Next Article in Journal
Optimizing Fish Feeding with FFAUNet Segmentation and Adaptive Fuzzy Inference System
Next Article in Special Issue
Investigation of the Influence of Cutter Geometry on the Cutting Forces in Soft–Hard Composite Ground by Tunnel Boring Machine Cutters
Previous Article in Journal
Exploring the Bioactive Properties of Hydroethanolic Cork Extracts of Quercus cerris and Quercus suber
Previous Article in Special Issue
Analysis of Rock Mass Energy Characteristics and Induced Disasters Considering the Blasting Superposition Effect
 
 
Font Type:
Arial Georgia Verdana
Font Size:
Aa Aa Aa
Line Spacing:
Column Width:
Background:
Article

Easer Hole Design Method Based on the Principle of Minimum Burden at the Hole Bottom and Its Application in Tunnel Blasting

1
School of Civil and Resource Engineering, University of Science and Technology Beijing, Beijing 100083, China
2
Chongqing Zhonghuan Construction Co. Ltd., Chongqing 401120, China
*
Author to whom correspondence should be addressed.
Processes 2024, 12(8), 1581; https://doi.org/10.3390/pr12081581
Submission received: 12 July 2024 / Revised: 25 July 2024 / Accepted: 26 July 2024 / Published: 28 July 2024

Abstract

Current tunnel blasting hole layouts are mostly designed based on a two-dimensional plane at the workface, without considering the distribution of the minimum burden at the bottom of the blast holes. This results in a significant number of residual holes at the bottom, reducing excavation efficiency. To address this issue, this study proposes an easer hole design method based on the principle of minimum burden at the hole bottom. The method involved the arithmetic distribution for the minimum burden at the bottom of easer holes, using the difficulty of rock breaking as the design principle for hole positioning. Through theoretical analysis, numerical simulation, and field tests, it is proposed that the minimum burden at the bottom of the holes should increase progressively with the initiation sequence, and the relationship between burden distribution and blasting effect was investigated. This study indicates that using the new design principle achieves better blasting results than the model with an evenly distributed burden. When the control ratio of the minimum burden at the bottom of each row of easer holes is 1.3, an average residual hole depth of 36.7 cm and a maximum damage volume of 4.638 m3 can be achieved, yielding the best overall blasting effect. The application of this blasting scheme in the field significantly improved the residual hole problem, reducing the average residual hole depth to 39.5 cm, which is a 43.4% reduction compared to the previous scheme. Additionally, the utilization rate of blast holes in the new scheme increased to 91.3%, an improvement of 11.0% over the previous scheme. This study provides new insights and methods for tunnel blasting hole layout design, offering significant engineering application value.

1. Introduction

Drilling and blasting methods are the most popular methods for tunnel excavations due to their low cost, high efficiency, and easy operation [1,2]. In tunnel blasting, the minimum burden, which is the shortest distance between the explosive charge in the hole and the nearest free surface, is a critical factor determining the effectiveness of the blast [3,4]. It is also a key parameter in the design of hole layouts. For the commonly used wedge-cut blasting technique in tunnels, the minimum burden of the explosive is determined by the spacing between the holes at the hole tops and the angle between the hole and the working face [5,6,7]. The proper calculation and adjustment of these parameters are essential to achieve effective rock breakage and ensure optimal blasting results.
Many researchers have studied the impact of the hole burden on the blasting effect. Zhao et al. [8] used numerical simulation to find that with constant hole spacing, the blast block rate gradually increases with the increase in the minimum burden, while the peak velocity of the free surface particles and the peak circumferential tensile stress at the stress observation point gradually decrease. Wang et al. [9] adjusted the hole layout and charging structure for different burdens, effectively solving the problem of explosive or resource waste caused by a blasting design with the same burden. Lei et al. [10] studied the variation patterns of cavity expansion volume and energy consumption under explosive impact load with changes in the burden and found that the blast cavity volume showed an exponential growth trend as the minimum burden increased. Zeng et al. [11] studied the relationship between the number of free surfaces and the burden and established a velocity prediction correction formula considering the impact of the number of free surfaces and the burden. Through blasting funnel experiments and theoretical analysis, Qiu et al. [12] found that reducing the blasting funnel burden and increasing the hole spacing is the best method to utilize ground stress to promote rock breaking.
However, in existing research, hole position design is mainly based on the blast hole top section, ensuring that the burden of the blast holes on the top section is as uniform as possible [13,14]. In practical blasting operations, the top of the hole is not charged; the explosives are placed on the side closer to the bottom of the hole inside the rock mass, and the maximum value of the minimum burden along the charging section of the blast hole is also at the bottom of the hole [15]. Therefore, the design method based on the top section cannot meet the actual needs of on-site blasting, which is a common cause of bottom residuals in traditional blasting design methods when applied on-site.
Generally, when the minimum burden at the bottom of the hole ensures the fragmentation of the rock mass being blasted, the blast hole position design can meet the blasting requirements. Considering that in the blasting process, the subsequent blast holes have better free surface conditions than the initial blast holes, the minimum burden at the bottom of each row of easer holes on both sides of the slot area should increase proportionally, enabling the subsequent blast holes to undertake rock-breaking tasks corresponding to their breaking capacity [16,17]. However, no method has effectively achieved this design goal.
This paper aims to develop a method for planning easer hole positions based on the proportional variation of the minimum burden at the bottom of the holes. By introducing the concept of a non-uniform design of the minimum burden at the bottom of easer holes, it addresses the unreasonable design of easer hole positions. To understand the impact of different minimum burdens of easer holes on the blasting effect, LS-DYNA R11.1 simulation software was used to study and analyze the relationship between the distribution of the burden and the blasting effect. This study proposes an effective way to solve the problem of residual holes and determines the optimal parameters of the minimum burden at the bottom of each row of easer holes and the corresponding hole layout scheme. This scheme was verified through on-site tests in the Dabashan Tunnel, proving the method’s rationality and effectiveness.

2. Engineering Background

2.1. Project Overview

The Dabashan Tunnel is a crucial component of the Yinbai Expressway, connecting Chengkou County (located in Chongqing) to Langao County (located in Shaanxi Province), as shown in Figure 1a. The tunnel spans approximately 13,755 m, crossing both Shaanxi Province (8380 m) and Chongqing Municipality (5355 m). It is classified as a super-long tunnel project, characterized by large excavation volumes and stringent safety requirements. The main tunnel structure is designed as a separated twin-tube tunnel with a net height of 8.53 m and a net width of 12.5 m. The schematic design of the tunnel cross-section structure is shown in Figure 1b.
This study focuses on the section of the tunnel located between the left tunnel stake numbers K22 + 209 and K22 + 281. The geological formation of this section is predominantly dolomitic limestone, classified as Grade III in terms of surrounding rock strength. The material physical and mechanical parameters are obtained from the engineering geological survey report of the Dabashan Tunnel, as shown in Table 1.

