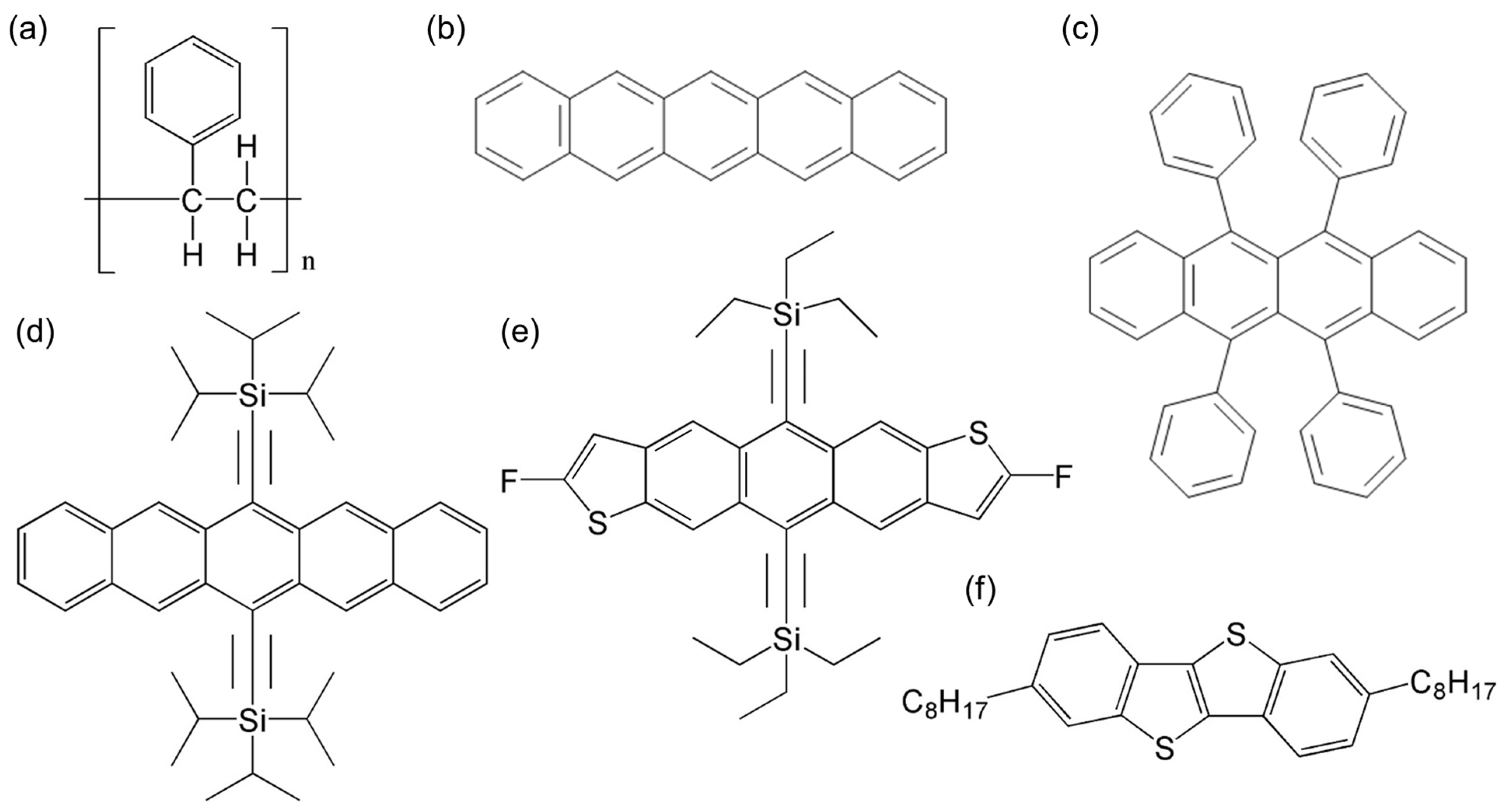
Hybrid System of Polystyrene and Semiconductor for Organic Electronic Applications
Abstract
1. Introduction
1.1. Advances in Charge Carrier Mobility
1.2. Advances in Controlled Crystallization Techniques

1.3. Advances in Organic Electronic Applications
2. Challenges in Organic Electronics
2.1. Charge Carrier Mobility and Trap States
2.2. Stability and Degradation
2.3. Morphological Control and Crystallinity
2.4. Interface Engineering
2.5. Scalability and Reproducibility
3. Hybrid System of PS and Organic Semiconductors
3.1. PS Mixing with Pentacene
3.2. PS Mixing with Rubrene
3.3. PS Mixing with Ph-BTBT-Based Semiconductors
3.4. PS Mixing with TIPS Pentacene
3.5. PS Mixing with diF-TES-ADT
3.6. PS Mixing with C8-BTBT
| Author | Material | PS Mw | Result | Mobility |
|---|---|---|---|---|
| Myny et al. [271] | Pentacene | 700 K | PS was coated as a surface treatment on the gate dielectric to form a smooth polymeric interface with reduced electron defects | Enhanced hole mobility of 0.44 cm2/Vs |
| Wang et al. [255] | Pentacene | 280 K | Thermal annealing of PS changes the phenyl ring orientation, morphology, and charge transport of pentacene | 4 cm2/Vs at 120 °C annealing of PS |
| Jung et al. [256] | Pentacene | 24 K | PS mixed with TiO2-PS to tune the permittivity of the gate dielectric layer | 1.3 ± 0.4 cm2/Vs with 100% TiO2-PS |
| Huang et al. [257] | Pentacene | 280 K | Effect of UV ozone-treated PS on morphology and charge transport was studied | 0.52 cm2/Vs with 5 s UV ozone treatment |
| Jo et al. [261] | Rubrene | 100 K | PS with mixture with rubrene to control the vertical phase segregation, microstructure, and mobility | Average mobility of 0.4 cm2/Vs with the PS additive |
| Stingelin-Stutzmann et al. [262] | Rubrene | Not reported | PS provides good film formation properties and also helps enhance the mechanical properties | Up to 0.7 cm2/Vs |
| Park et al. [87] | Rubrene | Not reported | PS served as an interfacial layer to modify the topography and charge transport of rubrene | Hole mobility up to 9.9 × 10−3 cm2/Vs |
| Park et al. [88] | Ph-BTBT based semiconductors | 19.5 K | The p-type and n-type blends based on the PS brush and a BHJ structure showed enlarged grain size | Hole and electron mobility of 0.22 cm2/Vs and 0.038 cm2/Vs |
| Li et al. [283] | Ph-BTBT based semiconductors | Not reported | PS results in the highest mobility, near-zero threshold voltage, minimal interfacial traps, and excellent bias stress stability. | Not reported |
| Tamayo et al. [263] | Ph-BTBT based semiconductors | 280 K | PS blending and coating speed significantly influence the crystallinity, morphology, and electrical properties of Ph-BTBT-10 | 1.46 cm2/Vs |
| Suzuki et al. [264] | Ph-BTBT based semiconductors | Not reported | PS with a low trap density phase separated and coated the surface of the gate insulator, enabling low-voltage operation. | 4.8 cm2/Vs |
| He et al. [284] | Ph-BTBT based semiconductors | Not reported | PS additive reduced interfacial traps and enhanced the inter-grain connectivity | Up to 2.25 cm2/Vs from Ph-BTBT/C12-Ph-BTBT OTFTs |
| Lin et al. [258] | TIPS pentacene | 35 K | PS was mixed with TIPS pentacene to align crystal growth with a slot-die coating technique | An average mobility of 4.2 cm2/Vs |
| Feng et al. [259] | TIPS pentacene | Not reported | PS was blended with TIPS pentacene to induce phase segregation and better crystallization with reduced interface traps | 0.26 cm2/Vs |
| Lada et al. [260] | TIPS pentacene | 350 K | PS was mixed with TIPS pentacene in double solvents to tune crystal morphology and mobility | 1.82 cm2/Vs at 3:1 mixing ratio |
| Bharti et al. [90] | TIPS pentacene | 280 K | The vertically phase-segregated PS polymer passivated the charge trapping sites on the silicon dioxide gate surface, contributing to enhanced electrical stability | 2.6 cm2/Vs with the PS polymer additive |
| Salzillo et al. [290] | diF-TES-ADT | 10 K, 100 K | PS with different Mw led to varying film smoothness, homogeneity, and crystalline domain sizes during crystallization | Above 1 cm2/Vs |
| Naden et al. [288] | diF-TES-ADT | Not reported | PS was mixed as polymer binder to study the growth mechanisms of diF-TES-ADT and resulted in four distinct structural regimes. | 1.5 cm2/Vs |
| Niazi et al. [291] | diF-TES-ADT | 2.2 K, 900 K | PS acts as a binder, improves the long-range lamellar order, and reduces the interfacial trap density | 6.7 cm2/Vs |
| Shen et al. [200] | C8-BTBT | 3.5 K | PS was pre-deposited to modify the crystallization and charge transport of C8-BTBT | Above 7 cm2/Vs |
| Shen et al. [265] | C8-BTBT | 3.5 K | Vertically segregated bilayer structure with a top C8-BTBT and a bottom PS layer | Up to 6.80 cm2/Vs from C8-BTBT/PS blend based OTFTs |
| Huang et al. [295] | C8-BTBT | Not reported | PS was mixed with C8-BTBT to improve spin-coated film topography | 4.56 cm2/Vs |
4. Conclusions and Outlook
Author Contributions
Funding
Data Availability Statement
Conflicts of Interest
References
- Motta, C.; El-Mellouhi, F.; Sanvito, S. Charge carrier mobility in hybrid halide perovskites. Sci. Rep. 2015, 5, 12746. [Google Scholar] [CrossRef] [PubMed]
- Campbell, A.J.; Rawcliffe, R.; Guite, A.; Faria, J.C.; Mukherjee, A.; McLachlan, M.A.; Shkunov, M.; Bradley, D.D. Charge-carrier density independent mobility in amorphous fluorene-triarylamine copolymers. Adv. Funct. Mater. 2016, 26, 3720. [Google Scholar] [CrossRef]
- Bi, S.; Gao, B.; Han, X.; He, Z.; Metts, J.; Jiang, C.; Asare-Yeboah, K. Recent progress in printing flexible electronics: A review. Sci. China Technol. Sci. 2023, 67, 2363–2386. [Google Scholar] [CrossRef]
- Sirringhaus, H.; Sakanoue, T.; Chang, J.-F. Charge-transport physics of high-mobility molecular semiconductors. Phys. Status Solidi B 2012, 249, 1655–1676. [Google Scholar] [CrossRef]
- Bi, S.; Han, X.; Chen, Q.; Gao, B.; Chen, L.; He, Z.; Jiang, C. Ultralarge Curvature and Extreme Rapid Degradable Porous Wood Based Flexible Triboelectric Sensor for Physical Motion Monitoring. Adv. Mater. Technol. 2022, 8, 2201066. [Google Scholar] [CrossRef]
- Yeh, J.-H.; Prakoso, S.P.; Santoso, L.L.; Chen, S.-J.; Chiang, B.; Cheng, J.-C.; Zhang, R.-N.; Chiu, Y.-C. A sustainable biomass-based electret for face mask and non-volatile transistor memory. Org. Electron. 2024, 124, 106944. [Google Scholar] [CrossRef]
- Chen, Z.; Duan, S.; Zhang, X.; Hu, W. Novel solution-processed 2D organic semiconductor crystals for high-performance OFETs. Mater. Chem. Front. 2024, 8, 2227–2272. [Google Scholar] [CrossRef]
- Song, J.; Liu, H.; Zhao, Z.; Lin, P.; Yan, F. Flexible Organic Transistors for Biosensing: Devices and Applications. Adv. Mater. 2024, 36, 2300034. [Google Scholar] [CrossRef]
- Chen, J.; Zhang, W.; Wang, L.; Yu, G. Recent Research Progress of Organic Small-Molecule Semiconductors with High Electron Mobilities. Adv. Mater. 2023, 35, 2210772. [Google Scholar] [CrossRef]
- McCulloch, I.; Chabinyc, M.; Brabec, C.; Nielsen, C.B.; Watkins, S.E. Sustainability considerations for organic electronic products. Nat. Mater. 2023, 22, 1304–1310. [Google Scholar] [CrossRef]
- Zhang, Y.; Gao, C.; Wang, P.; Liu, Y.; Liu, Z.; Xie, W.; Xu, H.; Dang, Y.; Liu, D.; Ren, Z.; et al. High Electron Mobility Hot-Exciton Induced Delayed Fluorescent Organic Semiconductors. Angew. Chem. Int. Ed. 2023, 62, e202217653. [Google Scholar] [CrossRef] [PubMed]
- Bi, S.; Wang, R.; Han, X.; Wang, Y.; Tan, D.; Shi, B.; Jiang, C.; He, Z.; Asare-Yeboah, K. Recent Progress in Electrohydrodynamic Jet Printing for Printed Electronics: From 0D to 3D Materials. Coatings 2023, 13, 1150. [Google Scholar] [CrossRef]
- Lee, W.H.; Choi, H.H.; Kim, D.H.; Cho, K. 25th Anniversary Article: Microstructure Dependent Bias Stability of Organic Transistors. Adv. Mater. 2014, 26, 1660–1680. [Google Scholar] [CrossRef] [PubMed]
- Morab, S.; Sundaram, M.M.; Pivrikas, A. Review on Charge Carrier Transport in Inorganic and Organic Semiconductors. Coatings 2023, 13, 1657. [Google Scholar] [CrossRef]
- Peng, Z.; Stingelin, N.; Ade, H.; Michels, J.J. A materials physics perspective on structure–processing–function relations in blends of organic semiconductors. Nat. Rev. Mater. 2023, 8, 439–455. [Google Scholar] [CrossRef]
- Zhou, X.; Yang, S.; Li, Q.; Bai, G.; Wang, C.; Han, C. Energy level measurement for organic semiconductors. PCCP 2024, 26, 2768–2779. [Google Scholar] [CrossRef]
- Park, T.; Kim, M.; Lee, E.K.; Hur, J.; Yoo, H. Overcoming Downscaling Limitations in Organic Semiconductors: Strategies and Progress. Small 2024, 20, 2306468. [Google Scholar] [CrossRef]
- Ding, L.; Li, H.-B.; Lei, T.; Ying, H.-Z.; Wang, R.-B.; Zhou, Y.; Su, Z.-M.; Pei, J. Alkylene-Chain Effect on Microwire Growth and Crystal Packing of π-Moieties. Chem. Mater. 2012, 24, 1944–1949. [Google Scholar] [CrossRef]
- Hirsch, A.; Vostrowsky, O. Functionalization of carbon nanotubes. Funct. Mol. Nano. 2005, 245, 193–237. [Google Scholar]
- He, Z.; Asare-Yeboah, K.; Zhang, Z.; Bi, S. Self-assembly crystal microribbons with nucleation additive for high-performance organic thin film transistors. Jpn. J. Appl. Phys. 2019, 58, 061009. [Google Scholar] [CrossRef]
- Dallaire, N.; Boileau, N.T.; Myers, I.; Brixi, S.; Ourabi, M.; Raluchukwu, E.; Cranston, R.; Lamontagne, H.R.; King, B.; Ronnasi, B.; et al. High Throughput Characterization of Organic Thin Film Transistors. Adv. Mater. 2024, 2406105. [Google Scholar] [CrossRef] [PubMed]
- Hao, Z.; Wu, Z.; Liu, S.; Tang, X.; Chen, J.; Liu, X. High-performance organic thin-film transistors: Principles and strategies. J. Mater. Chem. C 2024, 12, 9427–9454. [Google Scholar] [CrossRef]
- Zhang, Z.; Asare-Yeboah, K.; Bi, S.; He, Z. Poly(α-methyl styrene) polymer additive for organic thin film transistors. J. Mater. Sci. Mater. Electron. 2022, 33, 1101–1122. [Google Scholar] [CrossRef]
