Abstract
This study reports a new and simple method for applying and dispersing carbon nanotubes (CNTs) in polymers, without prior chemical treatment or functionalization. The process is innovative, fast, and carried out at room temperature, without the need for specialized labor, just using the cavitation energy of ultrasonic bath to enhance properties such as impermeability and high electrical conductivity. The time of the dispersion process is 30 min and diverse concentrations of carbon nanotubes (0.1%, 0.5%, and 2%) in the total road marking paint mass were employed. This study also demonstrates the effect of the nanostructured paint applied to roadways, based on the macro texture (sand test) and in the microstructure pattern obtained (British Pendulum Tester). In addition, this study demonstrates that achieving an effective dispersion of CNTs in road marking paints produces a conductive and thermally stable paint, which also serves as a promising waterproof layer, expanding its applications in road maintenance, for example. The results from the sample with a 2% CNT content revealed enhancements in polymer conductivity in contrast to the reference, coupled with increases of up to 20% in impermeability to water and glycerin. No alteration in wettability is noted in automotive oil upon the introduction of CNTs, implying that nanostructured road paints could augment safety, traffic flow efficiency, and the environmental sustainability of future transport systems.
1. Introduction
Particles with nanoscale dimensions, also known as nanoparticles or nanomaterials, have been incorporated into polymeric matrices to produce materials with different chemical and physical properties [1]. Researchers worldwide are using these composites in various applications to reduce the weight of certain components and to enhance the mechanical, thermal, electrical, and chemical properties of existing materials. In this sense, polymeric matrices can also be enhanced through the addition of nanometric particles such as carbon nanotubes (CNTs) [2,3,4].
Carbon nanotubes are stable systems with considerable chemical inertness due to the strong covalent bonds of carbon atoms on the nanotube’s surface. In addition, their high aspect ratio makes them widely used in several composite, in order to enhance their electrical and mechanical properties [5,6,7,8]. They also possess unique and extraordinary properties such as high mechanical strength, good heat conduction, and distinctive thermal properties. However, CNTs are hydrophobic materials, thus, tending to agglomerate in composite materials, so achieving uniform dispersion of nanomaterials in the matrix requires specific chemical processes at a high cost [9,10,11]. For this reason, the industrial-scale application of nanomaterials is often considered an obstacle to the widespread adoption of this technology.
Typically, conductive polymer composites are produced by blending conductive fillers, such as nanometallic materials and inorganic substances [12]. In paints, carbon nanotubes have great potential as anticorrosion agents and de-icing additives due to their excellent electrical conductivity, as well as for other applications due to their mechanical properties and large surface area. However, their uniform dispersion in the polymeric matrix, until now, requires the use of surfactants/additives or sophisticated chemical processes, with some chemical modification. Furthermore, recent research has introduced a new hyperdispersant, polymethylnaphthol sulfonate (PMNS), developed to enhance the dispersion of CNTs in the polymeric matrix [13]. As a result, CNTs have real potential for processing polymer composites and achieving mechanical reinforcement, as well as improving thermal and electrical conductivity, making the materials lighter [14,15,16].
Recent studies show that carbon nanotubes can be used in road systems to promote accelerated de-icing in countries with harsh winters in a sustainable and effective manner [17]. Thus, composite materials based on carbon nanotubes have attracted attention for improving road systems during winter, as the dispersion of these nanomaterials in polymeric structures can enhance thermal stability, resistance to photooxidation, and mechanical strength properties, while providing the resulting nanocomposites with the ability to exhibit functional properties such as high electrical conductivity and responsiveness to de-icing. Joule heating effects occur when an electric current passes through a conductive polymer composite. CNTs demonstrate a significant self-heating effect when an electric current is applied, enabling a new application [2,18,19]. A prior study looked into a nanocomposite consisting of carbon nanotube (CNT)-modified polyurethane (PU), where the proposed CNT/PU coatings showed promise for use as multifunctional road coating materials for the detection of freezing temperature and deicing by self-heating [3].
Functionalizing CNTs is considered an efficient approach to prevent their agglomeration and enhance charge transfer between the CNTs and polymer interface, leading to improved dispersion and stronger interfacial interactions [20]. The use of ultrasound to disperse previously functionalized CNTs or those with surfactants agents (additives) is common [15,21,22,23]. Herein, we present a new nanostructured road marking paint composite, obtained in a simple manner, free from additives, surfactants, or sophisticated chemical processes such as functionalization, for the incorporation of carbon nanotubes into polymeric matrices. The novel incorporation method involves the use of bath ultrasound, utilizing cavitation energy at room temperature, which promotes the homogeneous dispersion of CNTs in paints and high dispersion stability over time. This improvement enhances polymer properties such as impermeability and conductivity when CNTs are used as fillers.
The bath ultrasound (US) technique uses cavitation as an energy source, with control parameters such as frequency and duration of ultrasound used to achieve higher dispersion efficiency. This ensures there is sufficient energy to separate CNT agglomerates without damaging their structure. The cavitation generated by ultrasound produces intense shockwaves, instantaneous increases in temperature and pressure increases, and chemical effects in the medium, all of which result from the collapse of cavities or microbubbles within a liquid solution.
