the interface of the thermal barrier coating after a single service is nonlinear. At the crest of the TC–TGO interface, the residual stress gradually increases with the increase in TGO thickness. However, the residual stress is minimized at the remaining position Htgo = 4 μm. Near the trough of the BC–TGO interface, the residual stress reaches the maximum at Htgo = 4 μm, but it is the minimum in the other positions at Htgo = 4 μm.
Based on the current research status, future improvements can focus on the experimental perspective. By leveraging the multi-parameter anisotropy characteristics of single-crystal materials, further exploration can be conducted to comprehensively assess the influence of single-crystal substrates on the residual stress behavior of thermal barrier coating systems. This would also serve as a foundation for establishing finite element models and verifying simulation results. Additionally, adopting a more precise definition of the deviation angle could help minimize errors in determining the anisotropic material parameters. Lastly, this study only considers centrifugal force in the external load simulations, excluding other forces such as aerodynamic forces. Future research could extend the residual stress analysis to account for complex stress states under combined loading conditions.
Author Contributions
Investigation, L.Y. and R.Z.; resources, Y.Z.; writing—original draft preparation, L.Y. and R.Z.; writing—review and editing, Y.W. and Q.Y.; supervision, Q.Y.; funding acquisition, Y.W. and Q.Y. All authors have read and agreed to the published version of the manuscript.
Funding
This research was funded by the Aviation Foundation of China (Grant No. 20230001053008), the Key Techniques R&D Program of Henan Province, China (Grant No. 221111230700), and the National Science Foundation of Henan Province, China (Grant No. 202102210209).
Data Availability Statement
The raw data supporting the conclusions of this article will be made available by the authors on request.
Conflicts of Interest
Author Yifei Zhang was employed by the company China Airborne Missile Academy. The remaining authors declare that the research was conducted in the absence of any commercial or financial relationships that could be construed as a potential conflict of interest.
Abbreviations
The following abbreviations are used in this manuscript:
| Abbreviations | Complete Terminology |
| TBCs | Thermal barrier coatings |
| APS | Atmospheric plasma spraying |
| CMAS | Calcium-magnesium-alumino-silicate |
| TGO | Thermally Grown Oxide |
| TC | Top Coat |
| BC | Bond Coating |
References
- Zhou, Y.; Liu, Q.; Yang, L.; Wu, D.; Mao, W. Failure mechanisms and life prediction of thermal barrier coatings. Acta Mech. Solida Sin. 2010, 31, 504–531. [Google Scholar]
- Evans, A.G.; Mumm, D.R.; Hutchinson, J.W.; Meier, G.H.; Pettit, F.S. Mechanisms controlling the durability of thermal barrier coatings. Prog. Mater. Sci. 2001, 46, 505–553. [Google Scholar] [CrossRef]
- Mao, W.G.; Jiang, J.P.; Zhou, Y.C.; Lu, C. Effects of substrate curvature radius, deposition temperature and coating thickness on the residual stress field of cylindrical thermal barrier coatings. Surf. Coat. Technol. 2011, 205, 3093–3102. [Google Scholar] [CrossRef]
- Sadowski, T.; Golewski, P. The influence of quantity and distribution of cooling channels of turbine elements on level of stresses in the protective layer TBC and the efficiency of cooling. Comput. Mater. Sci. 2012, 52, 293–297. [Google Scholar] [CrossRef]
- Padture, N.P.; Gell, M.; Jordan, E.H. Materials science—Thermal barrier coatings for gas-turbine engine applications. Science 2002, 296, 280–284. [Google Scholar] [CrossRef]
