Abstract
The application of cyclones can be traced back to 100 years ago. Salt, an important carrier of energy exchange in the human body, is one of the essential substances. Currently, salt surface impurities are mostly removed manually, resulting in low sorting efficiency. Cyclones, as important physical separation equipment, are widely used in separating different substances. This paper focuses on using cyclones for salt decontamination. However, due to the limitations of the cyclone’s structure, ensuring grading accuracy is challenging. The flow field, as the main power source in the cyclone grading process, significantly impacts the grading effect. The overflow pipe, where fine particles exit, has a significant effect on the internal flow field. To explore the impact of the overflow pipe structure on the cyclone’s internal flow field, five overflow pipe structures were designed and numerically analyzed. The results indicate that the improved overflow tube structure has higher static pressure than the conventional linear structure. Type 2 (Parabolic) has the highest tangential velocity, which is 27.7 percentage points higher than that of the conventional cyclone, while Type 3 (hyperbola) has the lowest axial velocity(minimum value is only 0.3 m/s) and turbulence intensity(minimum value of the cone segment is only 0.2), resulting in longer particle residence time in the cyclone for better separation. Additionally, vortices are effectively avoided, improving the stability of the flow field to some extent. The obtained data provide a theoretical basis and support for the structural design of new cyclones.
1. Introduction
Salt is an important carrier in the process of blood circulation, osmotic pressure balance, and energy exchange, and it is also one of the essential substances in the body. Therefore, salt is also known as blood gold [1,2,3]. The output process of salt is divided into the following steps, as shown in Figure 1. Firstly, seawater is injected into the evaporation pool; secondly, the saltwater (commonly known as brine) that has evaporated to a certain extent is injected into the crystallization pool; lastly, brine continues to evaporate in the crystallization pool, and with the passage of time, the salt is slowly precipitated and deposited to the bottom of the pool, forming salt crystals. However, the impurities in the seawater (phytoplankton, solid particles, etc.) precipitated together with it. To obtain high-purity refined salt, it is necessary to remove impurities [4]. The surface of the phytoplankton can be removed by artificial picking, but the particles mixed in the salt impurities cannot be removed by man. You need to use the particles of the sorting equipment for the removal of impurities. The cyclone, as a common solid–liquid separation equipment, is widely used in seawater purification, coal sorting, and other sorting industries due to its high operational efficiency. Before the salt crystals start grinding, the material entering the hydrocyclone consists of solid particles. At this point, the impurity particles and salt crystals are separated within the hydrocyclone and then enter the grinding stage to produce fine salt. However, the cyclone, due to its structural limitations, has low grading accuracy. Researchers have conducted a series of studies to improve the classification efficiency of hydrocyclones. Pukkella [5], through experimental studies, investigated the relationship between the roughness of the hydrocyclone wall and its classification performance. The results showed that the rough-surfaced hydrocyclone achieved a higher underflow solid concentration at increased flow rates, with a concentration ratio range of 1.36% to 2.2%, whereas the smooth surface had a concentration ratio of 1.44% to 1.93%. Liu [6] studied the relationship between pollutant concentration and particle size in soil. The results showed that using five hydrocyclones in the series achieved a 33.9% reduction in emissions. The rotation of soil particles caused some surface contaminants to desorb completely. During the hydrocyclone leaching process, the removal rates of cadmium and polychlorinated biphenyls were 32.5% and 21.3%, respectively, and were independent of soil size. Furthermore, in the hydrocyclone-induced integrated system, the addition of selected chemicals resulted in removal rates for Cd and PCB of 59.2% and 40.1%, showing significant removal efficiency. Compared to traditional soil remediation processes, the hydrocyclone-induced coupled process reduced remediation costs by 33.3% at actual electrical dismantling sites. Yuan [7] studied the effect of the vortex finder insertion depth on the classification performance of the hydrocyclone. The results showed that the insertion depth had little effect on the pressure drop. The maximum efficiency insertion depth of the vortex finder decreased as the diameter decreased and was independent of the inlet velocity insertion depth. Flow field analysis indicated that the maximum efficiency insertion depth was essentially the result of the “competition and synergy” mechanism between the annular space separation ability and the separation space separation ability. The overflow tube serves as a fine particle transport channel and is also one of the important structures of the cyclone. The cyclone grading efficiency, grading accuracy, and stability of the flow field have an important impact.
Figure 1.
Salt output process.