The process described herein is a simple alternative for the homogeneous incorporation of as-grown carbon nanotubes into polymers. The effective dispersion of nanomaterials in road marking paint is observed through wettability tests, electrical conductivity measurements, as well as thermogravimetry and infrared spectroscopy, allowing the percolation and influence of CNTs in paint to be observed. The limit of CNTs used in a composite is usually around 1% of the total matrix mass, a limitation that hampers the material’s scalability. We demonstrate, herein, the incorporation of 2.0% CNTs into road marking paint enables an improvement of up to 20% in impermeability. Therefore, this study offers new perspectives for the practical application of nanostructured road paints in the industry, with improved impermeability and electrical conductivity properties achieved in a simple and economically viable manner, at no additional cost beyond the synthesis of CNTs.
2. Experimental
2.1. Procedures and Equipment
The following procedures and equipment were used for the characterization of the materials and the road paint samples:
- Morphological analyses by scanning electron microscopy (SEM) were performed using a Vega3-TESCAN microscope equipped with an integrated X-ray dispersive energy spectrometer (EDS), TESCAN headquartered in Brno, Czech Republic. The working distance and acceleration voltage during EDS analysis were set at 15 mm and 20 kV, respectively. Voltage range of 2–5 kV, and magnifications ranging from 5000× to 100,000× were employed.
- Transmission electron microscopy (TEM) was carried out on CNTs using a FEI-Tecnai G2-20 SuperTwin microscope, produced by FEI Company, Hillsboro, Oregon (USA), operating at a voltage of 200 kV.
- The structural quality of the carbon nanotubes was analyzed by Raman spectroscopy, at 25 °C with λ excitation at 532 nm, using a Horiba iHR320 spectrometer, equipped with a CCD detector, manufactured by HORIBA, Monpellier, France.
- Thermal stability of the carbon nanotubes and paint samples was analyzed by thermogravimetry (TGA) using a TGA apparatus (60 Shimadzu), produced by Shimadzu Corporation, Kyoto (Japan). The measurements were taken between 25 °C and 800 °C with a ramp rate of 5 °C/min.
- FTIR measurements were performed in paint using a Fourier transform infrared spectrophotometer (Frontier—Perkin Elmer) in transmittance mode, manufactured by PerkinElmer, Inc.940 Winter Street Waltham, MA 02451 USA. The average spectrum obtained was 32 scans in a frequency range of 4000–400 cm−1 with a resolution of 4 cm−1.
- Electrical characterization of the paint using a Keithley Sourcemeter, manufactured by Tektronix and Keithley (USA), model 2400 was conducted at room temperature.
- Skid resistance of surface tests were performed using British Pendulum Tester, manufactured by Controls, Milan (Italy).
- Viscosity measurements were conducted using a Brookfield Rheometer, produced by by AMETEK Brookfield (USA).
- Macrotexture measurements were conducted using the Sand Patch Test.
2.2. Catalyst Preparation and Carbon Nanotube Synthesis
To prepare carbon nanotubes, a catalyst based on Iron and Cobalt supported on Magnesium Oxide (MgO) was developed. The catalyst will be referred to as Fe:Co:MgO and it was obtained from a mixture of iron chloride hexahydrate (FeCl3·6H2O) and cobalt nitrate hexahydrate (Co(NO3)2·6H2O). The ionic solution of Fe and Co salts, diluted in alcohol, is mixed with MgO via maceration and then calcined at 550 °C for 2 h in an oxidizing atmosphere, an oxidation process, already described in previous works [24,25]. Figure 1 schematically illustrates the described process.
Figure 1.
Representative scheme for process catalyst Fe:Co:MgO preparation.
The synthesis of CNTs was performed via chemical vapor deposition (CVD) using argon as a carrier gas (500 sccm) and ethylene as the carbon source (300 sccm). The growth time and temperature for CNTs has been studied in previous works [24,25], and 25 min and 750 °C were found to be the optimal parameters. Figure 2 illustrates the CNT production process, featuring the catalyst (Fe:Co:MgO) in Figure 2a, the material in synthesis process in Figure 2b,c, and the material after 25 min of growth and subsequent cooling to room temperature in Figure 2d–f. The carbon mass gain (Yield) [26] was approximately 2000%, resulting in the high purity and low metal residues of the CNTs.
Figure 2.
Boat with sample before (a), into (b,c), and after (d–f) CNT synthesis using CVD process.
2.3. Preparation of Nanostructured Road Marking Paints
The process of obtaining nanostructured road marking paint described here is achieved in a simple manner, free from additives, surfactants, and chemical processes, such as functionalization for the incorporation of carbon nanotubes in polymeric matrices. The novel incorporation method involves the use of bath ultrasound, utilizing cavitation energy at room temperature [27]. This promotes the homogeneous dispersion of CNTs in paints and ensures high dispersion stability over time. It shows promise in enhancing polymer properties such as improved wettability and electrical conductivity. These characteristics make the resulting composite applicable as a road protector in terms of snow melting (Joule effect) and waterproofing layer, potentially contributing to accident prevention.