- Han, X.; Asare-Yeboah, K.; He, Z.; Jiang, C.; Bi, S. Mosaic Charge Distribution-Based Sliding and Pressing Triboelectrification under Wavy Configuration. J. Phys. Chem. Lett. 2023, 14, 2509–2517. [Google Scholar] [CrossRef] [PubMed]
- Angmo, D.; Gevorgyan, S.A.; Larsen-Olsen, T.T.; Sondergaard, R.R.; Hosel, M.; Jorgensen, M.; Gupta, R.; Kulkarni, G.U.; Krebs, F.C. Scalability and stability of very thin, roll-to-roll processed, large area, indium-tin-oxide free polymer solar cell modules. Org. Electron. 2013, 14, 984–994. [Google Scholar] [CrossRef]
- Noh, J.; Yeom, D.; Lim, C.; Cha, H.; Han, J.; Kim, J.; Park, Y.; Subramanian, V.; Cho, G. Scalability of Roll-to-Roll Gravure-Printed Electrodes on Plastic Foils. IEEE Trans. Compon. Packag. Manuf. Technol. 2010, 33, 275–283. [Google Scholar] [CrossRef]
- Chai, Z.; Abbasi, S.A.; Busnaina, A.A. Scalable Directed Assembly of Highly Crystalline 2,7-Dioctyl[1]benzothieno[3,2-b][1]benzothiophene (C8-BTBT) Films. ACS Appl. Mater. Interfaces 2018, 10, 18123–18130. [Google Scholar] [CrossRef] [PubMed]
- Bi, S.; Zhao, W.; Sun, Y.; Jiang, C.; Liu, Y.; He, Z.; Li, Q.; Song, J. Dynamic photonic perovskite light-emitting diodes with post-treatment-enhanced crystallization as writable and wipeable inscribers. Nanoscale Adv. 2021, 3, 6659–6668. [Google Scholar] [CrossRef]
- Xu, X.; Zhao, Y.; Liu, Y. Wearable Electronics Based on Stretchable Organic Semiconductors. Small 2023, 19, 2206309. [Google Scholar] [CrossRef]
- Zhao, X.; Zhang, H.; Zhang, J.; Liu, J.; Lei, M.; Jiang, L. Organic Semiconductor Single Crystal Arrays: Preparation and Applications. Adv. Sci. 2023, 10, 2300483. [Google Scholar] [CrossRef]
- Waldrip, M.; Yu, Y.; Holley, R., III; Loo, Y.-L.; Anthony, J.E.; Jurchescu, O.D. Pathway to Increase the Tolerance of Organic Transistors to Semiconductor Purity. Chem. Mater. 2023, 35, 8645–8653. [Google Scholar] [CrossRef]
- He, Z.; Asare-Yeboah, K.; Bi, S. Advances in Charge Carrier Mobility of Diketopyrrolopyrrole-Based Organic Semiconductors. Coatings 2024, 14, 1080. [Google Scholar] [CrossRef]
- Pang, S.; Más-Montoya, M.; Xiao, M.; Duan, C.; Wang, Z.; Liu, X.; Janssen, R.A.J.; Yu, G.; Huang, F.; Cao, Y. Adjusting Aggregation Modes and Photophysical and Photovoltaic Properties of Diketopyrrolopyrrole-Based Small Molecules by Introducing B←N Bonds. Chem. Eur. J. 2019, 25, 564–572. [Google Scholar] [CrossRef] [PubMed]
- Li, Y.; Sonar, P.; Singh, S.P.; Soh, M.S.; van Meurs, M.; Tan, J. Annealing-Free High-Mobility Diketopyrrolopyrrole−Quaterthiophene Copolymer for Solution-Processed Organic Thin Film Transistors. J. Am. Chem. Soc. 2011, 133, 2198–2204. [Google Scholar] [CrossRef] [PubMed]
- Lin, Y.-C.; Huang, Y.-W.; Hung, C.-C.; Chiang, Y.-C.; Chen, C.-K.; Hsu, L.-C.; Chueh, C.-C.; Chen, W.-C. Backbone Engineering of Diketopyrrolopyrrole-Based Conjugated Polymers through Random Terpolymerization for Improved Mobility–Stretchability Property. ACS Appl. Mater. Interfaces 2020, 12, 50648–50659. [Google Scholar] [CrossRef]
- Al-Hossainy, A.F.; Sediq, A.Y.; Mahmoud, S.A. Combined Experimental and DFT-TDDFT Characterization Studies of Crystalline Mesoporous-Assembled [ZrO2]NPs and [DPPP + Gly/ZrO2]C Nanocomposite Thin Film. Electron. Mater. Lett. 2021, 17, 188–206. [Google Scholar] [CrossRef]
- Lee, H.W.; Kim, H.S.; Kim, D.; Yoon, M.; Lee, J.; Hwang, D.-H. Comparative Study of Charge-Transport Behavior of Edge-on- and Face-on-Oriented Diketopyrrolopyrrole-Based Conjugated Copolymers Bearing Chalcogenophene Units. Chem. Mater. 2022, 34, 314–324. [Google Scholar] [CrossRef]
- Khlyabich, P.P.; Burkhart, B.; Thompson, B.C. Compositional Dependence of the Open-Circuit Voltage in Ternary Blend Bulk Heterojunction Solar Cells Based on Two Donor Polymers. J. Am. Chem. Soc. 2012, 134, 9074–9077. [Google Scholar] [CrossRef]
- Zhang, K.; Marszalek, T.; Wucher, P.; Wang, Z.; Veith, L.; Lu, H.; Räder, H.-J.; Beaujuge, P.M.; Blom, P.W.M.; Pisula, W. Crystallization Control of Organic Semiconductors during Meniscus-Guided Coating by Blending with Polymer Binder. Adv. Funct. Mater. 2018, 28, 1805594. [Google Scholar] [CrossRef]
- Liu, Q.; Bottle, S.E.; Sonar, P. Developments of Diketopyrrolopyrrole-Dye-Based Organic Semiconductors for a Wide Range of Applications in Electronics. Adv. Mater. 2020, 32, 1903882. [Google Scholar] [CrossRef]
- Qu, S.Y.; Tian, H. Diketopyrrolopyrrole (DPP)-based materials for organic photovoltaics. Chem. Commun. 2012, 48, 3039–3051. [Google Scholar] [CrossRef] [PubMed]
- Mohamed, M.G.; El-Mahdy, A.F.M.; Kotp, M.G.; Kuo, S.-W. Advances in porous organic polymers: Syntheses, structures, and diverse applications. Mater. Adv. 2022, 3, 707–733. [Google Scholar] [CrossRef]
- Otep, S.; Lin, Y.-C.; Matsumoto, H.; Mori, T.; Wei, K.-H.; Michinobu, T. Diketopyrrolopyrrole–thiophene–methoxythiophene based random copolymers for organic field effect transistor applications. Org. Electron. 2020, 87, 105986. [Google Scholar] [CrossRef]
- Abdullah, I.; Lan, H.; Morrison, J.; Alharbi, A.; Macdonald, J.E.; Yeates, S.G. The synergistic role of azeotropic solvent mixtures and atactic polystyrene on the morphology, crystallization and field effect mobility of thin film 6,13-bis(triisopropylsilylethynyl)-pentacene based semiconductors. J. Mater. Sci. Mater. Electron. 2018, 29, 9804–9813. [Google Scholar] [CrossRef]
- Aikawa, F.; Ueno, J.; Kashiwagi, T.; Itoh, E. Improvement of field-effect transistor performance with highly oriented, vertically phase separated TIPS-pentacene/polystylene blends on high-k metal oxide films by using meniscus coating. Jpn. J. Appl. Phys. 2019, 59, SCCA10. [Google Scholar] [CrossRef]
- Alahmed, Z.A.; Mansour, S.A.; Aydin, M.E.; Yakuphanoglu, F. Hybrid photodiodes based on 6,13-bis(triisopropylsilylethynyl) pentacene: Poly[2-methoxy-5-(2-ethyl) hexoxy-phenylenevinylene]/p-silicon. Solid State Commun. 2013, 163, 23–27. [Google Scholar] [CrossRef]
- Babel, A.; Jenekhe, S.A. Alkyl chain length dependence of the field-effect carrier mobility in regioregular poly(3-alkylthiophene)s. Thin Solid Films 2005, 148, 169–173. [Google Scholar] [CrossRef]
- Burkhart, B.; Khlyabich, P.P.; Thompson, B.C. Influence of the Ethylhexyl Side-Chain Content on the Open-Circuit Voltage in rr-Poly(3-hexylthiophene-co-3-(2-ethylhexyl)thiophene) Copolymers. Macromolecules 2012, 45, 3740–3748. [Google Scholar] [CrossRef]
- He, Z.; Zhang, Z.; Bi, S. Small-molecule additives for organic thin film transistors. J. Mater. Sci. Mater. Electron. 2019, 30, 20899–20913. [Google Scholar] [CrossRef]
- Cao, Z.; Galuska, L.; Qian, Z.; Zhang, S.; Huang, L.; Prine, N.; Li, T.; He, Y.; Hong, K.; Gu, X. The effect of side-chain branch position on the thermal properties of poly(3-alkylthiophenes). Polym. Chem. 2020, 11, 517–526. [Google Scholar] [CrossRef]
- Chen, J.H.; Subramanian, S.; Parkin, S.R.; Siegler, M.; Gallup, K.; Haughn, C.; Martin, D.C.; Anthony, J.E. The influence of side chains on the structures and properties of functionalized pentacenes. J. Mater. Chem. 2008, 18, 1961–1969. [Google Scholar] [CrossRef]
- Giovannitti, A.; Sbircea, D.T.; Inal, S.; Nielsen, C.B.; Bandiello, E.; Hanifi, D.A.; Sessolo, M.; Malliaras, G.G.; McCulloch, I.; Rivnay, J. Controlling the mode of operation of organic transistors through side-chain engineering. Proc. Natl. Acad. Sci. USA 2016, 113, 12017. [Google Scholar] [CrossRef] [PubMed]
- Chen, S.; Meng, Y.; Li, Y.; Qu, B.; Zhuo, D. Effect of the length and branching point of alkyl side chains on DPP-thieno [3,2-b]thiophene copolymers for organic thin-film transistors. Opt. Mater. 2019, 88, 500–507. [Google Scholar] [CrossRef]
- Halik, M.; Klauk, H.; Zschieschang, U.; Schmid, G.; Ponomarenko, S.; Kirchmeyer, S.; Weber, W. Relationship Between Molecular Structure and Electrical Performance of Oligothiophene Organic Thin Film Transistors. Adv. Mater. 2003, 15, 917–922. [Google Scholar] [CrossRef]
- He, Z.; Zhang, Z.; Bi, S.; Asare-Yeboah, K.; Chen, J. Ultra-low misorientation angle in small-molecule semiconductor/polyethylene oxide blends for organic thin film transistors. J. Polym. Res. 2020, 27, 75. [Google Scholar] [CrossRef]
- Hodsden, T.; Thorley, K.J.; Basu, A.; White, A.J.P.; Wang, C.; Mitchell, W.; Glöcklhofer, F.; Anthopoulos, T.D.; Heeney, M. The influence of alkyl group regiochemistry and backbone fluorination on the packing and transistor performance of N-cyanoimine functionalised indacenodithiophenes. Mater. Adv. 2021, 2, 1706–1714. [Google Scholar] [CrossRef]
- Anthony, J.E.; Gierschner, J.; Landis, C.A.; Parkin, S.R.; Sherman, J.B.; Bakus, R.C. A new functionalization strategy for pentacene. Chem. Commun. 2007, 45, 4746–4748. [Google Scholar] [CrossRef]
- Chen, J.H.; Anthony, J.; Martin, D.C. Thermally induced solid-state phase transition of bis(triisopropylsilylethynyl) pentacene crystals. J. Phys. Chem. B 2006, 110, 16397–16403. [Google Scholar] [CrossRef]
- Combe, C.M.S.; James, D.T.; Wade, J.; White, A.J.P.; Kim, J.S.; McCulloch, I. Synthesis and morphology of asymmetric, alkyne-functionalised pentacene and 2-fluoroanthradithiophene. Tetrahedron Lett. 2013, 54, 6814–6818. [Google Scholar] [CrossRef]
- Chen, Z.H.; Muller, P.; Swager, T.M. Syntheses of soluble, pi-stacking tetracene derivatives. Org. Lett. 2006, 8, 273–276. [Google Scholar] [CrossRef]
- Griffith, O.L.; Anthony, J.E.; Jones, A.G.; Shu, Y.; Lichtenberger, D.L. Substituent Effects on the Electronic Characteristics of Pentacene Derivatives for Organic Electronic Devices: Dioxolane-Substituted Pentacene Derivatives with Triisopropylsilylethynyl Functional Groups. J. Am. Chem. Soc. 2012, 134, 14185–14194. [Google Scholar] [CrossRef] [PubMed]
- Kaur, R.P.; Engles, D. Transport in a fullerene terminated aromatic molecular device. J. Sci. Adv. Mater. Devices 2018, 3, 206–212. [Google Scholar] [CrossRef]