2.2. Existing Blasting Scheme and Problems

The Dabashan Tunnel adopts a full-face blasting excavation method with a wedge-shaped cut type. The drilling is performed using a three-arm rock drilling jumbo, which is program-controlled for hole spacing and angle, allowing precise drilling according to blasting design parameters, providing foundational conditions for this study. A typical hole layout for conventional blasting is shown in Figure 2. Figure 2a shows the blasting design of the hole top locations. Otherwise, Figure 2b illustrates the positions of the hole bottoms. These positions were obtained by the intelligent drilling jumbo. The design includes a total of 147 blast holes, among which there are 12 cut holes, arranged in one row on each side, with the blast holes angled at 65° to the drilling face. There are 78 easer holes, arranged in 4 rows in the arch section, 5 rows on each side in the lower section, and 1 row at the bottom. There are 57 contour holes, including 14 floor holes.
The effects of multiple on-site blasting operations were evaluated, and data on the blast muckpile, residual hole depth, and contour-forming effects were recorded. Figure 3 shows post-blasting effect photographs, Figure 3a depicts the performance of tunnel contour, Figure 3b demonstrates the state of the residual holes, and Figure 3c shows the condition of the muckpile. From these images, it is evident that conventional blasting has significant issues, such as poor rock-breaking effectiveness, numerous residual holes in the easer holes, and poor contour forming. Additionally, when there are many residual holes with considerable depth, secondary blasting is required. These problems reduce the excavation efficiency and gravel transport efficiency of the tunnel. To address these issues, the performance of different blast holes in the conventional blasting scheme was analyzed.
(a) Cut holes
The cut holes are arranged in a wedge pattern, with a hole spacing of 2.3 m at the hole tops and 0.2 m at the hole bottoms and an overbreak design of 0.2 m. The depth of residual holes after blasting ranges from 0.1 to 0.4 m, with an average blast hole utilization rate of about 93%. Overall, the blasting effect is relatively good.
(b) Easer holes and contour holes
The easer holes and contour holes are the ones with the most residual holes after blasting. Measurements of the residual hole depths of the contour holes and easer holes on-site reveal that the depths range from 0.5 to 1.5 m. Figure 4 is a sectional view of the working face after a blasting operation. The figure shows that the residual hole depth of the easer holes and contour holes gradually increases from the cut area to the contour, and it is also evident that the larger the burden at the hole bottom, the deeper the corresponding residual hole. At this time, the larger the burden at the hole bottom, the greater the clamping effect, and the energy released by the detonating explosive cannot create a thorough break between the blast hole and the free surface, causing fragmentation to occur only within the rock mass and leaving residual holes after blasting. Additionally, blast holes with excessively large bottom burdens not only leave deeper residual holes but also hinder the initiation of the subsequent blast holes. For instance, row 2 of easer holes has a large bottom burden, leaving a 69 cm residual hole after detonation. As a result, although row 3 of easer holes has a smaller bottom burden, the presence of the residual holes from row 2 increases the minimum burden of row 3 during blasting, ultimately causing rock fragmentation failure and leaving residual holes.

3. Arithmetic Distribution Method for the Minimum Burden at the Bottom of Easer Holes

In tunnel blasting, blast holes can be classified into three categories based on their functions: cut holes, easer holes, and contour holes. As shown in Figure 5, cut holes are used to create a new free surface, providing favorable conditions for rock breaking by the easer holes [18]. Contour holes are used to control the quality of the tunnel profile [19,20], with both types having clear roles and specific functions, resulting in relatively smaller rock-breaking burdens. Their design theories and methods are relatively mature. In contrast, easer holes serve as the main force in blasting excavation, especially in the lower part of the tunnel adjacent to the cut blasting area, taking on most of the rock-breaking tasks. The design of the easer hole positions is directly related to the excavation advance, the flatness of the working face, and the degree of rock fragmentation. Therefore, this paper focuses on the planning methods for the positions of easer holes in the lower part of the tunnel adjacent to the cut blasting area and the relationship between hole position parameters and blasting effects.

3.1. Optimization Method

Conventional blasting design principles suggest that, since the charge amounts in easer holes are equivalent and the blasting capabilities are similar, having equal minimum burdens at the bottom of each hole is the optimal design. However, easer holes near the cut zone have poorer free surface conditions and a smaller angle with the working face, making rock breaking more difficult. In contrast, easer holes near the contour holes have better free surface conditions and easier rock breaking. Therefore, during the sequential initiation of easer holes, different burden sizes should be allocated to the easer holes in different areas based on the difficulty of rock breaking. That is, the rear holes can be assigned larger minimum burdens at the hole bottom than the front holes. Based on this idea, this paper proposes a new method for planning the positions of easer holes. This method involves gradually increasing the minimum burdens at the bottom of easer holes row by row, so that the rock-breaking tasks assigned to the blast holes increase with the initiation sequence. This approach aims to improve the uniformity and rationality of the rock-breaking efficiency of each row of blast holes.
As shown in Figure 6, the design principle of equal hole spacing at the hole tops for each row of easer holes is adopted, so, L1 = L2 = ··· = LK−1 = LK. To describe the relationship between the minimum burden at the bottom of each blast hole, the ratio R of the maximum value to the minimum value of the minimum burden at the bottom of each row of easer holes is defined as a control ratio as follows:
R = W K / W 1 ,
where W1 is the minimum burden at the bottom of row 1 of easer holes; WK is the minimum burden at the bottom of row K of easer holes.
When R takes different values, there is a unique hole layout scheme corresponding to it, and the minimum burden at the bottom of the easer holes W(K) form an arithmetic sequence with different constraints. Based on determining the positions of the cut holes and the row K of easer holes, the positions of all easer hole tops and bottoms can be determined. The key to this method is to determine the control ratio R so that each row of easer holes can achieve the most uniform rock-breaking effect within their capability.