Figure 3 shows optical photos of the dispersion method used. The as grown CNTs (Figure 3a) are introduced into road marking paint (manufactured by Supermax®, Córrego Fundo, Brazil) at different concentrations relative to the polymer mass (0.1%, 0.5%, and 2% CNT) (Figure 3b), and subjected to a bath ultrasound (US) with oscillation frequency ranging from 15 to 40 Hz, preferably 20 Hz, for 30 min (Figure 3c). The entire process is conducted at room temperature. The same bath ultrasound process is applied to the reference paint to subject it to the same cavitation energy. Thus, nanostructured road marking paints are obtained for direct application (Figure 3d). Subsequently, these materials are applied to glass slides (with a 0.38 mm spacer) and dimensions of 50 × 76 mm, for wettability and impermeability measurements (Figure 3e,f) and placed in silicone molds for drying, enabling measurements of electrical conductivity, Fourier infrared spectroscopy (FTIR), thermogravimetry (TGA) and scanning electron microscopy (SEM). There is no significant change in the color of the road paint at low CNT concentrations (≤0.5%).
Figure 3.
Optical photos showing CNTs and road marking paint (a), nanostructured paints at various concentrations of CNT (b), dispersion of the material with US (c), appearance of nanostructured paints at various concentrations (d), and glass slides painted with the paints (e,f).
3. Results and Discussion
3.1. Characterization of the CNT from Fe:Co:MgO
The catalyst used, Fe:Co:MgO, has Fe and Co nanoparticles dispersed in magnesium oxide to promote of a larger volume of CNTs by CVD, as the exposure of metallic particles to ethylene. In this way, energy dispersive spectroscopy (EDS) from catalyst analysis on SEM images in Figure 4a reveals the metals present in the catalyst (Figure 4b).
Figure 4.
SEM (a) and EDS (b) analyses from Fe:Co:MgO catalyst.
The maximum yield of CNTs by CVD using Fe:Co:MgO was achieved at 25 min (2000%), resulting in homogeneous multi-walled carbon nanotubes with a purity of up to 98% (Figure 5a), as indicated by TGA analysis results. This analysis shows a residual mass percentage lower than 3% and the presence of structurally high-quality CNTs, with a DTG peak around 585 °C [24,25,26]. In Figure 5b, the Raman spectroscopy reveals the presence of three bands as highlighted in the literature [28,29]. The G band, located at approximately 1580 cm −1 and G’ band in 2690 cm−1 are characteristic of the carbon-based materials and indicates the presence of sp2 hybridization associated with tangential mode vibrations of carbon atoms. The D band, observed around 1340 cm−1 is attributed to disordered graphitic material, which may arise from impurities or finite size effects. The ratio between the integrated intensities ID/IG obtained was 0.38 and is inversely proportional to the crystallinity of the material, which means that the low ratio obtained gives indications of good crystallinity. To confirm the structural quality of the produced CNTs, Figure 6 shows SEM (Figure 6a) and TEM images (Figure 6b) of this material. It is possible to observe the presence of fine CNTs (approximately 15–20 nm in outer diameter) and long (several microns), in addition to the absence of amorphous carbon.
Figure 5.
(a) TGA and DTG curves and (b) Raman spectroscopy from CNT as grown.
Figure 6.
SEM (a) and TEM (b) images from CNT.
3.2. Characterization of the Road Marking Paint
The material used is a commercial solvent-based road marking paint, composed mainly of the polymer PMMa and the mineral dolomite (CaMg(CO3)2) (41% w/w) and the chemical composition of the paint revealed by EDS analysis (not shown), presents carbon (91.1%), oxygen (7.94%), aluminum (0.13%), silicon (0.06%), magnesium (0.17%), calcium (0.47%), and titanium (0.13%). The presence of the elements carbon, oxygen, calcium, and magnesium was confirmed in higher proportions, followed by aluminum, the presence of which may be due to another additive used in the formulation of the material. As described above, an ultrasonic bath was used to homogeneously disperse the CNTs in concentrations of 0.1, 0.5, and 2.0%, relative to the total mass of the road marking paint.
The FTIR spectra of the CNTs, road marking paint, and the composites obtained after the addition of different contents of CNTs are presented in Figure 7. The FTIR curve of CNTs (Figure 7a) exhibited a broad and intense band with a peak at 3437 cm−1, typical of the stretching of water of hydration hydroxyl groups, whose vibrational deformation mode is evidenced at 1631 cm−1 [26,30]. As mentioned, the paint used in this study has PMMA polymer and dolomite as its main components. The FTIR curve of the PMMA polymer (Figure 7b) shows absorption bands between 2993 and 2803 cm−1 with peaks attributed to symmetric and asymmetric stretching of -CH3 and symmetric -CH2, as well as absorption bands with a peak at 1728 cm−1 associated with the carbonyl group C=O stretching, at 1158 cm−1 attributed to the oxygen deformation linked to the ether group containing the methyl group CH3 (-C-O-CH3), and 1064 cm−1 characteristic of C-O deformation [31,32,33]. The dolomite mineral (CaMg(CO3)2) is identified as a component of the paint through the absorption band with a pronounced peak at 1427 cm−1, characteristic of the carbonate ion (CO32−) vibration [34,35]. All these vibrational modes are also present in the FTIR curves of the nanostructured composites (Figure 7b–d), but the addition of CNTs to the paint shows a tendency to shift the CO32− absorption band to a lower wavenumber region, which reached the value of 1420 cm−1 when the nanofiller content increased to 2% w/w (Figure 7e). The OH vibrational mode of adsorbed water can indicate the presence of CNTs in the composites; however, the intensity of this band became noticeable in the FTIR curves of composites with CNT contents higher than 0.5% (Figure 7d,e).