- Zhang, W.; Sprafke, J.K.; Ma, M.L.; Tsui, E.Y.; Sydlik, S.A.; Rutledge, G.C.; Swager, T.M. Modular Functionalization of Carbon Nanotubes and Fullerenes. J. Am. Chem. Soc. 2009, 131, 8446–8454. [Google Scholar] [CrossRef] [PubMed]
- Ahmad, S.I.; Ahmad, R.; Khan, M.S.; Kant, R.; Shahid, S.; Gautam, L.; Hasan, G.M.; Hassan, M.I. Chitin and its derivatives: Structural properties and biomedical applications. Int. J. Biol. Macromol. 2020, 164, 526–539. [Google Scholar] [CrossRef]
- Negru, O.I.; Grigoras, M. Synthesis and properties of copolyarylenes containing indolo[3,2-b]carbazole moieties in the backbone. J. Polym. Res. 2019, 26, 30. [Google Scholar] [CrossRef]
- Samanta, S.; Song, I.; Yoo, J.H.; Oh, J.H. Organic n-Channel Transistors Based on [1]Benzothieno[3,2-b]benzothiophene−Rylene Diimide Donor-Acceptor Conjugated Polymers. ACS Appl. Mater. Interfaces 2018, 10, 32444–32453. [Google Scholar] [CrossRef]
- Yiu, A.T.; Beaujuge, P.M.; Lee, O.P.; Woo, C.H.; Toney, M.F.; Fréchet, J.M.J. Side-Chain Tunability of Furan-Containing Low-Band-Gap Polymers Provides Control of Structural Order in Efficient Solar Cells. J. Am. Chem. Soc. 2012, 134, 2180–2185. [Google Scholar] [CrossRef]
- Heintges, G.H.L.; Leenaers, P.J.; Janssen, R.A.J. The effect of side-chain substitution and hot processing on diketopyrrolopyrrole-based polymers for organic solar cells. J. Mater. Chem. A 2017, 5, 13748–13756. [Google Scholar] [CrossRef]
- Li, Z.; Zhang, Y.; Tsang, S.-W.; Du, X.; Zhou, J.; Tao, Y.; Ding, J. Alkyl Side Chain Impact on the Charge Transport and Photovoltaic Properties of Benzodithiophene and Diketopyrrolopyrrole-Based Copolymers. J. Phys. Chem. C 2011, 115, 18002–18009. [Google Scholar] [CrossRef]
- Park, Y.D.; Kim, D.H.; Jang, Y.; Cho, J.H.; Hwang, M.; Lee, H.S.; Lim, J.A.; Cho, K. Effect of side chain length on molecular ordering and field-effect mobility in poly(3-alkylthiophene) transistors. Org. Electron. 2006, 7, 514–520. [Google Scholar] [CrossRef]
- Tang, M.; Wu, S.; Xing, W.; Shen, H.; Xiang, L.; Liang, Y.; Xu, W.; Zhu, D. Diketopyrrolopyrrole based small molecular semiconductors containing thiazole units for solution-processed n-channel thin-film transistors. Dyes Pigm. 2019, 163, 707–714. [Google Scholar] [CrossRef]
- Wang, C.; Qin, Y.; Sun, Y.; Guan, Y.-S.; Xu, W.; Zhu, D. Thiophene-Diketopyrrolopyrrole-Based Quinoidal Small Molecules as Solution-Processable and Air-Stable Organic Semiconductors: Tuning of the Length and Branching Position of the Alkyl Side Chain toward a High-Performance n-Channel Organic Field-Effect Transistor. ACS Appl. Mater. Interfaces 2015, 7, 15978–15987. [Google Scholar] [CrossRef] [PubMed]
- Yamauchi, H.; Nakabayashi, M.; Kawada, M.; Hino, Y.; Inayama, S.; Tanikubo, H.; Hayashi, S. Synthesis of acrylonitrile side chain-appended π-conjugated polymers by a Suzuki cross-coupling polycondensation and a Knoevenagel condensation, and their optical properties. Mater. Adv. 2022, 3, 3835–3841. [Google Scholar] [CrossRef]
- Yang, Y.; Liu, Z.; Zhang, G.; Zhang, X.; Zhang, D. The Effects of Side Chains on the Charge Mobilities and Functionalities of Semiconducting Conjugated Polymers beyond Solubilities. Adv. Mater. 2019, 31, 1903104. [Google Scholar] [CrossRef] [PubMed]
- Zhang, F.; Hu, Y.; Schuettfort, T.; Di, C.-A.; Gao, X.; McNeill, C.R.; Thomsen, L.; Mannsfeld, S.C.B.; Yuan, W.; Sirringhaus, H.; et al. Critical Role of Alkyl Chain Branching of Organic Semiconductors in Enabling Solution-Processed N-Channel Organic Thin-Film Transistors with Mobility of up to 3.50 cm2V−1s−1. J. Am. Chem. Soc. 2013, 135, 2338–2349. [Google Scholar] [CrossRef]
- Baeg, K.-J.; Caironi, M.; Noh, Y.-Y. Toward Printed Integrated Circuits based on Unipolar or Ambipolar Polymer Semiconductors. Adv. Mater. 2013, 25, 4210–4244. [Google Scholar] [CrossRef]
- Bijleveld, J.C.; Zoombelt, A.P.; Mathijssen, S.G.J.; Wienk, M.M.; Turbiez, M.; de Leeuw, D.M.; Janssen, R.A.J. Poly(diketopyrrolopyrrole−terthiophene) for Ambipolar Logic and Photovoltaics. J. Am. Chem. Soc. 2009, 131, 16616–16617. [Google Scholar] [CrossRef]
- Bürgi, L.; Turbiez, M.; Pfeiffer, R.; Bienewald, F.; Kirner, H.-J.; Winnewisser, C. High-Mobility Ambipolar Near-Infrared Light-Emitting Polymer Field-Effect Transistors. Adv. Mater. 2008, 20, 2217–2224. [Google Scholar] [CrossRef]
- Chen, Z.; Lee, M.J.; Shahid Ashraf, R.; Gu, Y.; Albert-Seifried, S.; Meedom Nielsen, M.; Schroeder, B.; Anthopoulos, T.D.; Heeney, M.; McCulloch, I.; et al. High-Performance Ambipolar Diketopyrrolopyrrole-Thieno[3,2-b]thiophene Copolymer Field-Effect Transistors with Balanced Hole and Electron Mobilities. Adv. Mater. 2012, 24, 647–652. [Google Scholar] [CrossRef]
- Cheon, H.J.; An, T.K.; Kim, Y.-H. Diketopyrrolopyrrole (DPP)-Based Polymers and Their Organic Field-Effect Transistor Applications: A Review. Macromol. Res. 2022, 30, 71–84. [Google Scholar] [CrossRef]
- Guo, X.; Ortiz, R.P.; Zheng, Y.; Hu, Y.; Noh, Y.-Y.; Baeg, K.-J.; Facchetti, A.; Marks, T.J. Bithiophene-Imide-Based Polymeric Semiconductors for Field-Effect Transistors: Synthesis, Structure-Property Correlations, Charge Carrier Polarity, and Device Stability. J. Am. Chem. Soc. 2011, 133, 1405–1418. [Google Scholar] [CrossRef] [PubMed]
- Chen, Z.-C.; Fang, R.-R.; Yu, Y.-Y.; Gao, J.-H.; Wan, J.-H. Diketopyrrolopyrrole tailoring charge transport characteristics of naphthalene diimide based polymers: From unipolar n-typed to ambipolar polymers. J. Appl. Polym. Sci. 2019, 136, 46926. [Google Scholar] [CrossRef]
- Jeong, U.; Tarsoly, G.; Lee, J.; Eun, Y.; Do, J.; Pyo, S. Interdigitated Ambipolar Active Layer for Organic Phototransistor with Balanced Charge Transport. Adv. Electron. Mater. 2019, 5, 1800652. [Google Scholar] [CrossRef]
- Larik, F.A.; Faisal, M.; Saeed, A.; Abbas, Q.; Kazi, M.A.; Abbas, N.; Thebo, A.A.; Khan, D.M.; Channar, P.A. Thiophene-based molecular and polymeric semiconductors for organic field effect transistors and organic thin film transistors. J. Mater. Sci. Mater. Electron. 2018, 29, 17975–18010. [Google Scholar] [CrossRef]
- Lee, M.Y.; Park, J.; Oh, J.H. High-Performance Ambipolar Organic Phototransistors Based on Core–Shell p–n Junction Organic Single Crystals. ACS Appl. Electron. Mater. 2020, 2, 9–18. [Google Scholar] [CrossRef]
- Lin, G.; Qin, Y.; Zhang, J.; Guan, Y.-S.; Xu, H.; Xu, W.; Zhu, D. Ambipolar organic field-effect transistors based on diketopyrrolopyrrole derivatives containing different p-conjugating spacers. J. Mater. Chem. C 2016, 4, 4470–4477. [Google Scholar] [CrossRef]
- Park, B.; In, I.; Gopalan, P.; Evans, P.G.; King, S.; Lyman, P.F. Enhanced hole mobility in ambipolar rubrene thin film transistors on polystyrene. Appl. Phys. Lett. 2008, 92, 133302. [Google Scholar] [CrossRef]
- Park, S.; Lee, B.; Bae, B.; Chai, J.; Lee, S.; Kim, C. Ambipolar thin-film transistors based on organic semiconductor blend. Synth. Met. 2019, 253, 40–47. [Google Scholar] [CrossRef]
- Benavides, C.M.; Biele, M.; Schmidt, O.; Brabec, C.J.; Tedde, S.F. TIPS Pentacene as a Beneficial Interlayer for Organic Photodetectors in Imaging Applications. IEEE Trans. Electron Devices 2018, 65, 1516–1522. [Google Scholar] [CrossRef]
- Bharti, D.; Tiwari, S.P. Phase separation induced high mobility and electrical stability in organic field-effect transistors. Synth. Met. 2016, 221, 186–191. [Google Scholar] [CrossRef]
- Chae, G.J.; Jeong, S.H.; Baek, J.H.; Walker, B.; Song, C.K.; Seo, J.H. Improved performance in TIPS-pentacene field effect transistors using solvent additives. J. Mater. Chem. C 2013, 1, 4216–4221. [Google Scholar] [CrossRef]
- Bharti, D.; Tiwari, S.P. Improved Alignment and Crystallinity of TIPS-Pentacene Thin Films by Off-Center Spin Coating. In Proceedings of the 2015 IEEE 15th International Conference on Nanotechnology (IEEE-NANO), Rome, Italy, 27–30 July 2015; pp. 432–435. [Google Scholar]
- Chaudhary, V.; Pandey, R.K.; Prakash, R.; Kumar, N.; Singh, A.K. Highly aligned and crystalline poly(3-hexylthiophene) thin films by off-center spin coating for high performance organic field-effect transistors. Synth. Met. 2019, 258, 116221. [Google Scholar] [CrossRef]
- Angmo, D.; Larsen-Olsen, T.T.; Jorgensen, M.; Sondergaard, R.R.; Krebs, F.C. Roll-to-Roll Inkjet Printing and Photonic Sintering of Electrodes for ITO Free Polymer Solar Cell Modules and Facile Product Integration. Adv. Energy Mater. 2013, 3, 172–175. [Google Scholar] [CrossRef]
- Angmo, D.; Sweelssen, J.; Andriessen, R.; Galagan, Y.; Krebs, F.C. Inkjet Printing of Back Electrodes for Inverted Polymer Solar Cells. Adv. Energy Mater. 2013, 3, 1230–1237. [Google Scholar] [CrossRef]
- Castro, H.F.; Sowade, E.; Rocha, J.G.; Alpuim, P.; Lanceros-Méndez, S.; Baumann, R.R. All-Inkjet-Printed Bottom-Gate Thin-Film Transistors Using UV Curable Dielectric for Well-Defined Source-Drain Electrodes. J. Electron. Mater. 2014, 43, 2631–2636. [Google Scholar] [CrossRef]
- Chung, S.; Jang, J.; Cho, J.; Lee, C.; Kwon, S.K.; Hong, Y. All-Inkjet-Printed Organic Thin-Film Transistors with Silver Gate, Source/Drain Electrodes. Jpn. J. Appl. Phys. 2011, 50, 03CB05. [Google Scholar] [CrossRef]
- Kawase, T.; Sirringhaus, H.; Friend, R.H.; Shimoda, T. Inkjet printed via-hole interconnections and resistors for all-polymer transistor circuits. Adv. Mater. 2001, 13, 1601–1605. [Google Scholar] [CrossRef]
- Kjellander, B.K.C.; Smaal, W.T.T.; Anthony, J.E.; Gelinck, G.H. Inkjet Printing of TIPS-PEN on Soluble Polymer Insulating Films: A Route to High-Performance Thin-Film Transistors. Adv. Mater. 2010, 22, 4612–4616. [Google Scholar] [CrossRef]