3.2. Calculation Process

The burden of blast holes is a critical factor that determines the rock-breaking effect. The optimization process for blasting design based on the minimum burden principle of easer holes is shown in Figure 7. Firstly, the expected value of the minimum burden at the hole bottom is determined based on engineering experience. Then, based on the known positions of the cut holes and contour holes, the number of rows of easer holes and the positions of the hole tops are determined. A recursive and iterative algorithm is used to solve for the minimum burden values at the hole bottom of each row that meet the prescribed relationships. Finally, the hole bottom positions of each row of easer holes are determined, resulting in a complete optimized hole layout scheme.
In this method, the known parameters include the excavation width, advance per round, and the geometric parameters of the cut holes and contour holes. As shown in Figure 6, the goal is to solve for the blast hole layout within the red trapezoidal area, which includes the geometric parameters of the easer holes. Since the determination of the spacing of contour holes has certain complexities, the position of row K of easer holes is pre-determined to simplify the calculation process.
For the proposed design, the easer holes closer to the cut holes (row 1) have the smallest minimum burden at the bottom of the hole, while those closer to the contour holes (row K) have the largest minimum burden at the bottom. The ratio of the maximum to the minimum burden at the bottom of the auxiliary holes, denoted as R, is the control ratio, and it is greater than 1. The ratio of the minimum burden at the bottom of any K-th row easer hole to the first row can be calculated using the following formula:
r k = R k 1 R 1 K 1 ,
where r(k) is the ratio of the minimum burden at the bottom of the K-th row easer hole to the first row. K is the total number of easer hole rows, determined by dividing the length of the trapezoid’s longer side CD by the expected value of the minimum burden at the hole bottom and rounding to the nearest integer. k is any row number of the easer holes.
For ease of program calculation, the average ratio of all rows is calculated as follows:
r ave = k = 1 K r k / K ,
where rave is the average control ratio of all rows.
During the program calculation, the minimum burden at the bottom of each row is distributed and adjusted using the normalized values of each row ratio to its average value:
s k = r k / r ave ,
Then, the minimum burden at the bottom of the row k of easer hole can be determined using the following formula:
W k = s k W 0 ,
where W(k) is the minimum burden at the bottom of the K-th row easer hole. W0 is the expected value of the minimum burden at the bottom of the hole.
By implementing this design approach, the minimum burden at the bottom of the easer holes increases proportionally with the distance from the cut holes, ensuring that the blasting energy is utilized effectively for rock breakage across different rows of easer holes. This methodology helps address the issue of residual bottom holes and improves excavation efficiency in tunnel blasting operations.
In the blasted working face, the positions of the easer hole bottoms are calculated row by row. The shortest distance from the bottom of the K-th row easer hole to the axis of the previous row of blast holes is equal to the minimum burden value W(k) for that row. Based on this geometric relationship, the coordinates of the hole bottom positions can be solved.
After calculating the bottom positions row by row using the above method, since the expected value of the minimum burden W0 is not the final solution to the problem, there is an error between the calculated minimum burden value of the contour hole bottom and the set value, as shown in Equation (6):
E = W C C W C S ,
where E is the error. WCC is the calculated minimum burden value of the contour hole bottom. WCS is the set minimum burden value of the contour hole bottom.
To keep the error E within a reasonable range, it is necessary to continually update the expected value of the easer hole bottom’s minimum burden. The specific approach is to establish an error distribution function and adjust the expected burden value, as shown in Equation (7). The calculation process is repeated until the error E is controlled within a reasonable range. If the error cannot meet the requirements, the learning rate λ is adjusted until the error meets the requirements.
W 0 A = W 0 B + λ f E , K ,
where W0A is the updated expected value of the minimum burden. W0B is the expected value of the minimum burden before updating. λ is the set learning rate. f(E, K) is the error distribution function considering factors such as error E and the number of easer hole rows K; so, f(E, K) = E/K.
By iteratively adjusting the expected value of the minimum burden and recalculating the positions of the hole bottoms, the error E can be minimized, ensuring that the blast hole design meets the desired criteria for effective blasting and excavation.

4. Numerical Simulation

4.1. Experimental Design

To study the relationship between the blasting effect and the parameters of easer holes designed using the arithmetic distribution method for the minimum burden at the hole bottom, different control ratio R values were used to establish computational models for simulation and analysis. Based on the excavation and drilling parameters of the Dabashan Tunnel, the R values range from 1.0 to 1.6, with a step size of 0.1. A total of seven models were designed, as shown in Table 2.

4.2. Modeling

4.2.1. Model, Mesh, and Boundary Conditions

To establish a 3D model using ANSYS v18.2 software, a half-symmetry modeling approach was adopted to improve computational efficiency. ANSYS software is the most popular large-scale general-purpose finite element analysis software, and it is widely used in civil engineering, fluid dynamics, mining engineering, energy, and other fields [21,22,23]. This paper uses the LS-DYNA software part of the ANSYS software.
The blasting model is shown in Figure 8. As shown in Figure 8a, the overall model dimensions are 7000 mm in length, 2000 mm in height, and 5000 mm in width. The blast hole diameter is 42 mm, and the charge ratio is 0.6. The vertical depth of the easer holes and contour holes is 4000 mm, with an over depth of 200 mm for the cut holes. Before the model is imported into LS-DYNA R11.1 software for computation, it is assumed that the cut holes have already been blasted, forming a complete cavity and a second free surface.
The model employs a fluid–structure interaction (FSI) algorithm for computations, defining air as the medium for the propagation of explosive energy. The interaction between the air and rock is considered, with the explosive load applied to the rock. Air and explosive elements are modeled using the Arbitrary Lagrangian–Eulerian (ALE) algorithm. This method is suitable for capturing the fluid dynamics of the explosive gases and their interaction with the surrounding environment. Rock elements are modeled using the Lagrangian algorithm, which is effective for solid mechanics problems where the material deformation is tracked. The grids for air and rock elements overlap, with the rock grid being finer than the air grid to capture more detailed interactions and deformations at the rock surface. The model meshing diagram is shown in Figure 8b; the minimum mesh size is 5 mm, and the maximum is 80 mm. A total of 515,000 mesh elements are used in the model.
The boundary of the free surface area is set as a free boundary, and the boundaries within the rock mass are set as non-reflecting boundaries.

4.2.2. Rock Constitutive Modeling and Material Parameters

The experimental section is primarily composed of dolomitic limestone. This study uses the Riedel–Hiermaier–Thoma (RHT) material model as the constitutive model for the rock. The RHT model, developed by Riedel, Hiermaier, and Thoma, is designed to simulate the mechanical behavior of brittle materials like rock and concrete under dynamic loading [24]. It accounts for pressure hardening, strain hardening, damage effects, etc., allowing it to describe the complete transition from the elastic stage to failure. The RHT model is widely used to simulate the dynamic response and damage fracturing of rock under blasting loads [25,26,27]. From the material hardening stage, additional plastic strain in the material results in damage and a decrease in strength. The damage accumulation process for the material is as follows:
D = Δ ε pl ε p failure ,
ε p failure = D 1 ( P * P spall * ) D 2 ε f min ,
where ε p failure is the plastic strain at failure, ε f min the minimum failure strain, D1 and D2 the damage constants, P* the normalized pressure of uniaxial compression strength, and P spall the normalized spallation strength.
The parameters for the dolomitic limestone’s RHT model are mainly derived from laboratory experiments and calibrated using the methodology from reference [28], as shown in Table 3. During post-processing, the damage calculation results can be viewed using history variable #4.

4.2.3. Explosive Material Model and Parameters

For the blasting operation, Type 2 rock emulsion explosives can be simulated in LS-DYNA R11.1 using the high-energy explosive material model (*MAT_HIGH_EXPLOSIVE_BURN). Upon detonation, the explosive gases expand in volume, and the detonation pressure is transmitted to the surrounding rock. The state equation for the explosive process (*EOS_JWL), which can be used to determine the pressure within the explosive source at any moment, is given as follows:
P J = A 1 ω / R 1 V e R 1 V + B 1 ω / R 2 V e R 2 V + ω E 0 / V ,
where V is the specific volume of the detonation gases. E0 is the initial internal energy per unit volume. A, B, R1, R2, and ω are parameters related to the JWL equation. The values for the JWL equation parameters are provided in Table 4 [29].

