A Study on the Film Superposition Method for the Multi-Row Film Cooling of the Turbine Outer Ring
Abstract
1. Introduction
2. Film Superposition Method
2.1. Sellers Superposition Model
- The coolant films generated by different rows of holes are independent of each other. Specifically, when coolant is injected through the film holes, the gasses ejected from each row of holes form independent film layers.
- The adiabatic cooling efficiency at a given location is the combined effect of the adiabatic cooling efficiency of all upstream film holes.
2.2. Energy Conservation-Based Prediction Method for Multi-Row Film Cooling of Turbine Outer Ring
- The mixing process between the coolant film and the mainstream flow follows the principle of energy conservation. Previous studies (Kirollos et al. [39]) have demonstrated the validity of this method for two hole rows.
- The interaction between the film layers is confined to a small region during film injection. In the study by Berkache et al. [41], it was observed that at a blowing ratio of 1, the velocity of the coolant film in the normal direction toward the wall rapidly mixes with that of the mainstream flow, supporting this assumption.
- The equivalent blowing ratio is used to evaluate the cooling efficiency distribution for different hole spacings based on the reference cooling efficiency distribution. This assumption extends the applicability demonstrated by Bogard et al. [42] for slot film cooling.
3. Experimental Method
3.1. Experimental System
3.2. Experimental Measurement Methods
- A total of wall thermocouples were evenly distributed along the centerline of the mainstream-side wall of the test plate to measure the centerline wall temperature . The measurement deviation for these thermocouples was , and they were also used to calibrate the results from the infrared thermal imaging system.
- The surface temperature distribution of the mainstream-side wall was obtained using the infrared thermal imaging system, which operates within a wavelength range of to , with a resolution of pixels and an accuracy of . To ensure precise temperature readings, five circular infrared windows were installed at corresponding positions on the test plate, providing excellent image transmission in the wavelength range of to . Additionally, the mainstream-side wall was coated with black paint to enhance surface emissivity. Taking the position of the first row of film holes as the origin, the streamwise positions for different windows are shown in Table 2.
3.3. Design of Test Plates
3.4. Experimental Conditions
3.5. Uncertainty in Experiments
4. Results and Discussion
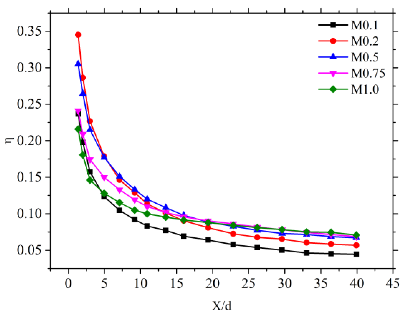
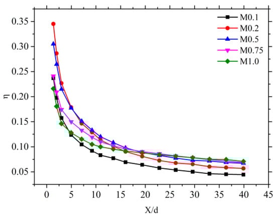
4.1. Single-Hole-Row Film Cooling Characteristics
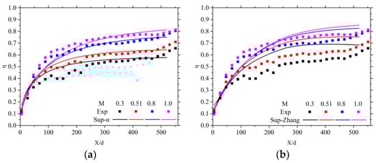
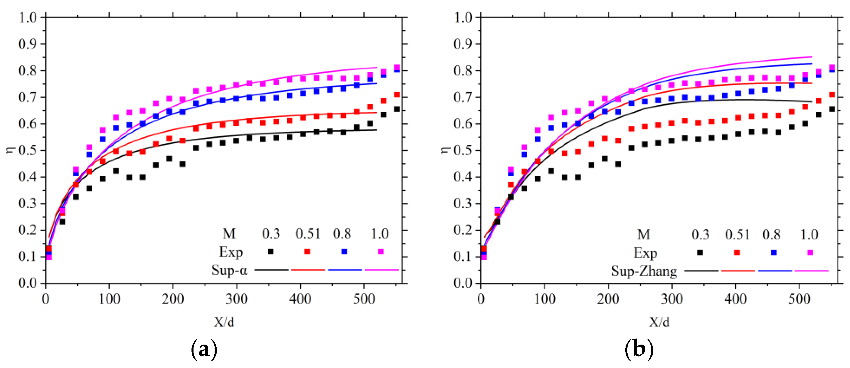
4.2. Analysis of Sellers Model Predictions for Centerline Adiabatic Film Cooling Efficiency
4.3. Analysis of Mainstream Temperature Correction Model Predictions
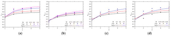
4.3.1. Centerline Cooling Efficiency Prediction
- (a)
- The mainstream temperature has a relatively small effect on the cooling efficiency when the hole rows are small, due to the fact that the lateral and streamwise spreading of film cooling is limited with a small hole row. Thus, it leads to only minor differences in the cooling efficiency predictions of the two models, and both tend to overestimate compared to the experimental values.