- Koutsiaki, C.; Kaimakamis, T.; Zachariadis, A.; Papamichail, A.; Kamaraki, C.; Fachouri, S.; Gravalidis, C.; Laskarakis, A.; Logothetidis, S. Efficient combination of Roll-to-Roll compatible techniques towards the large area deposition of a polymer dielectric film and the solution-processing of an organic semiconductor for the field-effect transistors fabrication on plastic substrate. Org. Electron. 2019, 73, 231–239. [Google Scholar] [CrossRef]
- Teisala, H.; Tuominen, M.; Stepien, M.; Haapanen, J.; Makela, J.M.; Saarinen, J.J.; Toivakka, M.; Kuusipalo, J. Wettability conversion on the liquid flame spray generated superhydrophobic TiO2 nanoparticle coating on paper and board by photocatalytic decomposition of spontaneously accumulated carbonaceous overlayer. Cellulose 2013, 20, 391–408. [Google Scholar] [CrossRef]
- Yang, Z.; Lin, S.; Liu, J.; Zheng, K.; Lu, G.; Ye, B.; Huang, J.; Zhang, Y.; Ye, Y.; Guo, T.; et al. Sharp phase-separated interface of 6, 13-bis (triisopropylsilylethynyl) pentacene/polystyrene blend films prepared by electrostatic spray deposition. Org. Electron. 2020, 78, 206–210. [Google Scholar]
- Aljawfi, R.N.; Kumari, K.; Vij, A.; Hashim, M.; Chae, K.H.; Alvi, P.A.; Kumar, S. Tuning the surface morphology and local atomic structure of Mn-TiO2 thin films using rapid thermal annealing. J. Mater. Sci. Mater. Electron. 2018, 29, 5982–5992. [Google Scholar] [CrossRef]
- Ankireddy, K.; Ghahremani, A.H.; Martin, B.; Gupta, G.; Druffel, T. Rapid Thermal Annealing of CH3NH3PbI3 Perovskite Thin Films by Intense Pulsed Light with Aid of Diiodomethane Additive. J. Mater. Chem. A 2018, 6, 9378–9383. [Google Scholar] [CrossRef]
- Bae, J.H.; Park, J.; Keum, C.M.; Kim, W.H.; Kim, M.H.; Kim, S.O.; Kwon, S.K.; Lee, S.D. Thermal annealing effect on the crack development and the stability of 6,13-bis(triisopropylsilylethynyl)-pentacene field-effect transistors with a solution-processed polymer insulator. Org. Electron. 2010, 11, 784–788. [Google Scholar] [CrossRef]
- Chen, J.H.; Tee, C.K.; Yang, J.Y.; Shaw, C.; Shtein, M.; Anthony, J.; Martin, D.C. Thermal and mechanical cracking in bis(triisopropylsilyiethnyl) pentacene thin films. J. Polym. Sci. Part B: Polym. Phys. 2006, 44, 3631–3641. [Google Scholar] [CrossRef]
- Dou, B.; Pool, V.L.; Toney, M.F.; van Hest, M.F. Radiative Thermal Annealing/In Situ X-ray Diffraction Study of Methylammonium Lead Triiodide: Effect of Antisolvent, Humidity, Annealing Temperature Profile, and Film Substrates. Chem. Mater. 2017, 29, 5931–5941. [Google Scholar] [CrossRef]
- He, Z.; Zhang, Z.; Asare-Yeboah, K.; Bi, S. Binary solvent engineering for small-molecular organic semiconductor crystallization. Mater. Adv. 2023, 4, 769–786. [Google Scholar] [CrossRef]
- Sun, L.; Li, T.; Zhou, J.; Li, W.; Wu, Z.; Niu, R.; Cheng, J.; Asare-Yeboah, K.; He, Z. A Green Binary Solvent Method to Control Organic Semiconductor Crystallization. ChemistrySelect 2023, 8, e202203927. [Google Scholar] [CrossRef]
- Feng, T.; Li, Q.; Hu, X.; Yang, Y.; Xu, H.; Zhu, H.; Sun, Q.-Q.; Liu, W.-J.; Zhang, D.W.; Chen, L. TIPS-pentacene organic field-effect transistor for optoelectronic neuromorphic simulation. Jpn. J. Appl. Phys. 2024, 63, 031008. [Google Scholar] [CrossRef]
- Hao, Z.; Li, Y.; Deng, Y.; Chen, Z.; Liang, J.; Lu, X.; Zhang, J. High sensitivity flexible organic X-ray detectors with minor TIPS-pentacene/insulator polymer blend active layer. Org. Electron. 2024, 131, 107088. [Google Scholar] [CrossRef]
- Jo, Y.; Lee, J.; Kim, C.; Jang, J.; Hwang, I.; Hong, J.; Lee, M.J. Engineered molecular stacking crystallinity of bar-coated TIPS-pentacene/polystyrene films for organic thin-film transistors. RSC Adv. 2023, 13, 2700–2706. [Google Scholar] [CrossRef] [PubMed]
- Suzuki, T.; De Nicola, A.; Okada, T.; Matsui, H. Fully Atomistic Molecular Dynamics Simulation of a TIPS-Pentacene:Polystyrene Mixed Film Obtained via the Solution Process. Nanomaterials 2023, 13, 312. [Google Scholar] [CrossRef] [PubMed]
- García-Fernández, A.; Kammlander, B.; Riva, S.; Kühn, D.; Svanström, S.; Rensmo, H.; Cappel, U.B. Interface Energy Alignment between Lead Halide Perovskite Single Crystals and TIPS-Pentacene. Inorg. Chem. 2023, 62, 15412–15420. [Google Scholar] [CrossRef] [PubMed]
- Bi, S.; Li, Q.; He, Z.; Guo, Q.; Asare-Yeboah, K.; Liu, Y.; Jiang, C. Highly enhanced performance of integrated piezo photo-transistor with dual inverted OLED gate and nanowire array channel. Nano Energy 2019, 66, 104101. [Google Scholar] [CrossRef]
- Kwon, H.-j.; Kim, K.; An, T.K.; Kim, S.H.; Park, C.E. Effect of lateral confinement on crystallization behavior of a small-molecule semiconductor during capillary force lithography for use in high-performance OFETs. Ind. Eng. Chem. Res. 2019, 75, 187–193. [Google Scholar] [CrossRef]
- Park, Y.; Park, J.; Cho, S.; Sung, M.M. Large-area single-crystal organic patterned thin films by vertically confined lateral crystal growth via capillary force lithography. Appl. Surf. Sci. 2019, 494, 1023–1029. [Google Scholar] [CrossRef]
- Ma, X.; Liu, Q.; Xu, D.; Zhu, Y.; Kim, S.; Cui, Y.; Zhong, L.; Liu, M. Capillary-Force-Assisted Clean-Stamp Transfer of Two-Dimensional Materials. Nano Lett. 2017, 17, 6961–6967. [Google Scholar] [CrossRef]
- He, Z.; Lopez, N.; Chi, X.; Li, D. Solution-based 5,6,11,12-tetrachlorotetracene crystal growth for high-performance organic thin film transistors. Org. Electron. 2015, 22, 191–196. [Google Scholar] [CrossRef]
- Bi, S.; He, Z.; Chen, J.; Li, D. Solution-grown small-molecule organic semiconductor with enhanced crystal alignment and areal coverage for organic thin film transistors. AIP Adv. 2015, 5, 077170. [Google Scholar] [CrossRef]
- Leonardi, F.; Zhang, Q.; Kim, Y.-H.; Mas-Torrent, M. Solution-sheared thin films of a donor-acceptor random copolymerpolystyrene blend as active material in field-effect transistors. Mater. Sci. Semicond. Process. 2019, 93, 105–110. [Google Scholar] [CrossRef]
- Kim, K.; Nam, K.; Li, X.; Lee, D.Y.; Kim, S.H. Programmed Design of Highly Crystalline Organic Semiconductor Patterns with Uniaxial Alignment via Blade Coating for High-Performance Organic Field-Effect. ACS Appl. Mater. Interfaces 2019, 11, 42403–42411. [Google Scholar] [CrossRef] [PubMed]
- Meng, Q.; Zhang, F.; Zang, Y.; Huang, D.; Zou, Y.; Liu, J.; Zhao, G.; Wang, Z.; Ji, D.; Di, C.-A.; et al. Solution-sheared ultrathin films for highly-sensitive ammonia detection using organic thin-film transistors. J. Mater. Chem. C 2014, 2, 1264–1269. [Google Scholar] [CrossRef]
- Lee, J.-H.; Kim, S.; Kim, H.; Lee, J. Solvent-dependent performance of solution-processed small-molecule organic field-effect transistors. Org. Electron. 2018, 52, 184–189. [Google Scholar] [CrossRef]
- Kim, J.-O.; Lee, J.-C.; Kim, M.-J.; Noh, H.; Yeom, H.-I.; Ko, J.B.; Lee, T.H.; Ko Park, S.-H.; Kim, D.-P.; Park, S. Inorganic Polymer Micropillar-Based Solution Shearing of Large-Area Organic Semiconductor Thin Films with Pillar-Size-Dependent Crystal Size. Adv. Mater. 2018, 30, 1800647. [Google Scholar] [CrossRef]
- Tsujita, K.; Maruyama, S.; Shibata, Y.; Koganezawa, T.; Kaminaga, K.; Fujikake, H.; Matsumoto, Y. Directional lateral crystallization of vacuum-deposited C8-BTBT thin films via liquid crystal phase by a seeded horizontal temperature gradient cooling technique. CrystEngComm 2023, 25, 64–71. [Google Scholar] [CrossRef]
- Schweicher, G.; Liu, G.; Fastré, P.; Resel, R.; Abbas, M.; Wantz, G.; Geerts, Y.H. Directional crystallization of C8-BTBT-C8 thin films in a temperature gradient. Mater. Chem. Front. 2021, 5, 249–258. [Google Scholar] [CrossRef]
- Asare-Yeboah, K.; Frazier, R.M.; Szulczewski, G.; Li, D. Temperature gradient approach to grow large, preferentially oriented 6,13-bis(triisopropylsilylethynyl) pentacene crystals for organic thin film transistors. J. Vac. Sci. Technol. B 2014, 32, 052401. [Google Scholar] [CrossRef]
- Asare-Yeboah, K.; Bi, S.; He, Z.; Li, D. Temperature gradient controlled crystal growth from TIPS pentacene-poly(alpha-methyl styrene) blends for improving performance of organic thin film transistors. Org. Electron. 2016, 32, 195–199. [Google Scholar] [CrossRef]
- Janneck, R.; Nowack, T.S.; De Roose, F.; Ali, H.; Dehaene, W.; Heremans, P.; Genoe, J.; Rolin, C. Integration of highly crystalline C8-BTBT thin-films into simple logic gates and circuits. Org. Electron. 2019, 67, 64–71. [Google Scholar] [CrossRef]
- Kim, J.; Kim, J.; Ahn, B.; Hassinen, T.; Jung, Y.; Ko, S. Optimization and improvement of TIPS–pentacene transistors (OTFT) with UV–ozone and chemical treatments using an all-step solution process. Curr. Appl. Phys. 2015, 15, 1238–1244. [Google Scholar] [CrossRef]
- Su, Y.J.; Gao, X.; Liu, J.G.; Xing, R.B.; Han, Y.C. Uniaxial alignment of triisopropylsilylethynyl pentacene via zone-casting technique. Phys. Chem. Chem. Phys. 2013, 15, 14396–14404. [Google Scholar] [CrossRef] [PubMed]
- James, D.T.; Frost, J.M.; Wade, J.; Nelson, J.; Kim, J.S. Controlling Microstructure of Pentacene Derivatives by Solution Processing: Impact of Structural Anisotropy on Optoelectronic Properties. ACS Nano 2013, 7, 7983–7991. [Google Scholar] [CrossRef] [PubMed]
- Mas-Torrent, M.; Masirek, S.; Hadley, P.; Crivillers, N.; Oxtoby, N.S.; Reuter, P.; Veciana, J.; Rovira, C.; Tracz, A. Organic field-effect transistors (OFETs) of highly oriented films of dithiophene-tetrathiafulvalene prepared by zone casting. Org. Electron. 2008, 9, 143–148. [Google Scholar] [CrossRef]
- Kuribara, K.; Nobeshima, T.; Takei, A.; Kodzasa, T.; Uemura, S.; Yoshida, M. Wettability control with self-assembler patterning for printed electronics. Jpn. J. Appl. Phys. 2019, 58, 041002. [Google Scholar] [CrossRef]
- Kolodziejczyk, B.; Winther-Jensen, O.; Pereira, B.A.; Nair, S.S.; Winther-Jensen, B. Patterning of conducting layers on breathable substrates using laser engraving for gas sensors. J. Appl. Polym. Sci. 2015, 132, 42359. [Google Scholar] [CrossRef]