4.2.4. Air and Stemming Material Model and Parameters

The NULL material model [30] (marked as *MAT_NULL in LS-DYNA R11.1 software) has no yield strength and mechanical behavior similar to that of a fluid, and it is commonly used to simulate materials such as water and air. When this model is used for body or thick shell elements, the equation of state must be defined as well. For the air, the NULL material model is used, with the equation of state defined by *EOS_LINEAR_POLYNOMIAL:
P = C 0 + C 1 V + C 2 V 2 + C 3 V 3 + C 4 + C 5 V + C 6 V 2 E 0 ,
where C0 to C6 are the relevant parameters in the equation, V is the initial relative volume, and E0 is the initial internal energy. For the air model treated as an ideal gas, the parameters are simplified as follows: C1 = C2 = C3 = C6 = 0 and C4 = C5 = 0.4. Specific parameter values are given in Table 5 [31].
For the yellow clay used in the hole stemming, the *MAT_SOIL_AND_FOAM material model is employed. The specific parameters for this material model are detailed in Table 6 [32].

4.3. Analysis of Results

After the seven models were solved and computed, damage contour maps of the rock mass were obtained, as shown in Figure 9. Since fracturing is the main form of action that explosives have on the nearby rock mass, and the rock mass damage variable can represent the fracturing state of the rock mass, the damage extent of the rock mass in different models was analyzed to select the optimal drilling scheme. Based on the analysis results and comprehensive research objectives, this study evaluates the blasting effects using two indicators: the level of residual holes at the bottom and the uniformity of the damage volume.

4.3.1. Comparison of Residual Hole Depth for Different Control Ratio R Values

Although post-processing software LS-PREPOST v4.3 can visualize the damage changes and damage propagation during the blasting process, it cannot directly measure the length of residual holes after blasting. To address this, the SECTION function in the MODEL card of the software can be used to slice the blasted rock mass and obtain cross-sectional views at different positions, as shown in Figure 10a. The cross-sectional views are parallel to the drilling workface, with an interval of 0.5 m between adjacent sections. The depth H values of the cross-sectional views from the hole top are successively 2.0 m, 2.5 m, 3.0 m, 3.5 m, and 4.0 m.
The cross-sectional view of the rock mass after the first row of easer holes is shown in Figure 10b, resulting in five damage contour maps at different depths. Different colors in the damage contour maps represent varying degrees of damage, and by comparison with the legend, the damage values of the mesh elements can be visually obtained. The damage value D indicates the degree of rock fragmentation: when D = 0, the rock is undamaged; when 0 < D < 1, the rock is damaged but not completely destroyed; and when D = 1, the rock is completely destroyed.
In practical blasting, the damage value when the rock is fractured is less than 1. In this study, D = 0.75 is used as the damage threshold for rock fracture. When D < 0.75, the rock is considered not fractured; when D ≥ 0.75, the rock is considered fully fractured [33].
Using the damage contour map of the rock mass after the detonation of the row 1 easer holes, the black ellipses in Figure 11a mark the cross-sections at depths of 3.0 m and 4.0 m, intersecting with the adjacent hole axis plane, as shown in Figure 11b. The damage values of each grid on these intersection lines are statistically analyzed. In Figure 11c, it can be observed that at a depth of 3.0 m, the damage values of all grids in the cross-section are greater than 0.75, indicating that this section has experienced complete fracturing. At a depth of 4.0 m, less than half of the grids in the cross-section have damage values greater than 0.75, meaning this section has not experienced complete fracturing.
For easier statistical analysis, the maximum penetration depth of a single hole is defined to represent the rock-breaking efficiency of easer holes. The maximum penetration depth of a single hole is the maximum value where the cross-section in the rock mass shows complete fracturing.
The damage contour maps for row 1 of easer holes in different models are analyzed and shown in Figure 12. This figure presents the damage contour arrays at cross-sections with depths of 2.5 m, 3.0 m, 3.5 m, and 4.0 m. The horizontal axis represents the control ratio R corresponding to the minimum burden of the easer hole, and the vertical axis represents the cross-section depth H. An analysis of the damage contour maps for row 1 of easer holes resulted in the following findings:
  • For R = 1.0 to 1.2, the maximum penetration depth is between 3.0 m and 3.5 m.
  • For R = 1.3 to 1.6, the maximum penetration depth is between 3.5 m and 4.0 m.
To obtain a more precise maximum penetration depth, the rock mass was further sliced at 10 cm intervals, as shown in Figure 13. The maximum penetration depths with different R values are shown in Table 7.
For quantification and considering potential drilling errors on-site, the left endpoint of the interval (the smaller value) is taken as the maximum penetration depth value for each hole. The difference between the hole length and the maximum penetration depth is approximately considered as the residual hole length after blasting. So, the maximum penetration depths and residual hole lengths can be calculated as shown in Figure 14.
The final depths of the residual holes for each row of easer holes in the different models are summarized in Table 8.
From Table 8, it can be seen that for the average depth of residual holes, when R ranges from 1.1 to 1.6, it is consistently less than when R = 1.0. This indicates that the design scheme where the minimum burden at the bottom of the hole increases proportionally has a better effect in reducing the depth of residual holes. Specifically, the average depths at R = 1.0 and R = 1.1 are larger, at 46.7 cm and 45.0 cm, respectively, whereas at R = 1.3 to 1.5, the depths are smaller, measuring 36.7 cm, 36.7 cm, and 35.0 cm, respectively. Connecting the endpoints of residual holes of all schemes in sequence yields the residual hole section, which characterizes the smoothness of the section after blasting. Similarly, the variance of residual hole depths calculated in this paper can be used to characterize the smoothness of the section. From Table 8, it can be observed that when R = 1.0 and R = 1.6, the variance of residual hole depths is larger, at 0.036 and 0.037, respectively, indicating poorer smoothness of the section after blasting, whereas when R = 1.3 to 1.5, the variance of residual hole depths is smaller, at 0.006 each, indicating better smoothness of the section after blasting. Therefore, in terms of the smoothness of the residual hole section after blasting, the blasting effect is superior when R = 1.3 to 1.5 compared to schemes with an equally spaced minimum burden.