- (b)
- The influence of the mainstream temperature correction starts to accumulate as the number of hole rows increases. The mainstream temperature correction model takes into account the interactions between multiple film cooling rows and their complex flow characteristics when the hole rows increase. This makes the predicted results more consistent with the experimental results.
- (c)
- The mainstream temperature correction coefficients gradually increase as the blowing ratio decreases, which means that the mainstream temperature correction model can better capture the interactions between the film and the mainstream at lower blowing ratios, making the predictions closer to the experimental results.
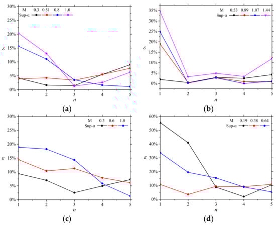
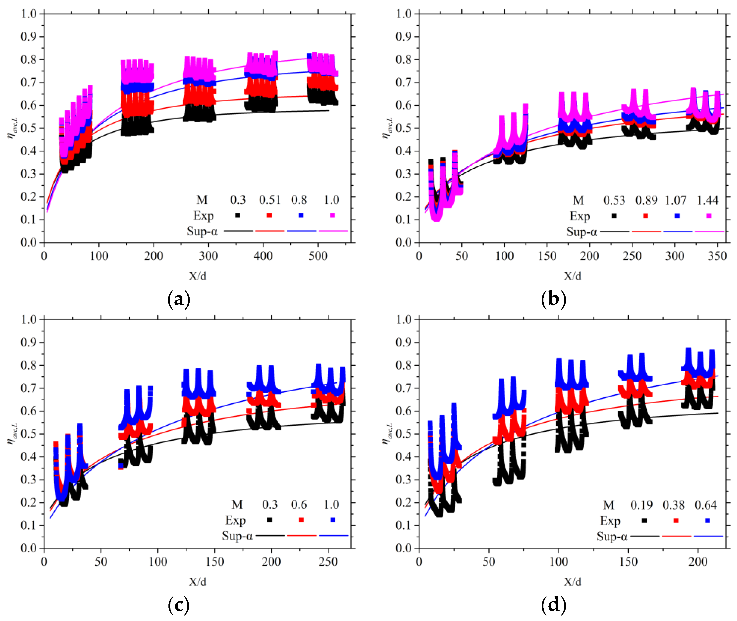
4.3.2. Spanwise Average Cooling Efficiency Prediction
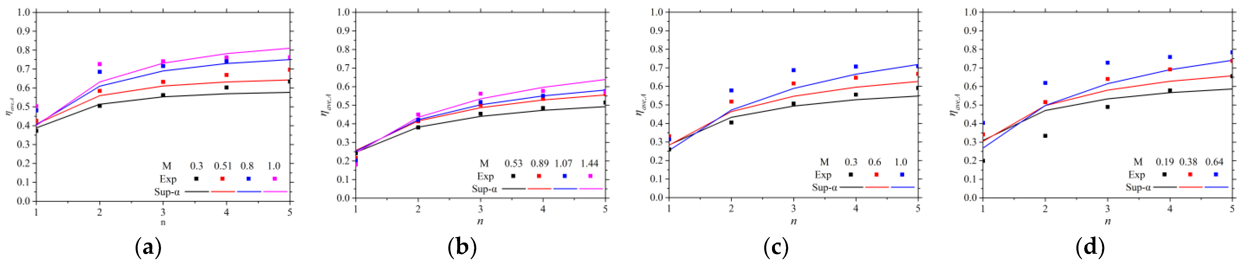
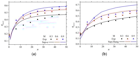
4.3.3. Area-Averaged Cooling Efficiency Prediction
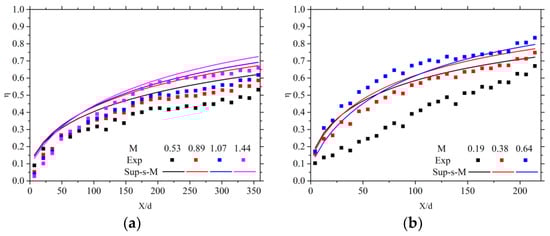
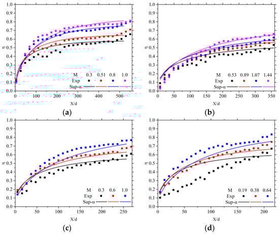
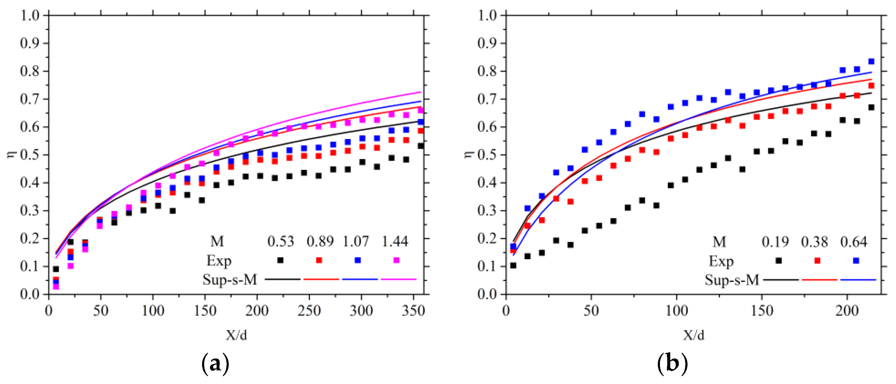
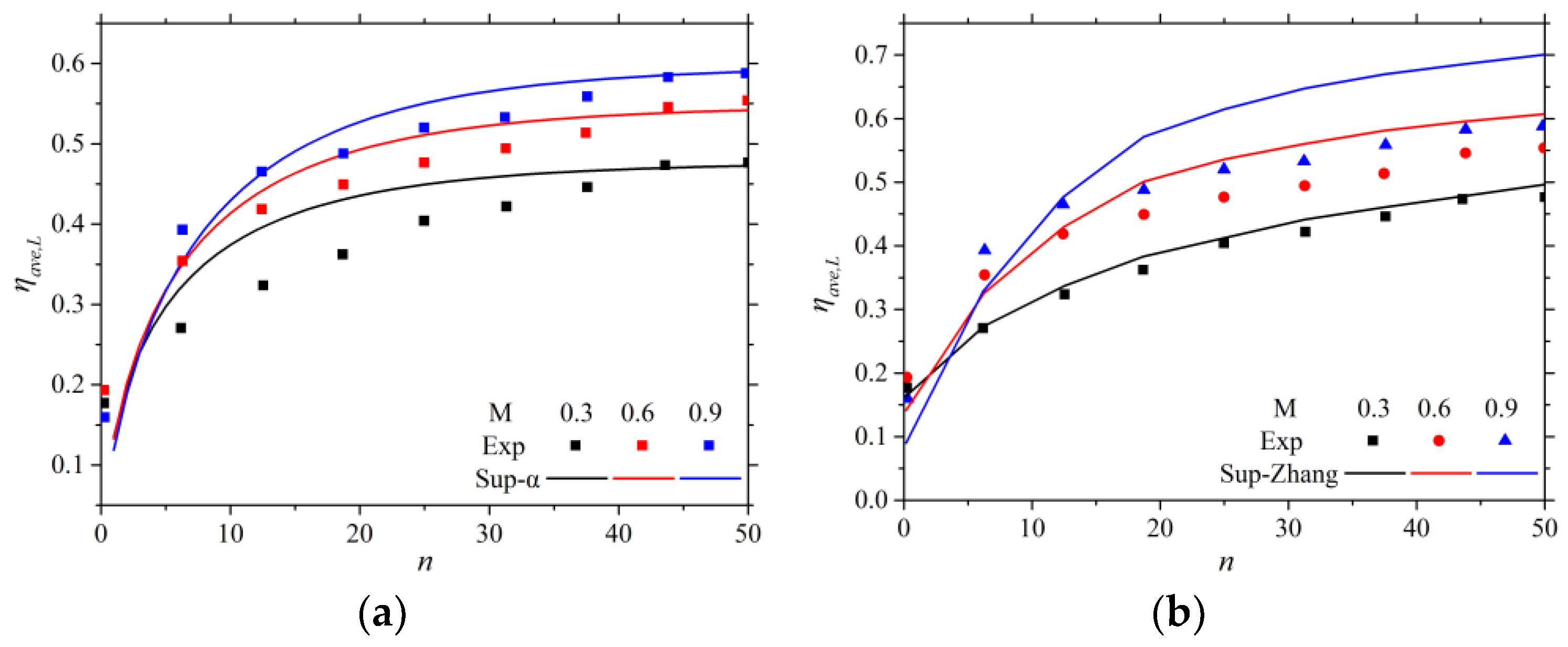
4.4. Comparison with Other Predictive Models
5. Conclusions
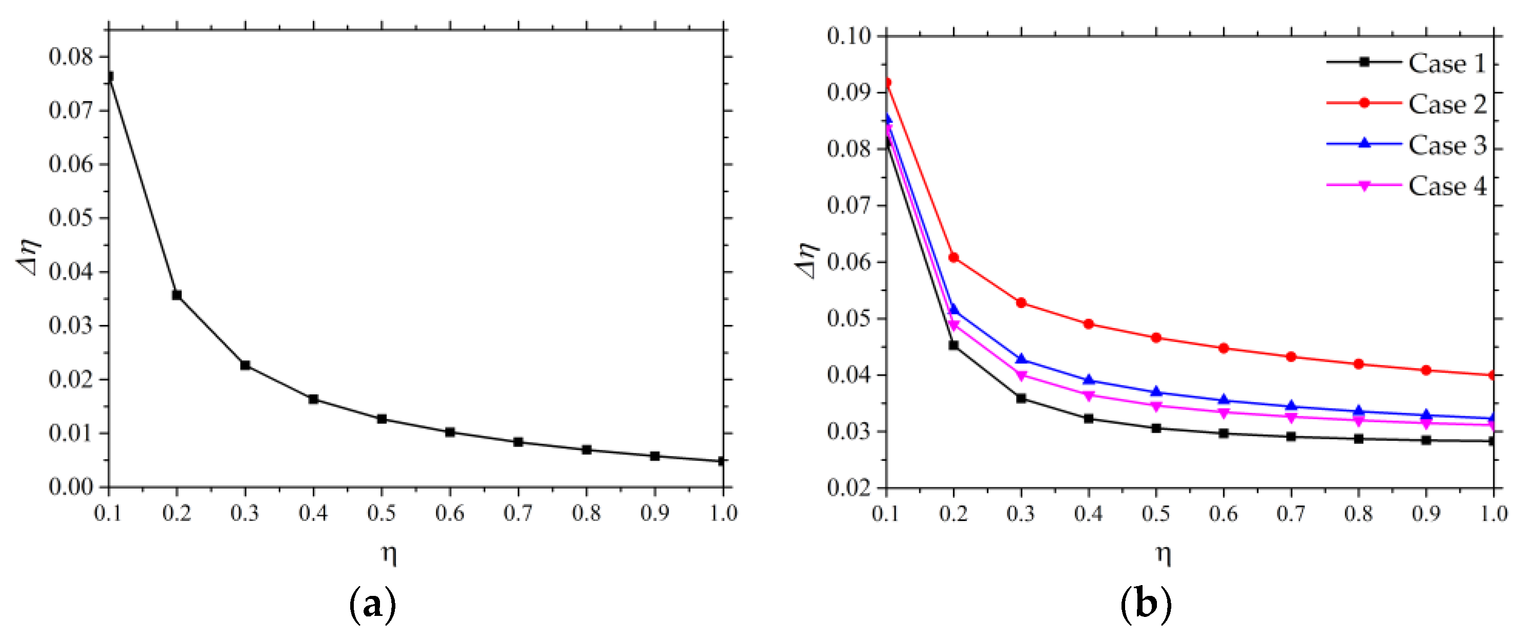
- The existing Sellers method accumulates prediction errors as the number of hole rows increases, resulting in an overestimation of the cooling efficiency compared to experimental results. Although using an equivalent blowing ratio in the Sellers method helps the predicted distribution range align more closely with experimental data, it still tends to underestimate the variation in the cooling efficiency across different blowing ratios while overestimating the film cooling efficiency at different positions.
- Introducing a mainstream temperature correction factor effectively addresses the overestimation of the cooling efficiency in the prediction model. This correction improves the accuracy of predictions across various blowing ratios, resulting in better agreement with experimental data. In most cases, the prediction accuracy is higher at lower blowing ratios and with a larger number of hole rows.