Figure 7.
FTIR spectra of CNTs (a), pure road marking paint (b), and the composites containing 0.1% (c), 0.5% (d), and 2.0% w/w (e) of the nanofiller.
Viscosity and Quality of Asphalt Pavement with Nanostructured Paints
In studies found in the literature, the authors observed that an increase in CNT concentration leads to higher viscosity, as more particles fill the spaces between the molecules of the base fluids, restricting their movement. There is an optimal concentration for surface tension, beyond which the surface tension begins to decrease. As the concentration of CNTs in nanofluids increases, the interaction and entanglement of CNTs within the fluids cause an increase in suspension viscosity [36].
In our study, viscosity and shear stress measurements were performed on 50 g of road marking paint using REF, 0.1%, 0.5%, and 2% CNT relative to the total mass, with the addition of 10% alcohol at dilution. The mixture was subjected to ultrasonic bath treatment for 30 min (cavitation as shown in Figure 3). Measurements were carried out at 25 °C with a 60 s acquisition time per measurement. The data obtained are presented in Figure 8, with a photo of equipment used in the inset. Agglomerated CNTs contribute less effectively to the suspension’s network structure [37,38]. Hence, well-dispersed CNTs result in a greater viscosity increase than poorly dispersed CNTs. Accordingly, the results demonstrate effective CNT dispersion in the paint, as the 2% CNT sample is approximately 89% more viscous than the reference. Consequently, it also exhibits higher shear stress, as shown in Table 1.
Figure 8.
Effect of CNT concentration on the viscosity of road marked paint.
Table 1.
Measurements of the viscosity and shear stress at nanostructured paints.
Figure 9 shows optical images of public roads painted with the nanostructured road marking paint, with rectangular molds of dimensions 1.0 × 0.5 m, along with a representation of the tests conducted on the day of painting (after drying), including the British Pendulum Test (Figure 9a) and the macro texture—sand test (Figure 9b), which are common methods for evaluating asphalt pavement quality [39]. The data obtained are summarized in Table 2 and indicate that CNTs directly influence the microstructure of the asphalt, with a roughness level considered very high for 2% CNT, making it ideal for areas prone to hydroplaning. This investigation remains preliminary, as the impact of vehicular traffic on the durability of road markings using nanostructured paints is being monitored over time. Measurements are conducted every two months over the course of one year. However, they provide evidence supporting the impact of CNT dispersion and its effectiveness in paint applications.
Figure 9.
Optical photos of nanostructured road paint applied to public asphalt surfaces in the British pendulum test (a) and macro texture (sand test) (b).
Table 2.
Evaluation of pavement quality coated with nanostructured paint.
3.3. Influence of CNT on Road Paint Impermeability—Wettability
Commercial road paint with varying concentrations of carbon nanotubes (CNTs) was prepared, and glass plates were coated with an extender to ensure standardized painting (0.38 mm spacer). In these experiments, 3 mL of fluids with different polarities and densities was added. Water, glycerin, and automotive oil were used here, and photographs of the bubbles formed on each surface were taken. The results can be observed in Figure 10. Wettability or the tendency for impermeability can be measured by the interaction between a surface and a specific liquid through the measurement of the so-called contact angle [40]. This is defined as the angle between a plane tangent to a droplet of the liquid and the plane containing the surface where the liquid is deposited. For each surface, this measurement was carried out using the Image J software Version 1.54 by determining of contact angle (θ) and then are summarized in Table 3.
Figure 10.
Photographs of the bubbles formed on each paint sample’s surface for the measurement of the contact angle.
Table 3.
Measurements of the contact angles of the bubbles obtained for different fluids on the paint samples.
The wettability of solid surfaces coated with a layer of paint can be expressed through static and Young’s measurements. The physicochemical processes occurring at the interface, which affect the changes in interaction energies, can be quantified in terms of surface free energy. The classical surface energy balance equation, known as the Young–Dupre relation (Equation (1)), defines the contact angle equilibrium in terms of the free interfacial energies of the system [40].
where γSV, γSL, and γLV denote the free interfaces of solid/vapor, solid/liquid, and liquid/air (tabulated for each fluid), and θ is a contact angle.
Generally, materials treated with surface paint exhibit more hydrophobic surface properties compared to untreated surfaces, resulting in lower values of γSV − γSL [40]. However, the Young equation is applicable to ideal solid surfaces, which are smooth, chemically homogeneous, non-porous, non-deformable, and insoluble [41,42]. Nevertheless, the surface tension of the paint (γSV − γSL) obtained from this model can be observed in Figure 11, providing an indication that CNTs may serve as a protective layer for various fluids, reducing wettability and, consequently, maintaining horizontal lanes while preventing oil retention on the track and accidents, since there is no significant difference in wettability with automotive oil concerning the presence of CNTs.
Figure 11.