The overflow tube exists in two forms in the cyclone [8]. Located in the outer part of the column section, it is only used for the transport of fine particles. Located in the inner part of the column section, it affects the development of the flow field. The inner overflow tube is in the high turbulence flow field as well as a variety of flows in the intersection area. The short-circuit flow in the outer wall of the overflow tube is one of the main reasons for the cyclone grading accuracy being low. The short-circuit flow and the inner part of the column section have a close relationship with the overflow tube form and the depth of the insertion [9,10]. Therefore, how to improve the structure of the overflow tube to reduce the short-circuit flow and improve the classification accuracy of the cyclone is one of the hot spots in current research.
Currently, there are two main methods to reduce the short-circuit flow [11,12,13]: one is to reintroduce the short-circuit flow into the separation area, and the other is to direct the short-circuit flow out of the cyclone. It is not difficult to see that the second method not only requires additional conveying elements but also causes disturbances in the flow field, which has a greater impact on the particle classification process. To maintain the stability of the internal flow field of the hydrocyclone, this study adopts curved and linear vortex finder structures to reintroduce the short-circuit flow into the separation zone, thereby reducing its disturbance to the flow field. Additionally, by analyzing factors such as pressure field, velocity field, turbulence field, and air core, the study elucidates the impact mechanism of vortex finder structures on the internal flow field of the hydrocyclone, providing a basis for the structural design of next-generation hydrocyclones.
2. Model Description
Considering the complicatedness of the flow field in hydrocyclones, the air-water two-phase flow field was calculated using the VOF to obtain the flow field characteristics of the hydrocyclone with different secondary cylindrical section. The turbulent flow in the hydrocyclone is calculated using the Reynolds stress model (RSM), which can model the turbulent anisotropy problem at a less computationally expensive than the large eddy simulation (LES) model.
The numerical calculation conditions for the continuous phase medium assume incompressible and steady-state fluid movement [14,15]. The control equation for the in compressible fluid is Equation (1):
where represents the mean velocity, represents the location of the fluid, represents the mean pressure, represents the liquid density, represents the kinematic viscosity, and represents the Reynolds stress tensor.
The RSM for turbulent flow can account for the turbulence anisotropy in various directions [16]. This model has good predictive capabilities for the high-turbulence fields generated by high-speed rotation motion. The transport equation is given by Equation (2):
where the turbulence production terms are defined as Equation (3):
where P is the fluctuating kinetic energy production, is the turbulent viscosity, = 1, = 1.8, and = 0.6 are empirical constants, and is turbulence dissipation.
The VOF multiphase flow model can provide good predictions for the internal flow field of gas–liquid phases and accurately capture the gas–liquid interface. This model facilitates the analysis of the mechanism for the formation of the air core.
The control equation for the volume fraction is given by Equation (4):
where is the volume fraction of the ith-phase fluid. When the entire volume is filled with the same phase, equals 1. When the volume contains two phases, the sum of the volume fractions of the two phases equals 1.
3. Numerical Method
3.1. Boundary Condition Setting
Different overflow pipe structures are shown in Figure 2. We used SolidWorks 2022 software for 3D modeling, ICEM 2024 software for mesh generation, and CFD-Fluent software for numerical simulation. The computer has 256 GB of memory. Except for the different overflow pipe structures, the rest of the structure is the same as the Hesieh classical cyclone, and the specific structural parameters are shown in Table 1. To investigate the influence of different overflow pipe structures on the classification performance of the cyclone, it needs to be meshed. The hexahedral mesh with high accuracy and fast convergence is widely used [17,18]. This paper adopts the hexahedral mesh on the cyclone, as shown in Figure 3. Due to the overflow pipe morphology having an important influence on the classification performance of the cyclone, mesh encryption was carried out in the wall of the overflow pipe to capture its weak flow. To obtain the optimal number of meshes, the grid independence was verified. As shown in Table 2, when the number of meshes reached 2.6 × 105, the value of pressure drop did not change with the change in the number of meshes, indicating that the numerical accuracy will not be affected by continuing to increase the number of meshes. To save running time, 3.3 × 105 hexahedral grids were selected as the computational domain cells in this paper. The fluid and solid-phase particle velocities at the inlet were set to 5 m/s, the underflow and overflow ports were set as pressure outlets, the air diameter was set to 1×105 mm, the wall was set as a no-slip boundary condition, the pressure–velocity coupling was based on the SIMPLE algorithm, and the momentum equation was based on the QUICK model. The time step was set to 1 × 10−3 s [19,20], with mass balance at the inlet and outlet as the convergence criterion, and the error is within 1.3%.