- Li, Y.; Liu, C.; Kumatani, A.; Darmawan, P.; Minari, T.; Tsukagoshi, K. Patterning solution-processed organic single-crystal transistors with high device performance. AIP Adv. 2011, 1, 022149. [Google Scholar] [CrossRef]
- Lee, K.-H.; Choi, B.-Y.; Park, J.-W.; Kang, S.-J.; Kim, S.-M.; Kim, D.-Y.; Jung, G.-Y. Solution processable micron- to nanoscale conducting polymer patterning utilizing selective surface energy engineering. Org. Electron. 2010, 11, 748–754. [Google Scholar] [CrossRef]
- Harper, A.F.; Diemer, P.J.; Jurchescu, O.D. Contact patterning by laser printing for flexible electronics on paper. NPJ Flexible Electron. 2019, 3, 11. [Google Scholar] [CrossRef]
- Bi, S.; Yao, Z.; Han, X.; Bi, C.; Wang, X.; Chen, Q.; Wang, Y.; Wang, R.; Asare-Yeboah, K.; He, Z.; et al. Significant Mobility Enhancement by Semicrystalline Polymers Additive for Crystallization and Charge Transport in Organic Field-effect Transistor. Electron. Mater. Lett. 2024. [Google Scholar] [CrossRef]
- He, Z.; Zhang, Z.; Asare-Yeboah, K.; Bi, S.; Chen, J.; Li, D. Polyferrocenylsilane Semicrystalline Polymer Additive for Solution-Processed p-Channel Organic Thin Film Transistors. Polymers 2021, 13, 402. [Google Scholar] [CrossRef]
- Sun, Y.; Zhang, Z.; Asare-Yeboah, K.; Bi, S.; He, Z. Poly(butyl acrylate) polymer enhanced phase segregation and morphology of organic semiconductor for solution-processed thin film transistors. J. Appl. Polym. Sci. 2021, 138, 50654. [Google Scholar] [CrossRef]
- Wang, Y.; Yang, M.; Yin, B.; Wu, B.; Liu, G.; Jeong, S.; Zhang, Y.; Yang, C.; He, Z.; Huang, F.; et al. An A–D–A′–D–A-Type Narrow Bandgap Electron Acceptor Based on Selenophene-Flanked Diketopyrrolopyrrole for Sensitive Near-Infrared Photodetection. ACS Appl. Mater. Interfaces 2024. [Google Scholar] [CrossRef] [PubMed]
- Lim, S.B.; Lee, J.-Y.; Lim, T.H.; Lee, S.; Lee, S.H.; Kim, G.M.; Oh, S.Y. Suppression of Leakage Currents in Photo-multiplication Photodetectors with Oxidation-Controlled Metal Interfacial Layer. Electron. Mater. Lett. 2024, 20, 33–41. [Google Scholar] [CrossRef]
- Huang, F.; Ding, Y.; Liu, C.; Hu, G.; Makarov, S.; Zhang, D.; Wang, Y.; Huang, W. Performance Improvement of Formamidinium-Based Perovskite Photodetector by Solution-Processed C8-BTBT Modification. Adv. Opt. Mater. 2024, 12, 2400519. [Google Scholar] [CrossRef]
- An, T.; Wang, Y.; Lu, G.; Zhang, J. Extending the response spectrum of organic photodetectors by quaternary active layer method with complementary absorption spectra. Curr. Appl. Phys. 2020, 20, 49–57. [Google Scholar] [CrossRef]
- He, X.; Jian, C.; Hong, W.; Cai, Q.; Liu, W. Ultralong CH3NH3PbI3 nanowires synthesized by ligand-assisted reprecipitation strategy for high-performance photodetector. J. Mater. Chem. C 2020, 8, 7378–7383. [Google Scholar] [CrossRef]
- Liu, Y.; Song, Z.; Yuan, S.; Xu, L.; Xin, Y.; Duan, M.; Yao, S.; Yang, Y.; Xia, Z. Enhanced Ultra-violet Photodetection Based on a Heterojunction Consisted of ZnO Nanowires and Single-Layer Graphene on Silicon Substrate. Electron. Mater. Lett. 2020, 16, 81–88. [Google Scholar] [CrossRef]
- Zhao, Z.; Xu, C.; Niu, L.; Zhang, X.; Zhang, F. Recent Progress on Broadband Organic Photodetectors and their Applications. Laser Photonics Rev. 2020, 14, 2000262. [Google Scholar] [CrossRef]
- Li, Q.; Jiang, C.; Bi, S.; Asare-Yeboah, K.; He, Z.; Liu, Y. Photo-Triggered Logic Circuits Assembled on Integrated Illuminants and Resonant Nanowires. ACS Appl. Mater. Interfaces 2020, 12, 46501–46508. [Google Scholar] [CrossRef]
- Asare-Yeboah, K.; Li, Q.; Jiang, C.; He, Z.; Bi, S.; Liu, Y.; Liu, C. High Performance and Efficiency Resonant Photo-Effect-Transistor by Near-Field Nano-Strip-Controlled Organic Light Emitting Diode Gate. J. Phys. Chem. Lett. 2020, 11, 6526–6534. [Google Scholar] [CrossRef]
- Bassous, N.J.; Rodriguez, A.C.; Leal, C.I.L.; Jung, H.Y.; Lee, C.K.; Joo, S.; Kim, S.; Yun, C.; Hahm, M.G.; Ahn, M.-H.; et al. Significance of Various Sensing Mechanisms for Detecting Local and Atmospheric Greenhouse Gases: A Review. Adv Sens Res. 2024, 3, 2300094. [Google Scholar] [CrossRef]
- Lee, B.H.; Kim, S.; Lee, S.Y. Ammonia Gas Sensing Properties of 6,13-Bis(tri-isopropylsilyethynyl) Pentacene Based Field-Effect Transistor. Trans. Electr. Electron. Mater. 2022, 23, 182–186. [Google Scholar] [CrossRef]
- Ogbeide, O.; Bae, G.; Yu, W.; Morrin, E.; Song, Y.; Song, W.; Li, Y.; Su, B.-L.; An, K.-S.; Hasan, T. Inkjet-Printed rGO/binary Metal Oxide Sensor for Predictive Gas Sensing in a Mixed Environment. Adv. Funct. Mater. 2022, 32, 2113348. [Google Scholar] [CrossRef]
- Hou, S.; Zhuang, X.; Fan, H.; Yu, J. Grain Boundary Control of Organic Semiconductors via Solvent Vapor Annealing for High-Sensitivity NO2 Detection. Sensors 2021, 21, 226. [Google Scholar] [CrossRef]
- Cho, S.H.; Suh, J.M.; Eom, T.H.; Kim, T.; Jang, H.W. Colorimetric Sensors for Toxic and Hazardous Gas Detection: A Review. Electron. Mater. Lett. 2021, 17, 1–17. [Google Scholar] [CrossRef]
- Cavallari, M.R.; Pastrana, L.M.; Sosa, C.D.; Marquina, A.M.; Izquierdo, J.E.; Fonseca, F.J.; Amorim, C.A.; Paterno, L.G.; Kymissis, I. Organic Thin-Film Transistors as Gas Sensors: A Review. Materials 2021, 14, 3. [Google Scholar] [CrossRef]
- Dai, J.; Ogbeide, O.; Macadam, N.; Sun, Q.; Yu, W.; Li, Y.; Su, B.-L.; Hasan, T.; Huang, X.; Huang, W. Printed gas sensors. Chem. Soc. Rev. 2020, 49, 1756–1789. [Google Scholar] [CrossRef] [PubMed]
- Panigrahi, D.; Hayakawa, R.; Honma, K.; Kanai, K.; Wakayama, Y. Organic heterojunction transistors for mechanically flexible multivalued logic circuits. Appl. Phys. Express 2021, 14, 081004. [Google Scholar] [CrossRef]
- Lee, Y.; Ho, D.; Valentini, F.; Earmme, T.; Marrocchi, A.; Vaccaro, L.; Kim, C. Improving the charge transport performance of solution-processed organic field-effect transistors using green solvent additives. J. Mater. Chem. C 2021, 9, 16506–16515. [Google Scholar] [CrossRef]
- Sawada, T.; Makita, T.; Yamamura, A.; Sasaki, M.; Yoshimura, Y.; Hayakawa, T.; Okamoto, T.; Watanabe, S.; Kumagai, S.; Takeya, J. Low-voltage complementary inverters using solution-processed, high-mobility organic single-crystal transistors fabricated by polymer-blend printing. Appl. Phys. Lett. 2020, 117, 033301. [Google Scholar] [CrossRef]
- Jea, M.; Kumar, A.; Cho, H.; Yang, D.; Shim, H.; Palai, A.K.; Pyo, S. An organic microcrystal array-embedded layer: Highly directional alternating p- and n-channels for ambipolar transistors and inverters. J. Mater. Chem. C 2014, 2, 3980–3987. [Google Scholar] [CrossRef]
- Baeg, K.-J.; Khim, D.; Kim, J.-H.; Kang, M.; You, I.-K.; Kim, D.-Y.; Noh, Y.-Y. Improved performance uniformity of inkjet printed n-channel organic field-effect transistors and complementary inverters. Org. Electron. 2011, 12, 634–640. [Google Scholar] [CrossRef]
- Meijer, E.J.; De Leeuw, D.M.; Setayesh, S.; Van Veenendaal, E.; Huisman, B.H.; Blom, P.W.M.; Hummelen, J.C.; Scherf, U.; Klapwijk, T.M. Solution-processed ambipolar organic field-effect transistors and inverters. Nat. Mater. 2003, 2, 678–682. [Google Scholar] [CrossRef] [PubMed]
- Han, S.; Zhuang, X.; Shi, W.; Yang, X.; Li, L.; Yu, J. Poly(3-hexylthiophene)/polystyrene (P3HT/PS) blends based organic field-effect transistor ammonia gas sensor. Sens. Actuators B Chem. 2016, 225, 10–15. [Google Scholar] [CrossRef]
- Nicho, M.E.; García-Escobar, C.H.; Arenas, M.C.; Altuzar-Coello, P.; Cruz-Silva, R.; Güizado-Rodríguez, M. Influence of P3HT concentration on morphological, optical and electrical properties of P3HT/PS and P3HT/PMMA binary blends. Mater. Sci. Eng. B 2011, 176, 1393–1400. [Google Scholar] [CrossRef]
- Bässler, H.; Köhler, A. Charge Transport in Organic Semiconductors. In Unimolecular and Supramolecular Electronics I: Chemistry and Physics Meet at Metal-Molecule Interfaces; Metzger, R.M., Ed.; Springer: Berlin/Heidelberg, Germany, 2012; pp. 1–65. [Google Scholar] [CrossRef]
- Coropceanu, V.; Cornil, J.; da Silva Filho, D.A.; Olivier, Y.; Silbey, R.; Brédas, J.-L. Charge Transport in Organic Semiconductors. Chem. Rev. 2007, 107, 926–952. [Google Scholar] [CrossRef]
- Kokil, A.; Yang, K.; Kumar, J. Techniques for characterization of charge carrier mobility in organic semiconductors. J. Polym. Sci. Part B Polym. Phys. 2012, 50, 1130–1144. [Google Scholar] [CrossRef]
- Li, M.; Zhang, C.; Li, M.; Liu, F.; Zhou, L.; Gao, Z.; Sun, J.; Han, D.; Gong, J. Growth defects of organic crystals: A review. Chem. Eng. J. 2022, 429, 132450. [Google Scholar] [CrossRef]
- Cahyadi, T.; Kasim, J.; Tan, H.S.; Kulkarni, S.R.; Ong, B.S.; Wu, Y.; Chen, Z.-K.; Ng, C.M.; Shen, Z.-X.; Mhaisalkar, S.G. Enhancement of Carrier Mobilities of Organic Semiconductors on Sol–Gel Dielectrics: Investigations of Molecular Organization and Interfacial Chemistry Effects. Adv. Funct. Mater. 2009, 19, 378–385. [Google Scholar] [CrossRef]
- Abd Nasir, F.H.; Woon, K.L. Charge carrier trapping in organic semiconductors: Origins, impact and strategies for mitigation. Synth. Met. 2024, 307, 117661. [Google Scholar] [CrossRef]
- Haneef, H.F.; Zeidell, A.M.; Jurchescu, O.D. Charge carrier traps in organic semiconductors: A review on the underlying physics and impact on electronic devices. J. Mater. Chem. C 2020, 8, 759–787. [Google Scholar] [CrossRef]
- Lee, W.H.; Park, Y.D. Organic Semiconductor/Insulator Polymer Blends for High-Performance Organic Transistors. Polymers 2014, 6, 1057–1073. [Google Scholar] [CrossRef]
- Baeg, K.J.; Noh, Y.Y.; Ghim, J.; Kang, S.J.; Lee, H.; Kim, D.Y. Organic Non-Volatile Memory Based on Pentacene Field-Effect Transistors Using a Polymeric Gate Electret. Adv. Mater. 2006, 18, 3179–3183. [Google Scholar] [CrossRef]
- Ahmad, S. Organic semiconductors for device applications: Current trends and future prospects. J. Polym. Eng. 2014, 34, 279–338. [Google Scholar] [CrossRef]