4.3.2. Relationship between Rock Mass Damage Volume V and Control Ratio R

The damage volume of the rock mass refers to the volume of rock that meets the fragmentation criteria under the action of detonation waves and detonation products after an explosive detonation. This volume indicates the extent and scope of the damage to the rock mass. As shown in Figure 15, the damage threshold value of the rock mass is set to D = 0.75 in LS-PREPOST, displaying only the parts of the rock that meet the fragmentation criteria. Using the Measure function, the volume of the rock mass with D greater than 0.75 in each hole’s burden area is calculated.
(a) Relationship between V and R for each row of easer holes
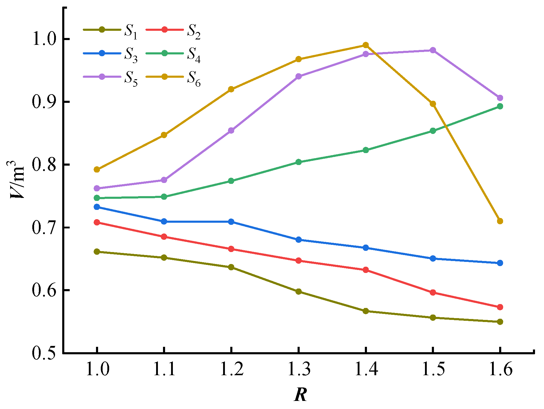
The statistical results of the damage volumes of the rock mass burdened by each row of easer holes under different conditions are shown in Figure 15. The horizontal axis represents the control ratio R for different schemes, while the vertical axis represents the damage volume V of the rock mass burdened by each hole, with S1 to S6 representing the first to sixth rows of easer holes in each scheme.
From Figure 16, it can be observed that as R increases, the damage volume V of the rock mass burdened by rows 1, 2, and 3 of easer holes (S1 to S3) gradually decreases. When R = 1.6, the damage volume is the smallest, reduced by about 17% compared to when R = 1.0. This is because, with the increase in R, the minimum burden of the hole bottom for rows 1, 2, and 3 of easer holes gradually decreases, resulting in a decreasing proportion of energy from the explosive being used for rock fragmentation.
For rows 4, 5, and 6 of easer holes (S4 to S6), the damage volume V of the burdened rock mass increases with R. However, for S5 and S6, the damage volumes start to decrease when R increases to 1.4 and 1.5, respectively. After the decline trend appears, the damage volume V of S6 decreases more rapidly. This is because, with the increase in R, the minimum burden of the hole bottom for the last three rows of easer holes also increases, resulting in an increasing proportion of energy from the explosive being used for rock fragmentation. However, when R increases to 1.5 or 1.6, the minimum burden of the hole bottom for the last two rows of easer holes becomes too large, exceeding the destructive capability of the holes. At this point, the energy from the explosive is insufficient to achieve continuous fragmentation from the hole to the new free face.
(b) Relationship between total damage volume Vs and R
Figure 16 shows the relationship between the total damage volume vs of the rock mass and the control ratio R for different models. The horizontal axis represents the control ratio R for each scheme, while the vertical axis represents the total damage volume vs for each condition, with specific values of total rock damage volume indicated in parentheses for each model. It can be seen from Figure 17 that as R increases, the total damage volume vs gradually increases, reaching its maximum value of 4.638 m3 at R = 1.3. Beyond this point, the total damage volume vs begins to decrease, reaching its minimum value of 4.276 m3 at R = 1.6. Therefore, from the perspective of total damage volume, the optimal blasting effect is achieved when R = 1.3. However, since the total damage volumes for R = 1.2 and R = 1.4 are similar to that for R = 1.3, with differences within 2%, these two conditions can also be considered as alternative solutions.
In summary, a comprehensive analysis of the blasting effects was conducted by comparing different models from three perspectives: post-blast residual hole depth, section flatness after blasting, and damage volume. With the exception of the R = 1.6 condition, the design scheme in which the minimum burden of the easer hole bottom increases proportionally from row to row achieved better blasting effects than the equal burden scheme. This validates the feasibility of the design principles proposed in this paper. Based on the three blasting effect evaluation indicators, the blasting effect is optimal when R = 1.3. Therefore, in the engineering background of this project, the optimal control ratio for the minimum burden of the easer hole bottom should be 1.3.

5. Field Tests

5.1. Optimized Blasting Scheme

To verify the effectiveness of the optimized blasting scheme and the feasibility of the easer hole design method based on proportionally setting the minimum burden, the new scheme was applied to the Dabashan Tunnel for field testing. Based on the numerical simulation results, new easer hole positions were designed according to the optimal proportionality ratio, as shown in Figure 18. In the new easer hole design, the spacing between the hole tops is equal, and the minimum burden of the hole bottom is set according to a ratio of R = 1.3. The overall optimized hole layout is shown in Figure 19.

5.2. Test Results and Analysis

Figure 20 shows the blasting effects of the optimized scheme. Comparing these with the original scheme, it is evident that the muckpile in the new scheme is more fragmented and uniformly sized, with no significant large blocks. The half-hole marks on the top and sides of the section are clear, and the overall profile is relatively smooth, indicating a good sectional formation effect.
To quantitatively evaluate the optimization effect of the new scheme, the residual hole depths of the easer holes were measured and recorded in Table 9. Comparing the data from the new scheme with those of the original scheme reveals significant improvements:
  • The average residual depth of the easer and contour holes in the new scheme is 38.9 cm, a reduction of 45.6% from the original scheme.
  • The average residual depth of the contour holes is 36.7 cm, a reduction of 53.3% from the original scheme.
  • The average residual depth of the easer holes is 39.5 cm, a reduction of 43.4% from the original scheme.
  • The overall hole utilization rate in the new scheme increased to 90.5%, an improvement of 8.1% from the original scheme.
  • The utilization rate of the contour holes is 90.6%, an increase of 7.7%.
  • The utilization rate of the easer holes is 91.3%, an increase of 11.0%.
By subtracting the fracture penetration depths obtained from the simulation results from the total length of each row of holes, the non-penetration lengths of each row of holes were obtained. Comparing these lengths with the residual hole depths measured in the field tests shows that, although there are some differences between the simulated and measured residual hole lengths, the overall differences are within 8%.
The field test results validate the effectiveness of the optimized blasting scheme with the easer hole design method based on proportionally setting the minimum burden. The new scheme significantly reduces the residual hole depth and improves the hole utilization rate, resulting in a more efficient and effective blasting operation for the Dabashan Tunnel.

6. Conclusions

This study, set against the background of the Dabashan Tunnel project, addresses the issue of an unreasonable distribution of rock-breaking tasks among easer holes in the existing blasting design. Therefore, a new design method based on the principle of minimum burden at the hole bottom and arithmetic distribution of hole positions is proposed. Furthermore, the relationship between the distribution of burden at the hole bottom and the blasting effect is analyzed, leading to the following main conclusions:
(a)
Seven hole layout plans were designed using the proposed easer hole position design method. Through numerical simulation analysis of these plans in terms of residual hole depth, section flatness after blasting, and damage volume, it was found that the scheme with proportionally increasing minimum burden at the hole bottom of easer holes had better blasting effects compared to the equally divided burden scheme when the control ratio R ranged from 1.1 to 1.5. Specifically, when R = 1.3, the best comprehensive blasting effect was achieved.
(b)
For the easer hole design scheme with proportionally increasing bottom burdens, as the control ratio R increases, the energy used for rock breaking in the front row of easer holes gradually decreases, while that in the back row increases, resulting in a more reasonable design. However, when R further increases, the rock-breaking capability of the latter blast holes becomes insufficient to bear the assigned rock-breaking tasks, rendering the scheme not applicable. Therefore, it is necessary to determine a reasonable control ratio based on actual engineering conditions.
(c)
Field tests with the optimized blasting scheme for the Dabashan Tunnel were conducted. The results showed significant improvement in the residual hole issues of easer and contour holes compared to before, verifying the feasibility of the design theory of proportionally distributed burden for easer holes. Comparing the non-penetration lengths of each row of easer holes in the numerical simulation with the residual hole depths measured in the field test revealed that the error range is within 8%, indicating a high similarity between the simulation results and the field test results.
In summary, the proposed arithmetic distribution hole position design method based on the principle of minimum burden at the hole bottom has been effectively validated in the Dabashan Tunnel project, significantly enhancing the blasting effect. This provides a valuable reference for similar projects.