Figure 2.
Structural diagram of cyclone with different overflow tubes.
Table 1.
Cyclone structure parameters.
Figure 3.
Grid meshing.
Table 2.
Grid-independent verification.
3.2. Model Validation
To validate the accuracy of the numerical model, a model verification was carried out. The physical model used in the simulation has the same structural and operating parameters as the classic Hesieh cyclone separator [21]. The simulation results were then compared with experimental data, as shown in the figure. The tangential and axial velocities at Z = 120 mm were selected as the evaluation factors, as shown in Figure 4, which shows that the axial velocities are in good agreement, and the tangential velocities are different only at the maximum value, which is due to the error between the simulation and the test. The tangential velocity in the main working region (−30 mm to 11.3 mm, 11.3 mm to 30 mm) has an error within 0.9%, which is due to experimental errors. The simulation results with an error within 1% are considered fully acceptable. To ensure the accuracy of the numerical simulation, the pressure drop values from the simulation were compared. It can be observed that the simulated value is 45.6 kPa, while the experimental value is 47 kPa, with a discrepancy of only 1.28%. The rest of the positions are in good agreement, indicating that the numerical analysis method can accurately predict the change characteristics of its internal flow field.
Figure 4.
Comparison of experimental and simulated values.
4. Discussion of Results
4.1. Static Pressure
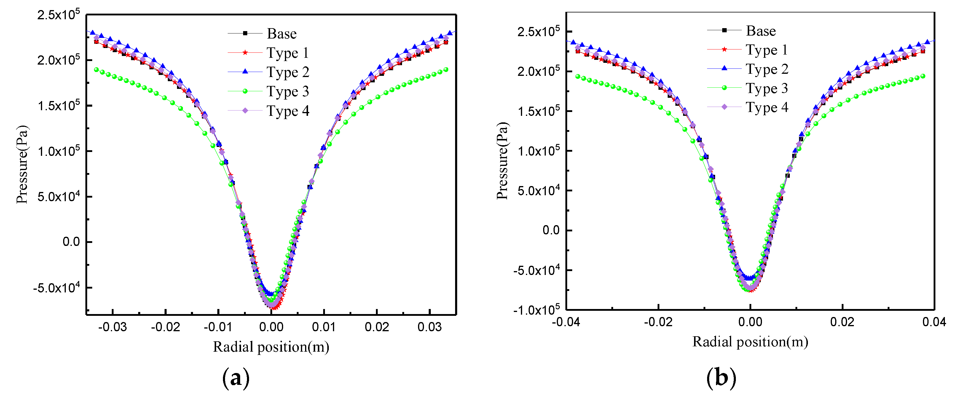
A cyclone is a device that converts pressure energy into kinetic energy with a certain amount of energy loss [22]. Although a larger pressure energy can increase the centrifugal propulsion of particles, it will also cause fine particles to migrate to the inner cyclone, increasing the probability of fine particles entering the bottom stream and reducing the grading accuracy. At the same time, a larger pressure energy will also bring more energy loss and increase the operating cost, so it is particularly important to choose a suitable pressure value in the cyclone field. The effect of pressure energy on particle movement is shown in Figure 5. When the particles enter the cyclone under the action of the pump pressure, the particles change from straight-line motion to three-dimensional spiral motion. Under the action of centrifugal force, the particles of different particle sizes extend the radial formation of the particle layer, and the particle size decreases from the outside to the inside in turn. Fine particles are discharged from the overflow port under the action of the internal cyclone, and coarse particles are discharged from the underflow port under the action of the external cyclone to complete the particle classification. The effect of different overflow pipe structures on the static pressure is shown in Figure 6. Here, the change in static pressure is taken along the diameter line at Z = 180 mm and Z = 220 mm. As shown in Figure 6, the static pressure is the largest at the wall, the smallest at the center, and the static pressure is negative at the center, which is one of the main reasons for the formation of air columns. From the figure, it can also be seen that changing the structure of the overflow pipe can increase the static pressure (Type 2-Type 4), in which the Type 2 structure has the highest static pressure, with a maximum value of up to 2.3 × 105 Pa, which is 27.7 percentage points higher than that of the conventional cyclone.
Figure 5.