- Compared to existing models in the literature, the proposed model demonstrates higher prediction accuracy under most conditions. It provides a simplified modified model that can be easily applied in the design of turbine outer rings and other similar structures with film cooling.
Author Contributions
Funding
Data Availability Statement
Conflicts of Interest
Nomenclature
| area | empirical coefficient | ||
| empirical coefficient | empirical coefficient | ||
| diameter | experiment | ||
| height of the test plate | length of the test plate | ||
| infrared | thermocouple temperature | ||
| blowing ratio | mass flow rate | ||
| infrared window index | pitch of holes | ||
| Sellers superposition model | hole spacing | ||
| Sellers superposition model with equivalent bleed ratio | |||
| superposition model based on mainstream temperature correction | |||
| slot width | temperature | ||
| velocity | width of the test plate | ||
| distance from the origin along the streamwise direction | |||
| mainstream temperature correction factor | |||
| error value | film cooling efficiency | ||
| dimensionless temperature | density | ||
| Subscripts | |||
| initial state | film hole row | ||
| film hole row | area average | ||
| line average | adiabatic wall | ||
| coolant | equivalent state | ||
| exp | experiment result | mainstream | |
| film hole row | film hole row | ||
| film hole row | maximum value | ||
| minimum value | film hole row | ||
| prediction result | |||
| Superscripts | |||
| modified parameters | |||
References
- Zhang, J.; Zhang, S.; Wang, C.; Tan, X. Recent advances in film cooling enhancement: A review. Chin. J. Aeronaut. 2020, 33, 1119–1136. [Google Scholar] [CrossRef]
- Wang, W.; Yan, Y.; Zhou, Y.; Cui, J. Review of Advanced Effusive Cooling for Gas Turbine Blades. Energies 2022, 15, 8568. [Google Scholar] [CrossRef]
- Baek, S.I.; Ahn, J. Large Eddy Simulation of Film Cooling with Triple Holes: Injectant Behavior and Adiabatic Film-Cooling Effectiveness. Processes 2020, 8, 1443. [Google Scholar] [CrossRef]
- Baek, S.I.; Ahn, J. Large Eddy Simulation of Film Cooling Involving Compound Angle Holes: Comparative Study of LES and RANS. Processes 2021, 9, 198. [Google Scholar] [CrossRef]
- Ravelli, S.; Barigozzi, G. Numerical evaluation of heat/mass transfer analogy for leading edge showerhead film cooling on a first-stage vane. Int. J. Heat Mass Transf. 2019, 129, 842–854. [Google Scholar] [CrossRef]
- Wang, H.; Tao, Z.; Zhou, Z.; Han, F.; Li, H. Experimental and numerical study of the film cooling performance of the suction side of a turbine blade under the rotating condition. Int. J. Heat Mass Transf. 2019, 136, 436–448. [Google Scholar] [CrossRef]
- Collopy, H.; Ligrani, P.M.; Xu, H.; Fox, M. Effects of pressure side film cooling hole placement and condition on adiabatic film cooling effectiveness characteristics of a transonic turbine blade tip. Int. J. Heat Mass Transf. 2022, 199, 123462. [Google Scholar] [CrossRef]
- Wang, N.; Shiau, C.-C.; Han, J.-C.; Xu, H.; Fox, M. Turbine vane endwall film cooling from mid-chord or downstream rows and upstream coolant injection. Int. J. Heat Mass Transf. 2019, 133, 247–255. [Google Scholar] [CrossRef]
- Li, Z.; Xie, P.; Zeng, Q.; Chen, X. Study of Tangential Effusion Cooling of a Combustor Liner. Processes 2023, 11, 2433. [Google Scholar] [CrossRef]
- Li, Z.; Wang, L.; Mao, J.; Bi, S.; Wang, F. Experimental Study on Impingement and Film Overall Cooling Characteristics of Turbine Shroud. J. Therm. Sci. 2022, 31, 239–250. [Google Scholar] [CrossRef]