Author Contributions

Conceptualization, M.G. and J.J.; methodology, M.G. and H.W.; software, X.W. and L.W.; validation, X.W., H.W., S.Z. and L.W.; formal analysis, X.W.; investigation, H.W. and X.Z.; resources, M.G. and J.J.; data curation, H.W., X.Z. and S.Z.; writing—original draft preparation, H.W. and L.W.; writing—review and editing, X.W.; visualization, X.W. and L.W.; supervision, M.G., X.Z. and S.Z.; project administration, M.G. and J.J.; funding acquisition, X.W. All authors have read and agreed to the published version of the manuscript.

Funding

This research was funded by the Youth Fund of the National Natural Science Foundation of China, grant number 52304204; the China Postdoctoral Science Foundation, grant number 2023M740216; and a China Postdoctoral Science Foundation fellowship, grant number 2022TQ0025.

Data Availability Statement

The data used to support the findings of this study are available from the corresponding author upon request.

Conflicts of Interest

Authors Jiayin Jia, Shijun Zhou and Xinxiang Zhao were employed by the company Chongqing Zhonghuan Construction Co. Ltd. The remaining authors declare that the research was conducted in the absence of any commercial or financial relationships that could be construed as a potential conflict of interest.

References

  1. Xia, X.; Li, H.; Liu, Y.; Yu, C. A case study on the cavity effect of a water tunnel on the ground vibrations induced by excavating blasts. Tunn. Undergr. Space Technol. 2018, 71, 292–297. [Google Scholar] [CrossRef]
  2. He, B.; Armaghani, D.J.; Lai, S.H.; He, X.; Asteris, P.G.; Sheng, D. A deep dive into tunnel blasting studies between 2000 and 2023—A systematic review. Tunn. Undergr. Space Technol. 2024, 147, 105727. [Google Scholar] [CrossRef]
  3. Zhang, Z.; Qiu, X.; Shi, X.; Zhou, J.; Luo, Z.; Ouyang, J.; Zhang, H. Optimization of the matching relationship between the stemming length and minimum burden in cut blasting of large-diameter long-hole stopes. Geomech. Geophys. Geo-Energy Geo-Resour. 2023, 9, 136. [Google Scholar] [CrossRef]
  4. Soroush, K.; Mehdi, Y.; Arash, E. Trend analysis and comparison of basic parameters for tunnel blast design models. Int. J. Min. Sci. Technol. 2015, 25, 595–599. [Google Scholar] [CrossRef]
  5. Liu, K.; Li, Q.; Wu, C.; Li, X.; Li, J. A study of cut blasting for one-step raise excavation based on numerical simulation and field blast tests. Int. J. Rock Mech. Min. 2018, 109, 91–104. [Google Scholar] [CrossRef]
  6. Wang, X.; Zhang, X.; Zhang, J.; Zhou, H.; Zhang, P.; Li, D. Study on the Influence of the Joint Angle between Blast Holes on Explosion Crack Propagation and Stress Variation. Processes 2023, 11, 2805. [Google Scholar] [CrossRef]
  7. Li, C.; Yang, R.; Wang, Y.; Kang, Y.; Zhang, Y. Theory and numerical simulation of deep hole cut blasting based on dispersed charge and staged detonation. Int. J. Rock Mech. Min. 2023, 169, 105453. [Google Scholar] [CrossRef]
  8. Zhao, X.; Song, J.; Zhou, X. Optimization of parameters for medium-deep hole slot blasting during mining blasting. Explos. Mater. 2023, 5, 51–56. [Google Scholar] [CrossRef]
  9. Wang, H.; Xiong, D.; Chen, H. Meticulous bundle-hole blasting technology under large and variable resistance line condition. China Min. Maga 2019, 3, 103–106. [Google Scholar]
  10. Lei, Z.; Huang, Y.; Chen, W.; Zhang, Z.; Zhou, J. A study on the variation of cavity volume and energy dissipation with resistance line under blast impact load. J. Vibra. Shock 2021, 40, 66–71. [Google Scholar] [CrossRef]
  11. Zeng, X.; Zhang, X.; Dai, B.; Zhou, X.; Duan, Y.; Chen, J. Prediction of tunnel blasting vibration velocity considering influence of number of free surfaces and resistance line. J. Saf. Sci. Tech. 2023, 6, 83–89. [Google Scholar] [CrossRef]
  12. Qiu, X.; Shen, W.; Zhang, Z.; Chen, H.; Shi, X. Effect of in-situ stresses on fracturing performance of crater blasting under different resistance lines. J. Cent. South Univ. 2023, 30, 2686–2700. [Google Scholar] [CrossRef]
  13. Wu, X.; Gong, M.; Wu, H.; Hu, G.; Wang, S. Vibration reduction technology and the mechanisms of surrounding rock damage from blasting in neighborhood tunnels with small clearance. Int. J. Min. Sci. Technol. 2023, 33, 625–637. [Google Scholar] [CrossRef]
  14. Chen, L.; Yang, X.; Guo, L.; Yu, S. Analysis of Rock Mass Energy Characteristics and Induced Disasters Considering the Blasting Superposition Effect. Processes 2024, 12, 1089. [Google Scholar] [CrossRef]
  15. Qiu, X.; Shi, X.; Gou, Y.; Zhou, J.; Chen, H.; Huo, X. Short-delay blasting with single free surface: Results of experimental tests. Tunn. Undergr. Space Technol. 2018, 74, 119–130. [Google Scholar] [CrossRef]
  16. Zhou, Z.; Ma, J.; Wang, J.; Guan, S.; Zhang, X.; Yang, Y. Evolution characteristics of strain and displacement fields in double-hole short-delay blasting based on DIC. Processes 2024, 12, 1291. [Google Scholar] [CrossRef]
  17. Wu, H.; Gong, M.; Cao, Z.; Wu, X.; Li, S.; Meng, X. In-situ high-speed 3D-DIC experiment on blast-induced second free surface characteristics at initial stage of cut blasting in a tunnel. Tunn. Undergr. Space Technol. 2023, 142, 105392. [Google Scholar] [CrossRef]
  18. Xie, L.; Lu, W.; Zhang, Q.; Jiang, Q.; Chen, M.; Zhao, J. Analysis of damage mechanisms and optimization of cut blasting design under high in-situ stresses. Tunn. Undergr. Space Technol. 2017, 66, 19–33. [Google Scholar] [CrossRef]
  19. Costamagna, E.; Oggeri, C.; Segarra, P.; Castedo, R.; Navarro, J. Assessment of contour profile quality in D&B tunnelling. Tunn. Undergr. Space Technol. 2018, 75, 67–80. [Google Scholar] [CrossRef]
  20. Minh, N.; Cao, P.; Liu, Z. Contour blasting parameters by using a tunnel blast design mode. J. Cent. South Univ. 2021, 28, 100–111. [Google Scholar] [CrossRef]
  21. Ainalis, D.; Ainalis, D.; Kaufmann, O.; Kaufmann, O.; Tshibangu, J.; Tshibangu, J.; Verlinden, O.; Verlinden, O.; Kouroussis, G.; Kouroussis, G. Modelling the Source of Blasting for the Numerical Simulation of Blast-Induced Ground Vibrations: A Review. Rock Mech. Rock Eng. 2017, 50, 171–193. [Google Scholar] [CrossRef]
  22. Bondarenko, A.; Islamov, S.; Mardashov, D. Features of oil well killing in abnormal carbonate reservoirs operating conditions. In Proceedings of the Engineering and Mining Geophysics 2019 15th Conference and Exhibition, Gelendzhik, Russia, 1 July 2020; European Association of Geoscientists and Engineers: Gelendzhik, Russia, 2019; pp. 629–633. [Google Scholar] [CrossRef]
  23. Belousov, A.; Lushpeev, V.; Sokolov, A.; Sultanbekov, R.; Tyan, Y.; Ovchinnikov, E.; Shvets, A.; Bushuev, V.; Islamov, S. Hartmann–Sprenger Energy Separation Effect for the Quasi-Isothermal Pressure Reduction of Natural Gas: Feasibility Analysis and Numerical Simulation. Energies 2024, 17, 2010. [Google Scholar] [CrossRef]
  24. Hayhurst, C.; Hiermaier, S.; Clegg, R.; Riedel, W.; Lambert, M. Development of material models for Nextel and Kevlar-epoxy for high pressures and strain rates. Int. J. Impact Eng. 1999, 23, 365–376. [Google Scholar] [CrossRef]
  25. Wang, H.; Wang, Z.; Wang, J.; Wang, S.; Wang, H.; Yin, Y.; Li, F. Effect of confining pressure on damage accumulation of rock under repeated blast loading. Int. J. Impact Eng. 2021, 156, 103961. [Google Scholar] [CrossRef]
  26. Wang, Z.; Wang, H.; Wang, J.; Tian, N. Finite element analyses of constitutive models performance in the simulation of blast-induced rock cracks. Comput. Geotech. 2021, 135, 104172. [Google Scholar] [CrossRef]
  27. Ni, Y.; Wang, Z.; Li, S.; Wang, J.; Feng, C. Numerical study on the dynamic fragmentation of rock under cyclic blasting and different in-situ stresses. Comput. Geotech. 2024, 172, 106404. [Google Scholar] [CrossRef]
  28. Li, H.; Liu, D.; Zhao, L.; Li, C.; Zhang, Z. Study on parameters determination of marble RHT model. Trans. Beijing Inst. Technol. 2017, 37, 801–806. [Google Scholar] [CrossRef]
  29. Hao, B.; Liu, L.; Jiang, Q. Research on calculating parameters of JWL equation of state for explosive based on hybrid algorithm. Eng. Blasting 2024, 30, 42–48, 97. [Google Scholar] [CrossRef]
  30. Xin, C.L.; Zhu, X.Y.; Xue, Z.Q.; Tu, J.; Shan, Y. Handbook of Common Material Parameters for Finite Element Analysis 2nd Edition; China Machine Press: Beijing, China, 2022; pp. 1–35. [Google Scholar]