Particle trajectory.
Figure 6.
Variation in static pressure along the diameter line. (a) Z = 180 mm; (b) Z = 220 mm.
4.2. Tangential Velocity
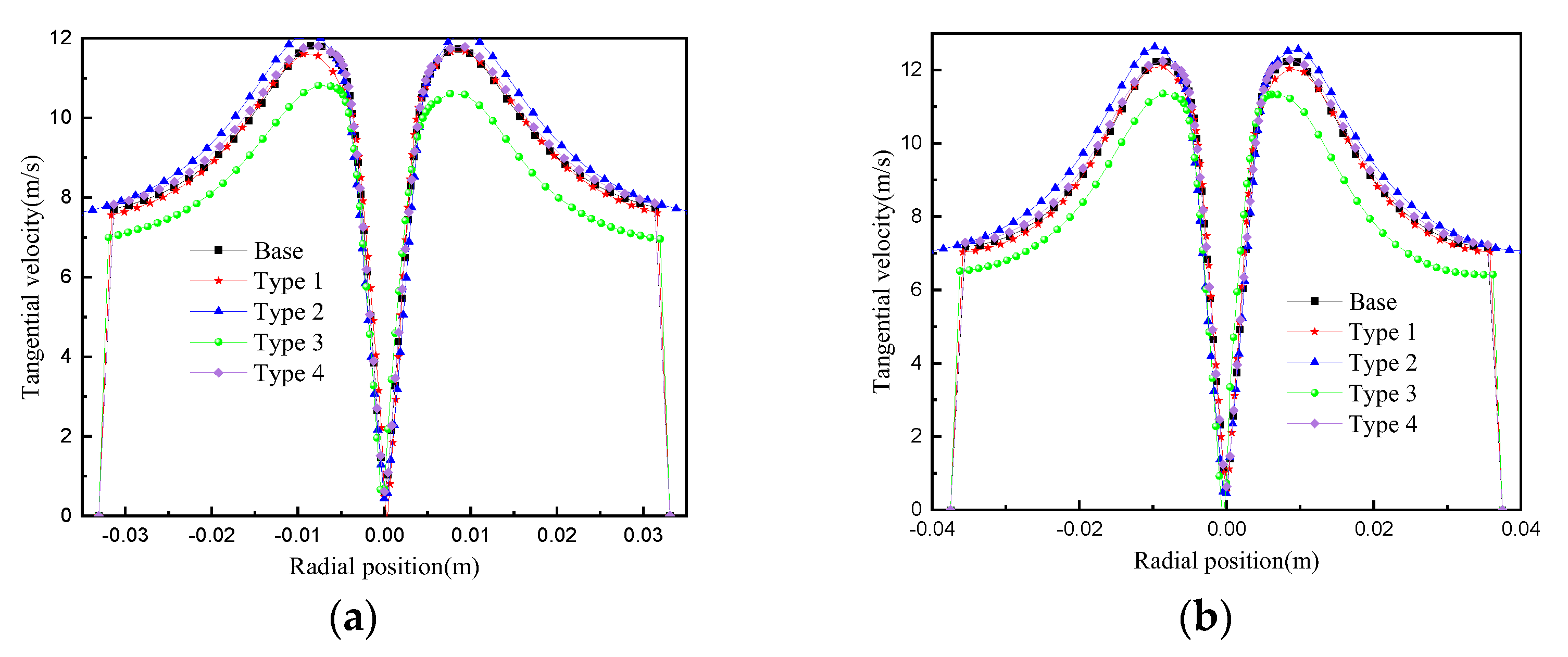
Tangential velocity is one of the most important velocities in the velocity field, which directly determines the size of centrifugal force [1,23]. The tangential velocity distribution of different overflow tube structures in the ZX plane is shown in Figure 7. The tangential velocity is the largest at the center and the smallest at the wall. The center blank is in the form of an air column, where the diameter of the air column is taken as 90% of the volume occupied by the air. There is a pharyngeal protuberance 2/3 of the way from the top of the overflow tube, which is due to the multiple confluences at this location. The variation in tangential velocity along the diameter line at Z = 180 mm and Z = 220 mm is shown in Figure 8. The tangential velocity change exhibits an overall “M” shape, which is a typical distribution feature of combined vortices. The tangential velocity is smallest for the conventional structure and largest for Type 2. This variation corresponds to the trend of static pressure changes. While a higher tangential velocity can provide greater centrifugal force, it also creates tangential vortices radially, which is detrimental to the stability of the flow field. At the same time, the higher tangential velocity causes fine particles to migrate toward the wall, leading to more fine particles entering the outer rotating flow, thus reducing classification accuracy. Moreover, a higher tangential velocity easily generates tangential vortices, which can destabilize the flow field. On the other hand, a lower tangential velocity is insufficient to generate the required centrifugal force for classification, rendering the cyclone ineffective for classification. Therefore, an appropriate tangential velocity is one of the key factors for maintaining flow field stability and improving classification efficiency. The tangential velocity is closely related to particle classification efficiency. An increase in tangential velocity typically leads to an increase in centrifugal force, thereby enhancing particle separation efficiency. This implies that classification efficiency improves with increasing tangential velocity. However, this relationship is not linear, as excessively high tangential velocity can cause particle remixing, which reduces classification efficiency. As shown in Figure 8, the tangential velocity of the Type 3 hydrocyclone ranges from 7 m/s to 10.6 m/s. This velocity range coincides with the optimal classification velocity range of hydrocyclones [21], resulting in the best classification performance.