- Mateker, W.R.; McGehee, M.D. Progress in Understanding Degradation Mechanisms and Improving Stability in Organic Photovoltaics. Adv. Mater. 2017, 29, 1603940. [Google Scholar] [CrossRef]
- Rafique, S.; Abdullah, S.M.; Sulaiman, K.; Iwamoto, M. Fundamentals of bulk heterojunction organic solar cells: An overview of stability/degradation issues and strategies for improvement. Renew. Sustain. Energy Rev. 2018, 84, 43–53. [Google Scholar] [CrossRef]
- He, Z.; Shaik, S.; Bi, S.; Chen, J.; Li, D. Air-stable solution-processed n-channel organic thin film transistors with polymer-enhanced morphology. Appl. Phys. Lett. 2015, 106, 183301. [Google Scholar] [CrossRef]
- Ho, D.; Jeong, H.; Choi, S.; Kim, C. Organic materials as a passivation layer for metal oxide semiconductors. J. Mater. Chem. C 2020, 8, 14983–14995. [Google Scholar] [CrossRef]
- He, Z.; Asare-Yeboah, K.; Zhang, Z.; Bi, S. Manipulate organic crystal morphology and charge transport. Org. Electron. 2022, 103, 106448. [Google Scholar] [CrossRef]
- Yang, Z.; Lin, S.; Liu, J.; Zheng, K.; Lu, G.; Ye, B.; Huang, J.; Zhang, Y.; Ye, Y.; Guo, T.; et al. High performance phototransistors with organic/quantum dot composite materials channels. Org. Elect. 2020, 78, 105565. [Google Scholar] [CrossRef]
- He, Z.; Zhang, Z.; Bi, S. Nanoscale alignment of semiconductor crystals for high-fidelity organic electronics applications. Appl. Nanosci. 2021, 11, 787–795. [Google Scholar] [CrossRef]
- Niu, M.-S.; Yang, X.-Y.; Qin, C.-C.; Bi, P.-Q.; Lyu, C.-K.; Feng, L.; Qin, W.; Gao, K.; Hao, X.-T. Competition between singlet fission and singlet exciton dissociation at the interface in TIPS-pentacene: IT-4F blend. Org. Electron. 2019, 71, 296–302. [Google Scholar] [CrossRef]
- Lee, M.W.; Ryu, G.S.; Lee, Y.U.; Pearson, C.; Petty, M.C.; Song, C.K. Control of droplet morphology for inkjet-printed TIPS-pentacene transistors. Microelectron. Eng. 2012, 95, 1–4. [Google Scholar] [CrossRef]
- He, Z.; Zhang, Z.; Bi, S. Nanoparticles for organic electronics applications. Mater. Res. Express 2020, 7, 012004. [Google Scholar] [CrossRef]
- Chang, J.; Chi, C.; Zhang, J.; Wu, J. Controlled Growth of Large-Area High-Performance Small-Molecule Organic Single-Crystalline Transistors by Slot-Die Coating Using A Mixed Solvent System. Adv. Mater. 2013, 25, 6442–6447. [Google Scholar] [CrossRef]
- Chen, J.H.; Tee, C.K.; Shtein, M.; Martin, D.C.; Anthony, J. Controlled solution deposition and systematic study of charge-transport anisotropy in single crystal and single-crystal textured TIPS pentacene thin films. Org. Electron. 2009, 10, 696–703. [Google Scholar] [CrossRef]
- Cho, S.; Lim, E. Controlling fabrication temperature of TIPS-pentacene to improve carrier properties. J. Korean Phys. Soc. 2023, 82, 91–97. [Google Scholar] [CrossRef]
- Sun, Y.; Zhang, Z.; Asare-Yeboah, K.; Bi, S.; He, Z. Large-Dimensional Organic Semiconductor Crystals with Poly(butyl acrylate) Polymer for Solution-Processed Organic Thin Film Transistors. Electron. Mater. Lett. 2021, 17, 33–42. [Google Scholar] [CrossRef]
- He, Z.; Zhang, Z.; Asare-Yeboah, K.; Bi, S. Solvent Exchange in Controlling Semiconductor Morphology. Electron. Mater. Lett. 2022, 18, 501–518. [Google Scholar] [CrossRef]
- Schusteritsch, G.; Ishikawa, R.; Elmaslmane, A.R.; Inoue, K.; McKenna, K.P.; Ikuhara, Y.; Pickard, C.J. Anataselike Grain Boundary Structure in Rutile Titanium Dioxide. Nano Lett. 2021, 21, 2745–2751. [Google Scholar] [CrossRef]
- Gautam, A.; Ophus, C.; Lançon, F.; Radmilovic, V.; Dahmen, U. Atomic structure characterization of an incommensurate grain boundary. Acta Mater. 2013, 61, 5078–5086. [Google Scholar] [CrossRef]
- Sato, Y.; Yamamoto, T.; Ikuhara, Y. Atomic Structures and Electrical Properties of ZnO Grain Boundaries. J. Am. Ceram. Soc. 2007, 90, 337–357. [Google Scholar] [CrossRef]
- Giannini, S.; Blumberger, J. Charge Transport in Organic Semiconductors: The Perspective from Nonadiabatic Molecular Dynamics. Acc. Chem. Res. 2022, 55, 819–830. [Google Scholar] [CrossRef] [PubMed]
- Seo, Y.; Lee, J.H.; Anthony, J.E.; Nguyen, K.V.; Kim, Y.H.; Jang, H.W.; Ko, S.; Cho, Y.; Lee, W.H. Effects of Grain Boundary Density on the Gas Sensing Properties of Triethylsilylethynyl-Anthradithiophene Field-Effect Transistors. Adv. Mater. Interfaces 2018, 5, 1701399. [Google Scholar] [CrossRef]
- Straumal, B.; Baretzky, B. Grain Boundary Phase Transitions and their Influence on Properties of Polycrystals. Interface Sci. 2004, 12, 147–155. [Google Scholar] [CrossRef]
- He, Z.; Chen, J.; Keum, J.K.; Szulczewski, G.; Li, D. Improving performance of TIPS pentacene-based organic thin film transistors with small-molecule additives. Org. Electron. 2014, 15, 150–155. [Google Scholar] [CrossRef]
- He, Z.; Zhang, Z.; Asare-Yeboah, K.; Bi, S. Poly(α-methylstyrene) polymer and small-molecule semiconductor blend with reduced crystal misorientation for organic thin film transistors. J. Mater. Sci. Mater. Electron. 2019, 30, 14335–14343. [Google Scholar] [CrossRef]
- Shen, T.; Zhou, H.; Xin, J.; Fan, Q.; Yang, Z.; Wang, J.; Mei, T.; Wang, X.; Wang, N.; Li, J. Controllable microstructure of polymer-small molecule blend thin films for high-performance organic field-effect transistors. Appl. Surf. Sci. 2019, 498, 143822. [Google Scholar] [CrossRef]
- Han, J.I.; Lim, C.-Y.; Park, S.K.; Kim, Y.-H. High-Performance 2,8-Difluoro-5,11-bis(triethylsilylethynyl) Anthradithiophene Thin-Film Transistors Facilitated by Predeposited Ink-Jet Blending. Jpn. J. Appl. Phys. 2013, 52, 031601. [Google Scholar] [CrossRef]
- Lee, W.H.; Kwak, D.; Anthony, J.E.; Lee, H.S.; Choi, H.H.; Kim, D.H.; Lee, S.G.; Cho, K. The Influence of the Solvent Evaporation Rate on the Phase Separation and Electrical Performances of Soluble Acene-Polymer Blend Semiconductors. Adv. Funct. Mater. 2012, 22, 267–281. [Google Scholar] [CrossRef]
- Hwang, D.K.; Fuentes-Hernandez, C.; Berrigan, J.D.; Fang, Y.N.; Kim, J.; Potscavage, W.J.; Cheun, H.; Sandhage, K.H.; Kippelen, B. Solvent and polymer matrix effects on TIPS-pentacene/polymer blend organic field-effect transistors. J. Mater. Chem. 2012, 22, 5531–5537. [Google Scholar] [CrossRef]
- He, Z.; Li, D.; Hensley, D.K.; Rondinone, A.J.; Chen, J. Switching phase separation mode by varying the hydrophobicity of polymer additives in solution-processed semiconducting small-molecule/polymer blends. Appl. Phys. Lett. 2013, 103, 113301. [Google Scholar] [CrossRef]
- He, Z.; Chen, J.; Li, D. Polymer Additive Controlled Morphology for High Performance Organic Thin Film Transistors. Soft Matter 2019, 15, 5790–5803. [Google Scholar] [CrossRef]
- Prescimone, F.; Benvenuti, E.; Natali, M.; Lorenzoni, A.; Dinelli, F.; Liscio, F.; Milita, S.; Chen, Z.; Mercuri, F.; Muccini, M.; et al. 3D versus 2D Electrolyte–Semiconductor Interfaces in Rylenediimide-Based Electron-Transporting Water-Gated Organic Field-Effect Transistors. Adv. Electron. Mater. 2020, 6, 2000638. [Google Scholar] [CrossRef]
- Orgiu, E.; Samori, P. 25th Anniversary Article: Organic Electronics Marries Photochromism: Generation of Multifunctional Interfaces, Materials, and Devices. Adv. Mater. 2014, 26, 1827–1845. [Google Scholar] [CrossRef]
- Adnan, M.; Kashif, M.; Irshad, Z.; Hussain, R.; Darwish, H.W.; Lim, J. Advancing optoelectronic characteristics of Diketopyrrolopyrrole-Based molecules as donors for organic and as hole transporting materials for perovskite solar cells. Spectrochim. Acta A Mol. Biomol. Spectrosc. 2024, 320, 124615. [Google Scholar] [CrossRef]
- Huang, S.; Peng, B.; Chan, P.K.L. Ambipolar Organic Field-Effect Transistors Based on a Dual-Function, Ultrathin and Highly Crystalline 2,9-didecyldinaphtho[2,3-b:2′,3′-f]thieno[3,2-b]thiophene (C10-DNTT) Layer. Adv. Electron. Mater. 2017, 3, 1700268. [Google Scholar] [CrossRef]
- Lim, E.; Taguchi, D.; Iwamoto, M. Analysis of carrier transport and carrier trapping in organic diodes with polyimide-6,13-Bis(triisopropylsilylethynyl) pentacene double-layer by charge modulation spectroscopy and optical second harmonic generation measurement. Appl. Phys. Lett. 2014, 105, 073301. [Google Scholar] [CrossRef]
- Sirringhaus, H. Device physics of Solution-processed organic field-effect transistors. Adv. Mater. 2005, 17, 2411–2425. [Google Scholar] [CrossRef]
- Hlali, S.; Hizem, N.; Militaru, L.; Kalboussi, A.; Souifi, A. Effect of interface traps for ultra-thin high-k gate dielectric based MIS devices on the capacitance-voltage characteristics. Microelectron. Reliab. 2017, 75, 154–161. [Google Scholar] [CrossRef]
- Chen, H.; Zhang, W.; Li, M.; He, G.; Guo, X. Interface Engineering in Organic Field-Effect Transistors: Principles, Applications, and Perspectives. Chem. Rev. 2020, 120, 2879–2949. [Google Scholar] [CrossRef] [PubMed]
- Vandewal, K.; Albrecht, S.; Hoke, E.T.; Graham, K.R.; Widmer, J.; Douglas, J.D.; Schubert, M.; Mateker, W.R.; Bloking, J.T.; Burkhard, G.F.; et al. Efficient charge generation by relaxed charge-transfer states at organic interfaces. Nat. Mater. 2014, 13, 63–68. [Google Scholar] [CrossRef] [PubMed]
- Kumatani, A.; Li, Y.; Darmawan, P.; Minari, T.; Tsukagoshi, K. On Practical Charge Injection at the Metal/Organic Semiconductor Interface. Sci. Rep. 2013, 3, 1026. [Google Scholar] [CrossRef] [PubMed]
- Koch, N. Organic Electronic Devices and Their Functional Interfaces. ChemPhysChem 2007, 8, 1438–1455. [Google Scholar] [CrossRef] [PubMed]
- Fahlman, M.; Fabiano, S.; Gueskine, V.; Simon, D.; Berggren, M.; Crispin, X. Interfaces in organic electronics. Nat. Rev. Mater. 2019, 4, 627–650. [Google Scholar] [CrossRef]
- Scott, J.C. Metal–organic interface and charge injection in organic electronic devices. J. Vac. Sci. Technol. A 2003, 21, 521–531. [Google Scholar] [CrossRef]
- He, Z.; Zhang, Z.; Bi, S.; Chen, J.; Li, D. Conjugated Polymer Controlled Morphology and Charge Transport of Small-Molecule Organic Semiconductors. Sci. Rep. 2020, 10, 4344. [Google Scholar] [CrossRef]