Surface tension of the paint (γSV − γSL) at function CNT concentration.
3.4. Morphology, Electrical, and Thermal Properties of Road Paint with Higher CNT Concentration (2.0%)
Figure 12 shows SEM images of the reference road paints (Figure 12a,b) and 2.0% CNT road paints (Figure 12c,d), at different magnifications. For lower concentrations used, images are not shown, as it was not possible to obtain a signal for electrical measurements. It can be observed (Figure 12c,d) that the CNTs do not show visible defects, such as breakage along their length, as they exhibit the typical characteristics of bundles, such as grown CNT, and their distribution on the polymer’s surface is uniform. Thus, the applied methodology facilitates easier dispersion in the road paint and does not require additional preparations, such as purification or any other chemical treatment, making the described process highly applicable to the industry.
Figure 12.
Scanning electron microscopy (SEM) on (a,b) reference and 2.0% CNT (c,d) road marking paint.
Electrical conductivities were analyzed to investigate related characteristics of the CNT dispersion in this dispersion method. The samples were prepared in silicone molds with reference paint and 2.0% CNT, the highest concentration used in this study. After 72 h of air drying, the samples were uniformly spray-coated to deposit gold contacts at different distances (3 mm and 15 mm), and current versus voltage measurements were taken, in a two-probe measurement. Curves of current as a function of voltage make it possible to calculate the sample’s electrical resistivity (ρ [Ω·cm]). The results for the sample with 2.0% CNT can be seen in Figure 13. These results provide evidence of good dispersion and percolation of CNTs in the polymer, as approximately the same resistivity values were measured along the sample. The inset of Figure 13 shows the result from the reference sample, with a contact distance of 3 mm.
Figure 13.
Current X voltage measurements to paint 2.0% CNT sample, and in inset at reference sample.
As can be observed in Figure 13, in the nanostructured paint, even with different contact distances and, consequently, different resistances, the sample exhibits homogeneous resistivity due to the excellent dispersion of CNTs through the developed method. As for the sample without CNT, the reference (inset Figure 13), as expected for pure polymer, it was not possible to measure electrical conductivity. Thus, both the SEM images (Figure 12) and the electrical measurements (Figure 13) made on samples with high CNT concentrations (2.0% by mass) give us an indication that the cavitation energy dispersion method proven to be effective and provides evidence of CNT percolation in the polymer due to the high conductivity exhibited and the large quantity of CNTs presents. One possible application is that, due to its excellent conductivity, CNTs have great potential as an intelligent metal anti-corrosion additive in paint [13].
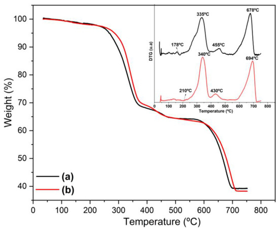
The thermal analyses using TGA (thermogravimetric analysis) plot of road marking paint in synthetic air shows thermal events below the temperature of 178 °C with a total mass loss of 2.0%, which can be attributed to the loss of residual solvent or free MMa monomers (Figure 14). Above this temperature, three events with significant mass losses corresponding to the thermal decomposition of PMMa and dolomite are observed. The thermal event between the temperature range of 178 °C and 405 °C with a mass loss of 30% can be attributed to the decomposition of PMMa polymeric chains, while the combustion of the products formed in this process occurs between 405 °C and 489 °C with a mass loss of 3% [43]. It was shown in their work that pure dolomite decomposes to form CaO.MgO in the temperature range of 680 °C to 780 °C [43]. Therefore, the third thermal event between 489 °C and 750 °C with a mass loss of 25% is associated with the decomposition of the mineral; however, the residue content of the degradative process, corresponding to 39% of the mass of the studied sample, may also contain Al, Ti, and Si oxides, considering the technical data sheet of the road marking paint. The addition of 2.0% of CNTs to the paint increased 32 °C to the thermal event attributed to the initial temperature of the PMMA polymer, providing the composite with greater thermal stability. The same behavior was observed in the literature which describe composites made with pure PMMa and MWCNTs with varying contents between 0.1 and 1.0% w/w, but the maximum gain in thermal stability of the materials was 17 °C [44].
Figure 14.
TGA/DTG curves of road marking paint (a) and of composite with 2.0% w/w of the CNTs (b) in synthetic air.
4. Conclusions
Nanostructured road marking paint is a relatively recent material that demonstrates sustainable and scalable potential for polymer applications with nanostructured composites. In this innovative method, CNTs are dispersed without any chemical processing in polymer matrices, resulting in changes in impermeability and electrical properties, attributed to the presence of the nanomaterial.
The major impacts of this work are as follows:
- (1)
- The use of cavitation energy through ultrasonication allows for the natural dispersion of CNTs in paint, free from additives, surfactants, or functionalization, thus not adding any additional cost to the process beyond the cost of synthesizing the CNTs themselves;
- (2)
- CNTs are uniformly dispersed even at high concentrations (2.0% CNT by total mass), making their dispersion easy for use in the polymer industry without requiring a specialized workforce and
- (3)
- The presence of CNTs in road marking paint produces a conductive paint, more thermally stable, rougher and a promising impermeable layer, expanding its applications in road maintenance, both in icy conditions and under exposure to environmental elements.