- Lee, C.-P.; Robinson, G.D.; Orlando, R.J. Duplex Turbine Shroud. U.S. Patent 8104292B2, 31 January 2012. [Google Scholar]
- Cui, H.; Wang, L.; Li, X.; Ren, J. Data-Driven Conjugate Heat Transfer Analysis of a Gas Turbine Vane. Processes 2022, 10, 2335. [Google Scholar] [CrossRef]
- Sellers, J.P., Jr. Gaseous film cooling with multiple injection stations. AIAA J. 1963, 1, 2154–2156. [Google Scholar] [CrossRef]
- Muska, J.F.; Fish, R.W.; Suo, M. The Additive Nature of Film Cooling from Rows of Holes. J. Eng. Power 1976, 98, 457–463. [Google Scholar] [CrossRef]
- Mhetras, S.; Han, J.-C. Effect of Superposition on Spanwise Film-Cooling Effectiveness Distribution on a Gas Turbine Blade. In Proceedings of the ASME 2006 International Mechanical Engineering Congress and Exposition, Chicago, IL, USA, 5–10 November 2006; pp. 477–487. [Google Scholar]
- Mhetras, S.; Han, J.-C.; Rudolph, R. Film-Cooling Effectiveness from Shaped Film Cooling Holes for a Gas Turbine Blade. In Proceedings of the ASME Turbo Expo 2008: Power for Land, Sea, and Air, Berlin, Germany, 9–13 June 2008; pp. 837–848. [Google Scholar]
- Wang, P.F.; Xu, Q.Z.; Liu, J.; Wang, P.; Du, Q.; Wang, Z.G. Experimental and unsteady numerical investigations on cooling characteristics of trailing-edge cutback with effect of upstream film holes. Int. J. Therm. Sci. 2023, 193, 108423. [Google Scholar] [CrossRef]
- Sasaki, M.; Takahara, K.; Kumagai, T.; Hamano, M. Film Cooling Effectiveness for Injection from Multirow Holes. J. Eng. Power 1979, 101, 101–108. [Google Scholar] [CrossRef]
- Meng, T.; Zhu, H.-r.; Liu, C.-l.; Wei, J.-s. Investigation on the Accuracy of Superposition Predictions of Film Cooling Effectiveness. Int. J. Turbo Jet-Engines 2018, 35, 181–192. [Google Scholar] [CrossRef]
- Li, B.; Liu, C.; Ye, L.; Zhou, T. Evaluation of Film Cooling Effect in Multi-Row Hole Configurations on Turbine Blade Leading Edge. Energy 2024, 309, 132908. [Google Scholar] [CrossRef]
- Li, B.-r.; Zhou, T.-l.; Liu, C.-l.; Ye, L.; Zhang, F. Showerhead Film Cooling Mechanism and Superposition Characteristics of Turbine Blade Leading-Edge. In Proceedings of the ASME Turbo Expo 2024: Turbomachinery Technical Conference and Exposition, London, UK, 24–28 June 2024. [Google Scholar]
- Anderson, J.B.; Winka, J.R.; Bogard, D.G.; Crawford, M.E. Evaluation of Superposition Predictions for Showerhead Film Cooling on a Vane. J. Turbomach. 2014, 137, 041010. [Google Scholar] [CrossRef]
- Takeishi, K.; Oda, Y.; Nagao, T.; Sakamoto, H. Superposition method for multi rows of a film cooling hole on a turbine stationary vane surface. Heat Transf. Xiv Simul. Exp. Heat Transf. Its Appl. 2016, 106, 11–24. [Google Scholar]
- Wang, L.; Li, X.; Ren, J.; Jiang, H. Effect of Row Spacing on the Accuracy of Film Cooling Superposition Method. In Proceedings of the ASME Turbo Expo 2018: Turbomachinery Technical Conference and Exposition, Oslo, Norway, 11–15 June 2018; pp. 463–472. [Google Scholar]
- Murray, A.V.; Ireland, P.T.; Wong, T.H.; Tang, S.W.; Rawlinson, A.J. High resolution experimental and computational methods for modelling multiple row effusion cooling performance. Int. J. Turbomach. Propuls. Power 2018, 3, 4. [Google Scholar] [CrossRef]
- Huo, T.Y.; Xing, J.J.; Han, S.H.; Guo, T.R.; Li, L.; Du, X.Z.; Zhang, R.S.; Zhou, L.P.; Zhang, H. Accurate predictions of mist assisted film cooling characteristics and effectiveness on a flat plate with double-row holes. Int. J. Heat Mass Transf. 2024, 227, 125595. [Google Scholar] [CrossRef]