- Lee, J.H.; Lyu, J.; Kim, M.; Ahn, H.; Lim, S.; Jang, H.W.; Chung, H.-J.; Lee, J.H.; Koo, J.; Lee, W.H. Quantitative Determination of Charge Transport Interface at Vertically Phase Separated Soluble Acene/Polymer Blends. Adv. Funct. Mater. 2023, 33, 2215221. [Google Scholar] [CrossRef]
- He, Z.; Zhang, Z.; Bi, S.; Chen, J. Effect of Polymer Molecular Weight on Morphology and Charge Transport of Small-Molecular Organic Semiconductors. Electron. Mater. Lett. 2020, 16, 441–450. [Google Scholar] [CrossRef]
- Onojima, N.; Akiyama, N.; Mori, Y.; Sugai, T.; Obata, S. Small molecule/polymer blends prepared by environmentally-friendly process for mechanically-stable flexible organic field-effect transistors. Org. Electron. 2020, 78, 105597. [Google Scholar] [CrossRef]
- Fan, H.D.; Han, S.J.; Song, Z.H.; Yu, J.S.; Katz, H.E. Organic field-effect transistor gas sensor based on GO/PMMA hybrid dielectric for the enhancement of sensitivity and selectivity to ammonia. Org. Electron. 2019, 67, 247–252. [Google Scholar] [CrossRef]
- He, Z.; Zhang, Z.; Bi, S. Tailoring the molecular weight of polymer additives for organic semiconductors. Mater. Adv. 2022, 3, 1953–1973. [Google Scholar] [CrossRef]
- Panidi, J.; Paterson, A.F.; Khim, D.; Fei, Z.P.; Han, Y.; Tsetseris, L.; Vourlias, G.; Patsalas, P.A.; Heeney, M.; Anthopoulos, T.D. Remarkable Enhancement of the Hole Mobility in Several Organic Small-Molecules, Polymers, and Small-Molecule:Polymer Blend Transistors by Simple Admixing of the Lewis Acid p-Dopant B(C6F5)3. Adv. Sci. 2018, 5, 1700290. [Google Scholar] [CrossRef]
- Zhang, Z.; He, Z.; Bi, S.; Asare-Yeboah, K. Phase Segregation Controlled Semiconductor Crystallization for Organic Thin Film Transistors. J. Sci. Adv. Mater. Devices 2020, 5, 151–163. [Google Scholar] [CrossRef]
- Ohe, T.; Kuribayashi, M.; Yasuda, R.; Tsuboi, A.; Nomoto, K.; Satori, K.; Itabashi, M.; Kasahara, J. Solution-processed organic thin-film transistors with vertical nanophase separation. Appl. Phys. Lett. 2008, 93, 053303. [Google Scholar] [CrossRef]
- He, Z.; Bi, S.; Asare-Yeboah, K.; Zhang, Z. Phase segregation effect on TIPS pentacene crystallization and morphology for organic thin film transistors. J. Mater. Sci. Mater. Electron. 2020, 31, 4503–4510. [Google Scholar] [CrossRef]
- Bae, I.; Kang, S.J.; Shin, Y.J.; Park, Y.J.; Kim, R.H.; Mathevet, F.; Park, C. Tailored Single Crystals of Triisopropylsilylethynyl Pentacene by Selective Contact Evaporation Printing. Adv. Mater. 2011, 23, 3398–3402. [Google Scholar] [CrossRef] [PubMed]
- He, Z.; Zhang, Z.; Bi, S. Polyacrylate Polymer Assisted Crystallization: Improved Charge Transport and Performance Consistency for Solution-Processable Small-Molecule Semiconductor Based Organic Thin Film Transistors. J. Sci. Adv. Mater. Devices 2019, 4, 467–472. [Google Scholar] [CrossRef]
- Kang, J.; Shin, N.; Jang, D.Y.; Prabhu, V.M.; Yoon, D.Y. Structure and properties of small molecule-polymer blend semiconductors for organic thin film transistors. J. Am. Chem. Soc. 2008, 130, 12273–12275. [Google Scholar] [CrossRef]
- Chua, L.L.; Zaumseil, J.; Chang, J.F.; Ou, E.C.W.; Ho, P.K.H.; Sirringhaus, H.; Friend, R.H. General observation of n-type field-effect behaviour in organic semiconductors. Nature 2005, 434, 194–199. [Google Scholar] [CrossRef]
- He, Z.; Zhang, Z.; Bi, S.; Chen, J. Tuning charge transport in organic semiconductors with nanoparticles and hexamethyldisilazane. J. Nanoparticle Res. 2021, 23, 5. [Google Scholar] [CrossRef]
- Barra, M.; Viggiano, D.; Ambrosino, P.; Bloisi, F.; Di Girolamo, F.V.; Soldovieri, M.V.; Taglialatela, M.; Cassinese, A. Addressing the use of PDIF-CN2 molecules in the development of n-type organic field-effect transistors for biosensing applications. Biochim. Biophys. Acta Gen. Subj. 2013, 1830, 4365–4373. [Google Scholar] [CrossRef] [PubMed]
- Rekab, W.; Stoeckel, M.-A.; El Gemayel, M.; Gobbi, M.; Orgiu, E.; Samorì, P. High-Performance Phototransistors Based on PDIF-CN2 Solution-Processed Single Fiber and Multifiber Assembly. ACS Appl. Mater. Interfaces 2016, 8, 9829–9838. [Google Scholar] [CrossRef] [PubMed]
- Lezama, I.G.; Nakano, M.; Minder, N.A.; Chen, Z.H.; Di Girolamo, F.V.; Facchetti, A.; Morpurgo, A.F. Single-crystal organic charge-transfer interfaces probed using Schottky-gated heterostructures. Nat. Mater. 2012, 11, 788–794. [Google Scholar] [CrossRef] [PubMed]
- Rapisarda, M.; Calvi, S.; Barra, M.; Chiarella, F.; Di Capua, F.; Cassinese, A.; Aloisio, A.; Mariucci, L. Staggered top-gate PDIF-CN2 N-type thin film transistors on flexible plastic substrates. Org. Electron. 2018, 57, 226–231. [Google Scholar] [CrossRef]
- He, Z.; Xiao, K.; Durant, W.; Hensley, D.K.; Anthony, J.E.; Hong, K.; Kilbey, S.M., II; Chen, J.; Li, D. Enhanced Performance Consistency in Nanoparticle/TIPS Pentacene-Based Organic Thin Film Transistors. Adv. Funct. Mater. 2011, 21, 3617–3623. [Google Scholar] [CrossRef]
- He, Z.; Zhang, Z.; Bi, S.; Asare-Yeboah, K.; Chen, J.; Li, D. A facile and novel route to improve TIPS pentacene based organic thin film transistor performance with elastomer. Synth. Met. 2020, 262, 116337. [Google Scholar] [CrossRef]
- Brassat, K.; Kool, D.; Nallet, C.G.A.; Lindner, J.K.N. Understanding Film Thickness-Dependent Block Copolymer Self-Assembly by Controlled Polymer Dewetting on Prepatterned Surfaces. Adv. Mater. Interfaces 2020, 7, 1901605. [Google Scholar] [CrossRef]
- Gupta, R.K.; Garai, R.; Hossain, M.; Afroz, M.A.; Kalita, D.; Iyer, P.K. Engineering polymer solar cells: Advancement in active layer thickness and morphology. J. Mater. Chem. C 2021, 9, 8746–8775. [Google Scholar] [CrossRef]
- Siepmann, F.; Siepmann, J.; Walther, M.; MacRae, R.J.; Bodmeier, R. Polymer blends for controlled release coatings. J. Control. Release 2008, 125, 1–15. [Google Scholar] [CrossRef]
- Miller-Chou, B.A.; Koenig, J.L. A review of polymer dissolution. Prog. Polym. Sci. 2003, 28, 1223–1270. [Google Scholar] [CrossRef]
- Brady, J.; Dürig, T.; Lee, P.I.; Li, J.X. Chapter 7—Polymer Properties and Characterization. In Developing Solid Oral Dosage Forms, 2nd ed.; Qiu, Y., Chen, Y., Zhang, G.G.Z., Yu, L., Mantri, R.V., Eds.; Academic Press: Boston, MA, USA, 2017; pp. 181–223. [Google Scholar] [CrossRef]
- Treat, N.D.; Malik, J.A.N.; Reid, O.; Yu, L.Y.; Shuttle, C.G.; Rumbles, G.; Hawker, C.J.; Chabinyc, M.L.; Smith, P.; Stingelin, N. Microstructure formation in molecular and polymer semiconductors assisted by nucleation agents. Nat. Mater. 2013, 12, 628–633. [Google Scholar] [CrossRef] [PubMed]
- Riera-Galindo, S.; Leonardi, F.; Pfattner, R.; Mas-Torrent, M. Organic Semiconductor/Polymer Blend Films for Organic Field-Effect Transistors. Adv. Mater. Technol. 2019, 4, 1900104. [Google Scholar] [CrossRef]
- Zhang, Z.; Zhang, L.; Wang, X.; Wang, T.; Cheng, C.; Liu, X. Micro/Nano-Scaled Covalent Organic Frameworks: Polymerization, Crystallization and Self-Assembly. ChemNanoMat 2022, 8, e202100345. [Google Scholar] [CrossRef]
- Liu, C.-F.; Li, S.; Zhang, J.; Duan, W.; Zhang, Y.; Liu, H.; Luo, Q.; Chen, S.; Liu, X.; Lai, W.-Y. Tailoring Crystallization Growth of Small-Molecule Organic Semiconductors by Modification with Conjugated Polymers for Organic Field-Effect Transistors. Adv. Electron. Mater. 2023, 9, 2201107. [Google Scholar] [CrossRef]
- Lemanowicz, M.; Mielańczyk, A.; Walica, T.; Kotek, M.; Gierczycki, A. Application of Polymers as a Tool in Crystallization—A Review. Polymers 2021, 13, 2695. [Google Scholar] [CrossRef]
- Geary, J.M.; Goodby, J.W.; Kmetz, A.R.; Patel, J.S. The mechanism of polymer alignment of liquid-crystal materials. J. Appl. Phys. 1987, 62, 4100–4108. [Google Scholar] [CrossRef]
- Qin, H.; Li, F.; Wang, D.; Lin, H.; Jin, J. Organized Molecular Interface-Induced Noncrystallizable Polymer Ultrathin Nanosheets with Ordered Chain Alignment. ACS Nano 2016, 10, 948–956. [Google Scholar] [CrossRef]
- Kubo, Y.; Kitada, Y.; Wakabayashi, R.; Kishida, T.; Ayabe, M.; Kaneko, K.; Takeuchi, M.; Shinkai, S. A Supramolecular Bundling Approach toward the Alignment of Conjugated Polymers. Angew. Chem. Int. Ed. 2006, 45, 1548–1553. [Google Scholar] [CrossRef]
- Huang, Q. When Polymer Chains Are Highly Aligned: A Perspective on Extensional Rheology. Macromolecules 2022, 55, 715–727. [Google Scholar] [CrossRef]
- Schwartz, B.J. Conjugated Polymers as Molecular Materials: How Chain Conformation and Film Morphology Influence Energy Transfer and Interchain Interactions. Annu. Rev. Phys. Chem. 2003, 54, 141–172. [Google Scholar] [CrossRef] [PubMed]
- Wang, Y.; Acton, O.; Ting, G.; Weidner, T.; Shamberge, P.J.; Ma, H.; Ohuchi, F.S.; Castner, D.G.; Jen, A.K.Y. Effect of the phenyl ring orientation in the polystyrene buffer layer on the performance of pentacene thin-film transistors. Org. Electron. 2010, 11, 1066–1073. [Google Scholar] [CrossRef]
- Jung, H.J.; Shin, Y.J.; Park, Y.J.; Yoon, S.C.; Choi, D.H.; Park, C. Ultrathin, Organic, Semiconductor/Polymer Blends by Scanning Corona-Discharge Coating for High-Performance Organic Thin-Film Transistors. Adv. Funct. Mater. 2010, 20, 2903–2910. [Google Scholar] [CrossRef]
- Huang, W.; Fan, H.; Zhuang, X.; Yu, J. Effect of UV/ozone treatment on polystyrene dielectric and its application on organic field-effect transistors. Nanoscale Res. Lett. 2014, 9, 479. [Google Scholar] [CrossRef]
- Lin, Z.; Guo, X.; Zhou, L.; Zhang, C.; Chang, J.; Wu, J.; Zhang, J. Solution-processed high performance organic thin film transistors enabled by roll-to-roll slot die coating technique. Org. Electron. 2018, 54, 80–88. [Google Scholar] [CrossRef]
- Feng, L.; Jiang, C.; Ma, H.; Guo, X.; Nathan, A. All ink-jet printed low-voltage organic field-effect transistors on flexible substrate. Org. Electron. 2016, 38, 186–192. [Google Scholar] [CrossRef]