Author Contributions
Conceptualization, V.G.; Methodology, I.A.M.d.S. and V.G.; Validation, M.O.d.A., S.P.S., F.M.F. and V.G.; Formal analysis, M.O.d.A., S.P.S., M.C.d.S., E.A.d.M. and V.G.; Investigation, M.O.d.A., S.P.S., M.C.d.S., E.A.d.M., J.d.C.L.C. and V.G.; Writing—original draft, V.G.; Writing—review & editing, I.A.M.d.S., M.C.d.S., E.A.d.M., J.d.C.L.C. and V.G.; Visualization, E.A.d.M., J.d.C.L.C. and F.M.F.; Supervision, V.G.; Project administration, V.G. All authors have read and agreed to the published version of the manuscript.
Funding
This research was funded by Minas Gerais Research Support Foundation (FAPEMIG-APQ-01836-22) and the Federal University of Itajubá (UNIFEI).
Data Availability Statement
The original contributions presented in this study are included in the article. Further inquiries can be directed to the corresponding author.
Conflicts of Interest
The authors declare no conflict of interest.
References
- Omanović-Mikličanin, E.; Badnjević, A.; Kazlagić, A.; Hajlovac, M. Nanocomposites: A brief review. Health Technol. 2020, 10, 51–59. [Google Scholar] [CrossRef]
- Jang, S.-H.; Park, Y.-L. Carbon nanotube-reinforced smart composites for sensing freezing temperature and deicing by self-heating. Nanomater. Nanotechnol. 2018, 8, 1847980418776473. [Google Scholar] [CrossRef]
- Yum, S.-G.; Yin, H.; Jang, S.-H. Toward Multi-Functional Road Surface Design with the Nanocomposite Coating of Carbon Nanotube Modified Polyurethane: Lab-Scale Experiments. Nanomaterials 2020, 10, 1905. [Google Scholar] [CrossRef]
- Ansón-Casaos, A.; Mis-Fernández, R.; López-Alled, C.M.; Almendro-López, E.; Hernández-Ferrer, J.; González-Domínguez, J.M.; Martínez, M.T. Transparent conducting films made of different carbon nanotubes, processed carbon nanotubes, and graphene nanoribbons. Chem. Eng. Sci. 2015, 138, 566–574. [Google Scholar] [CrossRef]
- Tao, J.-R.; Luo, C.-L.; Huang, M.-L.; Weng, Y.-X.; Wang, M. Construction of unique conductive networks in carbon nanotubes/polymer composites via poly(ε-caprolactone) inducing partial aggregation of carbon nanotubes for microwave shielding enhancement. Compos. Part. A Appl. Sci. Manuf. 2023, 164, 107304. [Google Scholar] [CrossRef]
- Wang, Y.; Wang, X.; Cao, X.; Gong, S.; Xie, Z.; Li, T.; Wu, C.; Zhu, Z.; Li, Z. Effect of nano-scale Cu particles on the electrical property of CNT/polymer nanocomposites. Compos. Part. A Appl. Sci. Manuf. 2021, 143, 106325. [Google Scholar] [CrossRef]
- Xu, Y.-T.; Wang, Y.; Zhou, C.-G.; Sun, W.-J.; Dai, K.; Tang, J.-H.; Lei, J.; Yan, D.-X.; Li, Z.-M. An electrically conductive polymer composite with a co-continuous segregated structure for enhanced mechanical performance. J. Mater. Chem. C Mater. 2020, 8, 11546–11554. [Google Scholar] [CrossRef]
- Carvalho, J.D.C.L.; do Amaral, G.G.M.; Soares, D.C.F.; Maia, M.V.; de Souza Oliveira, C.A.; Oliveira, C.E.M.; da Silva, E.E.; de Morais, E.A.; Silva, G.J.B.; Geraldo, V. Synthesis of carbon nanotube-based nanocement: Application in biocompatible mortar with reduced environmental impact. Carbon 2025, 234, 119932. [Google Scholar] [CrossRef]
- Feng, P.; Kong, Y.; Liu, M.; Peng, S.; Shuai, C. Dispersion strategies for low-dimensional nanomaterials and their application in biopolymer implants. Mater. Today Nano 2021, 15, 100127. [Google Scholar] [CrossRef]
- Oliveira, C.E.M.; da Silva, E.E.; de Morais, E.A.; Geraldo, V. Carbon Nanotube Research Developments: Published Scientific Documents and Patents, Synthesis, and Production. In Handbook of Carbon Nanotubes; Springer International Publishing: Cham, Switzerland, 2021; pp. 1–38. [Google Scholar] [CrossRef]
- Huang, Y.Y.; Ahir, S.V.; Terentjev, E.M. Dispersion rheology of carbon nanotubes in a polymer matrix. Phys. Rev. B 2006, 73, 125422. [Google Scholar] [CrossRef]
- Huang, X.; Mo, Y.; Wu, W.; Ye, M.; Hu, C. Preparation and Properties of Waterborne Polyurethane/Carbon Nanotube/Graphene/Cellulose Nanofiber Composites. Processes 2024, 12, 1913. [Google Scholar] [CrossRef]