- Chen, Z.; Li, Y.; Su, X.; Yuan, X. Accuracy Assessment of the Sellers Model in Predicting the Multi-Row Film cooling Performance. In Proceedings of the ASME Turbo Expo 2020: Turbomachinery Technical Conference and Exposition, Virtual Online, 21–25 September 2020. [Google Scholar]
- Liu, H.; Du, Q.; Xu, Q.; Xu, J.; Xu, G.; Li, H.; Wang, P. Film Superposition Characteristics With Laidback Fan-Shaped Holes Under the Influence of Internal Crossflow. In Proceedings of the ASME Turbo Expo 2024: Turbomachinery Technical Conference and Exposition, London, UK, 24–28 June 2024. [Google Scholar]
- Ethridge, M.I.; Cutbirth, J.M.; Bogard, D.G. Effects of Showerhead Cooling on Turbine Vane Suction Side Film Cooling Effectiveness. In Proceedings of the ASME 2000 International Mechanical Engineering Congress and Exposition, Orlando, FL, USA, 5–10 November 2000; pp. 69–78. [Google Scholar]
- Polanka, M.D.; Ethridge, M.I.; Cutbirth, J.M.; Bogard, D.G. Effects of Showerhead Injection on Film Cooling Effectiveness for a Downstream Row of Holes. In Proceedings of the ASME Turbo Expo 2000: Power for Land, Sea, and Air, Munich, Germany, 8–11 May 2000. [Google Scholar]
- Li, X.; Ren, J.; Jiang, H. Multi-row film cooling characteristics on a vane endwall. Int. J. Heat Mass Transf. 2016, 92, 23–33. [Google Scholar] [CrossRef]
- Andreini, A.; Carcasci, C.; Gori, S.; Surace, M. Film cooling system numerical design: Adiabatic and conjugate analysis. In Proceedings of the ASME 2005 Summer Heat Transfer Conference, San Francisco, CA, USA, 17–22 July 2005; pp. 9–20. [Google Scholar]
- Wang, L.; Li, X.; Lie, W.; Ren, J.; Jiang, H. Superposition Characteristics of Full Coverage Film Cooling with Various Blowing Ratio and Row Number. In Proceedings of the Asme Turbo Expo 2019: Turbomachinery Technical Conference and Exposition, Phoenix, AZ, USA, 17–21 June 2019. [Google Scholar]
- Chen, Z.; Mao, Y.; Hu, K.; Su, X.; Yuan, X. 2-D prediction method for multi-row film cooling effectiveness. Appl. Therm. Eng. 2021, 199, 117607. [Google Scholar] [CrossRef]
- Zhang, Z.; Zhu, H.R.; Liu, C.L.; Zhang, B.L.; Yao, C.Y.; Wu, Z. Effects of Holes Arrangement on the Superposition Characteristics of Film Cooling Effectiveness. J. Thermophys. Heat Transf. 2022, 36, 556–567. [Google Scholar] [CrossRef]
- Xu, Z.; Zhu, H.; Liu, C.; Ye, L.; Zhou, D. Film Cooling Effectiveness Superposition Calculation of Double-Row Injection Holes on Turbine Vane. J. Therm. Sci. 2022, 31, 2424–2437. [Google Scholar] [CrossRef]
- Zhang, F.; Liu, C.; Wang, W.; Ye, L.; Li, B.; Liu, F. Film superposition prediction method for film cooling layouts with same opening ratio on the turbine blade. Appl. Therm. Eng. 2023, 233, 121105. [Google Scholar] [CrossRef]
- Zhang, F.; Liu, C.; Ye, L.; Ran, Y.; Zhou, T.; Yan, H. Study on the film superposition method for dense multirow film Hole layouts. Energy 2024, 293, 130607. [Google Scholar] [CrossRef]
- Kirollos, B.; Povey, T. An Energy-Based Method for Predicting the Additive Effect of Multiple Film Cooling Rows. J. Eng. Gas Turbines Power 2015, 137, 122607. [Google Scholar] [CrossRef]
- An, B.; Liu, J. Study on Additive Effect of Film Cooling Effectiveness in Two Rows of Fan-Shaped Holes. J. Turbomach. 2024, 146, 021012. [Google Scholar]
- Berkache, A.; Amroune, S.; Jawaid, M.; Singh, B. Investigating crossflow interactions in multi-perforation cooling systems: Experimental and numerical insights. Appl. Therm. Eng. 2024, 252, 123681. [Google Scholar] [CrossRef]