Figure 7.
Tangential velocity distribution cloud.
Figure 8.
Change in tangential velocity along the diameter line. (a) Z = 180 mm; (b) Z = 220 mm.
4.3. Axial Velocity
Axial velocity is another important velocity component in the velocity field, which determines the residence time of materials within the cyclone [24,25]. Due to the opposite rotational directions of the outer and inner swirling flows, the direction of the axial velocity changes. When the axial velocity shifts from positive to negative, there must be a point where the axial velocity is zero. Connecting all these zero points forms the zero-velocity envelope surface, which is one of the unique characteristics of the cyclone. It also serves as the boundary between the inner and outer swirling flows. The distribution of different overflow tube structure cyclones in the ZX plane is shown in Figure 9. The axial velocity increases sequentially along the wall towards the center. At the same time, there are some closed annular regions in the column section region, which is often referred to as circulating flow. A higher number of circulating flows will destroy the stability of the flow field and cause additional energy loss. As can be seen in the figure, Type 3 has a lower number of circulating flows, which is advantageous for maintaining the stability of the flow field.
Figure 9.
Axial Velocity Distribution Cloud.
To characterize the variation in axial velocity along the radial direction, the variation on the two diameter lines of Z = 180 mm and Z = 220 mm was taken, respectively. As shown in Figure 10, the variation in axial velocity is in accordance with the combined vortex characteristics, with the highest value of axial velocity at the center. This indicates that the airflow rate inside the air column is larger, which is a result of the continuous conversion of the fluid pressure energy into kinetic energy. In the separation region (periphery of the air column), Type 3 axial velocities are the smallest, resulting in a longer residence time of the particles in the cyclone and a more adequate separation.
Figure 10.
Variation in axial velocity along the diameter line. (a) Z = 180 mm; (b) Z = 220 mm.
4.4. Turbulence Intensity
Turbulence intensity is a physical quantity that describes the strength of turbulence [26,27]. Inside a cyclone, due to the relatively high kinetic energy of the fluid, when there is a delay in the relative motion between fluids, this is one of the main causes of vortex formation inside the cyclone. The effect of the overflow pipe structure on turbulence is shown in the figure. The maximum turbulence intensity occurs at the lower end of the overflow pipe, which is due to the convergence of multiple flows in this region. In the column section, turbulence intensity is minimal at the wall and at the bottom flow outlet, indicating that the flow pattern in this area is simple, and the flow velocity is relatively low. In the main separation region (the conical section), the turbulence intensity is higher than that in the column section. According to Bernoulli’s equation, the kinetic energy at the cone section is larger than that at the column section, so the vortex at the column section is significantly higher than that at the cone section, which is the reason for the larger turbulence intensity at the cone section. The effect of different overflow pipe structures on the turbulence intensity inside the cyclone is shown in Figure 11. In the area of the outer wall of the overflow pipe and the cyclone wall, the Type 3 type has the smallest turbulence intensity, which can effectively avoid vortex generation, and the stability of the flow field has been improved to a certain extent. There is no obvious difference in the turbulence intensity in the cone section area.
Figure 11.
Turbulence intensity distribution in different overflow pipe structures.