- Zhang, J.; Chen, J.; Zhu, A. The novel hyperdispersant for CNT in waterborne paint and its metal corrosion protection behavior. J. Mater. Sci. 2023, 58, 10986–10999. [Google Scholar] [CrossRef]
- Gojny, F.; Wichmann, M.; Fiedler, B.; Schulte, K. Influence of different carbon nanotubes on the mechanical properties of epoxy matrix composites—A comparative study. Compos. Sci. Technol. 2005, 65, 2300–2313. [Google Scholar] [CrossRef]
- Ma, P.-C.; Siddiqui, N.A.; Marom, G.; Kim, J.-K. Dispersion and functionalization of carbon nanotubes for polymer-based nanocomposites: A review. Compos. Part. A Appl. Sci. Manuf. 2010, 41, 1345–1367. [Google Scholar] [CrossRef]
- Song, Y.S.; Youn, J.R. Influence of dispersion states of carbon nanotubes on physical properties of epoxy nanocomposites. Carbon 2005, 43, 1378–1385. [Google Scholar] [CrossRef]
- Lee, S.-J.; Jung, Y.-J.; Cho, C.; Jang, S.-H. Effect of Atmospheric Temperature on Epoxy Coating Reinforced with Carbon Nanotubes for De-Icing on Road Systems. Nanomaterials 2023, 13, 2248. [Google Scholar] [CrossRef]
- Chien, A.-T.; Cho, S.; Joshi, Y.; Kumar, S. Electrical conductivity and Joule heating of polyacrylonitrile/carbon nanotube composite fibers. Polymer 2014, 55, 6896–6905. [Google Scholar] [CrossRef]
- Lee, S.-J.; Jung, Y.-J.; Park, J.; Jang, S.-H. Temperature Detectable Surface Coating with Carbon Nanotube/Epoxy Composites. Nanomaterials 2022, 12, 2369. [Google Scholar] [CrossRef]
- Liu, J.Q.; Xiao, T.; Liao, K.; Wu, P. Interfacial design of carbon nanotube polymer composites: A hybrid system of noncovalent and covalent functionalizations. Nanotechnology 2007, 18, 165701. [Google Scholar] [CrossRef]
- Pras, M.; Gérard, J.-F.; Golanski, L.; Quintard, G.; Duchet-Rumeau, J. Key Role of the Dispersion of Carbon Nanotubes (CNTs) within Epoxy Networks on their Ability to Release. Polymers 2020, 12, 2530. [Google Scholar] [CrossRef] [PubMed]
- Chen, S.J.; Zou, B.; Collins, F.; Zhao, X.L.; Majumber, M.; Duan, W.H. Predicting the influence of ultrasonication energy on the reinforcing efficiency of carbon nanotubes. Carbon 2014, 77, 1–10. [Google Scholar] [CrossRef]
- Hiremath, N.; Mays, J.; Bhat, G. Recent Developments in Carbon Fibers and Carbon Nanotube-Based Fibers: A Review. Polym. Rev. 2017, 57, 339–368. [Google Scholar] [CrossRef]
- do Carmo Lima Carvalho, J.; Zerbini Costal, G.; de Morais, E.A.; Martins Oliveira, C.E.; Siqueira, J.S.; da Silva, E.E.; de Souza Oliveira, C.A.; Filho, F.M.; Brigolini Silva, G.J.; Geraldo, V. Synthesis and application of carbon nanotubes grown directly on pozzolanic clay. J. Nanopart. Res. 2023, 25, 186. [Google Scholar] [CrossRef]
- Geraldo, V.; de Oliveira, S.; da Silva, E.E.; de Souza Oliveira, C.A.; de Almeida Cunha, R.M.; de Oliveira, R.F.P.; Oliveira, C.E.M.; de Morais, E.A. Synthesis of carbon nanotubes on sand grains for mortar reinforcement. Constr. Build. Mater. 2020, 252, 119044. [Google Scholar] [CrossRef]
- Costal, G.Z.; Oliveira, C.E.M.; de Morais, E.A.; de Souza Oliveira, C.A.; da Silva, E.E.; Moura Filho, F.; Geraldo, V. High-yield synthesis of carbon nanotubes in-situ on iron ore tailing. Carbon Trends 2021, 5, 100098. [Google Scholar] [CrossRef]
- De Souza, I.A.M.; de Morais, E.A.; Geraldo, V. Waterproofing materials by incorporating as grown carbon nanotubes into paint. J. Polym. Sci. Eng. 2024, 7, 6758. [Google Scholar] [CrossRef]
- Wang, J.; Shen, B.; Lan, M.; Kang, D.; Wu, C. Carbon nanotubes (CNTs) production from catalytic pyrolysis of waste plastics: The influence of catalyst and reaction pressure. Catal. Today 2020, 351, 50–57. [Google Scholar] [CrossRef]
- Thonganantakul, O.; Srinives, S.; Chaiwat, W.; Kerdnawee, K.; Suttiponparnit, K.; Charinpanitkul, T. Temperature dependence of iron oxide-graphene oxide properties for synthesis of carbon nanotube/graphene hybrid material. Catal. Today 2021, 375, 79–86. [Google Scholar] [CrossRef]