  31. Lin, J.; Sun, M.; Liu, Z.; Zhao, G.; Wang, S.; Wang, F. Influence of charge with different proportions under the condition of middle air separation on the stress on the borehole wall and the rock fragmentation. Explos. Mater. 2023, 52, 55–64. [Google Scholar] [CrossRef]
  32. Li, H.; Zu, X. The law of explosion pit opening of cylindrical charge in soil-concrete composite medium targets. Explos. Mater. 2023, 52, 51–57. [Google Scholar] [CrossRef]
  33. Liu, L.; Lu, W.; Chen, M.; Yan, P.; Wang, G. Statistic damage threshold of critical broken rock mass under blasting load. Chin. J. Rock Mech. Eng. 2016, 35, 1133–1140. [Google Scholar] [CrossRef]
Figure 1. Overview of Dabashan tunnel. (a) Satellite image of Dabashan tunnel; (b) schematic diagram of section structure design.
Figure 1. Overview of Dabashan tunnel. (a) Satellite image of Dabashan tunnel; (b) schematic diagram of section structure design.
Processes 12 01581 g001
Figure 2. Diagram of blast hole layout. (a) Schematic of the hole top locations; (b) schematic of the hole bottom locations. Unit: mm.
Figure 2. Diagram of blast hole layout. (a) Schematic of the hole top locations; (b) schematic of the hole bottom locations. Unit: mm.
Processes 12 01581 g002
Figure 3. Photographs of on-site effects after blasting. (a) Uneven contour, no half-hole marks; (b) large number of residual holes and the need for a second blast to break up the rock; (c) a lot of large-size rocks in the blasting muckpile, which affects the efficiency of crushed rock transportation.
Figure 3. Photographs of on-site effects after blasting. (a) Uneven contour, no half-hole marks; (b) large number of residual holes and the need for a second blast to break up the rock; (c) a lot of large-size rocks in the blasting muckpile, which affects the efficiency of crushed rock transportation.
Processes 12 01581 g003
Figure 4. Schematic cross-section of easer hole performance after blasting (unit: mm).
Figure 4. Schematic cross-section of easer hole performance after blasting (unit: mm).
Processes 12 01581 g004
Figure 5. Schematic distribution of tunnel blasting holes.
Figure 5. Schematic distribution of tunnel blasting holes.
Processes 12 01581 g005
Figure 6. Schematic of the minimum burden of easer holes.
Figure 6. Schematic of the minimum burden of easer holes.
Processes 12 01581 g006
Figure 7. Flow chart of the calculation process.
Figure 7. Flow chart of the calculation process.
Processes 12 01581 g007
Figure 8. Blasting model: (a) hole layout; (b) meshing. Unit: mm.
Figure 8. Blasting model: (a) hole layout; (b) meshing. Unit: mm.
Processes 12 01581 g008
Figure 9. Rock mass damage contour maps of easer holes.
Figure 9. Rock mass damage contour maps of easer holes.
Processes 12 01581 g009
Figure 10. Schematic diagram for obtaining the profiles of damage contour maps at different locations. (a) Locations of the profiles; (b) profiles of damage contour maps.
Figure 10. Schematic diagram for obtaining the profiles of damage contour maps at different locations. (a) Locations of the profiles; (b) profiles of damage contour maps.
Processes 12 01581 g010
Figure 11. Schematic diagram of grid damage evolution. (a) Grid selection; (b) grid number; (c) grid damage value evolution.
Figure 11. Schematic diagram of grid damage evolution. (a) Grid selection; (b) grid number; (c) grid damage value evolution.
Processes 12 01581 g011
Figure 12. Slice of damage contour map with a spacing of 50 cm.
Figure 12. Slice of damage contour map with a spacing of 50 cm.
Processes 12 01581 g012
Figure 13. Slice of damage cloud map with a spacing of 10 cm.
Figure 13. Slice of damage cloud map with a spacing of 10 cm.
Processes 12 01581 g013
Figure 14. The maximum penetration depths and residual hole lengths with different R values.
Figure 14. The maximum penetration depths and residual hole lengths with different R values.
Processes 12 01581 g014
Figure 15. Schematic diagram of damage volume.
Figure 15. Schematic diagram of damage volume.
Processes 12 01581 g015
Figure 16. Curve of damage volumes of the rock mass burdened by each row of easer holes under different conditions.
Figure 16. Curve of damage volumes of the rock mass burdened by each row of easer holes under different conditions.
Processes 12 01581 g016
Figure 17. Relationship between the total damage volume of the rock mass and the control ratio R for different models.
Figure 17. Relationship between the total damage volume of the rock mass and the control ratio R for different models.
Processes 12 01581 g017
Figure 18. Minimum burden of each row of easer hole in the optimized blasting scheme.
Figure 18. Minimum burden of each row of easer hole in the optimized blasting scheme.
Processes 12 01581 g018
Figure 19. Optimized hole layout with R = 1.3: (a) in the hole-top section; (b) in the hole-bottom section. Unit: mm.
Figure 19. Optimized hole layout with R = 1.3: (a) in the hole-top section; (b) in the hole-bottom section. Unit: mm.
Processes 12 01581 g019
Figure 20. Blasting effects of the optimized scheme. (a) Visible half-hole marks and good contour forming; (b) muckpile is more fragmented and uniformly sized.
Figure 20. Blasting effects of the optimized scheme. (a) Visible half-hole marks and good contour forming; (b) muckpile is more fragmented and uniformly sized.
Processes 12 01581 g020
Table 1. Physical and mechanical parameters of rock mass.
Table 1. Physical and mechanical parameters of rock mass.
Rock LevelDensity (g·cm−3)Uniaxial Compressive Strength (GPa)Shear Modulus (GPa)Tensile Strength (MPa)Elastic Modulus (GPa)Poisson’s Ratio
III2.650.12514.29.633.20.165
Table 2. Geometric parameters of easer holes for different computational models.
Table 2. Geometric parameters of easer holes for different computational models.
No.RDistance of the Hole Tops (cm)Hole Diameter (cm)Length of Burden at the Hole Bottom (cm)
W1W2W3W4W5W6
11.0594.2909090909090
21.1594.2868889919396
31.2594.28285889196101
41.3594.27882869298105
51.4594.27580859299109
61.5594.272788492101113
71.6594.269768392102116
Table 3. Parameters of RHT model [28].
Table 3. Parameters of RHT model [28].
ParameterValueParameterValueParameterValue
ρ0 (kg·m−3)2675A2 (GPa)1.08gc0.53
α01.0A3 (GPa)0.658gt0.7
fc (MPa)125B01.68A2.86
fs0.18B11.68N0.63
ft0.0762T1 (GPa)0.641Q00.68
G (GPa)0.142T20B0.05
pel (MPa)8.33 × 10−4ξ0.5βc1.01 × 10−2
pco (MPa)0.06D10.04βt5.06 × 10−3
n0.63D21Af1.6
A1 (GPa)0.641εpm0.01nf0.6
Table 4. Parameters of explosive model.
Table 4. Parameters of explosive model.
ρ (kg/m3)D (m/s)Pcj (GPa)A (GPa)B (GPa)R1R2ωE0 (GPa)V0
110032009.5508.445.22.10.53.871
Table 5. Parameters of air material model.
Table 5. Parameters of air material model.
ρ (g·cm−3)C0 (Pa)C1 (Pa)C2 (Pa)C3 (Pa)C4C5C6Ea0 (MPa)V0
0.001200000.40.400.251.0
Table 6. Parameters of stemming material model.
Table 6. Parameters of stemming material model.
ρ (g·cm−3)G0 (GPa)A0A1A2
1.806.38 × 10−43.4 × 10−137.03 × 10−70.3
Table 7. The maximum penetration depths with different R values.
Table 7. The maximum penetration depths with different R values.
RThe Maximum Penetration Depth (m)RThe Maximum Penetration Depth (m)
1.03.3~3.41.43.6~3.7
1.1, 1.23.4~3.51.53.7~3.8
1.33.5~3.61.63.8~3.9
Table 8. Summary of the residual hole depth of each easer hole in the different models.
Table 8. Summary of the residual hole depth of each easer hole in the different models.
The Value of RThe Depth of Residual Holes, h (m) Average   Depth ,   H ¯ g t (m) Variance ,   σ g t 2 (m)
Row 1Row 2Row 3Row 4Row 5Row 6
R = 1.00.70.60.50.50.40.10.4670.036
R = 1.10.60.50.50.40.40.30.4500.009
R = 1.20.60.40.40.40.30.30.4000.010
R = 1.30.50.30.30.30.40.40.3670.006
R = 1.40.40.30.30.30.40.50.3670.006
R = 1.50.30.30.30.30.40.50.3500.006
R = 1.60.20.20.30.40.60.70.4000.037
Table 9. The depth of residual holes using the new blasting scheme.
Table 9. The depth of residual holes using the new blasting scheme.
No. of RowHole Depth (cm)Residual Hole Length (cm)Hole Utilization Rate (%)No. of RowHole Depth (cm)Residual Hole Length (cm)Hole Utilization Rate (%)
R14333791.5L14334190.5
R24234389.8L24233990.7
R34143591.5L34143990.1
R44064289.7L44063790.9
R54013391.8L54013890.5
R64003990.2L64004189.8
R74003292.0L74003990.2
R84003491.5L84003591.2
Disclaimer/Publisher’s Note: The statements, opinions and data contained in all publications are solely those of the individual author(s) and contributor(s) and not of MDPI and/or the editor(s). MDPI and/or the editor(s) disclaim responsibility for any injury to people or property resulting from any ideas, methods, instructions or products referred to in the content.