- Teixeira, V.; Andritschky, M.; Fischer, W.; Buchkremer, H.P.; Stöver, D. Analysis of residual stresses in thermal barrier coatings. J. Mater. Process. Technol. 1999, 93, 209–216. [Google Scholar] [CrossRef]
- Qian, G.; Nakamura, T.; Berndt, C.C. Effects of thermal gradient and residual stresses on thermal barrier coating fracture. Mech. Mater. 1998, 27, 91–110. [Google Scholar] [CrossRef]
- Hsueh, C.H.; Fuller, E.R. Residual stresses in thermal barrier coatings: Effects of interface asperity curvature/height and oxide thickness. Mater. Sci. Eng. A Struct. Mater. Prop. Microstruct. Process. 2000, 283, 46–55. [Google Scholar] [CrossRef]
- Hsueh, C.H.; Fuller, E.R. Analytical modeling of oxide thickness effects on residual stresses in thermal barrier coatings. Scr. Mater. 2000, 42, 781–787. [Google Scholar] [CrossRef]
- Limarga, A.M.; Widjaja, S.; Yip, T.H.; Teh, L.K. Modeling of the effect of Al2O3 interlayer on residual stress due to oxide scale in thermal barrier coatings. Surf. Coat. Technol. 2002, 153, 16–24. [Google Scholar] [CrossRef]
- Hao, Y.; Liang, L.; Qiu, T. Residual stress and high-temperature mechanical behavior of thermal barrier coated turbine blades. Chin. J. Theor. Appl. Mech. 2023, 55, 1319–1328. [Google Scholar]
- Yu, Q.M.; Zhou, H.L.; Wang, L.B. Influences of interface morphology and thermally grown oxide thickness on residual stress distribution in thermal barrier coating system. Ceram. Int. 2016, 42, 8338–8350. [Google Scholar] [CrossRef]
- Liu, Z.Y.; Xiao, J.; Yang, L. Numerical simulation of thermal insulation performance and stress of thermal barrier coating for turbine blades. Xiangtan Daxue Xuebao 2020, 42, 107–115. [Google Scholar]
- Zhou, Y.H.; Yang, L.; Liu, Z.Y.; Zhu, W. Wolun yepian rezhang tuceng gere xiaoguo de yanjiu jinzhan [Research progress on thermal insulation effect of thermal barrier coatings for turbine blades]. Zhongguo Cailiao Jinzhan 2020, 39, 707–722+738. [Google Scholar]
- Cen, L.; Qin, W.Y.; Yu, Q.M. Finite Element Analysis of Interface Undulation and Interface Delamination in the MCrAlY Coating System Under Thermal Cycling: Considering Oxide Thickness and Top-Coat Effects. J. Therm. Spray Technol. 2020, 29, 597–610. [Google Scholar] [CrossRef]
- Guo, D.; Yu, Q.; Cen, L. Effect of CMAS on Interfacial Crack and Residual Stress of Thermal Barrier Coatings. Rare Met. Mater. Eng. 2020, 49, 2937–2947. [Google Scholar]
- Tolpygo, V.K.; Clarke, D.R. Rumpling induced by thermal cycling of an overlay coating: The effect of coating thickness. Acta Mater. 2004, 52, 615–621. [Google Scholar] [CrossRef]
- Choi, S.R.; Hutchinson, J.W.; Evans, A.G. Delamination of multilayer thermal barrier coatings. Mech. Mater. 1999, 31, 431–447. [Google Scholar] [CrossRef]
- Chen, L.; Gong, S.; Xu, H. Evaluation Method of Thermal Cycling Property of EB-PVD Thermal Barrier Coatings. Rare Met. Mater. Eng. 2013, 42, 340–344. [Google Scholar]
- Yan, W.L.; Li, C.; Liu, Z.Y.; Cheng, C.Y.; Yang, L. Reliability Evaluation of EB-PVD Thermal Barrier Coatings in High-Speed Rotation and Gas Thermal Shock. Coatings 2024, 14, 136. [Google Scholar] [CrossRef]
- Liu, L.; Liu, D.; Cai, H.; Mu, R.; Yang, W.; He, L. Failure of Electron Beam Physical Vapor Deposited Thermal Barrier Coatings System under Cyclic Thermo-Mechanical Loading with a Thermal Gradient. Coatings 2024, 14, 902. [Google Scholar] [CrossRef]
- Wang, Z.; Han, Z.; Chen, Y.; Ding, K. Relations between 3 dimension interface topography with thermal stress of thermal barrier coatings. Trans. China Weld. Inst. 2011, 32, 21. [Google Scholar]
- Wang, L.L.; Fan, Q.B.; Liu, Y.B.; Li, G.J.; Zhang, H.M.; Wang, Q.S.; Wang, F.C. Simulation of damage and failure processes of thermal barrier coatings subjected to a uniaxial tensile load. Mater. Des. 2015, 86, 89–97. [Google Scholar] [CrossRef]