4.5. Circular and Short-Circuit Flows
Short-circuit flow refers to the slurry flowing directly into the overflow without separation. In the cyclone, it is mainly reflected in the downward movement of slurry along the outer wall of the overflow pipe. Short-circuit flow will cause the bottom stream to entrain fine particles, resulting in a reduction in the accuracy of particle grading. Circulating flow is a unique feature of movement within the cyclone, mainly due to the formation of fluid that cannot be discharged promptly. Some researchers [28] believe that the circulating flow can reintroduce misplaced particles into the separation region, improving the classification accuracy of the cyclone. However, some researchers believe that the circulating flow will disrupt the stability of the flow field, affecting the normal grading of particles. Circulating flow will certainly cause extra energy loss and flow field fluctuation, so it is necessary to reduce circulating flow while maintaining normal classification. The velocity vectors of different overflow tube structures are shown in Figure 12, with region A indicating the morphology of the fluid at the column section, region B indicating the recirculating flow, region C indicating the morphology of the short-circuited flow into the overflow tube, and region D indicating the morphology of the recirculating flow at the wall. It can be seen that Type 1 and Type 3 can effectively reduce short-circuit flow, while Type 2 and Type 4 have more short-circuit flow. To analyze the effect of different overflow pipe structures on the circulating flow in the cyclone in more detail, the intensity of the circulating flow is introduced. It can be seen that Type 3 has the smallest intensity of the circulating flow, which is conducive to stabilizing the flow field.
Figure 12.
Velocity vector distribution in cyclones with different overflow tube structures.
4.6. Air Columns
A cyclone is a device that converts pressure energy into kinetic energy. When the kinetic energy increases to a certain value, the pressure energy becomes zero. Continuing to increase the kinetic energy will cause the pressure to become negative. At this point, the external air, due to atmospheric pressure, is sucked into the cyclone’s internal air column. The air column is one of the unique characteristics of the cyclone. Although the air column is not involved in particle classification, it occupies the inner cyclone area and compresses the separation space. At the same time, the axial flow of the gas inside the air column will cause additional energy loss. Therefore, it is preferable for the diameter of the air column to be as small as possible. The effect of different overflow tube structures on the air column diameter is shown in Figure 13. At about Z = 250 mm, there is a ’throat-like’ bulge, which is due to a variety of confluence in this area. Type 3 has the smallest diameter of the air column, and at the same time, the air column fluctuation amplitude is small. Therefore, the Type 3 structure can effectively reduce the volume of the air column, resulting in a larger separation space that is helpful for particle classification [29].
Figure 13.
Variation in air column diameters with different overflow pipe configurations.
5. Conclusions
(1) This paper investigates the development characteristics of the internal flow field in hydrocyclones with different vortex finder structures. Starting from factors such as pressure field, velocity field, turbulence field, and air column, valuable conclusions were obtained, providing a theoretical basis for the structural design of new hydrocyclones.
(2) The improved overflow tube structure has a higher static pressure than the conventional linear overflow tube structure, which can provide larger pressure energy under the same working conditions. Among these, Type 2 has the highest static pressure, which is 27.7 percentage points higher than the conventional cyclone. This will result in greater energy loss, and this structure is not recommended.
(3) Type 2 has the largest tangential velocity, which can provide a larger centrifugal force, but this may increase the probability of tangential vortex generation and disturb the stability of the flow field. Therefore, choosing the appropriate tangential velocity can ensure an adequate power source and stabilize the flow field.
(4) Type 3 has the smallest axial velocity, which results in a longer residence time of the particles in the cyclone and a more adequate separation. The smaller axial velocity reduces the viscous drag between the fluids, which decreases the probability of axial vortex generation. The stable process of Type 3 provides a guarantee for achieving high grading accuracy and has great application prospects.
(5) Through the above analysis, the Type 3 vortex finder hydrocyclone has good application prospects. Due to its governing equation being parabolic in structure, coarse particles are more easily migrated to the outer wall, effectively improving the classification accuracy of coarse particles.
(6) The above study reveals that the vortex finder structure has a significant impact on the internal flow field of the hydrocyclone. However, its effect on particle motion and classification accuracy remains unclear. Therefore, based on fluid dynamics and particle dynamics theories, this research focuses on fine particle underflow recovery rate, mass efficiency, and volume efficiency to comprehensively elucidate the impact of vortex finder structures on hydrocyclone classification performance.