Share and Cite

MDPI and ACS Style

Wu, X.; Jia, J.; Wang, L.; Zhou, S.; Wu, H.; Zhao, X.; Gong, M. Easer Hole Design Method Based on the Principle of Minimum Burden at the Hole Bottom and Its Application in Tunnel Blasting. Processes 2024, 12, 1581. https://doi.org/10.3390/pr12081581

AMA Style

Wu X, Jia J, Wang L, Zhou S, Wu H, Zhao X, Gong M. Easer Hole Design Method Based on the Principle of Minimum Burden at the Hole Bottom and Its Application in Tunnel Blasting. Processes. 2024; 12(8):1581. https://doi.org/10.3390/pr12081581

Chicago/Turabian Style

Wu, Xiaodong, Jiayin Jia, Likun Wang, Shijun Zhou, Haojun Wu, Xinxiang Zhao, and Min Gong. 2024. "Easer Hole Design Method Based on the Principle of Minimum Burden at the Hole Bottom and Its Application in Tunnel Blasting" Processes 12, no. 8: 1581. https://doi.org/10.3390/pr12081581

APA Style

Wu, X., Jia, J., Wang, L., Zhou, S., Wu, H., Zhao, X., & Gong, M. (2024). Easer Hole Design Method Based on the Principle of Minimum Burden at the Hole Bottom and Its Application in Tunnel Blasting. Processes, 12(8), 1581. https://doi.org/10.3390/pr12081581

Note that from the first issue of 2016, this journal uses article numbers instead of page numbers. See further details here.

Article Metrics

Back to TopTop