- Varacalle, D.J., Jr.; Guillen, D.P.; Deason, D.M.; Rhodaberger, W.; Sampson, E. Effect of grit-blasting on substrate roughness and coating adhesion. J. Therm. Spray Technol. 2006, 15, 348–355. [Google Scholar] [CrossRef]
- Busso, E.P.; Evans, H.E.; Qian, Z.Q.; Taylor, M.P. Effects of breakaway oxidation on local stresses in thermal barrier coatings. Acta Mater. 2010, 58, 1242–1251. [Google Scholar] [CrossRef]
- Pan, D.; Chen, M.W.; Wright, P.K.; Hemker, K.J. Evolution of a diffusion aluminide bond coat for thermal barrier coatings during thermal cycling. Acta Mater. 2003, 51, 2205–2217. [Google Scholar] [CrossRef]
- Bialas, M. Finite element analysis of stress distribution in thermal barrier coatings. Surf. Coat. Technol. 2008, 202, 6002–6010. [Google Scholar] [CrossRef]
- Yu, Q.M.; Hou, N.X.; Yue, Z.F. Finite element analysis of void growth behavior in nickel-based single crystal superalloys. Comput. Mater. Sci. 2010, 48, 597–608. [Google Scholar] [CrossRef]
- Zhu, D.; Miller, R.A. Thermal conductivity and elastic modulus evolution of thermal barrier coatings under high heat flux conditions. J. Therm. Spray Technol. 2000, 9, 175–180. [Google Scholar]
- Ranjbar-Far, M.; Absi, J.; Mariaux, G.; Dubois, F. Simulation of the effect of material properties and interface roughness on the stress distribution in thermal barrier coatings using finite element method. Mater. Des. 2010, 31, 772–781. [Google Scholar] [CrossRef]
- Sfar, K.; Aktaa, J.; Munz, D. Analysing the Failure Behaviour of Thermal Barrier Coatings Using the Finite Element Method. Ceram. Eng. Sci. Proc. 2000, 21, 203–211. [Google Scholar]
- Yue, Z.; Lu, Z.; Yang, Z.; Cheng, X.; Yin, Z. Influence of Deviation and Randomnessof Crystal lographic Orientations on the Strengthand Life of Nickel-Base Single Crystal Superalloy Turbine Blades. J. Aerosp. Power 2003, 18, 477–480. [Google Scholar]
- Zhu, H.X.; Fleck, N.A.; Cocks, A.C.F.; Evans, A.G. Numerical simulations of crack formation from pegs in thermal barrier systems with NiCoCrAlY bond coats. Mater. Sci. Eng. A Struct. Mater. Prop. Microstruct. Process. 2005, 404, 26–32. [Google Scholar] [CrossRef]
- Lin, C.; Li, Y. Interface stress evolution considering the combined creep-plastic behavior in thermal barrier coatings. Mater. Des. 2016, 89, 245–254. [Google Scholar]
- Rösler, J.; Bäker, M.; Aufzug, K. A parametric study of the stress state of thermal barrier coatings: Part I: Creep relaxation. Acta Mater. 2004, 52, 4809–4817. [Google Scholar]
- Daniels, L.C. Film cooling of gas turbine blades. J. Eng. Power. 1978, 100, 476–481. [Google Scholar]
- Gao, Z.; Narzary, D.P.; Han, J.-C. Film cooling on a gas turbine blade pressure side or suction side with axial shaped holes. Int. J. Heat Mass Transf. 2008, 51, 2139–2152. [Google Scholar] [CrossRef]
- Dhar, D.; Sharan, A.M.; Rao, J.S. Transient stress analysis and fatigue life estimation of turbine blades. J. Vib. Acoust. Trans. ASME 2004, 126, 485–495. [Google Scholar] [CrossRef]
Disclaimer/Publisher’s Note: The statements, opinions and data contained in all publications are solely those of the individual author(s) and contributor(s) and not of MDPI and/or the editor(s). MDPI and/or the editor(s) disclaim responsibility for any injury to people or property resulting from any ideas, methods, instructions or products referred to in the content. |
© 2025 by the authors. Licensee MDPI, Basel, Switzerland. This article is an open access article distributed under the terms and conditions of the Creative Commons Attribution (CC BY) license (https://creativecommons.org/licenses/by/4.0/).