Author Contributions
Data curation, Y.W., F.L. and H.Y.; investigation, Y.W.; methodology, Y.W. and P.L.; project administration, H.Y.; validation, Y.W., F.L. and H.Y.; writing—original draft, Y.W.; writing—review and editing, Z.L. All authors have read and agreed to the published version of the manuscript.
Funding
This work was financially supported by Shandong Provincial Natural Science Foundation (ZR2024QE381).
Data Availability Statement
The original contributions presented in this study are included in the article. Further inquiries can be directed to the corresponding author(s).
Acknowledgments
We are grateful to Jinwen You for funding Support.
Conflicts of Interest
The authors declare no conflict of interest.
References
- Tripathy, S.K.; Bhoja, S.K.; Kumar, C.R.; Suresh, N. A short review on hydraulic classification and its development in mineral industry. Powder Technol. 2015, 270 Pt A, 205–220. [Google Scholar] [CrossRef]
- Yang, J.; Sun, G.; Zhan, M. Prediction of the maximum-efficiency inlet velocity in cyclones. Powder Technol. 2015, 286, 124–131. [Google Scholar] [CrossRef]
- Zhang, C.; Wei, D.; Cui, B.; Li, T.; Luo, N. Effects of curvature radius on separation behaviors of the hydrocyclone with a tangent-circle inlet. Powder Technol. 2017, 305, 156–165. [Google Scholar] [CrossRef]
- Song, C.; Pei, B.; Jiang, M.; Wang, B.; Xu, D.; Chen, Y. Numerical analysis of forces exerted on particles in cyclone separators. Powder Technol. 2016, 294, 437–448. [Google Scholar] [CrossRef]
- Pukkella, A.K.; Vega-Garcia, D.; Hadler, K.; Cilliers, J. The influence of surface-wall roughness on hydrocyclone performance. Sep. Purif. Technol. 2025, 360, 131109. [Google Scholar] [CrossRef]
- Liu, Y.; Ren, J.; Ma, K.; Li, J.; Fu, P.; Lin, K.; Wang, H. Hydrocyclone-induced classification reduction and spin desorption of contaminated soil remediation with heavy metal and organics. J. Hazard. Mater. 2024, 480, 136456. [Google Scholar] [CrossRef] [PubMed]
- Yuan, S.; Sun, G.; Xiao, L.; Sun, J.; Qian, Z.; Cao, G. Experimental and numerical study of maximum efficiency vortex finder insertion depth of a Stairmand cyclone. Particuology 2024, 95, 343–355. [Google Scholar] [CrossRef]
- Zhu, H.P.; Zhou, Z.Y.; Yang, R.Y.; Yu, A.B. Discrete particle simulation of particulate systems: Theoretical developments. Chem. Eng. Sci. 2007, 302, 3378–3396. [Google Scholar] [CrossRef]
- Pérez, D.; Cornejo, P.; Rodríguez, C.; Concha, F. Transition from spray to roping in hydrocyclones. Miner. Eng. 2018, 123, 71–84. [Google Scholar] [CrossRef]
- Zubrik, A.; Hredzak, S.; Turcaniova, L.; Lovás, M.; Bergmann, I.; Becker, K.D.; Lukčová, M.; Šepelák, V. Distribution of inorganic and organic substances in the hydrocyclone separated Slovak sub-bituminous coal. Fuel 2010, 89, 2126–2132. [Google Scholar] [CrossRef]
- Zhao, Q.; Cui, B.; Wei, D.; Song, T.; Feng, Y. Numerical analysis of the flow field and separation performance in hydrocyclones with different vortex finder wall thickness. Powder Technol. 2019, 345, 478–491. [Google Scholar] [CrossRef]
- Milin, L.; Hsieh, K.T.; Rajamani, R.K. The leakage mechanisms in the hydrocyclone. Miner. Eng. 1992, 5, 779–794. [Google Scholar] [CrossRef]
- Hwang, K.J.; Wu, W.H.; Qian, S.; Nagase, Y. CFD study on the effect of hydrocyclone structure on the separation efficiency of fine particles. Sep. Sci. Technol. 2008, 43, 3777–3797. [Google Scholar] [CrossRef]
- Lim, E.W.; Chen, Y.R.; Wang, C.H.; Wu, R.M. Experimental and computational studies of multiphase hydrodynamics in a hydrocyclone separator system. Chem. Eng. Sci. 2010, 65, 6415–6424. [Google Scholar] [CrossRef]