- Montanheiro, T.L.D.A.; Cristóvan, F.H.; Machado, J.P.B.; Tada, D.B.; Durán, N.; Lemes, A.P. Effect of MWCNT functionalization on thermal and electrical properties of PHBV/MWCNT nanocomposites. J. Mater. Res. 2015, 30, 55–65. [Google Scholar] [CrossRef]
- Ji, X.; Hao, H.; Wu, Q.; Zhou, B.; Sun, F. Surface modification of silicon carbide powders with aminoorganosilanes. J. Wuhan Univ. Technol. Mater. Sci. Ed. 2007, 22, 754–756. [Google Scholar] [CrossRef]
- Rêgo, J.K.M.A.D.; Nascimento, J.H.O.D.; Agrawal, P.; Mélo, T.J.A.; Costa, M.C.B.; Ito, E.N. Influence of amine groups in the chemical structure of photochromic dyes on the rheological and mechanical properties of poly(methyl methacrylate) (PMMA). Dye. Pigment. 2017, 142, 350–357. [Google Scholar] [CrossRef]
- Liu, D.; Li, W.; Zhang, N.; Huang, T.; Yang, J.; Wang, Y. Graphite oxide-driven miscibility in PVDF/PMMA blends: Assessment through dynamic rheology method. Eur. Polym. J. 2017, 96, 232–247. [Google Scholar] [CrossRef]
- Nguyen, M.B.; Le, G.H.; Pham, T.T.T.; Pham, G.T.T.; Quan, T.T.T.; Nguyen, T.D.; Vu, T.A. Novel Nano-Fe2O3-Co3O4 Modified Dolomite and Its Use as Highly Efficient Catalyst in the Ozonation of Ammonium Solution. J. Nanomater. 2020, 2020, 4593054. [Google Scholar] [CrossRef]
- Osman, A.F.; Siah, L.; Alrashdi, A.A.; Ul-Hamid, A.; Ibrahim, I. Improving the Tensile and Tear Properties of Thermoplastic Starch/Dolomite Biocomposite Film through Sonication Process. Polymers 2021, 13, 274. [Google Scholar] [CrossRef] [PubMed]
- Khoswan, I.; Abusafa, A.; Odeh, S. The Effect of Carbon Nanotubes on the Viscosity and Surface Tension of Heat Transfer Fluids—A Review Paper. Energies 2024, 17, 5584. [Google Scholar] [CrossRef]
- Kharlamova, M.V.; Paukov, M.; Burdanova, M.G.; Functionalization, N. Methods and Demonstrated Applications. Materials 2022, 15, 5386. [Google Scholar] [CrossRef]
- Salah, L.S.; Ouslimani, N.; Bousba, D.; Huynen, I.; Danlée, Y.; Aksas, H. Carbon Nanotubes (CNTs) from Synthesis to Functionalized (CNTs) Using Conventional and New Chemical Approaches. J. Nanomater. 2021, 2021, 4972770. [Google Scholar] [CrossRef]
- Taher, M.N.M.; Aman, M.Y.; Bujang, H. The effect of aggregate micro and macro texture on pavement skid resistance of Malaysia road network. IOP Conf. Ser. Earth Environ. Sci. 2024, 1347, 012054. [Google Scholar] [CrossRef]
- Hodgson, G.; Passmore, M.; Skarysz, M.; Garmory, A.; Paolillo, F. Contact angle measurements for automotive exterior water management. Exp. Fluids 2021, 62, 119. [Google Scholar] [CrossRef]
- Pogorzelski, S.; Boniewicz-Szmyt, K.; Grzegorczyk, M.; Rochowski, P. Wettability of Metal Surfaces Affected by Paint Layer Covering. Materials 2022, 15, 1830. [Google Scholar] [CrossRef]
- Tavana, H.; Lam, C.N.C.; Grundke, K.; Friedel, P.; Kwok, D.Y.; Hair, M.L.; Neumann, A.W. Contact angle measurements with liquids consisting of bulky molecules. J. Colloid. Interface Sci. 2004, 279, 493–502. [Google Scholar] [CrossRef] [PubMed]
- Mantilaka, M.M.M.G.P.G.; Karunaratne, D.G.G.P.; Rajapakse, R.M.G.; Pitawala, H.M.T.G.A. Precipitated calcium carbonate/poly(methyl methacrylate) nanocomposite using dolomite: Synthesis, characterization and properties. Powder Technol. 2013, 235, 628–632. [Google Scholar] [CrossRef]
- Deep, N.; Mishra, P. Fabrication and characterization of thermally conductive PMMA/MWCNT nanocomposites. Mater. Today Proc. 2018, 5, 28328–28336. [Google Scholar] [CrossRef]
Disclaimer/Publisher’s Note: The statements, opinions and data contained in all publications are solely those of the individual author(s) and contributor(s) and not of MDPI and/or the editor(s). MDPI and/or the editor(s) disclaim responsibility for any injury to people or property resulting from any ideas, methods, instructions or products referred to in the content. |
© 2025 by the authors. Licensee MDPI, Basel, Switzerland. This article is an open access article distributed under the terms and conditions of the Creative Commons Attribution (CC BY) license (https://creativecommons.org/licenses/by/4.0/).