- Lada, M.; Starink, M.J.; Carrasco, M.; Chen, L.C.; Miskiewicz, P.; Brookes, P.; Obarowska, M.; Smith, D.C. Morphology control via dual solvent crystallization for high-mobility functionalized pentacene-blend thin film transistors. J. Mater. Chem. 2011, 21, 11232–11238. [Google Scholar] [CrossRef]
- Jo, P.S.; Duong, D.T.; Park, J.; Sinclair, R.; Salleo, A. Control of Rubrene Polymorphs via Polymer Binders: Applications in Organic Field-Effect Transistors. Chem. Mater. 2015, 27, 3979–3987. [Google Scholar] [CrossRef]
- Stingelin-Stutzmann, N.; Smits, E.; Wondergem, H.; Tanase, C.; Blom, P.; Smith, P.; De Leeuw, D. Organic thin-film electronics from vitreous solution-processed rubrene hypereutectics. Nat. Mater. 2005, 4, 601–606. [Google Scholar] [CrossRef]
- Tamayo, A.; Hofer, S.; Salzillo, T.; Ruzié, C.; Schweicher, G.; Resel, R.; Mas-Torrent, M. Mobility anisotropy in the herringbone structure of asymmetric Ph-BTBT-10 in solution sheared thin film transistors. J. Mater. Chem. C 2021, 9, 7186–7193. [Google Scholar] [CrossRef]
- Suzuki, I.; Hanna, J.-I.; Iino, H. High-speed blade-coating using liquid crystalline organic semiconductor Ph-BTBT-10. Appl. Phys. Express 2024, 17, 051007. [Google Scholar] [CrossRef]
- Shen, T.; Zhou, H.; Liu, X.; Fan, Y.; Mishra, D.D.; Fan, Q.; Yang, Z.; Wang, X.; Zhang, M.; Li, J. Wettability Control of Interfaces for High-Performance Organic Thin-Film Transistors by Soluble Insulating Polymer Films. ACS Omega 2020, 5, 10891–10899. [Google Scholar] [CrossRef]
- Gundlach, D.J.; Lin, Y.Y.; Jackson, T.N.; Nelson, S.F.; Schlom, D.G. Pentacene organic thin-film transistors—Molecular ordering and mobility. IEEE Electron Device Lett. 1997, 18, 87–89. [Google Scholar] [CrossRef]
- Brown, A.R.; Jarrett, C.P.; deLeeuw, D.M.; Matters, M. Field-effect transistors made from solution-processed organic semiconductors. Synth. Met. 1997, 88, 37–55. [Google Scholar] [CrossRef]
- Lin, Y.Y.; Gundlach, D.J.; Nelson, S.F.; Jackson, T.N. Stacked pentacene layer organic thin-film transistors with improved characteristics. IEEE Electron Device Lett. 1997, 18, 606–608. [Google Scholar] [CrossRef]
- Gundlach, D.J.; Jackson, T.N.; Schlom, D.G.; Nelson, S.F. Solvent-induced phase transition in thermally evaporated pentacene films. Appl. Phys. Lett. 1999, 74, 3302–3304. [Google Scholar] [CrossRef]
- Heringdorf, F.; Reuter, M.C.; Tromp, R.M. Growth dynamics of pentacene thin films. Nature 2001, 412, 517–520. [Google Scholar] [CrossRef] [PubMed]
- Myny, K.; De Vusser, S.; Steudel, S.; Janssen, D.; Müller, R.; De Jonge, S.; Verlaak, S.; Genoe, J.; Heremans, P. Self-aligned surface treatment for thin-film organic transistors. Appl. Phys. Lett. 2006, 88, 222103. [Google Scholar] [CrossRef]
- Qu, J.; Zeng, M.; Zhang, D.; Yang, D.; Wu, X.; Ren, Q.; Zhang, J. A review on recent advances and challenges of ionic wind produced by corona discharges with practical applications. J. Phys. D Appl. Phys. 2022, 55, 153002. [Google Scholar] [CrossRef]
- Park, S.; Cvelbar, U.; Choe, W.; Moon, S.Y. The creation of electric wind due to the electrohydrodynamic force. Nat. Comm. 2018, 9, 371. [Google Scholar] [CrossRef]
- Podzorov, V.; Menard, E.; Borissov, A.; Kiryukhin, V.; Rogers, J.A.; Gershenson, M.E. Intrinsic charge transport on the surface of organic semiconductors. Phys. Rev. Lett. 2004, 93, 086602. [Google Scholar] [CrossRef] [PubMed]
- Kafer, D.; Ruppel, L.; Witte, G.; Woll, C. Role of molecular conformations in rubrene thin film growth. Phys. Rev. Lett. 2005, 95, 166602. [Google Scholar] [CrossRef] [PubMed]
- Zeis, R.; Besnard, C.; Siegrist, T.; Schlockermann, C.; Chi, X.L.; Kloc, C. Field effect studies on rubrene and impurities of rubrene. Chem. Mater. 2006, 18, 244–248. [Google Scholar] [CrossRef]
- Briseno, A.L.; Tseng, R.J.; Ling, M.M.; Falcao, E.H.L.; Yang, Y.; Wudl, F.; Bao, Z.N. High-performance organic single-crystal transistors on flexible substrates. Adv. Mater. 2006, 18, 2320–2324. [Google Scholar] [CrossRef]
- Du, C.; Wang, W.C.; Li, L.Q.; Fuchs, H.; Chi, L.F. Growth of rubrene crystalline thin films using thermal annealing on DPPC LB monolayer. Org. Electron. 2013, 14, 2534–2539. [Google Scholar] [CrossRef]
- Guo, S.; He, Y.; Murtaza, I.; Tan, J.; Pan, J.; Guo, Y.; Zhu, Y.; He, Y.; Meng, H. Alkoxy substituted [1]benzothieno[3,2-b][1]benzothiophene derivative with improved performance in organic thin film transistors. Org. Electron. 2018, 56, 68–75. [Google Scholar] [CrossRef]
- He, Y.; Xu, W.; Murtaza, I.; Yao, C.; Zhu, Y.; Li, A.; He, C.; Meng, H. A chrysene-based liquid crystalline semiconductor for organic thin-film transistors. J. Mater. Chem. C 2018, 6, 3683–3689. [Google Scholar] [CrossRef]
- He, Y.; Sezen, M.; Zhang, D.; Li, A.; Yan, L.; Yu, H.; He, C.; Goto, O.; Loo, Y.-L.; Meng, H. High Performance OTFTs Fabricated Using a Calamitic Liquid Crystalline Material of 2-(4-Dodecyl phenyl)[1]benzothieno[3,2-b][1]benzothiophene. Adv. Electron. Mater. 2016, 2, 1600179. [Google Scholar] [CrossRef]
- He, Y.; Xu, W.; Murtaza, I.; Zhang, D.; He, C.; Zhu, Y.; Meng, H. Molecular phase engineering of organic semiconductors based on a [1]benzothieno[3,2-b][1]benzothiophene core. RSC Adv. 2016, 6, 95149–95155. [Google Scholar] [CrossRef]
- Li, J.; Tamayo, A.; Quintana, A.; Riera-Galindo, S.; Pfattner, R.; Gong, Y.; Mas-Torrent, M. Binder polymer influence on the electrical and UV response of organic field-effect transistors. J. Mater. Chem. C 2023, 11, 8178–8185. [Google Scholar] [CrossRef]
- He, C.; He, Y.; Liu, X.; Li, A.; Chen, J.; Meng, H. Enhancing the performance of solution-processed organic thin-film transistors by blending binary compatible small molecule semiconductors. Org. Electron. 2019, 64, 104–109. [Google Scholar] [CrossRef]
- Kim, Y.-H.; Lee, Y.U.; Han, J.-I.; Han, S.-M.; Han, M.-K. Influence of Solvent on the Film Morphology, Crystallinity and Electrical Characteristics of Triisopropylsilyl Pentacene OTFTs. J. Electrochem. Soc. 2007, 154, H995–H998. [Google Scholar] [CrossRef]
- Park, S.K.; Jackson, T.N.; Anthony, J.E.; Mourey, D.A. High mobility solution processed 6,13-bis(triisopropyl-silylethynyl) pentacene organic thin film transistors. Appl. Phys. Lett. 2007, 91, 063514. [Google Scholar] [CrossRef]
- Gupta, D.; Jeon, N.; Yoo, S. Modeling the electrical characteristics of TIPS-pentacene thin-film transistors: Effect of contact barrier, field-dependent mobility, and traps. Org. Electron. 2008, 9, 1026–1031. [Google Scholar] [CrossRef]
- Naden, A.B.; Loos, J.; MacLaren, D.A. Structure–function relations in diF-TES-ADT blend organic field effect transistors studied by scanning probe microscopy. J. Mater. Chem. C 2014, 2, 245–255. [Google Scholar] [CrossRef]
- Kim, C.-H. Bias-stress effects in diF-TES-ADT field-effect transistors. Solid State Electron. 2019, 153, 23–26. [Google Scholar] [CrossRef]
- Salzillo, T.; D’Amico, F.; Montes, N.; Pfattner, R.; Mas-Torrent, M. Influence of polymer binder on the performance of diF-TES-ADT based organic field effect transistor. CrystEngComm 2021, 23, 1043–1051. [Google Scholar] [CrossRef]
- Niazi, M.R.; Li, R.P.; Li, E.Q.; Kirmani, A.R.; Abdelsamie, M.; Wang, Q.X.; Pan, W.Y.; Payne, M.M.; Anthony, J.E.; Smilgies, D.M.; et al. Solution-printed organic semiconductor blends exhibiting transport properties on par with single crystals. Nat. Commun. 2015, 6, 8598. [Google Scholar] [CrossRef]
- Shaposhnik, P.A.; Trul, A.A.; Poimanova, E.Y.; Sorokina, E.A.; Borshchev, O.V.; Agina, E.V.; Ponomarenko, S.A. BTBT-based organic semiconducting materials for EGOFETs with prolonged shelf-life stability. Org. Electron. 2024, 129, 107047. [Google Scholar] [CrossRef]
- Dong, A.; Deng, W.; Wang, Y.; Shi, X.; Sheng, F.; Yin, Y.; Ren, X.; Jie, J.; Zhang, X. Anion Bulk Doping of Organic Single-Crystalline Thin Films for Performance Enhancement of Organic Field-Effect Transistors. Adv. Funct. Mater. 2024, 2404558. [Google Scholar] [CrossRef]
- Park, J.; Hong, S. High-Photosensitivity WSe2 Phototransistor with Electrically Self-Isolated C8-BTBT as a Light Absorption Layer. ACS Photonics 2024, 11, 1517–1523. [Google Scholar] [CrossRef]
- Huang, Y.; Sun, J.; Zhang, J.; Wang, S.; Huang, H.; Zhang, J.; Yan, D.; Gao, Y.; Yang, J. Controllable thin-film morphology and structure for 2,7-dioctyl[1]benzothieno[3,2-b][1]benzothiophene (C8BTBT) based organic field-effect transistors. Org. Electron. 2016, 36, 73–81. [Google Scholar] [CrossRef]








Disclaimer/Publisher’s Note: The statements, opinions and data contained in all publications are solely those of the individual author(s) and contributor(s) and not of MDPI and/or the editor(s). MDPI and/or the editor(s) disclaim responsibility for any injury to people or property resulting from any ideas, methods, instructions or products referred to in the content. |
© 2024 by the authors. Licensee MDPI, Basel, Switzerland. This article is an open access article distributed under the terms and conditions of the Creative Commons Attribution (CC BY) license (https://creativecommons.org/licenses/by/4.0/).
Share and Cite
He, Z.; Bi, S.; Asare-Yeboah, K. Hybrid System of Polystyrene and Semiconductor for Organic Electronic Applications. Processes 2024, 12, 1944. https://doi.org/10.3390/pr12091944
He Z, Bi S, Asare-Yeboah K. Hybrid System of Polystyrene and Semiconductor for Organic Electronic Applications. Processes. 2024; 12(9):1944. https://doi.org/10.3390/pr12091944
Chicago/Turabian StyleHe, Zhengran, Sheng Bi, and Kyeiwaa Asare-Yeboah. 2024. "Hybrid System of Polystyrene and Semiconductor for Organic Electronic Applications" Processes 12, no. 9: 1944. https://doi.org/10.3390/pr12091944
APA StyleHe, Z., Bi, S., & Asare-Yeboah, K. (2024). Hybrid System of Polystyrene and Semiconductor for Organic Electronic Applications. Processes, 12(9), 1944. https://doi.org/10.3390/pr12091944