- Qian, F.P.; Zhang, M.Y. Effects of the inlet section angle on the separation performance of a cyclone. Chem. Eng. Res. Des. 2010, 5, 1564–1570. [Google Scholar] [CrossRef]
- Tang, B.; Xu, Y.; Song, X.; Sun, Z.; Yu, J. Numerical study on the relationship between high sharpness and configurations of the vortex finder of a hydrocyclone by central composite design. Chem. Eng. J. 2015, 278, 504–516. [Google Scholar] [CrossRef]
- Li, F.; Liu, P.; Yang, X.; Zhang, Y.; Li, X.; Jiang, L.; Wang, H.; Fu, W. Purification of granular sediments from wastewater using a novel hydrocyclone. Powder Technol. 2021, 393, 751–763. [Google Scholar] [CrossRef]
- Tian, J.; Ni, L.; Song, T.; Olson, J.; Zhao, J. An overview of operating parameters and conditions in hydrohydrocyclones for enhanced separations. Sep. Purif. Technol. 2018, 206, 268–285. [Google Scholar] [CrossRef]
- Bradley, D.A. The Hydrohydrocyclone; Pergamon Press: Oxford, UK, 1965. [Google Scholar]
- Yang, L.; Tian, J.L.; Yang, Z.; Li, Y.; Fu, C.H.; Zhu, Y.H.; Pang, X.L. Numerical analysis of non-Newtonian rheology effect on hydrohydrocyclone flow field. Petroleum 2015, 1, 68–74. [Google Scholar] [CrossRef]
- Hsieh, K.T.; Rajamani, K. Phenomenological model of hydrohydrocyclone: Model development and verification for single-phase flow. Int. J. Miner. Process. 1988, 22, 223–237. [Google Scholar] [CrossRef]
- Rietema, K. Performance and design of hydrohydrocyclones-II Pressure drop in the hydrocyclone. Chem. Eng. Sci. 1961, 15, 320–325. [Google Scholar] [CrossRef]
- Ghodrat, M.; Kuang, S.B.; Yu, A.B.; Vince, A.; Barnett, G.D.; Barnett, P.J. Numerical analysis of hydrohydrocyclones with different conical section designs. Miner. Eng. 2014, 62, 74–84. [Google Scholar] [CrossRef]
- Kuang, S.B.; Chu, K.W.; Yu, A.B.; Vince, A. Numerical study of liquid-gas-solid flow in classifying hydrohydrocyclones: Effect of feed solids concentration. Miner. Eng. 2021, 31, 17–31. [Google Scholar] [CrossRef]
- Delgadillo, J.A.; Rajamani, R.K. Exploration of hydrohydrocyclone designs using computational fluid dynamics. Int. J. Miner. Process. 2007, 84, 252–261. [Google Scholar] [CrossRef]
- Cui, B.Y.; Wei, D.Z.; Gao, S.L.; Liu, W.G.; Feng, Y.Q. Numerical and experimental studies of flowfield in hydrohydrocyclone with air core. Trans. Nonferrous Met. Soc. China 2014, 24, 2642–2649. [Google Scholar] [CrossRef]
- Yu, A.B.; Standish, N. A study of particle size distributions. Powder Technol. 1990, 62, 101–118. [Google Scholar] [CrossRef]
- Zhang, Y.; Ge, J.; Liu, Z.; Yao, J.; Li, G.; Li, Z.; Liu, M.; Zhao, J. Research progress on the detection of circulating tumor cells by in vivo flow cytometry. Opt. Lasers Eng. 2025, 186, 108731. [Google Scholar] [CrossRef]
- Ye, Q.; Kuang, S.; Duan, P.; Zou, R.; Yu, A. Fast prediction and control of air core in hydrocyclone by machine learning to stabilize operations. J. Environ. Chem. Eng. 2024, 12, 111699. [Google Scholar] [CrossRef]
Disclaimer/Publisher’s Note: The statements, opinions and data contained in all publications are solely those of the individual author(s) and contributor(s) and not of MDPI and/or the editor(s). MDPI and/or the editor(s) disclaim responsibility for any injury to people or property resulting from any ideas, methods, instructions or products referred to in the content. |
© 2025 by the authors. Licensee MDPI, Basel, Switzerland. This article is an open access article distributed under the terms and conditions of the Creative Commons Attribution (CC BY) license (https://creativecommons.org/licenses/by/4.0/).