- Bogard, D.G.; Thole, K.A. Gas Turbine Film Cooling. J. Propuls. Power 2006, 22, 249–270. [Google Scholar] [CrossRef]
- Harrington, M.K.; McWaters, M.A.; Bogard, D.G.; Lemmon, C.A.; Thole, K.A. Full-Coverage Film Cooling with Short Normal Injection Holes. In Proceedings of the ASME Turbo Expo 2001: Power for Land, Sea, and Air, New Orleans, LA, USA, 4–7 June 2001. [Google Scholar]
- Moffat, R.J. Describing the uncertainties in experimental results. Exp. Therm. Fluid Sci. 1988, 1, 3–17. [Google Scholar] [CrossRef]
- Eckert, E.; Goldstein, R.; Ramsey, J. Film Cooling with Injection Through a Circular Hole Summary Report. NASA-CR-54604; NASA Lewis Research Center: Cleveland, OH, USA, 1968. [Google Scholar]



















| Category Number | Reference | Superposed Model Equation | Remark |
|---|---|---|---|
| 1 | Andreini et al. [32] Wang et al. [33] | , , | “c” is a critical row in full-coverage film cooling, and after this row, the film cooling efficiency for an extra row would not change. |
| 2 | Murray et al. [25] Chen et al. [27] Chen et al. [34] | , | The original one-dimensional Sellers superposition model is extended to a two-dimensional model. |
| 3 | Zhang et al. [35] | , | |
| Xu et al. [36] | , | , | |
| Huo et al. [26] | . | ||
| Zhang et al. [37] | , | . | |
| Zhang et al. [38] | , | , , , is the non-uniformity of the gas film flow direction. | |
| 4 | Kirollos et al. [39] | , , | |
| An et al. [40] | , | . |
| 1 | 25 | 88 |
| 2 | 162 | 225 |
| 3 | 298 | 361 |
| 4 | 433 | 496 |
| 5 | 569 | 632 |
| 1.2 | 3.5 | 10.5 | ||
| 1.8 | 4.7 | 14 | ||
| 2.4 | 3.5 | 10.5 | ||
| 3.0 | 2.8 | 8.4 |
| Test Plate | ||||
|---|---|---|---|---|
| 1.59201 | −35.2228 | 0.00983 | 0.51673 | |
| 1.55714 | −32.8684 | 0.02699 | 1.66951 | |
| 1.57663 | −33.1008 | 0.01902 | 1.00251 | |
| 1.59836 | −35.0375 | 0.01516 | 0.87287 |
| Predictive Model | in This Study | in Zhang’s Study | |||||
|---|---|---|---|---|---|---|---|
| This study | |||||||
| Zhang et al. [38] | |||||||
Disclaimer/Publisher’s Note: The statements, opinions and data contained in all publications are solely those of the individual author(s) and contributor(s) and not of MDPI and/or the editor(s). MDPI and/or the editor(s) disclaim responsibility for any injury to people or property resulting from any ideas, methods, instructions or products referred to in the content. |
© 2025 by the authors. Licensee MDPI, Basel, Switzerland. This article is an open access article distributed under the terms and conditions of the Creative Commons Attribution (CC BY) license (https://creativecommons.org/licenses/by/4.0/).
Share and Cite
Gao, Z.; Qiu, T.; Liu, P.; Ding, S.; Li, Z.; Cheng, R.; Yuan, Q. A Study on the Film Superposition Method for the Multi-Row Film Cooling of the Turbine Outer Ring. Processes 2025, 13, 143. https://doi.org/10.3390/pr13010143
Gao Z, Qiu T, Liu P, Ding S, Li Z, Cheng R, Yuan Q. A Study on the Film Superposition Method for the Multi-Row Film Cooling of the Turbine Outer Ring. Processes. 2025; 13(1):143. https://doi.org/10.3390/pr13010143
Chicago/Turabian StyleGao, Ziqiang, Tian Qiu, Peng Liu, Shuiting Ding, Zongchao Li, Ronghui Cheng, and Qiyu Yuan. 2025. "A Study on the Film Superposition Method for the Multi-Row Film Cooling of the Turbine Outer Ring" Processes 13, no. 1: 143. https://doi.org/10.3390/pr13010143
APA StyleGao, Z., Qiu, T., Liu, P., Ding, S., Li, Z., Cheng, R., & Yuan, Q. (2025). A Study on the Film Superposition Method for the Multi-Row Film Cooling of the Turbine Outer Ring. Processes, 13(1), 143. https://doi.org/10.3390/pr13010143

